Sign in to use this feature.

Years

Between: -

Subjects

remove_circle_outline
remove_circle_outline
remove_circle_outline
remove_circle_outline
remove_circle_outline
remove_circle_outline
remove_circle_outline
remove_circle_outline
remove_circle_outline

Journals

remove_circle_outline
remove_circle_outline
remove_circle_outline
remove_circle_outline
remove_circle_outline
remove_circle_outline
remove_circle_outline
remove_circle_outline
remove_circle_outline
remove_circle_outline
remove_circle_outline
remove_circle_outline
remove_circle_outline
remove_circle_outline
remove_circle_outline
remove_circle_outline
remove_circle_outline
remove_circle_outline
remove_circle_outline
remove_circle_outline
remove_circle_outline

Article Types

Countries / Regions

remove_circle_outline
remove_circle_outline
remove_circle_outline
remove_circle_outline
remove_circle_outline
remove_circle_outline
remove_circle_outline
remove_circle_outline
remove_circle_outline
remove_circle_outline

Search Results (5,983)

Search Parameters:
Keywords = social ecology

Order results
Result details
Results per page
Select all
Export citation of selected articles as:
34 pages, 9369 KB  
Article
Influencing Factors of Diverse Development in Campus Community Gardens at Chinese Universities: An Empirical Analysis of Universities in Beijing
by Ye Liu, Xiayi Zhong, Yue Gao and Yang Liu
Sustainability 2026, 18(3), 1156; https://doi.org/10.3390/su18031156 - 23 Jan 2026
Abstract
Campus community gardens are expected to leverage disciplinary resources and spatial conditions to deliver ecological, educational, and social benefits beyond those of general community gardens. In China, these gardens are primarily established under the guidance of educational authorities, leading to issues such as [...] Read more.
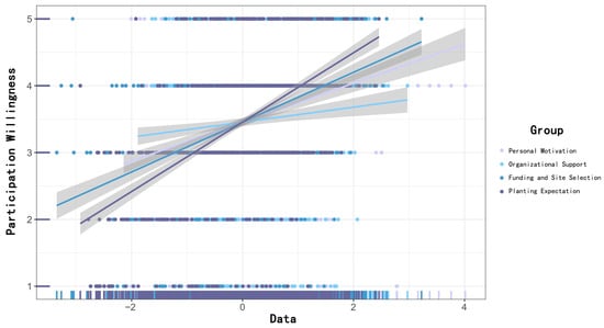
Campus community gardens are expected to leverage disciplinary resources and spatial conditions to deliver ecological, educational, and social benefits beyond those of general community gardens. In China, these gardens are primarily established under the guidance of educational authorities, leading to issues such as significant homogenization and a lack of diversity, which hinders the full realization of their potential. This study investigates the potential factors influencing the development of campus gardens. Focusing on university campuses in Beijing, it employs stratified sampling and a questionnaire survey (n = 1008), utilizing methods including exploratory factor analysis (EFA), multiple linear regression, and analysis of variance (ANOVA) to systematically identify the factors affecting their differentiated development. The results indicate that: (1) the willingness to participate is collectively driven by four dimensions: “planting expectation,” “funding and site selection,” “personal motivation,” and “organizational support,” with “planting expectation” being the most significant factor. (2) Students’ academic disciplines influence their perceptions of the need for organizational support and spatial resources for gardens. (3) Campus location and size moderate the demand for gardens, with students in the urban expansion belt (between the 4th and 5th Ring Roads) and those from smaller campuses showing a stronger “pro-nature compensation” tendency. Based on campus spatial scale, urban location, and the academic backgrounds of participants, the study proposes integrated “space-organization” development strategies. This research provides targeted planning strategies for campus community gardens in China, aiming to leverage institutional disciplinary strengths, respond to participant needs, and maximize the gardens’ benefits. Full article
Show Figures

Figure 1

24 pages, 1328 KB  
Article
Sustainable Foods: Opinions, Knowledge and Attitudes of Generation Z Consumers Toward Plant-Based Foods: A Case Study of Polish Students
by Katarzyna Tarnowska, Patrycja Przetacka, Eliza Gruczyńska-Sękowska and Renata Winkler
Sustainability 2026, 18(2), 1132; https://doi.org/10.3390/su18021132 - 22 Jan 2026
Abstract
In the face of escalating environmental crises, sustainable development is becoming one of the key global challenges. A growing body of research indicates that transitioning to plant-based diets, including a vegan diet, can significantly improve environmental sustainability. Young people from Generation Z play [...] Read more.
In the face of escalating environmental crises, sustainable development is becoming one of the key global challenges. A growing body of research indicates that transitioning to plant-based diets, including a vegan diet, can significantly improve environmental sustainability. Young people from Generation Z play a crucial role in shaping future consumption patterns, and their beliefs and attitudes toward sustainable food may serve as an important indicator of social changes in the area of nutrition and the potential for implementing pro-ecological practices. The aim of the study is to assess students’ perceptual attitudes toward plant-based products, which constitute an integral part of vegan diets, addressing a significant gap in the literature on sustainable consumption among Generation Z in emerging economies. The study allows for the identification of the main sources of information, psychosocial barriers, and motivational factors underlying the adoption of a vegan diet, situating them within sustainable development paradigms. The research group consisted of 263 university students in Warsaw (Poland). A CAWI survey method was used, with a proprietary questionnaire. The study shows that more than 60% of respondents were not interested in this dietary option, and a similar proportion did not expect to adopt veganism in the future. Students’ attitudes toward the vegan diet are shaped primarily by their self-assessment of nutritional knowledge, previous experiences with plant-based diets, and socio-cultural factors. Although many respondents recognize the health and environmental benefits of a plant-based diet, the lack of reliable knowledge, concerns about deficiencies, higher product costs, and social pressure remain key barriers limiting their willingness to change eating habits. From a practical perspective, the findings highlight the need to develop nutrition education focused on the competencies required to properly balance plant-based diets, to increase the economic and sensory accessibility of vegan food, and to counteract persistent stereotypes and misconceptions about veganism, especially on social media, which is the main source of information for this age group. Full article
(This article belongs to the Section Sustainable Food)
Show Figures

Figure 1

29 pages, 764 KB  
Article
Sustainable Port Site Selection in Mountainous Areas Within Continuous Dam Zones: A Multi-Criteria Decision-Making Framework
by Jianxun Wang, Haiyan Wang and Fuyou Tan
Appl. Sci. 2026, 16(2), 1117; https://doi.org/10.3390/app16021117 - 21 Jan 2026
Abstract
The development of large-scale cascade hydropower complexes has improved the navigation conditions of mountainous rivers but creates unique “continuous dam zones,” presenting complex challenges for port site selection due to hydrological variability and geological risks. To address the lack of specialized evaluation tools [...] Read more.
The development of large-scale cascade hydropower complexes has improved the navigation conditions of mountainous rivers but creates unique “continuous dam zones,” presenting complex challenges for port site selection due to hydrological variability and geological risks. To address the lack of specialized evaluation tools for this specific context, this paper constructs a comprehensive evaluation indicator system tailored for mountainous reservoir areas. The proposed system explicitly integrates critical engineering and physical constraints—specifically fluctuating backwater zones, geological hazards, and dam-bypass mileage—alongside ecological and social requirements. The Analytic Hierarchy Process (AHP) and Entropy Weight Method (EWM) are integrated using a Game Theory model to determine combined weights, and the Evaluation based on Distance from Average Solution (EDAS) model is applied to rank the alternatives. An empirical analysis of the Xiluodu Reservoir area on the Jinsha River demonstrates that operational efficiency, geological safety, and environmental feasibility constitute the critical decision-making factors. The results indicate that Option C (Majiaheba site) offers the optimal solution (ASi = 0.9695), effectively balancing engineering utility with environmental protection. Sensitivity analysis further validates the consistency and stability of this ranking under different decision-making scenarios. The findings provide quantitative decision support for project implementation and offer a replicable reference for infrastructure planning in similar complex mountainous river basins. Full article
Show Figures

Figure 1

23 pages, 1715 KB  
Article
From Identification to Guiding Action: A Systematic Heuristic to Prioritise Drivers of Change for Water Management
by Jo Mummery and Leonie J. Pearson
Water 2026, 18(2), 278; https://doi.org/10.3390/w18020278 - 21 Jan 2026
Abstract
Global water management faces a critical challenge: whilst scholarly consensus recognises that multiple, interacting drivers fundamentally shape water availability and management capacity, operational governance frameworks fail to systematically incorporate this understanding. This disconnect is particularly acute in public good contexts where incomplete knowledge, [...] Read more.
Global water management faces a critical challenge: whilst scholarly consensus recognises that multiple, interacting drivers fundamentally shape water availability and management capacity, operational governance frameworks fail to systematically incorporate this understanding. This disconnect is particularly acute in public good contexts where incomplete knowledge, diverse stakeholder values, and statutory planning mandates create distinct challenges. Using Australia’s Murray–Darling Basin as a pilot case, this research develops and demonstrates a rapid, policy-relevant heuristic for identifying, prioritising, and incorporating drivers of change in complex socio-ecological water systems. Through structured participatory deliberation with 70 experts spanning research, policy, industry, and community sectors across three sequential workshops and 15 semi-structured interviews, we systematically identified key drivers across environmental, governance, economic, social, and legacy dimensions. A risk and sensitivity assessment framework enabled prioritisation based on impact, vulnerability, and urgency. Climate change, drought, water quality events, and cumulative impacts emerged as the highest-priority future drivers, with climate change acting as a threat multiplier, whilst governance drivers show declining relative significance. Using these methodological innovations, we synthesise the I-PLAN heuristic: five interdependent dimensions (Integrative Knowledge, Prioritisation for Management, Linkages between Drivers, Adaptive Agendas, and Normative Collaboration) that provide water planners with a transferable, operational tool for driver identification and bridging to planning and management in data-sparse contexts. Full article
Show Figures

Figure 1

26 pages, 9263 KB  
Article
Altitudinal Gradient and Influencing Factors of Carbon Storage in the Gonghe Basin of the Qinghai–Tibet Plateau
by Ailing Sun, Xingsheng Xia, Yanqin Wang, Haifeng Zhang and Xuechang Zheng
ISPRS Int. J. Geo-Inf. 2026, 15(1), 48; https://doi.org/10.3390/ijgi15010048 - 21 Jan 2026
Abstract
Investigating the spatial distribution and dynamics of terrestrial carbon storage is vital for climate change mitigation. However, horizontal spatial analyses often overlook heterogeneity in complex terrains. Here, we focused on the Gonghe Basin on the northeastern margin of the Qinghai–Tibet Plateau, where resource [...] Read more.
Investigating the spatial distribution and dynamics of terrestrial carbon storage is vital for climate change mitigation. However, horizontal spatial analyses often overlook heterogeneity in complex terrains. Here, we focused on the Gonghe Basin on the northeastern margin of the Qinghai–Tibet Plateau, where resource exploitation and ecological conservation interact. By using land use and DEM data and integrating the InVEST model, Geoda, and a geographical detector, we showed the altitudinal gradient effect and spatiotemporal evolution of carbon storage in the Gonghe Basin from 2000 to 2020 and identified the key factors influencing these patterns. Results show the following: (1) From 2000 to 2020, carbon storage in the Gonghe Basin exhibited a distinct pattern of “high at mid-elevations, low at both summit and valley” along the elevation gradient. High-value areas were concentrated in the forest–grassland zone between 2800–4400 m, while low-value areas were distributed in the human activity-intensive zone of 2100–2800 m and the alpine desert zone of 4400–5000 m. (2) The synergistic drivers of carbon storage differed markedly across elevation gradients. The low-elevation zone (2100–2800 m) was characterized by strengthened interactions between vegetation cover and precipitation as well as human activity variables, indicating a coupled natural–anthropogenic driving regime. In the mid-elevation zone (2800–4400 m), interactive effects shifted from vegetation–natural factor coupling to enhanced synergy with social factors such as population density. In the high-elevation zone (4400–5000 m), stable long-term interactions between vegetation and temperature predominated, while sensitivity to interactions involving human activity factors increased. (3) Although natural factors remained dominant, the explanatory power of human activity factors—including GDP density, land-use intensity, and grazing intensity—increased over time across all elevation gradients, suggesting progressively stronger human intervention in carbon cycling. (4) Based on these findings, this study proposes a “three belts–three strategies” synergistic governance framework—“regulation and restoration” for the low-elevation belt, “conservation and efficiency enhancement” for the mid-elevation belt, and “monitoring and early warning” for the high-elevation belt—aiming to enhance regional carbon sink capacity and ecological resilience through zone-specific, targeted interventions. These findings offer a scientific basis for reinforcing regional ecological security and improving carbon sink management. Full article
Show Figures

Figure 1

29 pages, 9732 KB  
Article
Socio-Ecological Coupling and Multifunctional Spatial Differentiation in Watershed Rural Systems: Toward Coordinated Development
by Yanjun Meng, Hui Zhai, Yuhong Xu, Bak Koon Teoh and Robert Lee Kong Tiong
Land 2026, 15(1), 194; https://doi.org/10.3390/land15010194 - 21 Jan 2026
Abstract
Socio-ecological systems in basin regions characterized by diverse cultural traditions and hierarchical village spatial structure are undergoing profound transformation driven by multifunctional demands and spatial restructuring. This study develops an analytical framework encompassing economic production, socio-cultural functions, and ecological potential to examine the [...] Read more.
Socio-ecological systems in basin regions characterized by diverse cultural traditions and hierarchical village spatial structure are undergoing profound transformation driven by multifunctional demands and spatial restructuring. This study develops an analytical framework encompassing economic production, socio-cultural functions, and ecological potential to examine the spatial differentiation and socio-ecological coupling mechanisms within the Yilong Lake Basin, Yunnan Province. Through the entropy weighting method and a coupling coordination model, the framework evaluates the “lake–mountain–village” gradient of spatial differentiation. The results indicate that: (1) the overall coordination level of multifunctional systems in the region remains relatively low, exhibiting a decreasing trend from lakeshore to the mountain periphery; (2) village-level dependencies of spatial functions can be summarized into three coupling categories—associated with institutional embedding, self-organization, and value mismatch—revealing distinct socio-ecological interaction patterns; and (3) three coupling categories correspond to three differentiated governance pathways, namely coupling optimization, functional transition, and conflict mitigation. The study advances theoretical and methodological insights into the spatial differentiation and evolution of complex village systems, highlighting the nonlinear coexistence of interdependence and constraint among economic, social, and ecological functions. It further provides practical guidance for coordinated governance and sustainable spatial planning in similar rural and basin environments worldwide. Full article
(This article belongs to the Special Issue Human–Land Coupling in Watersheds and Sustainable Development)
Show Figures

Figure 1

25 pages, 295 KB  
Article
TSRS-Aligned Sustainability Reporting in Turkey’s Agri-Food Sector: A Qualitative Content Analysis Based on GRI 13 and the SDGs
by Efsun Dindar
Sustainability 2026, 18(2), 1085; https://doi.org/10.3390/su18021085 - 21 Jan 2026
Abstract
Sustainability in the agri-food sector has become a cornerstone of global efforts to combat climate change, ensure food security through climate-smart agriculture, and strengthen economic resilience. Sustainability reporting within agri-food systems has gained increasing regulatory significance with the introduction of mandatory frameworks such [...] Read more.
Sustainability in the agri-food sector has become a cornerstone of global efforts to combat climate change, ensure food security through climate-smart agriculture, and strengthen economic resilience. Sustainability reporting within agri-food systems has gained increasing regulatory significance with the introduction of mandatory frameworks such as the Turkish Sustainability Reporting Standards (TSRSs). This article searches for the sustainability reports of agri-business firms listed in BIST in Turkey. Although TSRS reporting is not yet mandatory for the agribusiness sector, this study examines the first TSRS-aligned sustainability reports published by eight agri-food companies, excluding the retail sector. The analysis assesses how effectively these reports address sector-specific environmental and social challenges defined in the GRI 13 Agriculture, Aquaculture and Fishing Sector Standard and their alignment with the United Nations Sustainable Development Goals (SDGs). Using a structured content analysis approach, disclosure patterns were examined at both thematic and company levels. The findings indicate that TSRS-aligned reports place strong emphasis on environmental and climate-related disclosures, particularly emissions, climate adaptation and resilience, water management, and waste. In contrast, agro-ecological and land-based impacts—such as soil health, pesticide use, and ecosystem conversion—are weakly addressed. Economic disclosures are predominantly framed around climate-related financial risks and supply chain traceability, while social reporting focuses mainly on occupational health and safety, employment practices, and food safety, with limited attention to labor and equity issues across the broader value chain. Company-level results reveal marked heterogeneity, with internationally active firms demonstrating deeper alignment with GRI 13 requirements. From an SDG alignment perspective, high levels of coverage are observed across all companies for SDG 13 (Climate Action), SDG 12 (Responsible Consumption and Production), and SDG 6 (Clean Water and Sanitation). By contrast, SDGs critical to agro-ecological integrity and social equity—namely SDG 1 (No Poverty), SDG 2 (Zero Hunger), SDG 10 (Reduced Inequalities), and SDG 15 (Life on Land)—are weakly represented or entirely absent. Overall, the results suggest that while TSRS-aligned reporting enhances transparency in climate-related domains, it achieves only selective alignment with the SDG agenda. This underscores the need for a stronger integration of sector-specific sustainability priorities into mandatory sustainability reporting frameworks. Full article
(This article belongs to the Section Environmental Sustainability and Applications)
29 pages, 8627 KB  
Article
Spatial–Temporal Evolution and Driving Mechanism of Territorial Space Conflicts in Rapid Urbanization Areas from the Perspective of Suitability: An Empirical Study of Jinan City, China
by Piling Sun, Junxiong Mo, Nan Li, Dengdeng Hou and Qingguo Liu
Land 2026, 15(1), 191; https://doi.org/10.3390/land15010191 - 21 Jan 2026
Abstract
The precise identification of territorial space conflicts (TSCs) and their driving mechanisms is key to enhancing spatial security governance. Taking Jinan City as a case study, this research evaluates territorial space suitability across production, living, and ecological dimensions, proposes an empirical TSC identification [...] Read more.
The precise identification of territorial space conflicts (TSCs) and their driving mechanisms is key to enhancing spatial security governance. Taking Jinan City as a case study, this research evaluates territorial space suitability across production, living, and ecological dimensions, proposes an empirical TSC identification model, and employs GeoDetector to analyze spatiotemporal evolution patterns and driving mechanisms. The results indicated that (1) from 2000 to 2020, significant spatial heterogeneity characterized the suitability of production–living–ecological spaces in Jinan City. High suitability zones of production and living space expanded in the northern plain along the Yellow River and central piedmont plain, respectively, while those of ecological space contracted in the southern mountainous and hilly areas. (2) Significant spatiotemporal variations in territorial space conflicts (TSCs) were observed in Jinan City over the past two decades. Intense conflicts dominated production–living and production–ecological space interactions, while moderate conflicts were prevalent in living–ecological and production–living–ecological space interactions. Production–living space conflict zones expanded, living–ecological space conflict zones contracted, and production–ecological and production–living–ecological space conflict zones showed consistent expansion trends. (3) The spatiotemporal evolution of territorial space conflicts is jointly driven by the natural environment, geographical location, social economy, and regional policies. The interaction of driving factors exhibited significant dual-factor and nonlineal enhancement effects. Finally, this study provides some scientific references for the comprehensive management and pattern optimization of territorial space in Jinan City. Full article
Show Figures

Figure 1

8 pages, 208 KB  
Editorial
Editorial for the Special Issue: Nature-Based Solutions to Extreme Wildfires
by Adrián Regos
Fire 2026, 9(1), 47; https://doi.org/10.3390/fire9010047 - 21 Jan 2026
Abstract
Extreme wildfires are becoming increasingly frequent and severe across many regions worldwide, driven by climate change, land-use transitions, and long-standing fire-suppression legacies. In this context, Nature-based Solutions (NbS)—defined as actions that work with ecological processes to address societal challenges while providing biodiversity and [...] Read more.
Extreme wildfires are becoming increasingly frequent and severe across many regions worldwide, driven by climate change, land-use transitions, and long-standing fire-suppression legacies. In this context, Nature-based Solutions (NbS)—defined as actions that work with ecological processes to address societal challenges while providing biodiversity and socio-economic benefits—offer a promising yet underdeveloped pathway for enhancing wildfire resilience. This Special Issue brings together eleven contributions spanning empirical ecology, landscape configuration, simulation modelling, spatial optimisation, ecosystem service analysis, governance assessment, and community-based innovation. Collectively, these studies demonstrate that restoring ecological fire regimes, promoting multifunctional landscapes, and integrating advanced decision support tools can substantially reduce wildfire hazard while sustaining ecosystem functions. They also reveal significant governance barriers, including fragmented policies, limited investment in prevention, and challenges in incorporating social demands into territorial planning. By synthesising these insights, this editorial identifies several strategic priorities for advancing NbS in fire-prone landscapes: mainstreaming prevention within governance frameworks, strengthening the science–practice interface, investing in long-term socio-ecological monitoring, managing trade-offs transparently, and empowering local communities. Together, the findings highlight that effective NbS emerge from the alignment of ecological, technological, institutional, and social dimensions, offering a coherent pathway toward more resilient, biodiverse, and fire-adaptive landscapes. Full article
52 pages, 7467 KB  
Article
Urban Resilience and Fluvial Adaptation: Comparative Tactics of Green and Grey Infrastructure
by Lorena del Rocio Castañeda Rodriguez, Maria Jose Diaz Shimidzu, Marjhory Nayelhi Castro Rivera, Alexander Galvez-Nieto, Yuri Amed Aguilar Chunga, Jimena Alejandra Ccalla Chusho and Mirella Estefania Salinas Romero
Urban Sci. 2026, 10(1), 62; https://doi.org/10.3390/urbansci10010062 - 20 Jan 2026
Abstract
Rapid urbanization and climate change have intensified flood risk and ecological degradation along urban riverfronts. Recent literature suggests that combining green and grey infrastructure can enhance resilience while delivering ecological and social co-benefits. This study analyzes and compares five riverfront projects in China [...] Read more.
Rapid urbanization and climate change have intensified flood risk and ecological degradation along urban riverfronts. Recent literature suggests that combining green and grey infrastructure can enhance resilience while delivering ecological and social co-benefits. This study analyzes and compares five riverfront projects in China and Spain, assessing how their tactic mixes operationalize three urban flood-resilience strategies—Resist, Delay, and Store/reuse—and how these mixes translate into ecological, social, and urban impacts. A six-phase framework was applied: (1) literature review; (2) case selection; (3) categorization of resilience strategies; (4) systematization and typification of tactics into green vs. grey infrastructure; (5) percentage analysis and qualitative matrices; and (6) comparative synthesis supported by an alluvial diagram. Across cases, Delay emerges as the structural backbone—via wetlands, terraces, vegetated buffers, and floodable spaces—while Resist is used selectively where exposure and erodibility require it. Store/reuse appears in targeted settings where operational capacity and water-quality standards enable circular use. The comparison highlights hybrid, safe-to-fail configurations that integrate public space, ecological restoration, and hydraulic performance. Effective urban riverfront resilience does not replace grey infrastructure but hybridizes it with nature-based solutions. Planning should prioritize Delay with green systems, add Resist where necessary, and enable Store/reuse when governance, operation and maintenance, and water quality permit, using iterative monitoring to adapt the green–grey mix over time. Full article
Show Figures

Figure 1

24 pages, 1625 KB  
Article
Green Industry and High-Quality Employment Outcomes in 20 Mountainous Counties of Zhejiang (2010–2023)
by Yiwei Wang, Wenke Zhang and Yijing Weng
Sustainability 2026, 18(2), 1051; https://doi.org/10.3390/su18021051 - 20 Jan 2026
Abstract
Promoting green industrial development and enhancing high-quality employment are crucial for advancing county-level economic growth and achieving shared prosperity. This study analyzes the spatiotemporal evolution trends of green industrial development and high-quality employment using panel data from 20 mountainous counties (cities and districts) [...] Read more.
Promoting green industrial development and enhancing high-quality employment are crucial for advancing county-level economic growth and achieving shared prosperity. This study analyzes the spatiotemporal evolution trends of green industrial development and high-quality employment using panel data from 20 mountainous counties (cities and districts) in Zhejiang Province from 2010 to 2023. It employs panel models to investigate the effects and mechanisms through which green industrial development fosters high-quality employment. The results indicate that, during the study period, both green industry development and high-quality employment exhibited uneven progress across the 20 mountainous counties (cities and districts) in Zhejiang. Mechanism analysis revealed that green industrial development significantly promotes high-quality employment through two pathways: industrial structure upgrading and technological progress. The heterogeneity analysis indicates that the impact of green industrial development on high-quality employment varies significantly across different industrial structures, with counties dominated by the tertiary sector showing more substantial promotion effects. The threshold regression analysis reveals a dual-threshold effect of technological progress in promoting high-quality employment through green industrial development, presenting an approximately J-shaped nonlinear relationship. The research findings provide significant support for the sustainable development of the ecological environment and society by addressing current imbalances between ecological preservation and economic or social growth. Full article
Show Figures

Figure 1

27 pages, 4668 KB  
Review
Macaúba (Acrocomia aculeata) as a Sustainable Alternative for the Bioindustry: A Bibliometric Review of Applications as Phytochemicals, Bioactives, and Biodiesel
by Lucas Costa da Silva, Maria Vanderly Nascimento Cavalcante, Mauricio Dorneles Lima, Bruna Araújo de Sousa, Ângella Eduarda da Silva Sousa, Alisson Justino Alves da Silva, Nair Silva Macêdo, Zildene de Sousa Silveira, Francisco Nascimento Pereira Junior, Francisco Assis Bezerra da Cunha, Luciana Medeiros Bertini and Maria Alexsandra de Sousa Rios
Sustainability 2026, 18(2), 1035; https://doi.org/10.3390/su18021035 - 20 Jan 2026
Abstract
This research aimed to conduct a bibliometric review on Acrocomia aculeata (Jacq.) Lodd. ex Mart., popularly known as “macaúba”, a palm tree of the Arecaceae family with great potential to promote sustainable practices. The review focused on the applications associated with [...] Read more.
This research aimed to conduct a bibliometric review on Acrocomia aculeata (Jacq.) Lodd. ex Mart., popularly known as “macaúba”, a palm tree of the Arecaceae family with great potential to promote sustainable practices. The review focused on the applications associated with the oil, pulp, and almonds of the fruit, products that can be used in industries such as food, cosmetics, and bioenergy, contributing to the development of more ecological production chains with less environmental impact. Data were collected from the Scopus, Web of Science, and ScienceDirect databases for publications related to phytochemical and bioactive aspects, while only Web of Science was used for data on energy aspects. The documents found were analyzed in the VOSviewer software (version 1.6.20), allowing the creation of bibliometric networks (clusters) and tables on scientific production. The analyses included authors, co-authors, countries, institutions, journal sources, and keywords. For phytochemical and bioactive aspects, the search resulted in 1026 articles, of which 261 were selected after applying the exclusion criteria. For energy aspects, 99 publications were found. Based on the data, it was possible to analyze the existing research on A. aculeata, identifying the state of the research and possible gaps in studies related to this oilseed. The results highlight the importance of macaúba as a sustainable alternative for diversifying agricultural and bioindustrial products, promoting the bioeconomy and contributing to the mitigation of environmental impacts. In addition, the research allowed us to identify the universities and researchers most dedicated to this species, their main results and the areas that still require investment to advance research. Thus, A. aculeata emerges as a relevant option to strengthen sustainable practices in key sectors, integrating economic, social, and environmental benefits. Full article
Show Figures

Figure 1

21 pages, 1226 KB  
Review
Can Deep-Sea Mining Contribute to the Supply of Critical Minerals Without Compromising Sustainability?
by Fernanda Espínola, Luis Felipe Orellana and Emilio Castillo
Minerals 2026, 16(1), 98; https://doi.org/10.3390/min16010098 - 20 Jan 2026
Abstract
Future shortages of minerals essential for green technologies have driven the search for new supply sources. In this context, deep-sea mining (DSM) has emerged as an innovative alternative for accessing strategic metals such as manganese and cobalt, among others, through the exploitation of [...] Read more.
Future shortages of minerals essential for green technologies have driven the search for new supply sources. In this context, deep-sea mining (DSM) has emerged as an innovative alternative for accessing strategic metals such as manganese and cobalt, among others, through the exploitation of deposits including polymetallic nodules, ferromanganese crusts, and seafloor massive sulfides. However, while DSM could help meet the growing demand for minerals, it also presents significant challenges and opportunities. This study compiles and analyzes scientific publications on DSM to assess its potential effects. It reviews the main environmental impacts and, in addition, proposes a systematic classification of them. It also addresses the social and economic effects associated with this activity, considering human dynamics and the factors that shape its long-term viability. The results indicate that, although DSM may offer advantages over terrestrial mining, it still lacks a robust framework to mitigate impacts and anticipate future consequences. Unlike previous reviews focused on partial dimensions of sustainability, this work integrates environmental, social, and economic dimensions through a systematic impact classification. Critical challenges remain in ecological understanding, environmental monitoring, and long-term socio-economic assessment, alongside an international governance framework that is still nascent, reinforcing the need for interdisciplinary research. Full article
Show Figures

Figure 1

20 pages, 3420 KB  
Article
From Establishment to Expansion: Changing Drivers of Acacia spp. Invasion in Mainland Central Portugal
by Matilde Salgueiro, Carla Mora and César Capinha
Forests 2026, 17(1), 135; https://doi.org/10.3390/f17010135 - 19 Jan 2026
Viewed by 19
Abstract
Land abandonment and recurrent wildfires are major drivers of landscape transformation in Mediterranean Europe, creating favorable conditions for the spread of non-native invasive woody species. Among these, Australian wattles (genus Acacia) are particularly widespread and problematic in Portugal. This work analyzed the [...] Read more.
Land abandonment and recurrent wildfires are major drivers of landscape transformation in Mediterranean Europe, creating favorable conditions for the spread of non-native invasive woody species. Among these, Australian wattles (genus Acacia) are particularly widespread and problematic in Portugal. This work analyzed the spatiotemporal dynamics of Acacia spp. in two municipalities of central Portugal (Sertã and Pedrógão-Grande) by combining multitemporal photointerpretation of aerial imagery (2004–2021), generalized additive models (GAMs), and local perception surveys. Results reveal a 417% increase in occupied area over the last two decades. Modeling outcomes indicate a temporal shift in invasion drivers: from an establishment phase (2004–2010), mainly constrained by altitude and proximity to primary introduction sites, to a disturbance-driven expansion phase (2010–2021), influenced by fire recurrence, slope, and land-use context. Spatial clustering persisted throughout, underscoring the role of founder populations. Surveys confirmed high public awareness of Acacia invasiveness and identified abandonment and wildfire as the main perceived triggers of spread. By integrating ecological and social dimensions, this study provides a socioecological perspective on Acacia spp. expansion in Mediterranean rural landscapes and highlights the urgent need for integrated, landscape-scale management strategies. Full article
(This article belongs to the Section Forest Ecology and Management)
Show Figures

Figure 1

23 pages, 10239 KB  
Article
Evaluation of Spatial Attractiveness and Its Influencing Factors Across Different Types of Recreational Spaces in Suzhou Industrial Park
by Chenyuan Han, Liang Zhang, Lin Xu, Zhenchen Chen, Chuanyou Mao and Zhengwei Xia
Sustainability 2026, 18(2), 1028; https://doi.org/10.3390/su18021028 - 19 Jan 2026
Viewed by 32
Abstract
Recreational spaces in industrial parks are essential components of sustainable urban development, as they contribute to environmental quality, social well-being, and the transformation of production-oriented areas into livable urban environments. This study aims to develop a spatial attractiveness evaluation framework tailored to recreational [...] Read more.
Recreational spaces in industrial parks are essential components of sustainable urban development, as they contribute to environmental quality, social well-being, and the transformation of production-oriented areas into livable urban environments. This study aims to develop a spatial attractiveness evaluation framework tailored to recreational spaces in industrial parks, to identify and compare the key factors influencing attractiveness across different recreational space types, and to reveal the functional complementarity and underlying mechanisms among these spaces. Taking Suzhou Industrial Park (SIP) as a case study, a three-dimensional evaluation framework integrating spatial attributes, experiential perception, and place identity was constructed using GIS-based spatial analysis, questionnaire surveys, and the analytic hierarchy process (AHP). The spatial attractiveness of nature-dominated, mixed-type, and artificial-dominated recreational spaces was systematically evaluated and compared. The results show that experiential perception and place identity exert a stronger influence on spatial attractiveness than objective spatial attributes. Nature-dominated spaces primarily support ecological restoration and psychological recovery, mixed-type spaces facilitate diverse social and leisure activities, and artificial-dominated spaces are more suited to short-duration, high-frequency use, demonstrating clear functional complementarity. These findings highlight the necessity of type-specific strategies for enhancing recreational spaces in industrial parks and emphasize their role in supporting environmentally, socially, and functionally sustainable urban development. The proposed framework provides a transferable approach for evaluating and optimizing recreational spaces in other functionally mixed urban contexts. Full article
Show Figures

Figure 1

Back to TopTop