Sign in to use this feature.

Years

Between: -

Subjects

remove_circle_outline
remove_circle_outline
remove_circle_outline
remove_circle_outline
remove_circle_outline
remove_circle_outline
remove_circle_outline
remove_circle_outline
remove_circle_outline

Journals

Article Types

Countries / Regions

Search Results (24)

Search Parameters:
Keywords = small-scale horizontal axis wind turbines

Order results
Result details
Results per page
Select all
Export citation of selected articles as:
33 pages, 1580 KB  
Article
Selection and Classification of Small Wind Turbines for Local Energy Systems: Balancing Efficiency, Climate Conditions, and User Comfort
by Waldemar Moska, Leszek Piechowski and Andrzej Łebkowski
Energies 2025, 18(17), 4575; https://doi.org/10.3390/en18174575 - 28 Aug 2025
Viewed by 745
Abstract
Micro and small wind turbines (MAWTs) are increasingly integrated into residential and prosumer hybrid energy systems. However, their real-world performance often falls short of catalog specifications due to mismatched wind resources, siting limitations, and insufficient attention to human comfort. This paper presents a [...] Read more.
Micro and small wind turbines (MAWTs) are increasingly integrated into residential and prosumer hybrid energy systems. However, their real-world performance often falls short of catalog specifications due to mismatched wind resources, siting limitations, and insufficient attention to human comfort. This paper presents a comprehensive decision-support framework for selecting the type and scale of MAWTs under actual local conditions. The energy assessment module combines aerodynamic performance scaling, wind speed-frequency modeling based on Weibull distributions, turbulence intensity adjustments, and component-level efficiency factors for both horizontal and vertical axis turbines. The framework addresses three key design objectives: efficiency—aligning turbine geometry and control strategies with local wind regimes to maximize energy yield; comfort—evaluating candidate designs for noise emissions, shadow flicker, and visual impact near buildings; and climate adaptation—linking turbine siting, hub height, and rotor type to terrain roughness, turbulence, and built environment characteristics. Case studies from low and moderate wind locations in Central Europe demonstrate how multi-criteria filtering avoids oversizing, improves the autonomy of hybrid PV–wind systems, and identifies configurations that may exceed permissible limits for noise or flicker. The proposed methodology enables evidence-based deployment of MAWTs in decentralized energy systems that balance technical performance, resilience, and occupant well-being. Full article
Show Figures

Figure 1

16 pages, 4374 KB  
Article
Investigation of Short Carbon Fiber-Reinforced Polylactic Acid Composites Blades for Horizontal Axis Wind Turbines: Mechanical Strength and Energy Efficiency of Fused Filament Fabrication-Printed Blades
by Lotfi Ben Said, Sarhan Karray, Wissem Zghal, Hamdi Hentati, Badreddine Ayadi, Alaa Chabir and Muapper Alhadri
J. Compos. Sci. 2025, 9(3), 118; https://doi.org/10.3390/jcs9030118 - 4 Mar 2025
Cited by 4 | Viewed by 1387
Abstract
The use of 3D printing is expanding in manufacturing wind turbine blades for renewable energy. This study examines the relationship between geometric parameters, mechanical strength, and aerodynamic performance in blades made from short carbon fiber-reinforced PLA (SCFR-PLA) composites. To achieve this, it includes [...] Read more.
The use of 3D printing is expanding in manufacturing wind turbine blades for renewable energy. This study examines the relationship between geometric parameters, mechanical strength, and aerodynamic performance in blades made from short carbon fiber-reinforced PLA (SCFR-PLA) composites. To achieve this, it includes a comparative evaluation of innovative blade designs and materials, aiming to enhance both the energy efficiency and mechanical durability of horizontal axis wind turbines (HAWTs). The numerical model of the wind turbine blade is validated against experimental results, which employed a NACA geometry and ABS polymer. Building upon this validation, a design of experiments (DOE) analysis is employed to explore the influence of fused filament fabrication (FFF) parameters on the mechanical properties of SCFR-PLA composites. A novel blade design, referred to as HAWTSav, is numerically evaluated using 3D-printed SCFR-PLA composites. Numerical simulations are conducted to evaluate the energy efficiency and structural integrity of the HAWTSav blade. A comparative analysis is then performed, contrasting the performance of the conventional NACA blade in ABS with the HAWTSav blade in SCFR-PLA composites. The findings highlight the potential of SCFR-PLA composites in the development of efficient and durable wind turbine blades, highlighting their applicability, particularly in small-scale wind energy systems. Full article
(This article belongs to the Special Issue Application of Composite Materials in Additive Manufacturing)
Show Figures

Figure 1

17 pages, 6315 KB  
Article
Design Methodology and Economic Impact of Small-Scale HAWT Systems for Urban Distributed Energy Generation
by Marina Budanko and Zvonimir Guzović
Machines 2024, 12(12), 886; https://doi.org/10.3390/machines12120886 - 5 Dec 2024
Cited by 2 | Viewed by 1381
Abstract
Integrating wind turbines within urban environments, either as building-mounted units or standalone installations, represents a valuable step toward sustainable city development. Vertical axis wind turbines (VAWTs) are commonly favored in these settings due to their ability to handle turbulent winds; however, they generally [...] Read more.
Integrating wind turbines within urban environments, either as building-mounted units or standalone installations, represents a valuable step toward sustainable city development. Vertical axis wind turbines (VAWTs) are commonly favored in these settings due to their ability to handle turbulent winds; however, they generally exhibit lower energy conversion efficiency compared to horizontal axis wind turbines (HAWTs). Selecting optimal urban or suburban locations with favorable wind conditions opens the possibility of deploying HAWTs, leveraging their higher efficiency even at comparable wind speeds. This paper presents a methodology for designing highly efficient HAWTs for urban use, supported by computational fluid dynamics (CFD) analyses to produce power curves and evaluate the energy conversion efficiency of both bare and augmented turbine designs. Differing from prior studies, this work also incorporates a detailed economic analysis, examining how reductions in the Levelized Cost of Energy (LCOE) enhance the cost-effectiveness of small-scale distributed wind systems. The findings offer insights into the technical and economic viability of small-scale HAWT configurations for distributed energy generation across diverse urban locations with varying wind profiles. Full article
(This article belongs to the Special Issue Cutting-Edge Applications of Wind Turbine Aerodynamics)
Show Figures

Figure 1

17 pages, 815 KB  
Article
Addressing VAWT Aerodynamic Challenges as the Key to Unlocking Their Potential in the Wind Energy Sector
by Abolfazl Abdolahifar and Amir Zanj
Energies 2024, 17(20), 5052; https://doi.org/10.3390/en17205052 - 11 Oct 2024
Cited by 12 | Viewed by 3466
Abstract
While the wind turbine industry has been primarily dominated by horizontal-axis wind turbines, the forefront of knowledge of these turbines has revealed significant challenges in various aspects, including manufacturing, structural design, cost, and maintenance. On the other hand, the advantages associated with Darrieus [...] Read more.
While the wind turbine industry has been primarily dominated by horizontal-axis wind turbines, the forefront of knowledge of these turbines has revealed significant challenges in various aspects, including manufacturing, structural design, cost, and maintenance. On the other hand, the advantages associated with Darrieus vertical-axis wind turbines (VAWTs) demonstrate significant potential that can address the existing challenges of the wind turbine industry. Current work aims to investigate the practicality of this potential for the wind energy sector. To this end, the benefits of employing Darrieus turbines for domestic and industrial applications, isolated operation, and on/offshore windfarm applications have been explored. It is apparent that Darrieus VAWTs are better suited to a wide range of environments, whether they are deployed in isolation or integrated systems, and whether they are utilized on a small or large scale. Darrieus VAWTs are adaptable to urban unsteady variable wind, are less expensive on large scales, provide higher power density at the windfarm level, and provide stability for offshore platforms. Nevertheless, challenges remain in fully harnessing VAWT potential rooted in their complex aerodynamics. This serves as a primary challenge for VAWTs to address the challenges of the wind turbine industry in line with the 2050 roadmap. Full article
(This article belongs to the Special Issue Wind Turbine Aeromechanics: Theory, Methods and Applications)
Show Figures

Figure 1

16 pages, 5559 KB  
Article
An Experimental Study on the Effectiveness of the Backward-Facing Step Technique on Small-Scale Horizontal-Axis Wind Turbine Rotor Blades
by Riad Morina and Yahya Erkan Akansu
Energies 2024, 17(5), 1170; https://doi.org/10.3390/en17051170 - 1 Mar 2024
Cited by 6 | Viewed by 1779
Abstract
The aim of this research work was to explore how modifying the design of small-scale HAWT rotor blades through the backward-facing step technique affects their efficiency under varying wind speeds. The study involved altering step parameters such as location, length, and depth to [...] Read more.
The aim of this research work was to explore how modifying the design of small-scale HAWT rotor blades through the backward-facing step technique affects their efficiency under varying wind speeds. The study involved altering step parameters such as location, length, and depth to create four distinct stepped blade shapes and enhance the aerodynamic performance of a rotor with a diameter of 280 mm. A specific blade profile, NREL S822, was selected to meet both aerodynamic and structural criteria. The rotor models were examined at a Reynolds number of 4.7 × 104 for wind speeds between 8.5 and 15.5 m/s and tip-speed ratios between 2 and 5. The experimental results indicated that for certain geometric step parameter values, the efficiency of the rotor model (B3) increased by approximately 47% compared to the base model (B1), particularly for tip-speed ratios lower than around 3.2. However, beyond this point, the rotor efficiency dropped significantly, reaching approximately 60% in one case. Additionally, a hybrid rotor model (B6) was generated by combining the shape of the rotor model (B4) with the most efficient rotor model from the literature, generated using the leading-edge wavy shape technique. This hybrid rotor model enhanced rotor efficiency for specific values of tip-speed ratio and also ensured its smoother operation. Overall, the rotor model (B2), distinguished by smaller step parameter values and a shift as well as broadening of the power coefficient curve towards lower tip-speed ratio values, exhibited a higher peak power coefficient, approximately 1.4% greater than the base rotor (B1). This increase occurred at a lower tip-speed ratio, allowing the rotor to operate with higher efficiency across a broader range of tip-speed ratios. Full article
(This article belongs to the Special Issue Advanced Wind Energy Conversion Systems)
Show Figures

Figure 1

23 pages, 51167 KB  
Article
Enhancing Savonius Vertical Axis Wind Turbine Performance: A Comprehensive Approach with Numerical Analysis and Experimental Investigations
by Kumail Abdulkareem Hadi Al-Gburi, Firas Basim Ismail Alnaimi, Balasem Abdulameer Jabbar Al-quraishi, Ee Sann Tan and Ali Kamil Kareem
Energies 2023, 16(10), 4204; https://doi.org/10.3390/en16104204 - 19 May 2023
Cited by 24 | Viewed by 7594
Abstract
Small-scale vertical-axis wind power generation technologies such as Savonius wind turbines are gaining popularity in suburban and urban settings. Although vertical-axis wind turbines (VAWTs) may not be as efficient as their horizontal-axis counterparts, they often present better opportunities for integration within [...] Read more.
Small-scale vertical-axis wind power generation technologies such as Savonius wind turbines are gaining popularity in suburban and urban settings. Although vertical-axis wind turbines (VAWTs) may not be as efficient as their horizontal-axis counterparts, they often present better opportunities for integration within building structures. The main issue stems from the suboptimal aerodynamic design of Savonius turbine blades, resulting in lower efficiency and power output. To address this, modern turbine designs focus on optimizing various geometric aspects of the turbine to improve aerodynamic performance, efficiency, and overall effectiveness. This study developed a unique optimization method, incorporating a new blade geometry with guide gap flow for Savonius wind turbine blade design. The aerodynamic characteristics of the Savonius wind turbine blade were extensively analyzed using 3D ANSYS CFX software. The optimization process emphasized the power coefficient as the objective function while considering blade profiles, overlap ratio, and blade number as crucial design parameters. This objective was accomplished using the design of experiments (DOE) method with the Minitab statistical software. The research findings revealed that the novel turbine design “OR0.109BS2BN2” outperformed the reference turbine with a 22.8% higher power coefficient. Furthermore, the results indicated a trade-off between the flow (swirling flow) through the gap guide flow and the impact blockage ratio, which resulted from the reduced channel width caused by the extended blade tip length. Full article
(This article belongs to the Topic Advances in Wind Energy Technology)
Show Figures

Figure 1

26 pages, 9580 KB  
Article
High-Fidelity Modeling and Investigation on Blade Shape and Twist Angle Effects on the Efficiency of Small-Scale Wind Turbines
by Widad Yossri, Samah Ben Ayed and Abdessattar Abdelkefi
Energies 2023, 16(8), 3430; https://doi.org/10.3390/en16083430 - 13 Apr 2023
Viewed by 6088
Abstract
A high-fidelity analysis is carried out in order to evaluate the effects of blade shape, airfoil cross-section. as well as twist angle distribution on the yielded torque and generated power of a horizontal axis Small-Scale Wind Turbine (SSWT). A computational modeling and an [...] Read more.
A high-fidelity analysis is carried out in order to evaluate the effects of blade shape, airfoil cross-section. as well as twist angle distribution on the yielded torque and generated power of a horizontal axis Small-Scale Wind Turbine (SSWT). A computational modeling and an effective design for a small turbine with a blade length of 25 cm subject to a 4 m/s freestream velocity are presented, in which a segregated RANS solver is utilized. Four airfoil profiles are assessed, namely NACA0012, NACA0015, NACA4412, and NACA4415, and two blade shape configurations, rectangular and tapered, are evaluated. The flow around the rotating turbines is investigated along with blade stresses and performance output for each configuration. Subsequently, the impact of various linear and nonlinear twist distributions on SSWT efficiency is also examined. Results show that for the studied operating conditions corresponding to low-speed flows, the rectangular blade configuration outperforms the tapered blade shape from the generated torque and power perspectives, while the tapered shape configuration represents an attractive design choice from the yielded stresses point of view. Additionally, while the nonlinear twist configuration results in the best performance among the configurations studied, an SSWT blade design implementing a linear twist distribution can be highly competitive provided that a good slope is carefully selected. Full article
(This article belongs to the Special Issue Dynamic CFD Simulations of Turbine Aerodynamics)
Show Figures

Figure 1

25 pages, 19038 KB  
Article
3D CFD Modelling of Performance of a Vertical Axis Turbine
by Cameron Gerrie, Sheikh Zahidul Islam, Sean Gerrie, Naomi Turner and Taimoor Asim
Energies 2023, 16(3), 1144; https://doi.org/10.3390/en16031144 - 20 Jan 2023
Cited by 20 | Viewed by 4850
Abstract
Recently, wind turbine research has switched focus to vertical axis wind turbines due to the extensive research that has been performed on horizontal axis wind turbines and the potential of vertical axis wind turbines in built-up areas. This study aims to analyse the [...] Read more.
Recently, wind turbine research has switched focus to vertical axis wind turbines due to the extensive research that has been performed on horizontal axis wind turbines and the potential of vertical axis wind turbines in built-up areas. This study aims to analyse the performance of a small-scale hybrid vertical axis wind turbine that can switch from functioning as a Darrieus (lift) turbine to a Savonius (drag) turbine by rotating the blades. The turbine was analysed using 3D computational fluid dynamics (CFD) simulations in ANSYS Fluent as the primary method, and the findings were verified using wind tunnel experiments. During the analysis, design parameters such as the blade length, diameter, and number of blades were varied to determine if the design had room for improvement. It was found that the current design of the turbine has an optimal efficiency of 12.5% in the Darrieus configuration, which was found to increase when the diameter or blade length was increased. The Savonius configuration was found to be more efficient at low tip-speed ratios (<0.14), and its efficiency could be increased by adding more blades. The experiments found similar trends to the simulations; however, the efficiencies obtained were on average a tenfold increase from the simulation. Implementing the changes that increased efficiency leads to an increased wake recovery distance, making it less suitable for use in a wind farm. Full article
(This article belongs to the Special Issue Advancement in Wind Turbine Technology)
Show Figures

Figure 1

22 pages, 10013 KB  
Article
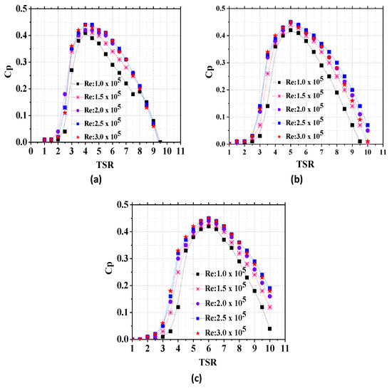
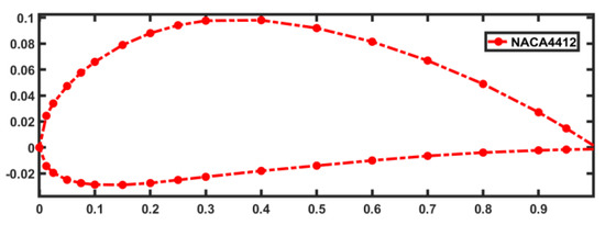
Design and Optimization of a Small-Scale Horizontal Axis Wind Turbine Blade for Energy Harvesting at Low Wind Profile Areas
by Dallatu Abbas Umar, Chong Tak Yaw, Siaw Paw Koh, Sieh Kiong Tiong, Ammar Ahmed Alkahtani and Talal Yusaf
Energies 2022, 15(9), 3033; https://doi.org/10.3390/en15093033 - 21 Apr 2022
Cited by 23 | Viewed by 8044
Abstract
Wind turbine blades perform the most important function in the wind energy conversion process. It plays the most vital role of absorbing the kinetic energy of the wind, and converting it to mechanical energy before it is transformed into electrical energy by generators. [...] Read more.
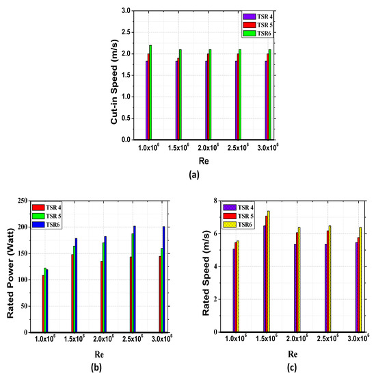
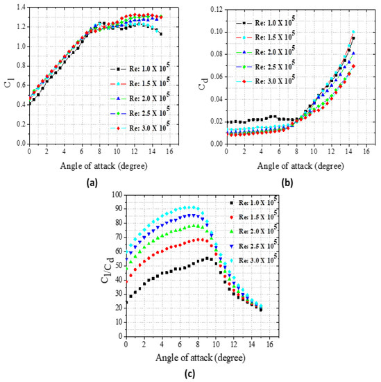
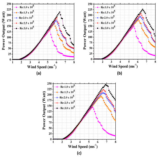
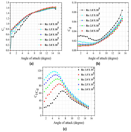
Wind turbine blades perform the most important function in the wind energy conversion process. It plays the most vital role of absorbing the kinetic energy of the wind, and converting it to mechanical energy before it is transformed into electrical energy by generators. In this work, National Advisory Committee for Aeronautics (NACA) 4412 and SG6043 airfoils were selected to design a small horizontal axis variable speed wind turbine blade for harvesting efficient energy from low wind speed areas. Due to the low wind profile of the targeted area, a blade of one-meter radius was considered in this study. To attain the set objectives of fast starting time and generate more torque and power at low wind speeds, optimization was carryout by varying Reynolds numbers (Re) on tip speed ratios (TSR) values of 4, 5, and 6. The blade element momentum (BEM) method was developed in MATLAB programming code to iteratively find the best twist and chord distributions along the one-meter blade length for each Re and tip speed ratio (TSR) value. To further enhance the blade performance, the twist and chord distributions were transferred to Q-blade software, where simulations of the power coefficients (Cp) were performed and further optimized by varying the angles of attack. The highest power coefficients values of 0.42, 0.43, and 0.44 were recorded with NACA 4412 rotor blades, and 0.43, 0.44, and 0.45 with SG6043 rotor blades. At the Re of 3.0 × 105, the blades were able to harvest maximum power of 144.73 watts (W), 159.69 W, and 201.04 W with the NACA 4412 and 213.15 W, 226.44 W, 245.09 W with the SG6043 at the TSR of 4, 5, and 6 respectively. The lowest cut-in speed of 1.80 m/s and 1.70 m/s were achieved with NACA 4412 and SG6043 airfoils at TSR 4. At a low wind speed of 4 m/s, the blades were able to harness an efficient power of 79.3. W and 80.10 W with both rotor blades at the TSR 4 and 6 accordingly. Full article
Show Figures

Figure 1

21 pages, 6629 KB  
Article
Parametric Analysis Using CFD to Study the Impact of Geometric and Numerical Modeling on the Performance of a Small Scale Horizontal Axis Wind Turbine
by Muhammad Salman Siddiqui, Muhammad Hamza Khalid, Abdul Waheed Badar, Muhammed Saeed and Taimoor Asim
Energies 2022, 15(2), 505; https://doi.org/10.3390/en15020505 - 11 Jan 2022
Cited by 23 | Viewed by 4833
Abstract
The reliance on Computational Fluid Dynamics (CFD) simulations has drastically increased over time to evaluate the aerodynamic performance of small-scale wind turbines. With the rapid variability in customer demand, industrial requirements, economic constraints, and time limitations associated with the design and development of [...] Read more.
The reliance on Computational Fluid Dynamics (CFD) simulations has drastically increased over time to evaluate the aerodynamic performance of small-scale wind turbines. With the rapid variability in customer demand, industrial requirements, economic constraints, and time limitations associated with the design and development of small-scale wind turbines, the trade-off between computational resources and the simulation’s numerical accuracy may vary significantly. In the context of wind turbine design and analysis, high fidelity simulation under full geometric and numerical complexity is more accurate but pose significant demands from a computational standpoint. There is a need to understand and quantify performance deterioration of high fidelity simulations under reduced geometric or numerical approximation on a single small scale turbine model. In the present work, the flow past a small-scale Horizontal Axis Wind Turbine (HAWT) was simulated under various geometric and numerical configurations. The geometric complexity was varied based on stationary and rotating turbine conditions. In the stationary case, simple 2D airfoil, 2.5D blade, 3D blade sections are evaluated, while rotational effects are introduced for the configuration 3D blade, rotor only, and the full-scale wind turbine with and without the inclusion of a nacelle and tower. In terms of numerical complexity, the Single Reference Frame (SRF), Multiple Reference Frames (MRF), and the Sliding Meshing Interface (SMI) is analyzed over Tip Speed Ratios (TSR) of 3, 6, 10. The quantification of aerodynamic coefficients of the blade (Cl, Cd) and turbine (Cp, Ct) was conducted along with the discussion on wake patterns in comparison with experimental data. Full article
(This article belongs to the Special Issue Advancement in Wind Turbine Technology)
Show Figures

Figure 1

24 pages, 2539 KB  
Review
Floating Offshore Vertical Axis Wind Turbines: Opportunities, Challenges and Way Forward
by Abel Arredondo-Galeana and Feargal Brennan
Energies 2021, 14(23), 8000; https://doi.org/10.3390/en14238000 - 30 Nov 2021
Cited by 35 | Viewed by 6910
Abstract
The offshore wind sector is expanding to deep water locations through floating platforms. This poses challenges to horizontal axis wind turbines (HAWTs) due to the ever growing size of blades and floating support structures. As such, maintaining the structural integrity and reducing the [...] Read more.
The offshore wind sector is expanding to deep water locations through floating platforms. This poses challenges to horizontal axis wind turbines (HAWTs) due to the ever growing size of blades and floating support structures. As such, maintaining the structural integrity and reducing the levelised cost of energy (LCoE) of floating HAWTs seems increasingly difficult. An alternative to these challenges could be found in floating offshore vertical axis wind turbines (VAWTs). It is known that VAWTs have certain advantages over HAWTs, and in fact, some small-scale developers have successfully commercialised their onshore prototypes. In contrast, it remains unknown whether VAWTs can offer an advantage for deep water floating offshore wind farms. Therefore, here we present a multi-criteria review of different aspects of VAWTs to address this question. It is found that wind farm power density and reliability could be decisive factors to make VAWTs a feasible alternative for deep water floating arrays. Finally, we propose a way forward based on the findings of this review. Full article
(This article belongs to the Section A3: Wind, Wave and Tidal Energy)
Show Figures

Figure 1

23 pages, 3913 KB  
Article
A Visual Analytics Web Platform for Detecting High Wind Energy Potential in Urban Environments by Employing OGC Standards
by Athanasios Koukofikis and Volker Coors
ISPRS Int. J. Geo-Inf. 2021, 10(10), 707; https://doi.org/10.3390/ijgi10100707 - 15 Oct 2021
Cited by 2 | Viewed by 2204
Abstract
Moving into the third decade of the 21st century, smart cities are becoming a vital concept of advancement of the quality of life. Without any doubt, cities today can generate data of high velocity which can be used in plethora of applications. The [...] Read more.
Moving into the third decade of the 21st century, smart cities are becoming a vital concept of advancement of the quality of life. Without any doubt, cities today can generate data of high velocity which can be used in plethora of applications. The wind flow inside a city is an area of several studies which span from pedestrian comfort and natural ventilation to wind energy yield. We propose a Visual Analytics platform based on a server-client web architecture capable of identifying areas with high wind energy potential by employing 3D technologies and Open Geospatial Consortium (OGC) standards. The assessment of a whole city or sub-regions will be supported by integrating Computational Fluid Dynamics (CFD) outcomes with historical wind sensor readings. The results, in 3D space, of such analysis could be used by a wide audience, including city planners and citizens, for locating installation points of small-scale horizontal or vertical axis wind turbines in an urban area. A case study in an urban quarter of Stuttgart is used to evaluate the interactiveness of the proposed workflow. The results show an adequate performance, although there is a lot of room for improvement in future work. Full article
Show Figures

Figure 1

16 pages, 7073 KB  
Article
Simulation of Glass Fiber Reinforced Polypropylene Nanocomposites for Small Wind Turbine Blades
by Yasser Elhenawy, Yasser Fouad, Haykel Marouani and Mohamed Bassyouni
Processes 2021, 9(4), 622; https://doi.org/10.3390/pr9040622 - 1 Apr 2021
Cited by 10 | Viewed by 4210
Abstract
This study aims to evaluate the effect of functionalized multi-walled carbon nanotubes (MWCNTs) on the performance of glass fiber (GF)-reinforced polypropylene (PP) for wind turbine blades. Support for theoretical blade movement of horizontal axis wind turbines (HAWTs), simulation, and analysis were performed with [...] Read more.
This study aims to evaluate the effect of functionalized multi-walled carbon nanotubes (MWCNTs) on the performance of glass fiber (GF)-reinforced polypropylene (PP) for wind turbine blades. Support for theoretical blade movement of horizontal axis wind turbines (HAWTs), simulation, and analysis were performed with the Ansys computer package to gain insight into the durability of polypropylene-chopped E-glass for application in turbine blades under aerodynamic, gravitational, and centrifugal loads. Typically, polymer nanocomposites are used for small-scale wind turbine systems, such as for residential applications. Mechanical and physical properties of material composites including tensile and melt flow indices were determined. Surface morphology of polypropylene-chopped E-glass fiber and functionalized MWCNTs nanocomposites showed good distribution of dispersed phase. The effect of fiber loading on the mechanical properties of the PP nanocomposites was investigated in order to obtain the optimum composite composition and processing conditions for manufacturing wind turbine blades. The results show that adding MWCNTs to glass fiber-reinforced PP composites has a substantial influence on deflection reduction and adding them to chopped-polypropylene E-glass has a significant effect on reducing the bias estimated by finite element analysis. Full article
Show Figures

Figure 1

17 pages, 1930 KB  
Article
Analysis of Modal Parameters Using a Statistical Approach for Condition Monitoring of the Wind Turbine Blade
by Lukasz Dolinski and Marek Krawczuk
Appl. Sci. 2020, 10(17), 5878; https://doi.org/10.3390/app10175878 - 25 Aug 2020
Cited by 15 | Viewed by 3826
Abstract
The primary objective of the presented paper is the numerical and experimental investigation related to developing a useful diagnostic method, which can be used for determining the site and size of damage in laminated shells of wind turbine blades. The described detection technique [...] Read more.
The primary objective of the presented paper is the numerical and experimental investigation related to developing a useful diagnostic method, which can be used for determining the site and size of damage in laminated shells of wind turbine blades. The described detection technique is based on the analysis of low frequencies bending vibrations mode shapes of rotor blades. The authors used the commonly applied statistics methods that have been adapted to detect edges of damage, including the normalized determination coefficient fit, which is a measure of the absolute fit between two curves. The research was conducted for a scaled-down blade of a three-bladed horizontal-axis wind turbine with 36 m diameter rotor. The study was divided into two parts. The first stage included numerical calculations using the finite element method, which were supplemented in the second stage by measurements under laboratory conditions of the specially manufactured composite blade. The forms of natural vibrations for intact and damaged blade were determined using Laser Doppler Scanning Vibrometry. The results of the presented research confirm the effectiveness of the modal analysis combined with statistic calculation in damage detection. The method points out the location of relatively small damage. Full article
Show Figures

Figure 1

16 pages, 371 KB  
Article
Design Optimization and Sizing for Fly-Gen Airborne Wind Energy Systems
by Mark Aull, Andy Stough and Kelly Cohen
Automation 2020, 1(1), 1-16; https://doi.org/10.3390/automation1010001 - 17 Jun 2020
Cited by 10 | Viewed by 5947
Abstract
Traditional on-shore horizontal-axis wind turbines need to be large for both performance reasons (e.g., clearing ground turbulence and reaching higher wind speeds) and for economic reasons (e.g., more efficient land use, lower maintenance costs, and fewer controllers and grid attachments) while their efficiency [...] Read more.
Traditional on-shore horizontal-axis wind turbines need to be large for both performance reasons (e.g., clearing ground turbulence and reaching higher wind speeds) and for economic reasons (e.g., more efficient land use, lower maintenance costs, and fewer controllers and grid attachments) while their efficiency is scale and mass independent. Airborne wind energy (AWE) system efficiency is a function of system size and AWE system operating altitude is less directly coupled to system power rating. This paper derives fly-gen AWE system parameters from small number of design parameters, which are used to optimize a design for energy cost. This paper then scales AWE systems and optimizes them at each scale to determine the relationships between size, efficiency, power output, and cost. The results indicate that physics and economics favor a larger number of small units, at least offshore or where land cost is small. Full article
(This article belongs to the Special Issue Automation in Airborne Wind Energy Systems)
Show Figures

Figure 1

Back to TopTop