Sign in to use this feature.

Years

Between: -

Subjects

remove_circle_outline
remove_circle_outline
remove_circle_outline
remove_circle_outline
remove_circle_outline
remove_circle_outline
remove_circle_outline
remove_circle_outline
remove_circle_outline

Journals

remove_circle_outline
remove_circle_outline
remove_circle_outline
remove_circle_outline
remove_circle_outline
remove_circle_outline
remove_circle_outline
remove_circle_outline
remove_circle_outline
remove_circle_outline
remove_circle_outline
remove_circle_outline
remove_circle_outline
remove_circle_outline
remove_circle_outline
remove_circle_outline
remove_circle_outline
remove_circle_outline
remove_circle_outline
remove_circle_outline
remove_circle_outline

Article Types

Countries / Regions

remove_circle_outline
remove_circle_outline
remove_circle_outline
remove_circle_outline
remove_circle_outline
remove_circle_outline

Search Results (2,598)

Search Parameters:
Keywords = sliding surface

Order results
Result details
Results per page
Select all
Export citation of selected articles as:
22 pages, 4205 KB  
Article
A Two-Phase Switching Adaptive Sliding Mode Control Achieving Smooth Start-Up and Precise Tracking for TBM Hydraulic Cylinders
by Shaochen Yang, Dong Han, Lijie Jiang, Lianhui Jia, Zhe Zheng, Xianzhong Tan, Huayong Yang and Dongming Hu
Actuators 2026, 15(1), 57; https://doi.org/10.3390/act15010057 - 16 Jan 2026
Viewed by 94
Abstract
Tunnel boring machine (TBM) hydraulic cylinders operate under pronounced start–stop shocks and load uncertainties, making it difficult to simultaneously achieve smooth start-up and high-precision tracking. This paper proposes a two-phase switching adaptive sliding mode control (ASMC) strategy for TBM hydraulic actuation. Phase I [...] Read more.
Tunnel boring machine (TBM) hydraulic cylinders operate under pronounced start–stop shocks and load uncertainties, making it difficult to simultaneously achieve smooth start-up and high-precision tracking. This paper proposes a two-phase switching adaptive sliding mode control (ASMC) strategy for TBM hydraulic actuation. Phase I targets a soft start by introducing smooth gating and a ramped start-up mechanism into the sliding surface and equivalent control, thereby suppressing pressure spikes and displacement overshoot induced by oil compressibility and load transients. Phase II targets precise tracking, combining adaptive laws with a forgetting factor design to maintain robustness while reducing chattering and steady-state error. We construct a state-space model that incorporates oil compressibility, internal/external leakage, and pump/valve dynamics, and provide a Lyapunov-based stability analysis proving bounded stability and error convergence under external disturbances. Comparative simulations under representative TBM conditions show that, relative to conventional PID Controller and single ASMC Controller, the proposed method markedly reduces start-up pressure/velocity peaks, overshoot, and settling time, while preserving tracking accuracy and robustness over wide load variations. The results indicate that the strategy can achieve the unity of smooth start and high-precision trajectory of TBM hydraulic cylinder without additional sensing configuration, offering a practical path for high-performance control of TBM hydraulic actuators in complex operating environments. Full article
(This article belongs to the Section Control Systems)
Show Figures

Figure 1

21 pages, 2890 KB  
Article
Tracking Control of Quadrotor UAVs with Prescribed Performance and Prescribed-Time Convergence Under Arbitrary Initial Conditions
by Tiantian Xiao, Jinlong Guo, Jintao Chen, Dawei Sun, Daochun Li and Jinwu Xiang
Electronics 2026, 15(2), 408; https://doi.org/10.3390/electronics15020408 - 16 Jan 2026
Viewed by 89
Abstract
Quadrotor unmanned aerial vehicles demonstrate broad application prospects, yet existing research still lacks a comprehensive solution that simultaneously addresses efficiency, disturbance rejection, environmental adaptability, and precision in their control performance. To achieve prescribed-time convergence and prescribed tracking performance, this work proposes a composite [...] Read more.
Quadrotor unmanned aerial vehicles demonstrate broad application prospects, yet existing research still lacks a comprehensive solution that simultaneously addresses efficiency, disturbance rejection, environmental adaptability, and precision in their control performance. To achieve prescribed-time convergence and prescribed tracking performance, this work proposes a composite control scheme that integrates prescribed-performance control, disturbance estimation, and terminal sliding-mode control. First, a prescribed-time adaptive composite disturbance observer is developed to estimate and compensate for system composite disturbances, and a stability analysis shows that the disturbance estimation error converges to a small neighborhood of the origin within a prescribed time. Second, the system is decomposed into position and attitude subsystems, enabling tailored hierarchical control-law design and analysis based on their distinct dynamics. For position control, a prescribed-performance control method is employed, incorporating a prescribed-time performance function that accommodates large initial deviations, thereby guaranteeing convergence of the position-tracking errors to a small neighborhood within a specified time. For attitude control, a prescribed-time terminal sliding-mode surface and corresponding control law are designed to eliminate singularities and ensure convergence of the attitude errors to a small neighborhood within a predetermined time. The stability of both subsystems is rigorously substantiated through theoretical analysis. Finally, comparative simulation results confirm the effectiveness and superiority of the proposed control strategy. Full article
18 pages, 3548 KB  
Article
A Novel Sliding-Mode Control Strategy Based on Exponential Reaching Law for Three-Phase AC/DC Converter
by Sheng Zhou, Xianyang Cui and Tao Jin
Electronics 2026, 15(2), 406; https://doi.org/10.3390/electronics15020406 - 16 Jan 2026
Viewed by 74
Abstract
The control design of three-phase AC/DC converters is particularly challenging, as their dynamic behavior is governed by complex nonlinear interactions and strong coupling among system variables, conventional Proportional–Integral (PI) controllers often suffer from sluggish transient responses and limited immunity to interference. To address [...] Read more.
The control design of three-phase AC/DC converters is particularly challenging, as their dynamic behavior is governed by complex nonlinear interactions and strong coupling among system variables, conventional Proportional–Integral (PI) controllers often suffer from sluggish transient responses and limited immunity to interference. To address these issues, Sliding-Mode Control (SMC) is widely adopted for its robustness against parameter uncertainties and rapid dynamic performance. However, the chattering phenomenon inherent in traditional SMC near the sliding surface remains a critical challenge. To improve the dynamic performance of sliding-mode control, this work introduces a redesigned exponential reaching law into the control framework. The proposed strategy is implemented in a voltage–current cascaded (double closed-loop) structure, where the improved reaching law is embedded in the outer DC-link voltage loop and the inner loop regulates the grid currents in the synchronous dq frame. By modifying the reaching dynamics, the proposed approach effectively weakens chattering phenomena while enabling faster convergence of the system states. Comprehensive validation was conducted using Matlab/Simulink simulations and experimental prototypes. The results demonstrate that, compared to PI control and traditional exponential reaching law-based SMC, the proposed strategy significantly mitigates chattering while delivering superior static stability and faster dynamic response. Full article
(This article belongs to the Special Issue Power Electronics Controllers for Power System)
Show Figures

Figure 1

20 pages, 2503 KB  
Article
Disturbance Observer-Based Terminal Sliding Mode Control Approach for Virtual Coupling Train Set
by Zhiyu He, Ning Xu, Kun Liang, Zhiwei Cao, Xiaoyu Zhao and Zhao Sheng
Appl. Sci. 2026, 16(2), 887; https://doi.org/10.3390/app16020887 - 15 Jan 2026
Viewed by 71
Abstract
To enhance line capacity in high-speed railways without new infrastructure, virtual coupling train sets (VCTSs) enable reduced inter-train distances via real-time communication and cooperative control. However, unknown disturbances and model uncertainties challenge VCTS performance, often causing chattering, slow convergence, and poor disturbance rejection. [...] Read more.
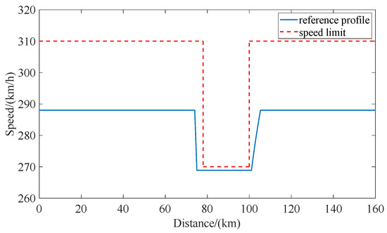
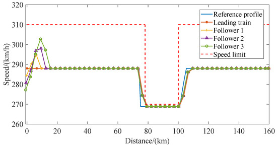
To enhance line capacity in high-speed railways without new infrastructure, virtual coupling train sets (VCTSs) enable reduced inter-train distances via real-time communication and cooperative control. However, unknown disturbances and model uncertainties challenge VCTS performance, often causing chattering, slow convergence, and poor disturbance rejection. This paper proposes a novel finite-time extended state observer-based nonsingular terminal sliding mode (FTESO-NTSM) control strategy. The method integrates a nonsingular terminal sliding mode surface with a hyperbolic tangent-based reaching law to ensure fast convergence and chattering suppression, while a finite-time extended state observer estimates and compensates for lumped disturbances in real time. Lyapunov analysis rigorously proves finite-time stability. Numerical simulations under different initial statuses are conducted to validate the effectiveness of the proposed method. The results show that the maximum observation error achieves 0.0087 kN. The speed chattering magnitudes reach 0.00087 km/h, 0.0017 km/h, 0.0026 km/h, and 0.0034 km/h for the leading train and three followers, respectively. Furthermore, the convergence time of the followers is 56 s, 130 s, and 76 s, respectively. The results highlight that the proposed method can significantly improve line capacity and transportation efficiency. Full article
(This article belongs to the Special Issue Advances in Intelligent Transportation and Its Applications)
Show Figures

Figure 1

35 pages, 16491 KB  
Article
Laser Surface Texturing of AA1050 Aluminum to Enhance the Tribological Properties of PTFE Coatings with a Taguchi-Based Analysis
by Timur Canel, Sinan Fidan, Mustafa Özgür Bora, Satılmış Ürgün, Demet Taşkan Ürgün and Mehmet İskender Özsoy
Lubricants 2026, 14(1), 39; https://doi.org/10.3390/lubricants14010039 - 15 Jan 2026
Viewed by 161
Abstract
Fiber laser surface texturing was applied to AA1050 aluminum to improve friction and wear performance of PTFE coatings. A Taguchi L16 design varied texture geometry (square, diamond, hexagon, circle), scanned area ratio (20% to 80%), and laser power (40 to 100 W) prior [...] Read more.
Fiber laser surface texturing was applied to AA1050 aluminum to improve friction and wear performance of PTFE coatings. A Taguchi L16 design varied texture geometry (square, diamond, hexagon, circle), scanned area ratio (20% to 80%), and laser power (40 to 100 W) prior to primer plus PTFE topcoat deposition (25 to 35 µm). Dry reciprocating sliding against a 6 mm 100Cr6 ball was conducted at 20 N, 1 Hz, and 50 m, and wear track geometry was measured by non-contact profilometry. The non-textured reference exhibited an average COF of 0.143, whereas the lowest mean COF was achieved with diamond 60% and 40 W (0.095) and the highest with hexagon 60% and 100 W (0.156); hexagon 20% and 60 W matched the reference. ANOVA indicated scanned area ratio as the dominant contributor to COF (39.72%), followed by geometry (35.07%) and power (25.21%). Profilometry confirmed reduced coating penetration for optimized textures: the reference wear track was approximately 1240 µm wide and 82 µm deep, compared with 930 µm and 34 µm for square 80% and 40 W, 997 µm and 39 µm for diamond 60% and 40 W, and 965 µm and 36 µm for hexagon 40% and 40 W. Full article
Show Figures

Figure 1

14 pages, 4701 KB  
Article
A Uniformity Coefficient-Based Method for Improving the Wear Resistance of Mold Ejector Pin Guide Holes via Oblique Laser Shock Peening
by Enfu Liu, Yueying Ye, Yudie Zhang, Shixu Mu, Zhilong Xu, Wenjun Jiang and Yin Li
Materials 2026, 19(2), 332; https://doi.org/10.3390/ma19020332 - 14 Jan 2026
Viewed by 183
Abstract
To address the severe wear of the hole wall and orifice in ejector pin guide holes of injection molds caused by frequent hole-shaft sliding, this study proposes a composite strengthening method that combines nitriding with oblique laser shock peening (N-OLSP). The strengthening uniformity [...] Read more.
To address the severe wear of the hole wall and orifice in ejector pin guide holes of injection molds caused by frequent hole-shaft sliding, this study proposes a composite strengthening method that combines nitriding with oblique laser shock peening (N-OLSP). The strengthening uniformity in both circumferential and axial directions was evaluated by defining a laser shock peening uniformity coefficient (k). By strictly controlling the uniformity coefficient ratio of two adjacent spots to be no less than 0.98, the optimal step angles for circumferential and axial directions were determined. Comparative experiments were conducted on three types of samples: Untreated, Nitrided, and N-OLSP treated. The results demonstrate that N-OLSP significantly enhances both surface hardness and residual compressive stress of the guide hole, and the degree of improvement increases with a higher value of k. Among the tested samples, N-OLSP exhibited the best wear resistance at the orifice, reducing the wear rate to 0.60 μm/h. Compared with the untreated and nitrided samples, the wear rate reduction achieved by N-OLSP was 66.85% and 16.67%, respectively. Full article
(This article belongs to the Section Metals and Alloys)
Show Figures

Figure 1

15 pages, 1108 KB  
Article
Fixed-Time Path Tracking Control of Uncertain Robotic Manipulator Based on Adaptive Deviation Correction and Compensation Mechanism Neural Network
by Dongsheng Ma, Li Ren, Tianli Li, Mahmud Iwan Solihin and Juchen Li
Processes 2026, 14(2), 278; https://doi.org/10.3390/pr14020278 - 13 Jan 2026
Viewed by 105
Abstract
A fixed-time sliding mode controller based on an adaptive neural network is developed for the path tracking problem of robotic manipulators with model uncertainty and external nonlinear interference. Firstly, a fixed-time sliding surface and sliding mode reaching law are designed based on the [...] Read more.
A fixed-time sliding mode controller based on an adaptive neural network is developed for the path tracking problem of robotic manipulators with model uncertainty and external nonlinear interference. Firstly, a fixed-time sliding surface and sliding mode reaching law are designed based on the dynamic model of the robotic manipulator, which ensures that the error signal converges along the sliding surface within a fixed time. The speed of the state approaching the sliding surface can be flexibly adjusted through the reaching law, and it has strong robustness to parameter perturbations and external disturbances. Then, the uncertainty of model parameters and external disturbances is regarded as composite interference, and an adaptive neural network is utilized to approximate the disturbance online for adaptive fitting. This does not require precise modelling, the control input jitter is reduced, the composite disturbance is compensated in real time, and the system tracking accuracy is improved. Subsequently, the fixed-time stability characteristics of the closed-loop system are demonstrated through Lyapunov stability theory. Finally, the effectiveness and robustness of the proposed control strategy are verified through simulation. Full article
(This article belongs to the Section Automation Control Systems)
Show Figures

Figure 1

18 pages, 15107 KB  
Article
A Lithology Spatial Distribution Simulation Method for Numerical Simulation of Tunnel Hydrogeology
by Yandong Li, Jiaxiao Wang and Xiaojun Li
Buildings 2026, 16(2), 325; https://doi.org/10.3390/buildings16020325 - 13 Jan 2026
Viewed by 164
Abstract
With the continuous growth of the global population, cities worldwide face the challenge of limited surface land area, making the utilization of underground space increasingly important. The structural stability of underground tunnels is a critical component of underground space safety, influenced by the [...] Read more.
With the continuous growth of the global population, cities worldwide face the challenge of limited surface land area, making the utilization of underground space increasingly important. The structural stability of underground tunnels is a critical component of underground space safety, influenced by the distribution of the surrounding composite strata and hydrogeological environment. To better analyze the structural stability of underground tunnels, this study proposes a method for estimating the distribution of composite strata that considers the surrounding hydrogeological conditions. The method uses a hydrogeological analysis of the tunnel area to determine the spatial estimation range and unit scale to meet the actual project requirements and then uses the geostatistical kriging method to obtain a distance-weighted interpolation algorithm for the impact area. First, the spatial data are used to obtain the statistical characteristics. Second, the statistical data are interpolated, multifractal theory is used to compensate for the kriging method of sliding weighted average defects, and the local singularity of the regionalized variables is measured. Finally, the mean results of 100 simulations are compared with the empirical results for the tunnel. The interpolation results reveal that this method can be used to quickly obtain good interpolation results. Full article
Show Figures

Figure 1

16 pages, 4099 KB  
Article
A Machine Learning Approach to Wrist Angle Estimation Under Multiple Load Conditions Using Surface EMG
by Songpon Pumjam, Sarut Panjan, Tarinee Tonggoed and Anan Suebsomran
Computers 2026, 15(1), 48; https://doi.org/10.3390/computers15010048 - 12 Jan 2026
Viewed by 99
Abstract
Surface electromyography (sEMG) is widely used for decoding motion intent in prosthetic control and rehabilitation, yet the impact of external load on sEMG-to-kinematics mapping remains insufficiently characterized, particularly for wrist flexion-extension This pilot study investigates wrist angle estimation (0–90°) under four discrete counter-torque [...] Read more.
Surface electromyography (sEMG) is widely used for decoding motion intent in prosthetic control and rehabilitation, yet the impact of external load on sEMG-to-kinematics mapping remains insufficiently characterized, particularly for wrist flexion-extension This pilot study investigates wrist angle estimation (0–90°) under four discrete counter-torque levels (0, 25, 50, and 75 N·cm) using a multilayer perceptron neural network (MLPNN) regressor with mean absolute value (MAV) features. Multi-channel sEMG was acquired from three healthy participants while performing isotonic wrist extension (clockwise) and flexion (counterclockwise) in a constrained single-degree-of-freedom setup with potentiometer-based ground truth. Signals were filtered and normalized, and MAV features were extracted using a 200 ms sliding window with a 20 ms step. Across all load levels, the within-subject models achieved very high accuracy (R2 = 0.9946–0.9982) with test MSE of 1.23–3.75 deg2; extension yielded lower error than flexion, and the largest error was observed in flexion at 25 N·cm. Because the cohort is small (n = 3), the movement is highly constrained, and subject-independent validation and embedded implementation were not evaluated, these results should be interpreted as a best-case baseline rather than evidence of deployable rehabilitation performance. Future work should test multi-DoF wrist motion, freer movement conditions, richer feature sets, and subject-independent validation. Full article
(This article belongs to the Special Issue Wearable Computing and Activity Recognition)
Show Figures

Graphical abstract

32 pages, 7891 KB  
Article
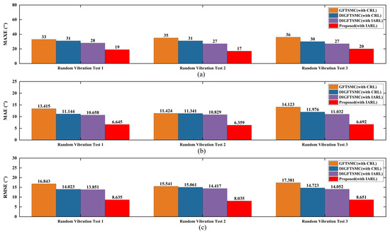
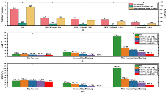
A Double-Integral Global Fast Terminal Sliding Mode Control with TD-LESO for Chattering Suppression and Precision Tracking of Fast Steering Mirrors
by Xiaopeng Jia, Qingshan Chen, Lishuang Liu and Runqiu Xia
Actuators 2026, 15(1), 46; https://doi.org/10.3390/act15010046 - 10 Jan 2026
Viewed by 158
Abstract
This paper describes a composite control approach that improves the accuracy and dynamic performance of the control of a voice-coil-driven, two-dimensional fast steering mirror (FSM). Strong nonlinearity, perturbation of parameters, unmodeled dynamics and external disturbances typically compromise the performance of the FSM. The [...] Read more.
This paper describes a composite control approach that improves the accuracy and dynamic performance of the control of a voice-coil-driven, two-dimensional fast steering mirror (FSM). Strong nonlinearity, perturbation of parameters, unmodeled dynamics and external disturbances typically compromise the performance of the FSM. The proposed controller combines a tracking differentiator (TD), linear extended state observer (LESO), and a double-integral global fast terminal-sliding mode control (DIGFTSMC). The TD corrects the reference command signal, and the LESO approximates and counteracts system disturbances. The sliding surface is then equipped with the double-integral operators and an improved adaptive reaching law (IARL) to enhance tracking accuracy, response speed and robustness. Prior to physical experiments, systematic numerical simulations were conducted for five control algorithms across four typical test scenarios, verifying the proposed controller’s feasibility and preliminary performance advantages. It is found through experimentation that the proposed controller lowers the time esterified by the step response adjustment by 81.0% and 48.4% more than the PID controller and the DIGFTSMC approach with no IARL, respectively, and the proposed controller enhances error control when tracking sinuoidal signals and multisinusoidal signals. Simulation results consistently align with experimental trends, confirming the proposed controller’s superior convergence speed, tracking precision, and disturbance rejection capability. Furthermore, it cuts the angular movement swing by an average of over 44% through dismissing needless vibration interruptions as compared to other sliding mode control techniques. Experimental results demonstrate that the proposed composite control approach significantly enhances the disturbance rejection, control accuracy, and dynamic tracking performance of the voice-coil-driven FSM system. Full article
(This article belongs to the Special Issue New Control Schemes for Actuators—3rd Edition)
Show Figures

Figure 1

18 pages, 5526 KB  
Article
Dry-Sliding Behavior and Surface Evolution of SLS-Manufactured Glass Bead-Filled Polyamide 12 Bearings
by Ivan Simonović, Dragan Milković, Žarko Mišković and Aleksandar Marinković
Lubricants 2026, 14(1), 31; https://doi.org/10.3390/lubricants14010031 - 9 Jan 2026
Viewed by 215
Abstract
This study investigates the tribological behavior of selective laser-sintered (SLS) sliding bearings under dry-sliding operating conditions. These polyamide-12 bearings reinforced with glass beads (PA 3200 GF) were tested against a stainless-steel sleeve in three different pressure–velocity (PV) regimes that represent real operating conditions. [...] Read more.
This study investigates the tribological behavior of selective laser-sintered (SLS) sliding bearings under dry-sliding operating conditions. These polyamide-12 bearings reinforced with glass beads (PA 3200 GF) were tested against a stainless-steel sleeve in three different pressure–velocity (PV) regimes that represent real operating conditions. The coefficient of friction (COF) and contact temperatures were monitored throughout the experiment, while the specific wear rate was quantified based on mass loss measurements. The evolution of surface topography was analyzed using roughness parameters of the Abbott-Firestone family. Scanning electron microscopy (SEM) analysis was performed to identify the dominant wear mechanism. The results show a pronounced running-in phase, after which a stable thermomechanical equilibrium occurs in all regimes. Heavy-loaded regimes increase temperature but accelerate surface adaptation and lower stable coefficients of friction. Lower load regimes have the lowest thermal load but higher friction due to lower real contact. The medium PV regime has a low COF and moderate temperature rise, while peak and core roughness metrics increase more significantly. These results provide an experimentally based insight into the influence of the load regime on the tribological behavior and topography of the SLS-made polymer sliding bearings, thus contributing to a deeper understanding of their operation in real dry-sliding conditions. Full article
(This article belongs to the Special Issue Machine Design and Tribology)
Show Figures

Figure 1

18 pages, 2145 KB  
Article
Physicochemical and Functional Characterizations of Biosurfactants Produced by Pseudomonas aeruginosa N33 for Oil Removal
by Xinyue Zhao, Meiyu Jiang, Tiantian Du, Xuannuo Liu, Junjia Luo, Yixiang Guo, Xueyu Li, Hongyi Wang, Shiping Wei and Libo Yu
Microorganisms 2026, 14(1), 142; https://doi.org/10.3390/microorganisms14010142 - 8 Jan 2026
Viewed by 191
Abstract
Bacterial biosurfactants have potential applications in green cleaning due to their environmental friendliness. Among all isolated bacterial strains in this study, strain N33 exhibited the most potent oil-displacing activity and was identified as Pseudomonas aeruginosa. Its biosurfactant yield was approximately 550 mg/L, [...] Read more.
Bacterial biosurfactants have potential applications in green cleaning due to their environmental friendliness. Among all isolated bacterial strains in this study, strain N33 exhibited the most potent oil-displacing activity and was identified as Pseudomonas aeruginosa. Its biosurfactant yield was approximately 550 mg/L, and structural characterization revealed it to be a glycolipid-type biosurfactant. The oil-displacing ring diameters of the biosurfactant against vegetable oil, paraffin oil, and crude oil reached 6.3 ± 0.3 cm, 5.8 ± 0.2 cm, and 3.8 ± 0.5 cm, respectively. Its critical micelle concentration (CMC) was determined to be 150 mg/L, with a corresponding surface tension of 39.55 mN/m. Notably, this bacterial biosurfactant significantly improved interfacial wettability, reducing the contact angles of vegetable oil, paraffin oil, and crude oil on oil-wetted glass slides from 93.0°, 99.0°, and 98.8° to 10.0°, 15.0°, and 19.0°, respectively. The emulsification efficiency for the three oils was 80%, 57%, and 10%, respectively. Furthermore, capillary oil removal assays verified that the biosurfactant could efficiently strip oil films from the inner walls of capillaries. These findings demonstrate that the biosurfactant produced by P. aeruginosa strain N33 possesses considerable oil-removal efficacy, thereby providing a novel candidate for the research, development, and application of green detergents. Full article
(This article belongs to the Special Issue Industrial Microbiology)
Show Figures

Figure 1

24 pages, 2887 KB  
Article
Tribological and Rheological Characterization of 3D Printed Polycarbonate: Effect of Layer Orientation, Surface Topography, and Lubrication Conditions
by Jovana Marković, Marija Matejić, Damjan Rangelov, Milan Banić, Jasmina Skerlić, Nevena Jeremić and Miloš Matejić
Lubricants 2026, 14(1), 28; https://doi.org/10.3390/lubricants14010028 - 8 Jan 2026
Viewed by 302
Abstract
Understanding the tribological behavior of additively manufactured polymers is essential for their reliable use in sliding components. Tribological tests were performed on a linear reciprocating tribometer pin-on-plate configuration using a polycarbonate sample (PC–PC). To assess the influence of additive-manufacturing-induced anisotropy, three build orientations [...] Read more.
Understanding the tribological behavior of additively manufactured polymers is essential for their reliable use in sliding components. Tribological tests were performed on a linear reciprocating tribometer pin-on-plate configuration using a polycarbonate sample (PC–PC). To assess the influence of additive-manufacturing-induced anisotropy, three build orientations (0°, 45°, 90°) were examined. Two normal loads of 39.24 N and 58.86 N, and two sliding velocities of 15 and 20 mm/s were selected to represent typical low-load operating conditions of polymeric components. Tests were conducted in dry contact and with two commercial lubricants exhibiting distinct rheological characteristics. Surface topography was characterized before and after testing to evaluate orientation-dependent roughness evolution, while rheological measurements provided effective viscosities at shear rates corresponding to imposed velocities. Frictional behavior was analyzed through the Stribeck parameter, showing that all configurations operated within boundary or early mixed lubrication regimes. Longitudinal specimen layer orientation (90°) was expected to give the lowest friction. In fact, dominant lowest friction in most of the examination regimes gave the 45° build orientation, whereas the 0° orientation hindered lubricant entrainment and produced the highest boundary interaction. Differences in lubricant viscosity influenced Stribeck positioning and the magnitude of friction reduction, demonstrating strong coupling between layer orientation, roughness evolution, and lubrication performance. Full article
(This article belongs to the Special Issue Machine Design and Tribology)
Show Figures

Figure 1

12 pages, 4677 KB  
Article
Preparation of Robust Superhydrophobic Surfaces Based on the Screen Printing Method
by Yinyu Sun, Qing Ding, Qiaoqiao Zhang, Yuting Xie, Zien Zhang, Yudie Pang, Zhongcheng Ke and Changjiang Li
Nanomaterials 2026, 16(2), 86; https://doi.org/10.3390/nano16020086 - 8 Jan 2026
Viewed by 299
Abstract
The bioinspired superhydrophobic surfaces have demonstrated many fascinating performances in fields such as self-cleaning, anti-corrosion, anti-icing, energy-harvesting devices, and antibacterial coatings. However, developing a low-cost, feasible, and scalable production approach to fabricate robust superhydrophobic surfaces has remained one of the main challenges in [...] Read more.
The bioinspired superhydrophobic surfaces have demonstrated many fascinating performances in fields such as self-cleaning, anti-corrosion, anti-icing, energy-harvesting devices, and antibacterial coatings. However, developing a low-cost, feasible, and scalable production approach to fabricate robust superhydrophobic surfaces has remained one of the main challenges in the past decades. In this paper, we propose an uncommon method for the fabrication of a durable superhydrophobic coating on the surface of the glass slide (GS). By utilizing the screen printing method and high-temperature curing, the epoxy resin grid (ERG) coating was uniformly and densely loaded on the surface of GS (ERG@GS). Subsequently, the hydrophobic silica (H-SiO2) was deposited on the surface of ERG@GS by the impregnation method, thereby obtaining a superhydrophobic surface (H-SiO2@ERG@GS). It is demonstrated that the micro-grooves in ERG can provide a large specific surface area for the deposition of low surface energy materials, while the micro-columns can offer excellent protection for the superhydrophobic coating when it is subjected to mechanical wear. It is important to note that micro-columns, micro-grooves, and nano H-SiO2 jointly form the micro–nano structure, providing a uniform and robust rough structure for the superhydrophobic surface. Therefore, the combination of a micro–nano rough structure, low surface energy material, and air cushion effect endow the material with excellent durability and superhydrophobic property. The results show that H-SiO2@ERG@GS possesses excellent self-cleaning property, mechanical durability, and chemical stability, indicating that this preparation method of the robust superhydrophobic coating has significant practical application value. Full article
(This article belongs to the Section Synthesis, Interfaces and Nanostructures)
Show Figures

Figure 1

16 pages, 1582 KB  
Article
Natural Antifouling Potential of Fucus vesiculosus and Arthrospira platensis
by Ezra E. Cable, Travis Ford, Sara Lahoff, Preeti Sharma and Victoria V. Volkis
Appl. Sci. 2026, 16(2), 642; https://doi.org/10.3390/app16020642 - 8 Jan 2026
Viewed by 153
Abstract
Biofouling is the accumulation of marine organisms on submerged surfaces and has negatively impacted several industries while aiding in the spread of invasive species. Traditional antifouling paints, such as tributyltin and copper-based paints, have proven toxic to marine environments, necessitating the use of [...] Read more.
Biofouling is the accumulation of marine organisms on submerged surfaces and has negatively impacted several industries while aiding in the spread of invasive species. Traditional antifouling paints, such as tributyltin and copper-based paints, have proven toxic to marine environments, necessitating the use of novel, less toxic alternatives. Previous research has shown that antifouling paints made from essential oil-rich superfruits and medicinal herbs have been effective in preventing precipitation accumulation, including bacterial and mineral accumulation. This study examined the antifouling potential of spirulina and fucus, two algae rich in antioxidants and essential oils. Extracts were analyzed for antioxidant and essential oil content before being subjected to a three-week-long antifouling test. A post-test surface analysis was then performed, and the precipitation count per mm of slide was calculated, followed by a comparison with previous extracts from superfruits and medicinal herbs. After testing, fucus has a minimum bacterial count of 41.4 ± 2.0 per mm in freshwater and 14.0 ± 0.7 per mm in saltwater. Spirulina had a minimum precipitation count of 13.9 ± 2.8 per mm for freshwater and 6.6 ± 1.3 per mm for saltwater. As such, spirulina performed better than fucus, superfruits, and medicinal herbs in both saltwater and freshwater, except for when compared to results from ginger extracts in saltwater. Full article
(This article belongs to the Section Applied Biosciences and Bioengineering)
Show Figures

Figure 1

Back to TopTop