Fixed-Time Path Tracking Control of Uncertain Robotic Manipulator Based on Adaptive Deviation Correction and Compensation Mechanism Neural Network
Abstract
1. Introduction
- (1)
- A fixed-time sliding mode controller based on an adaptive neural network was developed to address issues such as unmodeled dynamics, disturbances, and convergence time. Compared with the finite-time sliding mode controller in reference [15], the proposed scheme ensures faster convergence speed and tracking accuracy. Unlike the adaptive update law in [21], there is no need to give the boundary of the aggregate disturbance in advance. Regularization is employed to avoid weight oscillations and improve approximation accuracy.
- (2)
- Different from the controller design methods in references [14,15,16], a switching function regarding tracking error is used in the sliding mode control section, and the designed convergence law is only related to the sliding surface. Even in the presence of model errors or sudden disturbances, the state can still be forced to converge along the sliding surface by switching functions, which ensure tracking accuracy.
- (3)
- Adaptive neural networks are utilized to approximate and compensate for uncertain parts of dynamic models and external disturbances, without the need for preset disturbance upper bounds, which avoids control input redundancy. Unlike existing asymptotic convergence or finite time convergence, the system tracking error can converge to the vicinity of the origin within a fixed time, and the convergence time is independent of the initial state of the system.
2. Problem Description and Preliminaries
2.1. Problem Description
2.2. Preliminaries
- (1)
- (2)
- For any satisfies the inequality , where , , , and are all positive numbers, and , , then the original system can converge to zero in a fixed time, and the convergence time satisfies:
- (1)
- (2)
- For any satisfies the inequality , where , , , and are all positive numbers, and , , then the original system can converge to zero in a fixed time, and the convergence time satisfies:
3. Controller Design
4. Design of Adaptive Neural Network Controller
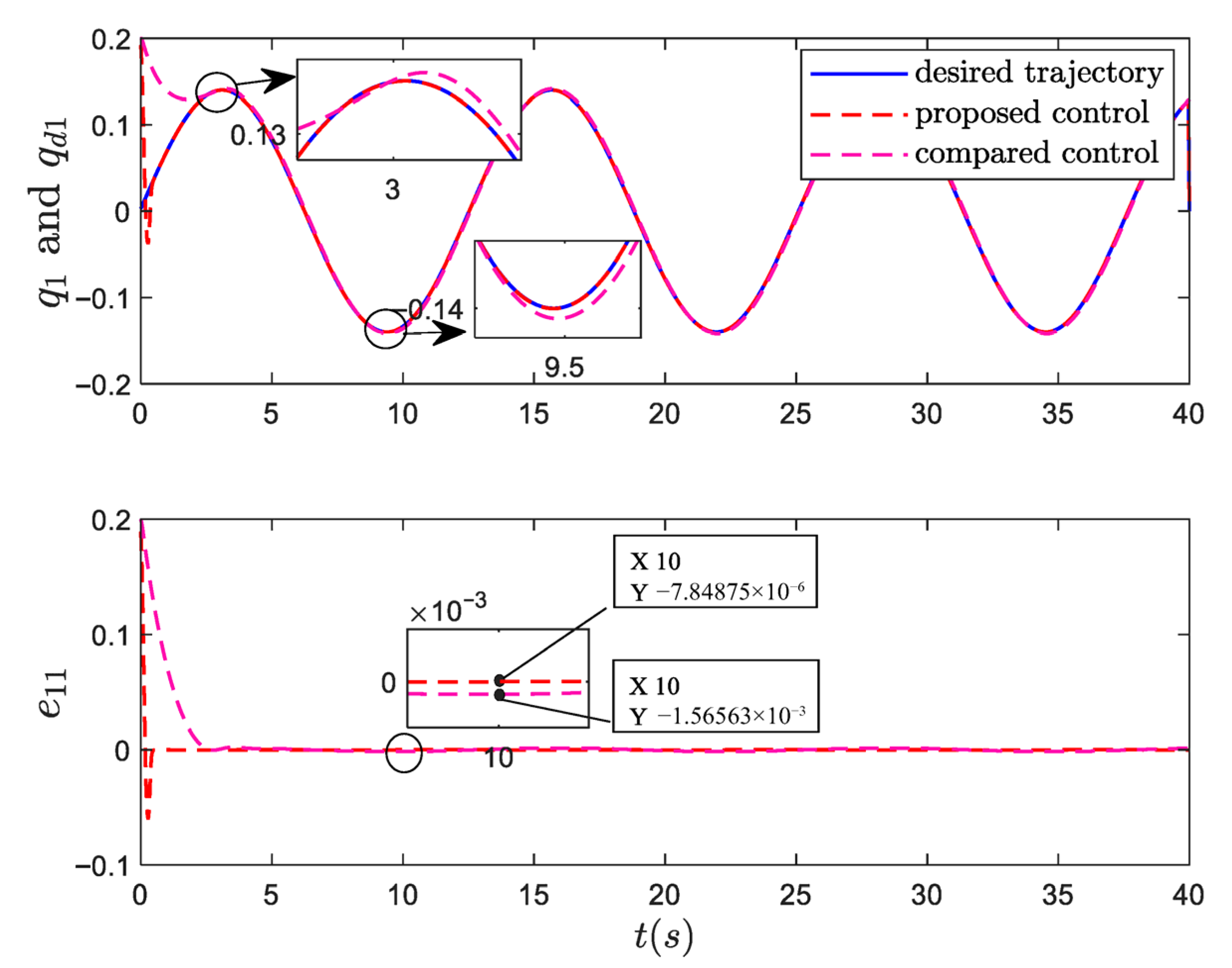
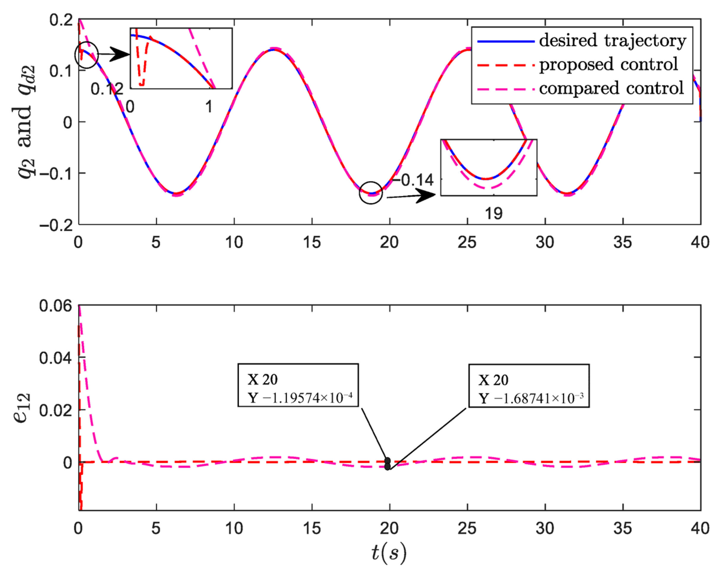
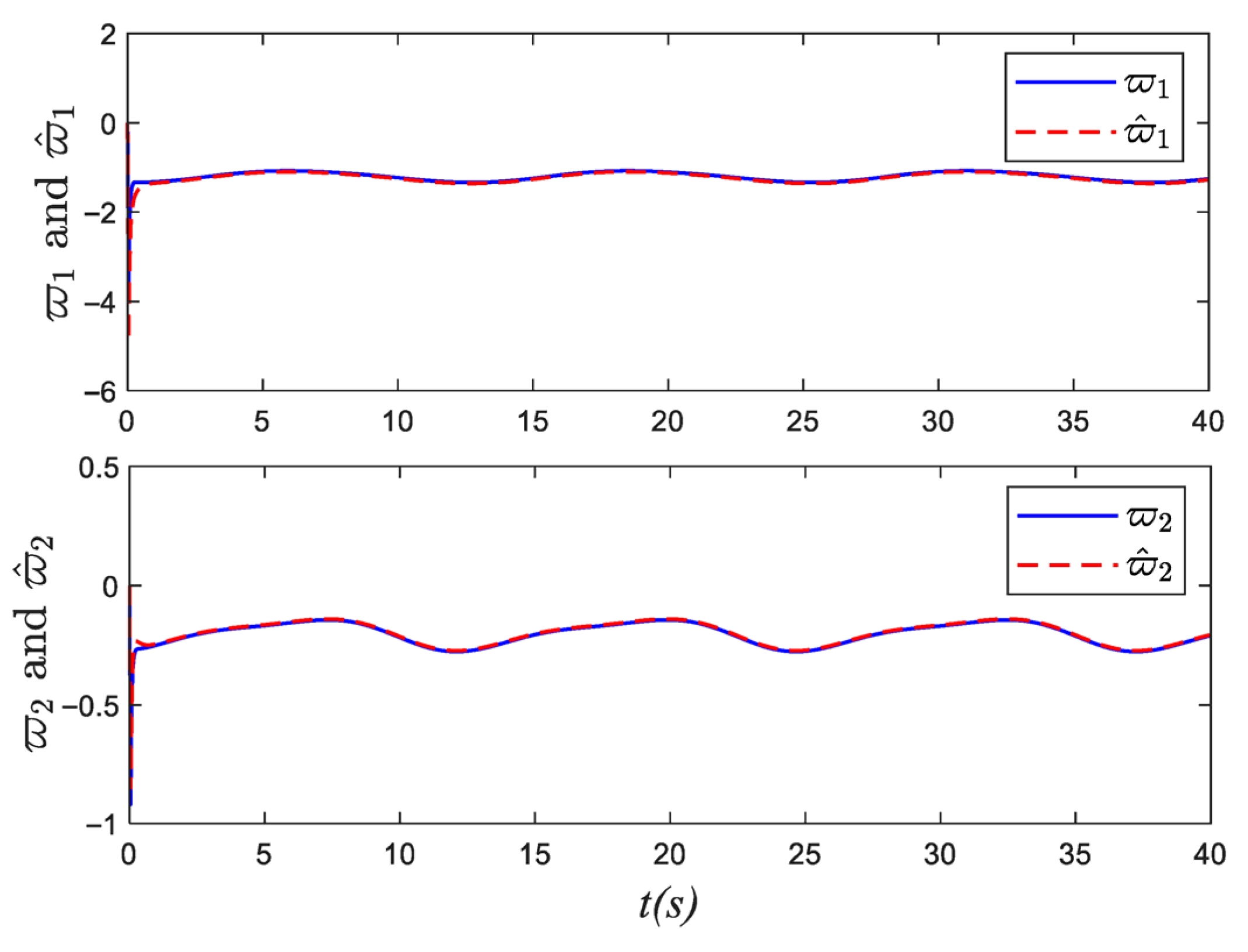
5. Research Simulations
6. Conclusions
Author Contributions
Funding
Data Availability Statement
Conflicts of Interest
References
- Wang, Q.; Xu, W.; Leng, Z. Adaptive event-triggered anti-windup trajectory tracking control for robotic manipulator. ISA Trans. 2025, 167, 1137–1146. [Google Scholar] [CrossRef] [PubMed]
- Halamka, V.; Zavřel, J.; Hrabačka, M.; Beneš, P.; Bulín, R.; Hajžman, M.; Šika, Z. Control strategies for enhancing manipulability in tensegrity-based redundant robots and manipulators. Nonlinear Dyn. 2025, 113, 11647–11667. [Google Scholar] [CrossRef]
- Muñoz-Vázquez, A.J.; Sánchez-Torres, J.D.; Jiménez-Rodríguez, E.; Loukianov, A.G. Predefined-Time Robust Stabilization of Robotic Manipulators. IEEE/ASME Trans. Mechatron. 2019, 24, 1033–1040. [Google Scholar] [CrossRef]
- Feng, Q.; Li, Z.; Cai, J.; Guo, D. Acceleration-Level Configuration Adjustment Scheme for Robot Manipulators. IEEE Trans. Ind. Inform. 2021, 17, 147–157. [Google Scholar] [CrossRef]
- Di Paola, V.; Goldsztejn, A.; Zoppi, M.; Caro, S. Design of a Sliding Mode-Adaptive Proportional-Integral-Derivative Control for Aerial Systems with a Suspended Load Exposed to Wind Gusts. ASME. J. Comput. Nonlinear Dynam 2023, 18, 061008. [Google Scholar] [CrossRef]
- Romero, J.G. A robust adaptive velocity observer for mechanical systems transformed in cascade form. Acta Autom. Sin. 2024, 165, 111671. [Google Scholar] [CrossRef]
- Li, T.; Zhang, G.; Zhang, T.; Pan, J. Adaptive Neural Network Tracking Control of Robotic Manipulators Based on Disturbance Observer. Processes 2024, 12, 499. [Google Scholar] [CrossRef]
- Chen, Z.; Liang, Q.; Wei, Z.; Chen, X.; Shi, Q.; Yu, Z.; Sun, T. An Overview of In Vitro Biological Neural Networks for Robot Intelligence. Cyborg Bionic Syst. 2023, 4, 0001. [Google Scholar] [CrossRef]
- Zhang, R.; Chen, Q.; Guo, H. Chebyshev neural network-based adaptive nonsingular terminal sliding mode control for hypersonic vehicles. Math. Probl. Eng. 2020, 2020, 6830141. [Google Scholar] [CrossRef]
- Fu, K.; Dang, X. Light-Weight Convolutional Neural Networks for Generative Robotic Grasping. IEEE Trans. Ind. Inform. 2024, 20, 6696–6707. [Google Scholar] [CrossRef]
- He, W.; Ge, S.S.; Li, Y.; Chew, E.; Ng, Y.S. Neural Network Control of a Rehabilitation Robot by State and Output Feedback. J. Intell. Robot. Syst. 2015, 80, 15–34. [Google Scholar] [CrossRef]
- Yu, X.; He, W.; Xue, C.; Sun, Y.; Sun, C. Disturbance observer-based adaptive neural network tracking control for robots. Acta Autom. Sin. 2019, 45, 1307–1324. [Google Scholar]
- Men, X.; Guo, C. Adaptive composite control of an upper limb compliant exoskeleton robot based on RBF neural network. Control Eng. China 2023, 32, 586–594. [Google Scholar]
- Zhao, X.; Liu, Z.; Cao, C. Adaptive Neural Network-based Sliding Mode Controller Design for Manipulator Systems. Control Eng. China 2023, 30, 1624–1629. [Google Scholar]
- Liang, X.; Wang, H.; Zhang, Y. Adaptive nonsingular terminal sliding mode control for rehabilitation robots. Comput. Electr. Eng. 2022, 99, 107718. [Google Scholar] [CrossRef]
- Li, T.; Zhang, G.; Zhang, T.; Pan, J. Fixed-Time Sliding Mode Control for Robotic Manipulators Based on Disturbance Observer. Int. J. Aerosp. Eng. 2024, 2024, 1263459. [Google Scholar] [CrossRef]
- Gao, Z.; Guo, G. Fixed-time formation control of AUVs based on a disturbance observer. Acta Autom. Sin. 2019, 45, 1094−1102. [Google Scholar]
- Zhang, Z.; Sheng, A.; Qi, G.; Li, Y. Finite-time standoff tracking control of moving target by means of backstepping for non-holonmic robot. Acta Autom. Sin. 2019, 45, 540–552. [Google Scholar]
- Bao, J.; Wang, H.; Liu, X. Adaptive finite-time tracking control for robotic manipulators with funnel boundary. Int. J. Adapt. Control Signal Process. 2020, 34, 575–589. [Google Scholar] [CrossRef]
- Zhang, P.; Li, H.; Chen, B.; Wang, J.; Zhang, H. A novel ultra-local model-based finite time synergetic robustness control for uncertain robotic manipulators. J. Frankl. Inst. 2024, 361, 107362. [Google Scholar] [CrossRef]
- Liu, Y.; Xiong, Y.; Yang, H. Fixed-time sliding mode control of multi-joint robot based on RBF neural network. Control Decis. 2022, 37, 2790–2798. [Google Scholar]
- Cao, S.; Sun, L.; Jiang, J.; Zuo, Z. Reinforcement Learning-Based Fixed-Time Trajectory Tracking Control for Uncertain Robotic Manipulators with Input Saturation. IEEE Trans. Neural Netw. Learn. Syst. 2023, 34, 4584–4598. [Google Scholar] [CrossRef] [PubMed]
- Jiang, S.; Song, Y.; Zeng, W.; Zhang, H.; Cai, S.; Lu, X. New results on adaptive fixed-time control for convex-delayed neural networks. ISA Trans. 2023, 134, 134–143. [Google Scholar] [CrossRef] [PubMed]
- Abdurahman, A.; Tohti, R.; Li, C. New results on fixed-time synchronization of impulsive neural networks via optimized fixed-time stability. J. Appl. Math. Comput. 2024, 70, 2809–2826. [Google Scholar] [CrossRef]
- Sun, W.; Guo, W.; Li, B.; Wen, S.; Cao, J.; Abdel-Aty, M. Finite/Fixed-Time Controls of Neural Networks in a Signed Graph. IEEE Trans. Syst. Man. Cybern. Syst. 2024, 54, 1049–1058. [Google Scholar] [CrossRef]
- Wu, Y.; Niu, W.; Kong, L.; Yu, X.; He, W. Fixed-time neural network control of a robotic manipulator with input deadzone. ISA Trans. 2023, 135, 449–461. [Google Scholar] [CrossRef]
- Gu, R.; Han, T.; Xiao, B.; Zhan, X.; Yan, H. Task-space tracking for networked heterogeneous robotic systems via adaptive neural fixed-time control. ISA Trans. 2024, 155, 184–192. [Google Scholar] [CrossRef]
- Zuo, Z.; Han, Q.; Ning, B.; Ge, X.; Zhang, X. An overview of recent advances in fixed-time cooperative control of multiagent systems. IEEE Trans. Ind. Inform. 2018, 14, 2322–2334. [Google Scholar] [CrossRef]









| Controller | (s) | (s) | (rad) |
|---|---|---|---|
| Proposed | 0.32 | 0.38 | |
| Compared [15] | 1.96 | 2.05 | |
| (a) Link 1 | |||
| Controller | (s) | (s) | (rad) |
| Proposed | 0.28 | 0.24 | |
| Compared [15] | 1.16 | 1.27 | |
| (b) Link 2 |
Disclaimer/Publisher’s Note: The statements, opinions and data contained in all publications are solely those of the individual author(s) and contributor(s) and not of MDPI and/or the editor(s). MDPI and/or the editor(s) disclaim responsibility for any injury to people or property resulting from any ideas, methods, instructions or products referred to in the content. |
© 2026 by the authors. Licensee MDPI, Basel, Switzerland. This article is an open access article distributed under the terms and conditions of the Creative Commons Attribution (CC BY) license.
Share and Cite
Ma, D.; Ren, L.; Li, T.; Solihin, M.I.; Li, J. Fixed-Time Path Tracking Control of Uncertain Robotic Manipulator Based on Adaptive Deviation Correction and Compensation Mechanism Neural Network. Processes 2026, 14, 278. https://doi.org/10.3390/pr14020278
Ma D, Ren L, Li T, Solihin MI, Li J. Fixed-Time Path Tracking Control of Uncertain Robotic Manipulator Based on Adaptive Deviation Correction and Compensation Mechanism Neural Network. Processes. 2026; 14(2):278. https://doi.org/10.3390/pr14020278
Chicago/Turabian StyleMa, Dongsheng, Li Ren, Tianli Li, Mahmud Iwan Solihin, and Juchen Li. 2026. "Fixed-Time Path Tracking Control of Uncertain Robotic Manipulator Based on Adaptive Deviation Correction and Compensation Mechanism Neural Network" Processes 14, no. 2: 278. https://doi.org/10.3390/pr14020278
APA StyleMa, D., Ren, L., Li, T., Solihin, M. I., & Li, J. (2026). Fixed-Time Path Tracking Control of Uncertain Robotic Manipulator Based on Adaptive Deviation Correction and Compensation Mechanism Neural Network. Processes, 14(2), 278. https://doi.org/10.3390/pr14020278

