Next Article in Journal
Artificial Intelligence in K-12 Education: A Systematic Review of Teachers’ Professional Development Needs for AI Integration
Previous Article in Journal
Hybrid Web Architecture with AI and Mobile Notifications to Optimize Incident Management in the Public Sector
Previous Article in Special Issue
Fair and Explainable Multitask Deep Learning on Synthetic Endocrine Trajectories for Real-Time Prediction of Stress, Performance, and Neuroendocrine States
 
 
Font Type:
Arial Georgia Verdana
Font Size:
Aa Aa Aa
Line Spacing:
Column Width:
Background:
Article

A Machine Learning Approach to Wrist Angle Estimation Under Multiple Load Conditions Using Surface EMG †

1
Department of Teacher Training in Electrical Engineering, Faculty of Technical Education, King Mongkut’s University of Technology North Bangkok, Bangkok 10800, Thailand
2
Department of Teacher Training in Mechanical Engineering, Faculty of Technical Education, King Mongkut’s University of Technology North Bangkok, Bangkok 10800, Thailand
*
Author to whom correspondence should be addressed.
This article is a revised and expanded version of a paper entitled “Wrist Angle Estimation Under Different Loads Condition Based on Multi-Layer Perceptron Neural Network and Surface Electromyography Signals”, which was presented at 21st International Conference On Electrical Engineering/Electronics, Computer, Telecommunications And Information Technology, Ecti-Con 2024, 27–30 May 2024.
Computers 2026, 15(1), 48; https://doi.org/10.3390/computers15010048
Submission received: 3 December 2025 / Revised: 7 January 2026 / Accepted: 8 January 2026 / Published: 12 January 2026
(This article belongs to the Special Issue Wearable Computing and Activity Recognition)

Abstract

Surface electromyography (sEMG) is widely used for decoding motion intent in prosthetic control and rehabilitation, yet the impact of external load on sEMG-to-kinematics mapping remains insufficiently characterized, particularly for wrist flexion-extension This pilot study investigates wrist angle estimation (0–90°) under four discrete counter-torque levels (0, 25, 50, and 75 N·cm) using a multilayer perceptron neural network (MLPNN) regressor with mean absolute value (MAV) features. Multi-channel sEMG was acquired from three healthy participants while performing isotonic wrist extension (clockwise) and flexion (counterclockwise) in a constrained single-degree-of-freedom setup with potentiometer-based ground truth. Signals were filtered and normalized, and MAV features were extracted using a 200 ms sliding window with a 20 ms step. Across all load levels, the within-subject models achieved very high accuracy (R2 = 0.9946–0.9982) with test MSE of 1.23–3.75 deg2; extension yielded lower error than flexion, and the largest error was observed in flexion at 25 N·cm. Because the cohort is small (n = 3), the movement is highly constrained, and subject-independent validation and embedded implementation were not evaluated, these results should be interpreted as a best-case baseline rather than evidence of deployable rehabilitation performance. Future work should test multi-DoF wrist motion, freer movement conditions, richer feature sets, and subject-independent validation.

Graphical Abstract

1. Introduction

Accurately estimating joint angles from muscle activity is important for human–computer interaction and for the development of assistive and rehabilitation technologies. The wrist joint plays a central role in daily tasks such as grasping and manipulation and is frequently affected by neuromuscular impairments in individuals who experience stroke [1,2,3,4,5]. Surface electromyography (sEMG) is a standard modality for decoding muscle activity due to its non-invasive nature and its ability to capture the combined activation of multiple motor units [3,6,7,8,9]. Over the past decade, numerous studies have applied machine learning and deep learning approaches to estimate joint torques, joint angles, and movement intentions from sEMG, particularly in upper-limb applications [6,7,8,9,10,11,12,13,14,15,16,17]. However, many reported results are obtained under constrained laboratory conditions and/or subject-dependent settings, and performance can degrade when external load, posture, or inter-subject variability changes [14,15]. Therefore, careful framing of experimental scope and validation strategy is essential when translating sEMG-based estimators to real-world use.

1.1. EMG-Based Wrist Kinematics Estimation

A growing body of work focuses specifically on wrist kinematics estimation from sEMG. Jiang et al. proposed multilayer perceptron networks for simultaneous and proportional estimation of multi-degree-of-freedom (DoF) wrist/hand kinematics in unilateral transradial amputees, demonstrating the feasibility of continuous wrist control for prostheses [9]. Subsequent studies have explored polynomial regression models, CNN-based architectures, and CNN–LSTM hybrids for mapping multi-channel sEMG to continuous wrist angles in up to three DoFs. These works report strong performance in both intra-session and inter-session evaluations, but they rely on relatively complex models and feature representations.
Deep learning methods such as convolutional networks and CNN–LSTM hybrids exploit time–frequency image representations of sEMG and can outperform classical regression models when sufficient data are available, but this is often at the cost of increased training time and hardware requirements. Musculoskeletal models driven by EMG have also been proposed to estimate wrist joint kinematics involving flexion/extension and radial/ulnar deviation, offering biomechanically interpretable predictions but requiring detailed anatomical modeling and calibration. More recently, echo state networks (ESNs) have been investigated for wrist angle estimation and online robotic arm control, emphasizing fast training and online adaptability.
These studies establish that accurate wrist kinematics can be decoded from sEMG using a wide range of model complexities, from shallow neural networks to sophisticated deep and reservoir-based architectures.

1.2. Load Variation in EMG-Based Estimation

In realistic tasks, human movement is accompanied by external loads arising from gravity, interaction with objects, or resistive forces in rehabilitation devices [14,15]. These loads can alter both the level and pattern of muscle activation, influencing the amplitude, frequency content, and variability of sEMG signals. The impact of load variation on EMG-based estimation has been analyzed more explicitly in the context of joint angle and torque estimation, particularly for the lower limbs and for ground reaction forces during gait [6,7]. Liu et al. investigated wrist angle prediction under different loads using a genetic algorithm-optimized extreme learning machine (GA–ELM) and reported that recognition accuracy degrades at higher loads unless load effects are explicitly considered in the feature/model design [15]. Other works have examined load-dependent movement recognition and force estimation for the wrist in rehabilitation robots, often combining time- and frequency-domain features to mitigate load- and fatigue-induced performance degradation.

1.3. Objectives and Contributions

In this work, we focus on a controlled load-variation paradigm for single-DoF wrist flexion-extension. While the use of simple time-domain features (e.g., MAV) and multilayer perceptron regressors is well established in sEMG decoding [6,7], our goal is not to introduce a new modeling technique. Instead, we provide a transparent pilot baseline that quantifies how estimation accuracy varies with discrete counter-torque loads under a mechanically well-defined and repeatable protocol.
The main contributions of this pilot study are as follows:
  • A load-controlled data acquisition protocol for wrist flexion-extension in which four discrete counter-torque levels (0–75 N·cm) are systematically applied in both directions, enabling focused analysis of load effects on sEMG-based angle estimation [6,7,8,9,10,11,12,13,14,15,16,17].
  • A lightweight baseline pipeline (filtering, normalization, MAV feature extraction) and an MLPNN regressor implemented in scikit-learn, intended as a computationally efficient reference point rather than an optimal architecture [17].
  • A quantitative within-subject performance analysis across load levels and movement directions, accompanied by an explicit discussion of why near-perfect accuracy can arise in constrained single-DoF setups and what additional validation (e.g., subject-independent testing, freer motion, and richer feature sets) is required before real-world deployment claims can be made.
Overall, the study is positioned as an exploratory proof-of-concept and baseline. Given the small cohort (three healthy participants), the single-DoF horizontal-plane constraint, and the subject-dependent evaluation, the reported metrics should be interpreted as an upper bound on performance under ideal conditions, not as evidence of generalizable rehabilitation or embedded-system feasibility.

2. Related Work

To position our study within the broader literature, we group related research into three thematic categories: (i) EMG-based upper-limb motion estimation; (ii) wrist kinematics from sEMG; and (iii) load-dependent EMG modeling.

2.1. EMG-Based Upper-Limb Motion Estimation

A large number of studies have explored EMG-driven models for upper-limb motion estimation, including hand–wrist gestures, multi-joint arm movements, and force/torque estimation, using both model-based and model-free approaches [6,7,8,9,10,11,12,13,14,15,16,17]. Continuous decoding of multi-joint arm movements from multi-channel EMG has been demonstrated with linear regression, Gaussian process regression, and deep learning, enabling myoelectric control of exoskeleton robots for rehabilitation. Systematic reviews highlight that while model-free approaches (e.g., neural networks and CNN/LSTM) often achieve higher accuracy, model-based approaches (e.g., musculoskeletal models) provide better physical interpretability and robustness across sessions and loads remains a key challenge.

2.2. Wrist Kinematics from Surface EMG

For the wrist joint specifically, Jiang et al. introduced MLP-based models for simultaneous and proportional estimation of wrist/hand kinematics, targeting multi-DoF myoelectric prosthetic control [9]. Bao et al. proposed CNN and CNN–LSTM frameworks using time–frequency sEMG images to estimate wrist angles in three DoFs, showing that deep models significantly outperform shallow baselines in complex movements [10]. Musculoskeletal models driven by EMG have been applied to estimate wrist flexion/extension and radial/ulnar deviation, providing physically consistent predictions but requiring detailed anatomical modeling and calibration. More recently, Kawase and colleagues used echo state networks (ESNs) to estimate wrist angles from sEMG and demonstrated online control of a robotic arm, exploiting the fast training dynamics of reservoir computing. These studies collectively show that wrist kinematics can be decoded from sEMG with high accuracy, but they typically assume either free-space movements or unspecified external loads.

2.3. Load-Dependent EMG and Wrist Estimation

The impact of load variation on EMG patterns and model performance has been studied in several contexts. Tang et al. examined load variation in joint angle estimation from sEMG for lower-limb movements, reporting noticeable changes in EMG amplitude and model accuracy as load increased [14]. Liu et al. explicitly analyzed wrist angle prediction under different loads using GA–ELM, showing that naive models degrade with increasing load and that feature/model adaptation is needed [15]. In a related direction, researchers in wrist rehabilitation robots have recently taken to investigating movement recognition and muscle force estimation under varied resistive loads. Compared with those studies, this one focuses on continuous wrist angle estimation across four controlled torque levels using a simple MAV-based MLPNN. Rather than pursuing ever more complex architectures, we aim to characterize load effects and demonstrate that a lightweight model can still achieve robust performance, which is relevant for embedded and wearable implementations where computational resources are limited.

3. Materials and Methods

3.1. Participants

Three right-handed volunteers (two males and one female)—healthy and without known neuromuscular disorders—participated in the experiments. All participants provided informed consent prior to data collection. Only their right hands were used for wrist movement tasks in this study. This small sample size reflects the pilot nature of the study and is treated explicitly as a limitation in Section 5.

3.2. Experimental Apparatus

A custom experimental setup was developed to simultaneously acquire wrist joint angles and surface electromyography (sEMG) signals under controlled loading conditions as shown in Figure 1. The system consisted of a custom-designed load simulator, an analog wrist angle sensor, a MYO armband (Thalmic Labs Inc., Waterloo, ON, Canada), and an embedded processing unit (Jetson Nano, NVIDIA Corp., Santa Clara, CA, USA).

3.2.1. Wrist Angle Measurement

Wrist angles were measured using a rotary potentiometer mechanically coupled to a wrist rest. The potentiometer output voltage was converted to a digital value using a PCF8591 analog-to-digital converter (8-bit resolution over 0–5 V; resolution approximately 19.53 mV per step). The digital output D input was mapped to an angle θ in degrees using a linear calibration between 0° and 90°:
θ [ deg ] = D input V res V m i n V m a x V m i n A range
where V res is the voltage resolution (19.53 mV), V m i n and V m a x are the voltages measured at 0° and 90°, respectively, and A range = 90 ° is the wrist motion range.
In the recorded dataset, the calibrated angle values appear in discrete levels with an approximately constant increment of 1.0465° (e.g., 0, 1.0460, 2.0925, …, 89.9985°). This discretization is consistent with the resolution of the measurement chain and the mapping used in (1), and it was preserved in model training and evaluation.

3.2.2. Load Simulation Device

To investigate the effect of load, a torque application mechanism was designed to convert the vertical force from counterweights into torque at the wrist, as shown in Figure 2. The apparatus includes (i) a wrist rest coupled to the potentiometer; (ii) a torque-generating roller with radius r = 5 cm; (iii) friction rollers to redirect the cable; and (iv) left and right counterweight supports.
The torque T generated by a counterweight is approximated by
T = F r
where F is the effective cable force and r is the roller radius. By placing weights on the right or left support, clockwise (CW, extension) and counterclockwise (CCW, flexion) torques are produced:
T CW = F CW r ,   T CCW = F CCW r
Four torque levels were implemented (0, 25, 50, and 75 N·cm) by selecting appropriate counterweights. The experimental configurations for wrist extension with clockwise (CW) torque and wrist flexion with counterclockwise (CCW) torque are illustrated in Figure 3a and Figure 3b, respectively.

3.2.3. Surface EMG Acquisition

sEMG signals were recorded from the forearm using a MYO armband with eight electrode pairs and a sampling rate of 200 Hz. Six channels were used in this study, corresponding to positions over the principal wrist flexor and extensor muscles [9], as shown in Figure 4.
The armband communicated with a Jetson Nano-embedded computer via Bluetooth, which also received angle data from the PCF8591 module over an I2C interface.

3.3. Signal Preprocessing

sEMG signals often contain motion artifacts and high-frequency noise. To improve signal quality, a third-order digital Butterworth filter was used [18]. The magnitude response is given by
H ( f ) = 1 1 + ( f f c ) 2 N
where is the frequency, is the cutoff frequency, and is the filter order. The cutoff frequency was chosen to preserve the main EMG band while attenuating high-frequency noise. After filtering, each channel was normalized using Min–Max normalization [19]:
x norm = x x m i n x m a x x m i n
where x is the raw sample and x m i n ,   x m a x are the minimum and maximum values of that channel in the dataset. No additional smoothing was applied to the wrist angle measurements or to the predicted outputs; only the sEMG channels were filtered as described and features were computed via windowed MAV. Figure 5 illustrates a comparison between the raw sEMG signal (blue) and the Butterworth-filtered signal (red). The applied filter effectively attenuates high-frequency noise, resulting in a smoother signal that better represents the underlying muscle activation trend.

3.4. Feature Extraction

The mean absolute value (MAV) was used as the primary time-domain feature [13,14]. For each channel, MAV over a window of length samples is defined as
MAV = 1 N i = 1 N x i
where x i is the normalized sEMG sample at time index i . The MAVs from the six chanels constitute a six-dimensional feature vector. MAV was computed using a sliding window of 200 ms with a step size of 20 ms, corresponding to a 90% overlap. Given the 200 Hz sampling rate, this window configuration is equivalent to N = 40 samples per window and a hop size of 4 samples. The 20 ms step was selected to match the feature update interval observed in the recorded dataset timestamps (approximately 0.02 s), thereby ensuring consistent temporal alignment between the extracted features and the angle label. No additional smoothing was applied to the measured wrist angle trajectories or to the model outputs; only the sEMG signals were filtered as described above.
Figure 6 presents representative examples of MAV envelopes extracted from the six sEMG channels during both wrist flexion and extension under two loading conditions: 0 and 75 N·cm.

3.5. Model Architecture and Training

Wrist angle estimation was performed using a multilayer perceptron neural network (MLPNN). The architecture consists of the following:
  • Input layer: 6 nodes (MAV features from six sEMG channels);
  • Hidden layer 1: 200 neurons, ReLU activation;
  • Hidden layer 2: 200 neurons, ReLU activation;
  • Output layer: 1 neuron (estimated angle).
The ReLU activation function is defined as follows [20]:
f ( x ) = m a x ( 0 , x )
Network weights were optimized using the Adam algorithm [10], with the weight update rule
w t = w t 1 η m ^ t v ^ t + ϵ
where w t is the weight at iteration t , η is the learning rate, m ^ t and v ^ t are bias-corrected first and second moment estimates of the gradient, and ϵ is a small constant for numerical stability.
The MLPNN was implemented using the scikit-learn MLPRegressor with Adam optimization (solver = ‘adam’). Unless otherwise stated, the following training hyperparameters were used: learning_rate_init = 0.001, max_iter = 200, tolerance tol = 1 × 10−4, L2 regularization alpha = 1 × 10−4, batch_size = ‘auto’, and random_state = 42. Training was terminated when the improvement in the loss function fell below tol for two consecutive iterations. The overall data processing pipeline of this proposed system is illustrated in Figure 7.

3.6. Evaluation Metrics and Experimental Protocol

Two metrics were used to evaluate the model: mean squared error (MSE) and the coefficient of determination (R2) [21]. For ntest samples, these metrics are defined as
MSE = 1 n i = 1 n ( A i A ^ i ) 2
R 2 = 1 i = 1 n ( A i A ^ i ) 2 i = 1 n ( A i A ¯ ) 2
where A i is the measured angle, A ^ i is the predicted angle, and A ¯ is the mean of the measured angles.
Each participant performed isotonic wrist flexion–extension movements under four load levels (0, 0.16, 0.32, and 0.48 N·m) in both directions, with repeated trials recorded for each condition. To mitigate information leakage arising from the 90% overlap between successive analysis windows, the dataset was partitioned at the trial level: all windows extracted from a given trial were assigned exclusively to either the training set or the test set. Model training and evaluation were performed in a subject-dependent manner (i.e., training and testing were conducted within each participant) to quantify within-subject accuracy under varying loads. Future work will adopt trial-wise and subject-independent validation (e.g., leave-one-subject-out) to assess generalization across users.

4. Results

4.1. EMG Characteristics Under Different Load Conditions

Preprocessed sEMG signals revealed distinct activation patterns for flexion and extension. As the applied torque increased from 0 to 75 N·cm, most channels showed higher amplitudes, consistent with the stronger muscle activation required to counteract increased load, while maintaining a monotonic relationship between angle and signal amplitude. These observations support the use of MAV as an informative feature that captures load-dependent variations in muscle activity while preserving correlation with joint angle.

4.2. Wrist Angle Estimation Performance

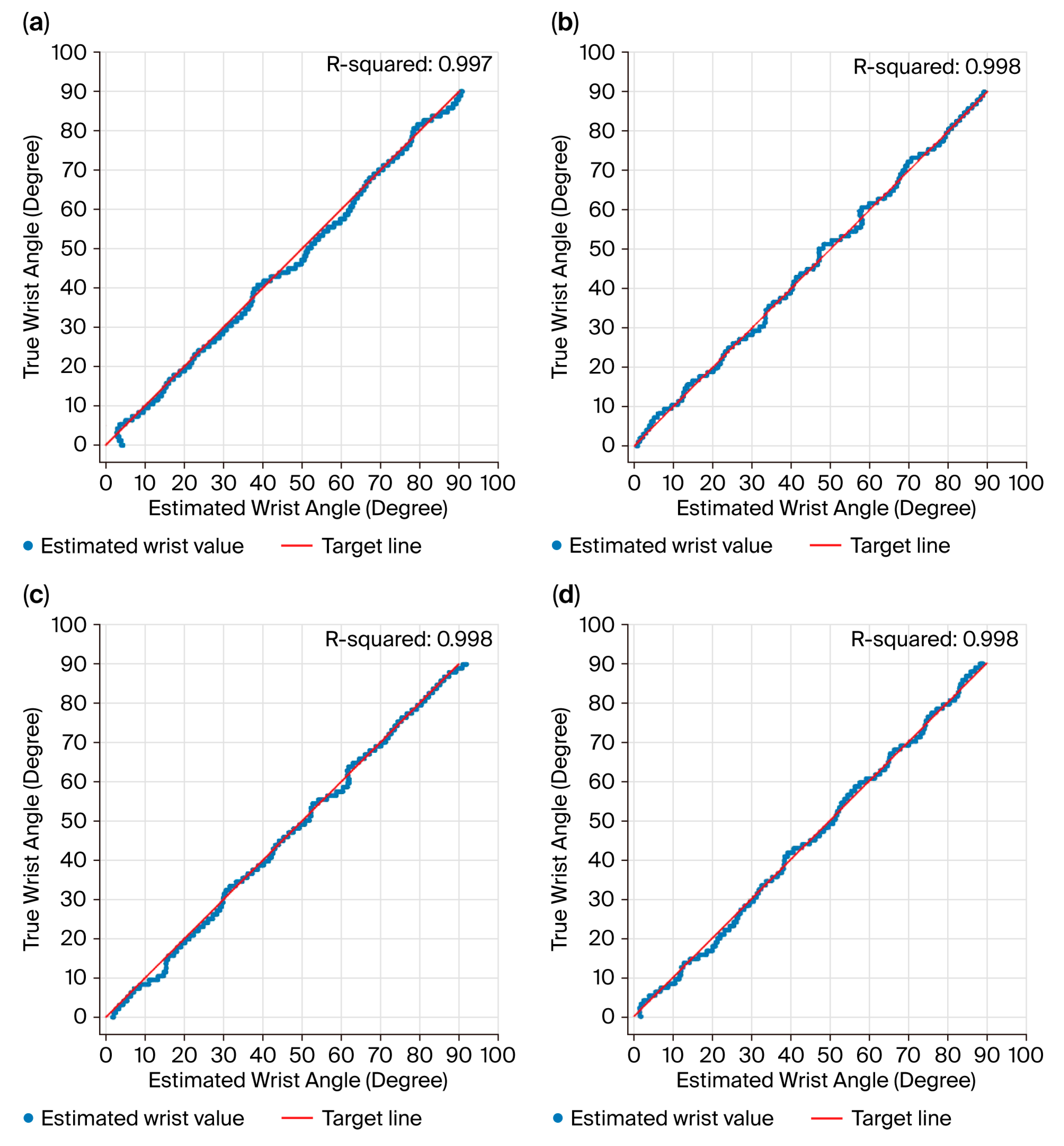
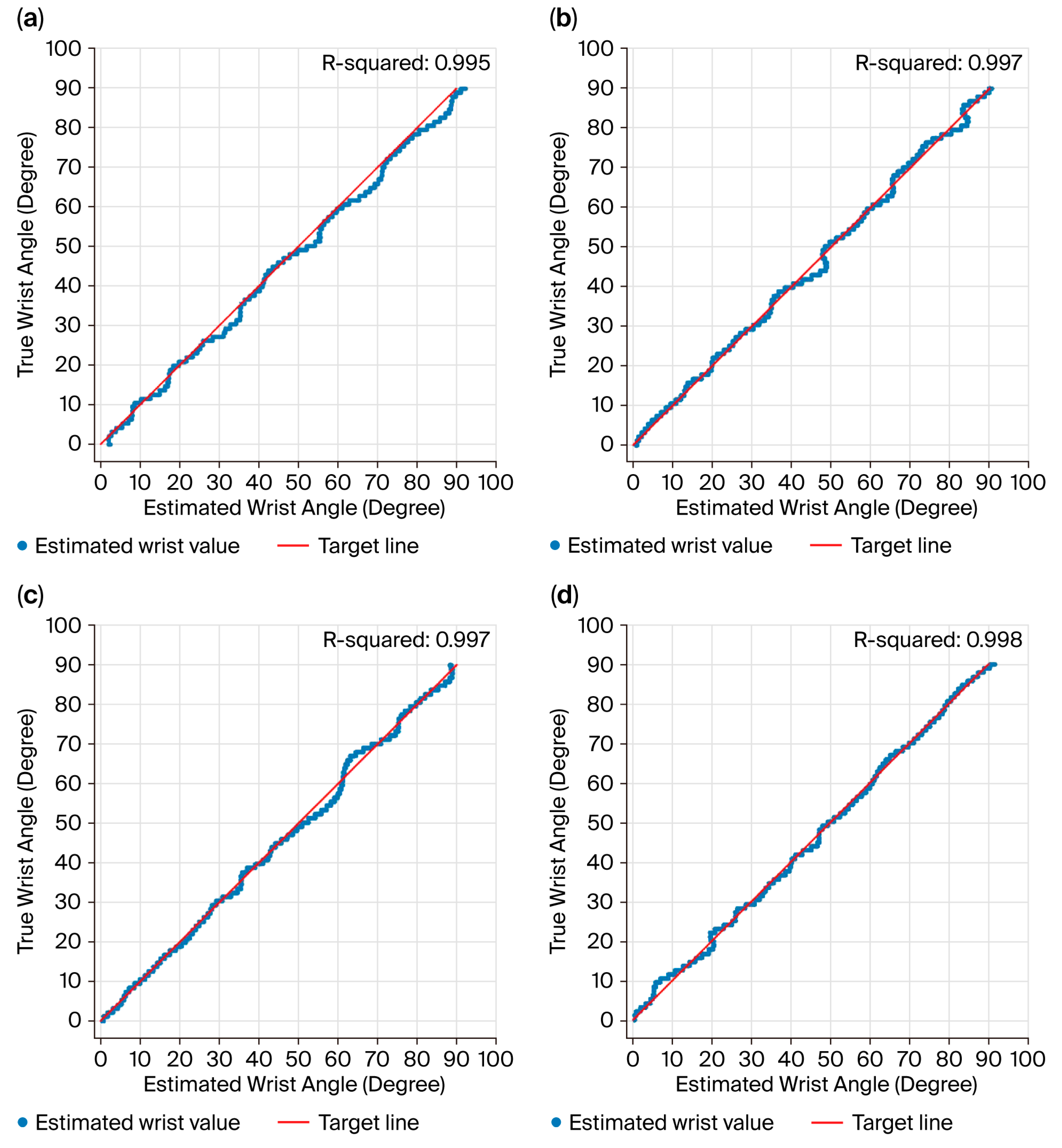
Representative plots of measured versus estimated wrist angles indicate that the MLPNN output closely follows the ground truth for both flexion and extension over the full 90° range, as illustrated in Figure 8 and Figure 9, respectively.
Table 1 reports subject-wise R2 and MSE for wrist extension and flexion, and also summarizes these metrics at each load level. Across all loads, the mean R2 for extension was 0.998, with MSE ranging from 1.31 to 1.97 deg2. For flexion, the mean R2 was 0.997, with MSE ranging from 1.23 to 3.75 deg2. Overall, the zero-load condition yielded the largest mean errors—particularly for flexion—whereas the lowest mean errors were observed at the highest load level (75 N·cm).

5. Discussion

This pilot study evaluated wrist angle estimation from sEMG under discrete counter-torque loads using an MLPNN regressor with MAV features. The primary purpose was to provide a controlled baseline for understanding load variation effects, rather than to claim methodological novelty or clinical readiness. The results show that, within the same subject and under the same constrained single-DoF protocol, a simple model can fit the sEMG-angle mapping with very high accuracy.

5.1. Why Near-Perfect Accuracy Was Observed

The very high R2 values observed in this study should be interpreted in the context of the experimental protocol. The apparatus constrains motion to a single degree of freedom and a fixed posture, and the ground-truth angle is discretized into consistent levels. These factors reduce kinematic variability compared with unconstrained functional movements and can make the sEMG-to-angle mapping easier to learn. In addition, the present evaluation uses a subject-dependent split in which all participants contribute to both training and testing sets; while appropriate for feasibility validation, this setting may overestimate generalization to unseen users.

5.2. Impact of Load Variation

Increased load tended to produce more consistent muscle activation patterns, which can improve the stability of MAV features and the learned mapping. This observation aligns with prior reports that load variation affects sEMG amplitude distributions and can influence joint-angle estimation accuracy [14,15]. In our dataset, extension generally yielded lower error than flexion at comparable loads, suggesting direction-dependent activation and signal-to-noise characteristics in the recorded channels.

5.3. Comparison with Previous Work

Compared with previous studies on wrist angle estimation, the MLPNN proposed herein achieves accuracy that is comparable to or higher than more complex models while using a simpler feature set and architecture.
  • GA–ELM and other shallow models have been used to predict wrist angles under different loads, but their performance can degrade as load increases, and they often rely on more elaborate feature sets [14,15].
  • Deep CNN and CNN–LSTM frameworks provide excellent accuracy for multi-DoF wrist kinematics but require more intensive computation and larger datasets to train [10,11,12]. Recent studies have also demonstrated robust sEMG-based recognition of grasping patterns for low-cost hand control, supporting the feasibility of lightweight EMG-driven interfaces [4,22].
  • EMG-driven musculoskeletal models capture biomechanical relationships between muscles and joint kinematics but demand detailed modeling and are costly to personalize.
  • ESN-based methods offer fast training and online adaptability for wrist angle estimation and robotic control, yet they still involve reservoir parameter tuning and rely on higher sampling rates (e.g., 2 kHz).
In contrast, our approach uses only six MAV features (200 ms windows with 90% overlap) and a two-hidden-layer MLPNN, while achieving R 2 0.995 across the tested counter-torque levels in our dataset. This indicates that, for the specific conditions studied here—single-DoF wrist flexion–extension constrained to a horizontal plane, potentiometer-based angle measurement, and discrete counter-torque levels of 0/25/50/75 N·cm—a MAV-driven MLPNN can provide a baseline for capturing the EMG–angle relationship. It is important to note that direct performance comparisons with prior studies should be interpreted cautiously, as differences in participants, sensor placement, movement complexity (multi-DoF vs. single-DoF), load profiles, and evaluation protocols can substantially affect reported metrics. Moreover, our results reflect a pilot, subject-dependent evaluation under controlled conditions; therefore, they do not establish subject-independent generalization or real-world robustness. Nevertheless, the observed performance suggests that a low-dimensional feature representation and a simple regressor may be sufficient in similarly constrained settings, and the presented results can serve as a reference point for future work that evaluates richer feature sets and more ecologically valid protocols.

5.4. Implications for Human Motion Analysis and Rehabilitation

Several limitations to our study must be acknowledged:
  • Small sample size and healthy participants only. The study included only three healthy subjects, which limits the generalizability of the findings. Future work will extend the framework to larger and more diverse cohorts, including stroke survivors and individuals with other neuromuscular conditions [1,2,23]. Accordingly, we report aggregated performance metrics; inter-subject variability was not statistically characterized in this cohort, and future work will report per-subject error distributions on larger and more diverse samples.
  • Single-DoF, single-posture configuration. We only considered flexion–extension in a horizontal plane with a single forearm posture. Extending the model to multiple DoFs (e.g., including radial/ulnar deviation) and different wrist/forearm configurations will be important to assess the method’s robustness.
  • Simple feature set and architecture. While MAV-based MLPNN performed well in this setting, more advanced feature sets (e.g., time–frequency or muscle synergy features) and temporal models (e.g., LSTM and ESN) may improve robustness in more complex tasks or under higher noise and fatigue.
  • Offline training and evaluation. The present analysis was conducted offline. Future work will implement and evaluate the model in real-time scenarios, including closed-loop control of rehabilitation devices and exoskeletons, and assess robustness over multiple sessions.
Despite these limitations, this study provides a useful baseline indicating that load-robust wrist angle estimation can be achieved with relatively simple models, motivating further research into model adaptation, subject-independent training, and clinical deployment.

6. Conclusions

This study proposed a machine learning framework for estimating wrist joint angles under multiple external load conditions using surface electromyography (sEMG) signals recorded from the forearm. As a pilot study, the objective was to establish a controlled baseline for assessing how discrete counter-torque levels influence the sEMG–angle relationship in a simplified single-DoF wrist protocol. A custom apparatus was used to apply four discrete counter-torque levels (0, 25, 50, and 75 N·cm) during wrist flexion and extension, while a potentiometer-based sensor provided ground-truth angles. Six sEMG channels from a MYO armband were preprocessed (Butterworth filtering and Min–Max normalization), and mean absolute value (MAV) features were extracted and used as inputs to a two-hidden-layer multilayer perceptron neural network (MLPNN), serving as a low-complexity regression baseline for the studied setting.
The results indicate consistently high within-subject estimation performance across all tested load levels. For wrist extension, the model achieved an average coefficient of determination of R 2 = 0.998 with an average mean squared error of 1.53 deg2. For wrist flexion, the average was R 2 = 0.997 with an MSE of 2.18 deg2. Slightly higher errors in the zero-load condition suggest that low-effort movements may introduce greater variability in muscle activation; nevertheless, prediction accuracy remained high under the controlled conditions of this experiment. Overall, the findings suggest that a MAV-based MLPNN can capture the sEMG–angle mapping for single-DoF wrist motion when external torque is discretely controlled.
This pilot study has limitations that define the appropriate scope of interpretation. The experiments involved a small number of healthy participants, a constrained single-DoF motion in a fixed plane, and subject-dependent evaluation; therefore, the current results do not establish subject-independent generalization or robustness in more realistic conditions. In addition, MAV-only features were selected for simplicity, and comparisons with richer feature sets or temporal models were outside the scope of this investigation.
Future work should include larger and more diverse cohorts (including clinical populations where appropriate), adopt subject-independent validation (e.g., leave-one-subject-out), and evaluate performance under more realistic motion conditions such as varied forearm orientations, multi-DoF wrist movements, and dynamic interactions. Further comparisons with time–frequency features and temporal models may also improve robustness to fatigue and signal variability. In summary, this study provides a controlled baseline evaluation of load-aware wrist angle estimation from sEMG and outlines clear steps required for translation beyond the simplified laboratory protocol.

Author Contributions

Conceptualization, T.T.; methodology, T.T. and A.S.; software, S.P. (Songpon Pumjam) and T.T.; validation, S.P. (Songpon Pumjam) and A.S.; formal analysis, S.P. (Songpon Pumjam) and A.S.; investigation, S.P. (Sarut Panjan) and A.S.; resources, S.P. (Sarut Panjan); data curation, S.P. (Songpon Pumjam) and S.P. (Sarut Panjan); writing—original draft preparation, S.P. (Sarut Panjan); writing—review and editing, A.S.; visualization, S.P. (Songpon Pumjam); supervision, S.P. (Sarut Panjan), T.T. and A.S.; project administration, A.S.; funding acquisition, T.T. and A.S. All authors have read and agreed to the published version of the manuscript.

Funding

This research budget was allocated by the National Science, Research and Innovation Fund (NSRF) and King Mongkut’s University of Technology North Bangkok (Project no KMUTNB-FF-69-B-51).

Data Availability Statement

The data presented in this study are available on request from the corresponding author due to ethical reasons.

Conflicts of Interest

The authors declare no conflict of interest.

References

  1. Li, N.; Yang, T.; Yu, P.; Chang, J.; Zhao, L.; Zhao, X.; Elhajj, I.H.; Xi, N.; Liu, L. Bio-inspired upper limb soft exoskeleton to reduce stroke-induced complications. Bioinspir. Biomim. 2018, 13, 066001. [Google Scholar] [CrossRef] [PubMed]
  2. Li, X.; Suresh, A.; Zhou, P.; Rymer, W.Z. Alterations in the peak amplitude distribution of the surface electromyogram poststroke. IEEE Trans. Bio-Med. Eng. 2013, 60, 845–852. [Google Scholar] [CrossRef]
  3. Toro-Ossaba, A.; Tejada, J.C.; Sanin-Villa, D. Myoelectric Control in Rehabilitative and Assistive Soft Exoskeletons: A Comprehensive Review of Trends, Challenges, and Integration with Soft Robotic Devices. Biomimetics 2025, 10, 214. [Google Scholar] [CrossRef]
  4. Mora, M.C.; García-Ortiz, J.V.; Cerdá-Boluda, J. sEMG-Based Robust Recognition of Grasping Postures with a Machine Learning Approach for Low-Cost Hand Control. Sensors 2024, 24, 2063. [Google Scholar] [CrossRef]
  5. Schwarz, A.; Bhagubai, M.M.C.; Wolterink, G.; Held, J.P.O.; Luft, A.R.; Veltink, P.H. Assessment of Upper Limb Movement Impairments after Stroke Using Wearable Inertial Sensing. Sensors 2020, 20, 4770. [Google Scholar] [CrossRef]
  6. Sakamoto, S.; Owaki, D.; Hayashibe, M. Ground reaction force estimation from EMG using recurrent neural network. In Proceedings of the JSME Annual Conference on Robotics and Mechatronics (ROBOMEC), Hiroshima, Japan, 5–8 June 2019; pp. 38–46. [Google Scholar] [CrossRef]
  7. Truong, M.T.N.; Ali, A.E.A.; Owaki, D.; Hayashibe, M. EMG-Based Estimation of Lower Limb Joint Angles and Moments Using Long Short-Term Memory Network. Sensors 2023, 23, 3331. [Google Scholar] [CrossRef]
  8. Bi, L.; Feleke, A.G.; Guan, C. A review on EMG-based motor intention prediction of continuous human upper limb motion for human–robot collaboration. Biomed. Signal Process. Control 2019, 51, 113–127. [Google Scholar] [CrossRef]
  9. Jiang, N.; Vest-Nielsen, J.L.G.; Muceli, S.; Farina, D. EMG-based simultaneous and proportional estimation of wrist/hand kinematics in unilateral trans-radial amputees. J. NeuroEng. Rehabil. 2012, 9, 42. [Google Scholar] [CrossRef] [PubMed]
  10. Bao, T.; Zaidi, S.A.R.; Xie, S.; Yang, P.; Zhang, Z.Q. A CNN–LSTM hybrid model for wrist kinematics estimation using surface electromyography. IEEE Trans. Instrum. Meas. 2021, 70, 2503809. [Google Scholar] [CrossRef]
  11. Bao, T.; Zaidi, S.A.R.; Xie, S.; Yang, P.; Zhang, Z.Q. Inter-Subject Domain Adaptation for CNN-Based Wrist Kinematics Estimation Using sEMG. IEEE Trans. Neural Syst. Rehabil. Eng. 2021, 29, 1068–1078. [Google Scholar] [CrossRef] [PubMed]
  12. Wei, Z.; Zhang, Z.Q.; Xie, S.Q. Continuous motion intention prediction using sEMG for upper-limb rehabilitation: A systematic review of model-based and model-free approaches. IEEE Trans. Neural Syst. Rehabil. Eng. 2024, 32, 1487–1504. [Google Scholar] [CrossRef] [PubMed]
  13. Kawase, T. Surface electromyography-based wrist angle estimation and robotic arm control using an echo state network. Actuators 2025, 14, 548. [Google Scholar] [CrossRef]
  14. Tang, Z.; Yu, H.; Cang, S. Impact of load variation on joint angle estimation from surface EMG signals. IEEE Trans. Neural Syst. Rehabil. Eng. 2016, 24, 1342–1350. [Google Scholar] [CrossRef] [PubMed]
  15. Liu, Y.; Li, C.; Jiang, D.; Chen, B.; Sun, N.; Cao, Y.; Tao, B.; Li, G. Wrist angle prediction under different loads based on GA–ELM neural network and surface electromyography. Concurr. Comput. Pract. Exp. 2022, 34, e6574. [Google Scholar] [CrossRef]
  16. Zhang, B.; Zhang, S. The estimation of grasping force based on the feature extracted from EMG signals. In Proceedings of the 2016 IEEE Advanced Information Management, Communicates, Electronic and Automation Control Conference (IMCEC), Xi’an, China, 3–5 October 2016; pp. 1477–1480. [Google Scholar] [CrossRef]
  17. Luo, J.; Liu, C.; Yang, C. Estimation of EMG-based force using a neural-network-based approach. IEEE Access 2019, 7, 64856–64865. [Google Scholar] [CrossRef]
  18. Manna, S.K.; Dubey, V.N.; Kekre, A.; Prasad, P.G.; Sharma, A.R. A portable elbow exoskeleton for three stages of rehabilitation: Assistive and resistive modes. J. Mech. Robot. 2019, 11, 065002. [Google Scholar] [CrossRef]
  19. Sinsomboonthong, S. Performance comparison of new adjusted Min–Max with decimal scaling and statistical column normalization methods for artificial neural network classification. Int. J. Math. Math. Sci. 2022, 2022, 3584406. [Google Scholar] [CrossRef]
  20. Agarap, A.F. Deep learning using rectified linear units (ReLU). arXiv 2018, arXiv:1803.08375. [Google Scholar] [CrossRef]
  21. James, G.; Witten, D.; Hastie, T.; Tibshirani, R. An Introduction to Statistical Learning: With Applications in R, 2nd ed.; Springer: New York, NY, USA, 2021; ISBN 978-1-0716-1418-1. [Google Scholar] [CrossRef]
  22. Grattarola, T.; Boccia, G.; Gastaldo, P.; Ravera, G. Enhanced sEMG-Based Robust Recognition of Grasping Patterns in Hand Motion. Appl. Sci. 2025, 15, 1062. [Google Scholar] [CrossRef]
  23. Gray, V.; Rice, C.L.; Garland, S.J. Factors that influence muscle weakness following stroke and their clinical implications: A critical review. Physiother. Can. 2012, 64, 415–426. [Google Scholar] [CrossRef] [PubMed] [PubMed Central]
Figure 1. System overview showing the load simulator, potentiometer-based angle sensor, PCF8591 A/D module, MYO armband, and Jetson Nano processing unit.
Figure 1. System overview showing the load simulator, potentiometer-based angle sensor, PCF8591 A/D module, MYO armband, and Jetson Nano processing unit.
Computers 15 00048 g001
Figure 2. Load simulator consisting of wrist rest, torque-generating roller, friction rollers, and counterweight supports.
Figure 2. Load simulator consisting of wrist rest, torque-generating roller, friction rollers, and counterweight supports.
Computers 15 00048 g002
Figure 3. Experimental setup for (a) wrist extension with CW torque and (b) wrist flexion with CCW torque.
Figure 3. Experimental setup for (a) wrist extension with CW torque and (b) wrist flexion with CCW torque.
Computers 15 00048 g003
Figure 4. Approximate locations of the six active MYO channels relative to major forearm muscles involved in wrist flexion and extension [9].
Figure 4. Approximate locations of the six active MYO channels relative to major forearm muscles involved in wrist flexion and extension [9].
Computers 15 00048 g004
Figure 5. Example of a raw sEMG segment and its Butterworth-filtered version.
Figure 5. Example of a raw sEMG segment and its Butterworth-filtered version.
Computers 15 00048 g005
Figure 6. Example of six-channel sEMG envelopes for 0 and 75 N·cm in both flexion and extension, illustrating increased amplitude with higher load. (a) The relationship between the total sEMG signal and the wrist angle at a load of 0 N·cm during wrist extension. (b) The relationship between the total sEMG signal and the wrist angle at a load of 0 N·cm during wrist flexion. (c) The relationship between the total sEMG signal and the wrist angle at a load of 75 N·cm during wrist extension. (d) The relationship between the total sEMG signal and the wrist angle at a load of 75 N·cm during wrist flexion.
Figure 6. Example of six-channel sEMG envelopes for 0 and 75 N·cm in both flexion and extension, illustrating increased amplitude with higher load. (a) The relationship between the total sEMG signal and the wrist angle at a load of 0 N·cm during wrist extension. (b) The relationship between the total sEMG signal and the wrist angle at a load of 0 N·cm during wrist flexion. (c) The relationship between the total sEMG signal and the wrist angle at a load of 75 N·cm during wrist extension. (d) The relationship between the total sEMG signal and the wrist angle at a load of 75 N·cm during wrist flexion.
Computers 15 00048 g006
Figure 7. Data processing pipeline for wrist angle estimation. The orange box highlights the input signals used for model training, including wrist angle sensor data and sEMG signals associated with wrist motion under different loading conditions (0, 25, 50, and 75 N·cm). The dashed box indicates signals used only during the training phase for calibration and scaling purposes. The pipeline consists of sEMG acquisition, Butterworth filtering, min–max normalization, MAV feature extraction, and MLP neural network (MLPNN) to estimate wrist angle.
Figure 7. Data processing pipeline for wrist angle estimation. The orange box highlights the input signals used for model training, including wrist angle sensor data and sEMG signals associated with wrist motion under different loading conditions (0, 25, 50, and 75 N·cm). The dashed box indicates signals used only during the training phase for calibration and scaling purposes. The pipeline consists of sEMG acquisition, Butterworth filtering, min–max normalization, MAV feature extraction, and MLP neural network (MLPNN) to estimate wrist angle.
Computers 15 00048 g007
Figure 8. Example of estimated vs. measured wrist angles in extension and under selected load conditions. (a) Wrist extension with counterforce equal to 0 N·cm. (b) Wrist extension with counterforce equal to 25 N·cm. (c) Wrist extension with counterforce equal to 50 N·cm. (d) Wrist extension with counterforce equal to 75 N·cm.
Figure 8. Example of estimated vs. measured wrist angles in extension and under selected load conditions. (a) Wrist extension with counterforce equal to 0 N·cm. (b) Wrist extension with counterforce equal to 25 N·cm. (c) Wrist extension with counterforce equal to 50 N·cm. (d) Wrist extension with counterforce equal to 75 N·cm.
Computers 15 00048 g008
Figure 9. Example of estimated vs. measured wrist angles in flexion under selected load conditions. (a) Wrist flexion with counterforce equal to 0 N·cm. (b) Wrist flexion with counterforce equal to 25 N·cm. (c) Wrist flexion with counterforce equal to 50 N·cm. (d) Wrist flexion with counterforce equal to 75 N·cm.
Figure 9. Example of estimated vs. measured wrist angles in flexion under selected load conditions. (a) Wrist flexion with counterforce equal to 0 N·cm. (b) Wrist flexion with counterforce equal to 25 N·cm. (c) Wrist flexion with counterforce equal to 50 N·cm. (d) Wrist flexion with counterforce equal to 75 N·cm.
Computers 15 00048 g009
Table 1. Summary of R2 and MSE values for wrist extension and flexion at each load level.
Table 1. Summary of R2 and MSE values for wrist extension and flexion at each load level.
Counter
-Torque (N·cm)
SubjectExtensionFlexion
R2R2
AVG
MSE [deg2]MSE [deg2]
AVG
R2R2
AVG
MSE [deg2]MSE [deg2]
AVG
010.9980.9971.3161.9660.9990.9951.0543.746
20.9981.5720.9888.378
30.9963.0100.9971.806
2510.9990.9980.9081.3130.9960.9972.6581.908
20.9981.5250.9962.858
30.9981.5061.0000.208
5010.9980.9981.3651.4060.9960.9972.9041.834
20.9981.2550.9981.297
30.9981.5990.9981.299
7510.9950.9983.3731.4190.9980.9981.1571.233
20.9990.7420.9990.836
31.0000.1420.9981.706
Average0.998 1.526 0.997 2.18
Maximum0.9981.9660.9983.746
Disclaimer/Publisher’s Note: The statements, opinions and data contained in all publications are solely those of the individual author(s) and contributor(s) and not of MDPI and/or the editor(s). MDPI and/or the editor(s) disclaim responsibility for any injury to people or property resulting from any ideas, methods, instructions or products referred to in the content.

Share and Cite

MDPI and ACS Style

Pumjam, S.; Panjan, S.; Tonggoed, T.; Suebsomran, A. A Machine Learning Approach to Wrist Angle Estimation Under Multiple Load Conditions Using Surface EMG. Computers 2026, 15, 48. https://doi.org/10.3390/computers15010048

AMA Style

Pumjam S, Panjan S, Tonggoed T, Suebsomran A. A Machine Learning Approach to Wrist Angle Estimation Under Multiple Load Conditions Using Surface EMG. Computers. 2026; 15(1):48. https://doi.org/10.3390/computers15010048

Chicago/Turabian Style

Pumjam, Songpon, Sarut Panjan, Tarinee Tonggoed, and Anan Suebsomran. 2026. "A Machine Learning Approach to Wrist Angle Estimation Under Multiple Load Conditions Using Surface EMG" Computers 15, no. 1: 48. https://doi.org/10.3390/computers15010048

APA Style

Pumjam, S., Panjan, S., Tonggoed, T., & Suebsomran, A. (2026). A Machine Learning Approach to Wrist Angle Estimation Under Multiple Load Conditions Using Surface EMG. Computers, 15(1), 48. https://doi.org/10.3390/computers15010048

Note that from the first issue of 2016, this journal uses article numbers instead of page numbers. See further details here.

Article Metrics

Back to TopTop