Sign in to use this feature.

Years

Between: -

Subjects

remove_circle_outline
remove_circle_outline
remove_circle_outline
remove_circle_outline
remove_circle_outline
remove_circle_outline
remove_circle_outline
remove_circle_outline
remove_circle_outline

Journals

remove_circle_outline
remove_circle_outline
remove_circle_outline
remove_circle_outline

Article Types

Countries / Regions

remove_circle_outline
remove_circle_outline
remove_circle_outline
remove_circle_outline
remove_circle_outline

Search Results (2,534)

Search Parameters:
Keywords = slide mode control

Order results
Result details
Results per page
Select all
Export citation of selected articles as:
30 pages, 10873 KB  
Article
ANN-Based Direct Power Control for Improved Dynamic Performance of DFIG-Based Wind Turbine System: Experimental Validation
by Hamid Chojaa, Mishari Metab Almalki and Mahmoud A. Mossa
Machines 2025, 13(11), 1006; https://doi.org/10.3390/machines13111006 (registering DOI) - 1 Nov 2025
Abstract
Direct power control (DPC) is a widely accepted control scheme utilized in renewable energy applications owing to its several advantages over other control mechanisms, including its simplicity, ease of implementation, and faster response. However, DPC suffers from inherent drawbacks and limitations that constrain [...] Read more.
Direct power control (DPC) is a widely accepted control scheme utilized in renewable energy applications owing to its several advantages over other control mechanisms, including its simplicity, ease of implementation, and faster response. However, DPC suffers from inherent drawbacks and limitations that constrain its applicability. These restrictions include notable ripples in active power and torque, as well as poor power quality brought on by the usage of a hysteresis regulator for capacity management. To address these issues and overcome the limitations of DPC, this study proposes a novel approach that incorporates artificial neural networks (ANNs) into DPC. The proposed technique focuses on doubly fed induction generators (DFIGs) and is validated through experimental testing. ANNs are employed to recompense for the deficiencies of the hysteresis controller and switching table. The intelligent DPC technique is then compared to three other strategies: classic DPC, backstepping control, and integral sliding-mode control. Various tests are conducted to compare the ripple ratio, current quality, durability, response time, and reference tracking. The validity and robustness of the proposed intelligent DPC for DFIGs are verified through both simulation and experimental results obtained from the MATLAB/Simulink environment and the Real-Time Interface (RTI) of the dSPACE DS1104 controller card. The results confirm that the intelligent DPC outperforms conventional control strategies in terms of stator current harmonic distortion, dynamic response, power ripple minimization, reference tracking accuracy, robustness, and overshoot reduction. Overall, the intelligent DPC exhibits superior performance across all evaluated criteria compared to the alternative approaches. Full article
(This article belongs to the Special Issue Wound Field and Less Rare-Earth Electrical Machines in Renewables)
Show Figures

Figure 1

25 pages, 4110 KB  
Article
RBF Neural Network-Enhanced Adaptive Sliding Mode Control for VSG Systems with Multi-Parameter Optimization
by Jian Sun, Chuangxin Chen and Huakun Wei
Electronics 2025, 14(21), 4309; https://doi.org/10.3390/electronics14214309 (registering DOI) - 31 Oct 2025
Abstract
Virtual synchronous generator (VSG) simulates the dynamic characteristics of synchronous generator, offering significant advantages in flexibly adjusting virtual inertia and damping parameters. However, their dynamic stability is susceptible to constraints such as control parameter design, grid disturbances, and the intermittent nature of distributed [...] Read more.
Virtual synchronous generator (VSG) simulates the dynamic characteristics of synchronous generator, offering significant advantages in flexibly adjusting virtual inertia and damping parameters. However, their dynamic stability is susceptible to constraints such as control parameter design, grid disturbances, and the intermittent nature of distributed power sources. This study addresses the degradation of transient performance in traditional sliding mode control for VSG, caused by insufficient multi-parameter cooperative adaptation. It proposes an adaptive sliding mode control strategy based on radial basis function (RBF) neural networks. Through theoretical analysis of the influence mechanism of virtual inertia and damping coefficient perturbations on system stability, the RBF neural network achieves dynamic parameter decoupling and nonlinear mapping. Combined with an integral-type sliding surface to design a weight-adaptive convergence law, it effectively avoids local optima and ensures global stability. This strategy not only enables multi-parameter cooperative adaptive regulation of frequency fluctuations but also significantly enhances the system’s robustness under parameter perturbations. Simulation results demonstrate that compared to traditional control methods, the proposed strategy exhibits significant advantages in dynamic response speed and overshoot suppression. Full article
Show Figures

Figure 1

27 pages, 840 KB  
Article
A Decoupled Sliding Mode Predictive Control of a Hypersonic Vehicle Based on an Extreme Learning Machine
by Zhihua Lin, Haiyan Gao, Jianbin Zeng and Weiqiang Tang
Aerospace 2025, 12(11), 981; https://doi.org/10.3390/aerospace12110981 (registering DOI) - 31 Oct 2025
Abstract
A sliding mode predictive control (SMPC) scheme integrated with an extreme learning machine (ELM) disturbance observer is proposed for the trajectory tracking of a flexible air-breathing hypersonic vehicle (FAHV). To streamline the controller design, the longitudinal model is decoupled into a velocity subsystem [...] Read more.
A sliding mode predictive control (SMPC) scheme integrated with an extreme learning machine (ELM) disturbance observer is proposed for the trajectory tracking of a flexible air-breathing hypersonic vehicle (FAHV). To streamline the controller design, the longitudinal model is decoupled into a velocity subsystem and an altitude subsystem. For the velocity subsystem, a proportional-integral sliding mode surface is designed, and the control law is derived by minimizing a cost function that weights the predicted sliding mode surface and the control input. For the altitude subsystem, a backstepping control framework is adopted, with the SMPC strategy embedded in each step. Multi-source disturbances are modeled as composite additive disturbances, and an ELM-based neural network observer is constructed for their real-time estimation and compensation, thereby enhancing system robustness. The semi-globally uniformly ultimately bounded (SGUUB) stability of the closed-loop system is rigorously proven using Lyapunov stability theory. Simulation results demonstrate the comprehensive superiority of the proposed method: it achieves reductions in Root Mean Square Error (RMSE) of 99.60% and 99.22% for velocity and altitude tracking, respectively, compared to Prescribed Performance Control with Backstepping Control (PPCBSC), and reductions of 98.48% and 97.12% relative to Terminal Sliding Mode Control (TSMC). Under parameter uncertainties, the developed ELM observer outperforms RBF-based observer and Extended State Observer (ESO) by significantly reducing tracking errors. These findings validate the high precision and strong robustness of the proposed approach. Full article
(This article belongs to the Special Issue New Perspective on Flight Guidance, Control and Dynamics)
31 pages, 4855 KB  
Article
Research on Hybrid Control Methods for Electromechanical Actuation Systems Under the Influence of Nonlinear Factors
by Xingye Ding and Yong Zhou
Actuators 2025, 14(11), 526; https://doi.org/10.3390/act14110526 - 29 Oct 2025
Viewed by 106
Abstract
With the comprehensive digitalization and electrification of aircraft, electromechanical actuation systems (EAS) have been increasingly applied. However, EAS are affected by various nonlinear factors, such as friction and mechanical backlash, which can compromise system stability and control accuracy, thereby reducing the operational lifespan [...] Read more.
With the comprehensive digitalization and electrification of aircraft, electromechanical actuation systems (EAS) have been increasingly applied. However, EAS are affected by various nonlinear factors, such as friction and mechanical backlash, which can compromise system stability and control accuracy, thereby reducing the operational lifespan of the EAS. This study focuses on these two nonlinear factors and proposes a hybrid control approach to mitigate their effects. In the speed loop of the EAS, a Super-Twisting sliding mode controller combined with a generalized proportional–integral observer (GPIO) is designed, while in the position loop, a hybrid controller integrating a radial basis function (RBF) neural network with sliding mode control is implemented. Leveraging the advantages of numerical analysis in SIMULINK and dynamic simulation in ADAMS, a co-simulation framework is established to evaluate the hybrid control algorithm under nonlinear effects. Furthermore, a control test bench for the control surface transmission system is constructed to analyze the dynamic and static performance of the system under different control strategies and input commands. The experimental results show that, compared with the PID control, the hybrid control method reduces the steady-state error and vibration amplitude of the step response displacement by 51% and 75%, respectively, and decreases the amplitude of speed fluctuations by 75%. For the sinusoidal response, the displacement lag is reduced by 76%, and the amplitude of speed fluctuations is reduced by 50%. Full article
(This article belongs to the Special Issue Fault Diagnosis and Prognosis in Actuators)
Show Figures

Figure 1

28 pages, 5988 KB  
Article
Triple Active Bridge Modeling and Decoupling Control
by Andrés Camilo Henao-Muñoz, Mohammed B. Debbat, Antonio Pepiciello and José Luis Domínguez-García
Electronics 2025, 14(21), 4224; https://doi.org/10.3390/electronics14214224 - 29 Oct 2025
Viewed by 132
Abstract
The increased penetration of power electronics interfaced resources in modern power systems is unlocking new opportunities and challenges. New concepts like multiport converters can further enhance the efficiency and power density of power electronics-based solutions. The triple active bridge is an isolated multiport [...] Read more.
The increased penetration of power electronics interfaced resources in modern power systems is unlocking new opportunities and challenges. New concepts like multiport converters can further enhance the efficiency and power density of power electronics-based solutions. The triple active bridge is an isolated multiport converter with soft switching and high voltage gain that can integrate different sources, storage, and loads, or act as a building block for modular systems. However, the triple active bridge suffers from power flow cross-coupling, which affects its dynamic performance if it is not removed or mitigated. Unlike the extensive literature on two-port power converters, studies on modeling and control comparison for multiport converters are still lacking. Therefore, this paper presents and compares different modeling and decoupling control approaches applied to the triple active bridge converter, highlighting their benefits and limitations. The converter operation and modulation are introduced, and modeling and control strategies based on the single phase shift power flow control are detailed. The switching model, generalized full-order average model, and the reduced-order model derivations are presented thoroughly, and a comparison reveals that first harmonic approximations can be detrimental when modeling the triple active bridge. Furthermore, the model accuracy is highly sensitive to the operating point, showing that the generalized average model better represents some dynamics than the lossless reduced-order model. Furthermore, three decoupling control strategies are derived aiming to mitigate cross-coupling effects to ensure decoupled power flow and improve system stability. To assess their performance, the TAB converter is subjected to power and voltage disturbances and parameter uncertainty. A comprehensive comparison reveals that linear PI controllers with an inverse decoupling matrix can effectively control the TAB but exhibit large settling time and voltage deviations due to persistent cross-coupling. Furthermore, the decoupling matrix is highly sensitive to inaccuracies in the converter’s model parameters. In contrast, linear active disturbance rejection control and sliding mode control based on a linear extended state observer achieve rapid stabilization, demonstrating strong decoupling capability under disturbances. Furthermore, both control strategies demonstrate robust performance under parameter uncertainty. Full article
(This article belongs to the Special Issue Power Electronics and Renewable Energy System)
Show Figures

Figure 1

9 pages, 792 KB  
Proceeding Paper
An Improved Adaptive Sliding Mode Controller with Dynamic Surface Extension for Uncertain Robotic Manipulators
by Haris Sheh Zad, Adil Zohaib, Abasin Ulasyar and Sohail Khalid
Eng. Proc. 2025, 111(1), 25; https://doi.org/10.3390/engproc2025111025 - 28 Oct 2025
Viewed by 220
Abstract
This article presents an improved adaptive sliding mode control (SMC) scheme designed for uncertain robotic manipulators through a novel dynamic surface extension. Unlike conventional SMC approaches, which have scalar sliding surfaces, our proposed approach introduces a two-stage sliding variable along with a dynamic [...] Read more.
This article presents an improved adaptive sliding mode control (SMC) scheme designed for uncertain robotic manipulators through a novel dynamic surface extension. Unlike conventional SMC approaches, which have scalar sliding surfaces, our proposed approach introduces a two-stage sliding variable along with a dynamic extension, which allows the independent shaping of reaching and sliding dynamics. The controller adaptively estimates unknown disturbances and ensures finite-time convergence of the sliding variable, while chattering and steady-state errors are suppressed by including the integral term in the dynamic extension. Lyapunov-based analysis was carried out to prove the boundedness of the overall control approach and the asymptotic tracking of the desired trajectory. Simulation studies were carried out on a two-link robot manipulator under varying payloads and external disturbances. The results validate its superior tracking accuracy and disturbance rejection compared to traditional SMC controllers. The results confirm that the proposed control scheme achieves fast convergence, low chattering, and robust performance in the presence of modeling uncertainties, making it a promising solution for high-precision robotic applications. Full article
Show Figures

Figure 1

17 pages, 2144 KB  
Article
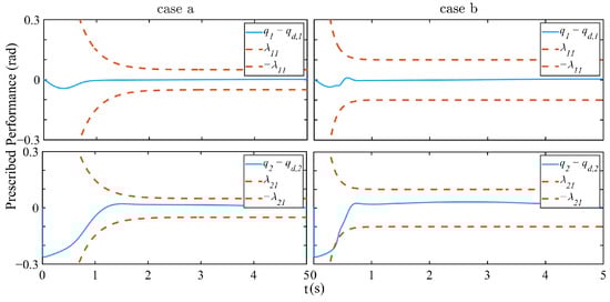
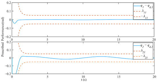
Prescribed Performance Control for Robotic System with Communication Delays and Disturbances
by Yao Wang, Shaobo Shen, Chuang Li and Wanjie Zhang
Electronics 2025, 14(21), 4218; https://doi.org/10.3390/electronics14214218 - 28 Oct 2025
Viewed by 138
Abstract
This paper presents a Prescribed Performance Control (PPC) approach for robotic systems experiencing communication delay and disturbances. Under input and feedback delays, a state feedback controller is designed to maintain the output tracking error within prescribed performance specifications. Additionally, a super-twisting algorithm-based sliding-mode [...] Read more.
This paper presents a Prescribed Performance Control (PPC) approach for robotic systems experiencing communication delay and disturbances. Under input and feedback delays, a state feedback controller is designed to maintain the output tracking error within prescribed performance specifications. Additionally, a super-twisting algorithm-based sliding-mode observer is proposed to estimate and compensate for external disturbance in the robotic system. Based on the Lyapunov method, appropriate controller parameters and observer gains are selected to ensure the accuracy of output tracking and disturbance estimation. Finally, the effectiveness of the proposed approach is validated through simulations on a nonlinear robotic system. The proposed method remains effective in the simultaneous presence of state measurement delay, control input delay, and disturbance. Full article
Show Figures

Figure 1

9 pages, 1014 KB  
Proceeding Paper
Adaptive Observer-Based Robust Control of Mismatched Buck DC–DC Converters for Renewable Energy Applications
by Haris Sheh Zad, Abasin Ulasyar, Adil Zohaib and Sohail Khalid
Eng. Proc. 2025, 111(1), 22; https://doi.org/10.3390/engproc2025111022 - 27 Oct 2025
Viewed by 174
Abstract
This paper presents a new robust control strategy for buck DC–DC converters that achieve fast and robust voltage regulation in the presence of load disturbances and model uncertainties. First, an adaptive state observer is designed to estimate the inductor current and capacitor voltage [...] Read more.
This paper presents a new robust control strategy for buck DC–DC converters that achieve fast and robust voltage regulation in the presence of load disturbances and model uncertainties. First, an adaptive state observer is designed to estimate the inductor current and capacitor voltage by utilizing the output measurement. The observer gains are tuned online via a Lyapunov-based adaptation law, ensuring that the estimation error remains uniformly bounded, even when the disturbances act on the system. Based on the state estimates, an integral sliding-mode controller is designed in order to eliminate the steady state error and ensure the finite time sliding. The detailed stability proofs for both the observer and the sliding-mode controller are derived showing the finite-time reaching of the sliding surface and exponential convergence of the voltage error. Simulation results under varying load profiles confirm that the proposed scheme outperforms traditional sliding-mode designs in terms of disturbance rejection and settling time, while avoiding excessive chattering. Full article
Show Figures

Figure 1

20 pages, 3075 KB  
Article
Research on a Coordinated Control Method of Tractor Electro-Hydraulic Hitch Tillage Depth and Travel Speed Based on Optimal Overall Efficiency and Economic Performance
by Xiaoxu Sun, Yue Song, Zhixiong Lu and Xiaoting Deng
Agriculture 2025, 15(21), 2232; https://doi.org/10.3390/agriculture15212232 - 26 Oct 2025
Viewed by 268
Abstract
To improve traction efficiency and reduce fuel consumption during tractor tillage operations, a coordinated control method for electro-hydraulic hitch depth and tractor speed was proposed. Based on theoretical analysis, a dynamic model of the tractor–implement system during tillage was established. The principles of [...] Read more.
To improve traction efficiency and reduce fuel consumption during tractor tillage operations, a coordinated control method for electro-hydraulic hitch depth and tractor speed was proposed. Based on theoretical analysis, a dynamic model of the tractor–implement system during tillage was established. The principles of coordinated control were developed, and a comprehensive performance evaluation index considering both efficiency and economic performance of the tractor was proposed to optimize the coordinated control objectives. A depth controller and a speed controller were, respectively, designed based on the sliding mode control algorithm. A hardware-in-the-loop test platform for coordinated control of electro-hydraulic hitch depth and travel speed was established via CAN communication. Comparative experiments were conducted under three operational conditions (Condition 1: tillage depth 16 cm, soil specific resistance 2.5–3.5 N/cm2; Condition 2: 20 cm, 3.5–4.5 N/cm2; Condition 3: 24 cm, 4.5–5.5 N/cm2) against the conventional single depth control method under full throttle. Results demonstrated that the coordinated depth-speed control method improved the overall tractor efficiency-economy by 50.0%, 33.3%, and 26.7% under these respective conditions compared to the single depth control method. This method not only ensures operation quality but also enhances the comprehensive performance of the tractor, effectively improving traction efficiency and reducing fuel consumption. Moreover, it demonstrates better adaptability to varying field conditions. Full article
(This article belongs to the Section Agricultural Technology)
Show Figures

Figure 1

13 pages, 2868 KB  
Article
Prescribed-Performance-Based Sliding Mode Control for Piezoelectric Actuator Systems
by Shengjun Wen, Shixin Zhang and Jun Yu
Actuators 2025, 14(11), 516; https://doi.org/10.3390/act14110516 - 25 Oct 2025
Viewed by 187
Abstract
A prescribed-performance-based sliding mode control method with feed-forward inverse compensation is proposed in this study to improve the micropositioning accuracy and convergence speed of a piezoelectric actuator (PEA). Firstly, the piezo-actuated micropositioning system is described by a Hammerstein structure model, and an inverse [...] Read more.
A prescribed-performance-based sliding mode control method with feed-forward inverse compensation is proposed in this study to improve the micropositioning accuracy and convergence speed of a piezoelectric actuator (PEA). Firstly, the piezo-actuated micropositioning system is described by a Hammerstein structure model, and an inverse Prandtl–Ishlinskii (PI) model was employed to compensate for its hysteresis characteristics. Then, considering modelling errors, inverse compensation errors, and external disturbances, a new prescribed performance function (PPF) with an exponential dynamic decay rate was developed to describe the constrained region of the errors. We then transformed the error into an unconstrained form by constructing a monotonic function, and the sliding variables were obtained by using the transformation error. Based on this, a sliding mode controller with a prescribed performance function (SMC-PPF) was designed to improve the control accuracy of PEAs. Furthermore, we demonstrated that the error can converge to the constrained region and the sliding variables are stable within the switching band. Finally, experiments were conducted to verify the speed and accuracy of the controller. The step-response experiment results indicated that the time taken for SMC-PPC to enter the error window was 8.1 and 2.2 ms faster than that of sliding mode control (SMC) and PID, respectively. The ability of SMC-PPF to improve accuracy was verified using four different reference inputs. These results showed that, for these different inputs, the root mean square error of the SMC-PPF was reduced by over 39.6% and 52.5%, compared with the SMC and PID, respectively. Full article
(This article belongs to the Section Actuator Materials)
Show Figures

Figure 1

20 pages, 1161 KB  
Article
A New Control Tracking Approach for the Congestion Problem of a TCP System Based on Nonlinear Sliding Mode Control
by Chaimae El Mortajine and Mostafa Bouzi
Processes 2025, 13(11), 3427; https://doi.org/10.3390/pr13113427 - 25 Oct 2025
Viewed by 250
Abstract
In this paper, we propose two control approaches based on sliding mode control (SMC) to address the congestion problem in transmission control protocol (TCP) systems. First, a nonlinear sliding variable is introduced using a K1 function, which ensures robustness and finite-time convergence. [...] Read more.
In this paper, we propose two control approaches based on sliding mode control (SMC) to address the congestion problem in transmission control protocol (TCP) systems. First, a nonlinear sliding variable is introduced using a K1 function, which ensures robustness and finite-time convergence. Based on this sliding variable, a suitable switching controller is designed. Additionally, a continuous version of the controller is developed using the arctangent function to reduce chattering. Two simulation scenarios are presented to validate the effectiveness of the proposed control schemes in terms of congestion control and tracking performance. Full article
Show Figures

Figure 1

13 pages, 2745 KB  
Article
Maximum Torque per Ampere Control of IPMSM Based on Current Angle Searching with Sliding-Mode Extremum Seeking
by Ziqing Zhang, Xiang Wu and Bo Yang
Energies 2025, 18(21), 5613; https://doi.org/10.3390/en18215613 - 25 Oct 2025
Viewed by 222
Abstract
Model-based maximum torque per ampere (MTPA) control methods of interior permanent magnet synchronous motors (IPMSM) often suffer from poor robustness. To address this issue, a new MTPA control method based on current angle searching with sliding-mode extremum seeking is proposed. Based on Lyapunov’s [...] Read more.
Model-based maximum torque per ampere (MTPA) control methods of interior permanent magnet synchronous motors (IPMSM) often suffer from poor robustness. To address this issue, a new MTPA control method based on current angle searching with sliding-mode extremum seeking is proposed. Based on Lyapunov’s criterion, the stability of the proposed MTPA method is proven. By analyzing the formation and switching process of a sliding-mode surface, the convergence speed and control accuracy of the proposed MTPA are derived. Compared with the conventional MTPA method, based on the sinusoidal excitation extremum search algorithm, the proposed method does not require either a sinusoidal excitation signal or high-pass and low-pass filters. The effectiveness of the proposed method is verified by experiment. Full article
Show Figures

Figure 1

24 pages, 41039 KB  
Article
A Novel Design of a Sliding Mode Controller Based on Modified ERL for Enhanced Quadcopter Trajectory Tracking
by Ahmed Abduljabbar Mahmood, Fernando García and Abdulla Al-Kaff
Drones 2025, 9(11), 737; https://doi.org/10.3390/drones9110737 - 23 Oct 2025
Viewed by 247
Abstract
This paper introduces a new approach to obtain robust tracking performance, disturbance resistance, and input variation resistance, and eliminate chattering phenomena in the control signal and output responses of an unmanned aerial vehicle (UAV) quadcopter with parametric uncertainty. This method involves a modified [...] Read more.
This paper introduces a new approach to obtain robust tracking performance, disturbance resistance, and input variation resistance, and eliminate chattering phenomena in the control signal and output responses of an unmanned aerial vehicle (UAV) quadcopter with parametric uncertainty. This method involves a modified exponential reaching law (ERL) of the sliding mode control (SMC) based on a Gaussian kernel function with a continuous nonlinear Smoother Signum Function (SSF). The smooth continuous signum function is proposed as a substitute for the signum function to prevent the chattering effect caused by the switching sliding surface. The closed-loop system’s stability is ensured according to Lyapunov’s stability theory. Optimal trajectory tracking is attained based on particle swarm optimization (PSO) to select the controller parameters. A comparative analysis with a classical hierarchical SMC based on different ERLs (sign function, saturation function, and SSF) is presented to further substantiate the superior performance of the proposed controller. The outcomes of the simulation prove that the suggested controller has much better effectiveness, unknown disturbance resistance, input variation resistance, and parametric uncertainty than the other controllers, which produce chattering and make the control signal range fall within unrealistic values. Furthermore, the suggested controller outperforms the classical SMC by reducing the tracking integral mean squared errors by 96.154% for roll, 98.535% for pitch, 44.81% for yaw, and 22.8% for altitude under normal flight conditions. It also reduces the tracking mean squared errors by 99.05% for roll, 99.26% for pitch, 40.18% for yaw, and 99.998% for altitude under trajectory tracking flight conditions in the presence of external disturbances. Therefore, the proposed controller can efficiently follow paths in the presence of parameter uncertainties, input variation, and external disturbances. Full article
(This article belongs to the Special Issue Path Planning, Trajectory Tracking and Guidance for UAVs: 3rd Edition)
Show Figures

Figure 1

38 pages, 13235 KB  
Article
Hardware-in-the-Loop Experimental Validation of a Fault-Tolerant Control System for Quadcopter UAV Motor Faults
by Muhammad Abdullah, Adil Zulfiqar, Muhammad Zeeshan Babar, Jamal Hussain Arman, Ghulam Hafeez, Ahmed S. Alsafran and Muhyaddin Rawa
Fractal Fract. 2025, 9(11), 682; https://doi.org/10.3390/fractalfract9110682 - 23 Oct 2025
Viewed by 318
Abstract
In this paper, a hybrid fault-tolerant control (FTC) system for quadcopter unmanned aerial vehicles (UAVs) is proposed to counteract the deterioration of the performance of the quadcopter due to motor faults. A robust and adaptive approach to controlling fault conditions is simulated by [...] Read more.
In this paper, a hybrid fault-tolerant control (FTC) system for quadcopter unmanned aerial vehicles (UAVs) is proposed to counteract the deterioration of the performance of the quadcopter due to motor faults. A robust and adaptive approach to controlling fault conditions is simulated by combining an integral back-stepping controller for translational motion and a nonlinear observer-based sliding-mode controller for rotational motion, and then implemented on an FPGA. Finally, motor faults are treated as disturbances and are successfully compensated by the controller to ensure safe and high-performance flight. Simulations were taken at 0%, 10%, 30%, and 50% motor faults to test how effective the proposed FTC system is. After simulations, the controller’s real-time performance and reliability were validated through hardware-in-the-loop (HIL) experiments. The results validated that the proposed hybrid controller can guarantee stable flight and precision tracking of the desired trajectory when any single motor fails up to the order of 50%. It shows that the controller is of high fault tolerance and robustness, which will be a potential solution for improving the reliability of UAVs in fault-prone conditions. Full article
Show Figures

Figure 1

22 pages, 10683 KB  
Article
A Vision Navigation Method for Agricultural Machines Based on a Combination of an Improved MPC Algorithm and SMC
by Yuting Zhai, Dongyan Huang, Jian Li, Xuehai Wang and Yanlei Xu
Agriculture 2025, 15(21), 2189; https://doi.org/10.3390/agriculture15212189 - 22 Oct 2025
Viewed by 253
Abstract
Vision navigation systems provide significant advantages in agricultural scenarios such as pesticide spraying, weeding, and harvesting by interpreting crop row structures in real-time to establish guidance lines. However, the delay introduced by image processing causes the path and pose information relied upon by [...] Read more.
Vision navigation systems provide significant advantages in agricultural scenarios such as pesticide spraying, weeding, and harvesting by interpreting crop row structures in real-time to establish guidance lines. However, the delay introduced by image processing causes the path and pose information relied upon by the controller to lag behind the actual vehicle state. In this study, a hierarchical delay-compensated cooperative control framework (HDC-CC) was designed to synergize Model Predictive Control (MPC) and Sliding Mode Control (SMC), combining predictive optimization with robust stability enforcement for agricultural navigation. An upper-layer MPC module incorporated a novel delay state observer that compensated for visual latency by forward-predicting vehicle states using a 3-DoF dynamics model, generating optimized front-wheel steering angles under actuator constraints. Concurrently, a lower-layer SMC module ensured dynamic stability by computing additional yaw moments via adaptive sliding surfaces, with torque distribution optimized through quadratic programming. Under varying adhesion conditions tests demonstrated error reductions of 74.72% on high-adhesion road and 56.19% on low-adhesion surfaces. In Gazebo simulations of unstructured farmland environments, the proposed framework achieved an average path tracking error of only 0.091 m. The approach effectively overcame vision-controller mismatches through predictive compensation and hierarchical coordination, providing a robust solution for vision autonomous agricultural machinery navigation in various row-crop operations. Full article
(This article belongs to the Section Artificial Intelligence and Digital Agriculture)
Show Figures

Figure 1

Back to TopTop