Due to scheduled maintenance work on our servers, there may be short service disruptions on this website between 11:00 and 12:00 CEST on March 28th.
Sign in to use this feature.

Years

Between: -

Subjects

remove_circle_outline
remove_circle_outline
remove_circle_outline
remove_circle_outline
remove_circle_outline
remove_circle_outline
remove_circle_outline
remove_circle_outline
remove_circle_outline

Journals

remove_circle_outline
remove_circle_outline
remove_circle_outline
remove_circle_outline
remove_circle_outline
remove_circle_outline
remove_circle_outline
remove_circle_outline
remove_circle_outline
remove_circle_outline
remove_circle_outline
remove_circle_outline

Article Types

Countries / Regions

remove_circle_outline
remove_circle_outline
remove_circle_outline
remove_circle_outline
remove_circle_outline
remove_circle_outline
remove_circle_outline

Search Results (1,484)

Search Parameters:
Keywords = silicon element

Order results
Result details
Results per page
Select all
Export citation of selected articles as:
17 pages, 4357 KB  
Article
Fast Analysis of Multilayer Micro-Machined Coupler Based on Mode-Matching Method
by Sheng Li, Yun Zhao, Hao Gu, Shisheng Yang, Zhongbo Zhu, Chongdi Duan, Tingting Wang, Shengxiao Jin, Caixia Wang, Wei Shao and Jiangqiao Ding
Micromachines 2026, 17(4), 412; https://doi.org/10.3390/mi17040412 - 27 Mar 2026
Abstract
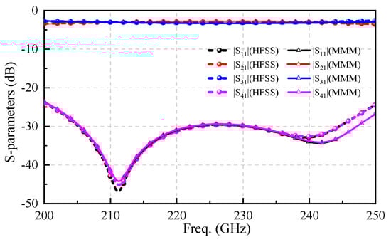
The development of next-generation terahertz (THz) transmitters and receivers based on 3D stacked packaging technology relies heavily on the integration of high-performance waveguide directional couplers. This paper presents an accurate and efficient method based on the mode-matching method (MMM) for the rapid analysis [...] Read more.
The development of next-generation terahertz (THz) transmitters and receivers based on 3D stacked packaging technology relies heavily on the integration of high-performance waveguide directional couplers. This paper presents an accurate and efficient method based on the mode-matching method (MMM) for the rapid analysis of a branch waveguide coupler fabricated through a silicon-based 3D stacking process. In contrast to the traditional method using the finite-element method (FEM) in HFSS, which is cumbersome and time-consuming, the proposed method offers orders-of-magnitude speed improvement. It is especially well-suited for large-scale uncertainty error analysis and statistical evaluation of THz waveguide couplers and related components. This theoretical MMM is validated through an experiment by characterizing a deep reactive ion etching (DRIE) fabricated and 3D stacked 220 GHz waveguide coupler. Full article
(This article belongs to the Special Issue Novel RF Nano- and Microsystems)
Show Figures

Figure 1

18 pages, 23292 KB  
Article
SOI-Structured Piezoresistive Pressure Sensor with Integration of Temperature Sensor for Downhole Applications
by José Mireles Jr., Abimael Jiménez and Ángel Sauceda
Sensors 2026, 26(7), 2076; https://doi.org/10.3390/s26072076 - 26 Mar 2026
Abstract
Micro-electro-mechanical systems (MEMS) sensors offer the benefits of compact size, lightweight design, and low cost, which has led to widespread use in consumer electronics, vehicles, healthcare, defense, and communications. As their performance has improved, MEMS sensors have also found applications in oil exploration [...] Read more.
Micro-electro-mechanical systems (MEMS) sensors offer the benefits of compact size, lightweight design, and low cost, which has led to widespread use in consumer electronics, vehicles, healthcare, defense, and communications. As their performance has improved, MEMS sensors have also found applications in oil exploration and geophysical studies. Pressure and temperature measurements during hydraulic fracturing have long been employed to improve downhole conductivity during oil and gas extraction. Nevertheless, the development of high-precision MEMS sensors for oil exploration remains an active area of research. This paper presents the design, fabrication, packaging, and characterization of a silicon-on-insulator (SOI) MEMS piezoresistive pressure sensor integrated with a temperature sensor. It also describes the design of a chamber intended to emulate conditions at the bottom of oil exploration wells. The sensors were successfully designed and fabricated on the basis of physics-based simulations, deep reactive ion etching and anodic bonding. The pressure sensors, together with the signal-conditioning system, exhibited a linear response with a sensitivity of 0.0268 mV/V/MPa and maximum hysteresis of 5.3%. Full article
(This article belongs to the Section Physical Sensors)
Show Figures

Figure 1

17 pages, 1241 KB  
Article
Synergistic Effects of Silicon and Selenium Application on Salt Stress Resistance in Tomato Under Different Application Patterns
by Shengming Mao, Xuyongjie Zhu, Long Cao, Guanfeng Zhou, Yong He, Zhujun Zhu and Guochao Yan
Horticulturae 2026, 12(4), 402; https://doi.org/10.3390/horticulturae12040402 - 24 Mar 2026
Viewed by 96
Abstract
Salt stress is one of the major environmental constraints in agriculture, significantly limiting crop yield and causing substantial economic loss worldwide. Silicon (Si) and selenium (Se) are widely recognized as beneficial elements for plants, and the application of Si- and Se-based fertilizers is [...] Read more.
Salt stress is one of the major environmental constraints in agriculture, significantly limiting crop yield and causing substantial economic loss worldwide. Silicon (Si) and selenium (Se) are widely recognized as beneficial elements for plants, and the application of Si- and Se-based fertilizers is considered a promising strategy for promoting crop growth and sustainable agricultural production under expanding salinization of arable land. In this study, aiming for the targeted application of Si and Se in agricultural production, the individual and synergistic effects of Si and Se on salt stress resistance in tomato when applied via root application or foliar spray were comprehensively investigated. Plant growth parameters, photosynthesis performance, oxidative damage, the activity of the antioxidant system, sodium/potassium (Na/K) content, and the expression of genes related to Na/K homeostasis were determined and further compared using principal component analysis (PCA). The results showed that salt stress markedly inhibited plant growth and photosynthetic performance, while inducing oxidative damage and disrupting Na/K homeostasis in tomato seedlings. In contrast, the application of both Si and Se significantly promoted tomato growth and ameliorated the detrimental effects of salt stress. Moreover, Si and Se exhibited a synergistic effect in promoting salt stress resistance under both root and foliar application. Root application of Si and Se is more effective in enhancing ionic homeostasis, while foliar spray of Si and Se is more effective in promoting photosynthesis performance under salt stress. Overall, considering the convenience and use-cost efficiency of Si and Se application in agricultural practices, the results of this study showed that the synergy application of Si and Se via foliar spray is most effective in promoting salt stress resistance in tomato through modulating photosynthesis performance, antioxidant capacity, and ionic homeostasis. Full article
Show Figures

Figure 1

28 pages, 6672 KB  
Article
Advanced Machine Learning Approach for Fast Temperature Estimation in SiC-Based Power Electronics Converters
by Kalle Bundgaard Troldborg, Sigurd Illum Skov, Arman Fathollahi and Jørgen Houe Pedersen
Electronics 2026, 15(6), 1325; https://doi.org/10.3390/electronics15061325 - 22 Mar 2026
Viewed by 197
Abstract
Accurate and fast junction-temperature estimation in Silicon Carbide (SiC) power modules is crucial for reliable operation, health monitoring and predictive control of power electronic converters in different applications. However, direct temperature measurement inside the module is difficult and high-fidelity thermal models are often [...] Read more.
Accurate and fast junction-temperature estimation in Silicon Carbide (SiC) power modules is crucial for reliable operation, health monitoring and predictive control of power electronic converters in different applications. However, direct temperature measurement inside the module is difficult and high-fidelity thermal models are often very computationally expensive for real-time implementation. This paper proposes a digital twin development approach for fast and accurate temperature estimation in all three dimensions of a SiC MOSFET power module by a combination of finite element method (FEM) modelling and neural networks. The work is especially relevant in thermal monitoring and managing power electronics converters such as renewable energy systems, energy storage systems, Electric Vehicles (EV), etc. The model incorporates a neural network trained on data generated from an FEM model built in COMSOL Multiphysics. The developed digital twin can estimate the temperature distribution, including the ten junction temperatures of the Wolfspeed EAB450M12XM3 module, with an average estimation time of 0.063 s, enabling predictive control. In order to improve practical applicability and model synchronization with the physical system, NTC-based feedback techniques are discussed (single-Temperature Coefficient (NTC) and double-NTC approaches). The proposed framework is investigated in terms of prediction accuracy and computational performance related to the FEM-generated reference data. The approach improves model reliability by adjusting the parameters of the critical digital and physical modules. The combination of FEM-based modelling and machine learning can provide a foundation for accurate, real-time thermal monitoring in power electronic modules. Full article
Show Figures

Figure 1

16 pages, 21672 KB  
Article
Ultra-Fast Digital Silicon Photomultiplier with Timestamping Capability in a 110 nm CMOS Process
by Tommaso Maria Floris, Marcello Campajola, Gianmaria Collazuol, Manuel Dionísio Da Rocha Rolo, Giuliana Fiorillo, Francesco Licciulli, Mario Nicola Mazziotta, Lucio Pancheri, Lodovico Ratti, Luigi Pio Rignanese, Davide Falchieri, Romualdo Santoro, Fatemeh Shojaei and Carla Vacchi
Electronics 2026, 15(6), 1300; https://doi.org/10.3390/electronics15061300 - 20 Mar 2026
Viewed by 174
Abstract
A monolithic digital Silicon Photomultiplier (SiPM) featuring 1024 microcells with a 30-micrometer pitch and a 50% fill factor has been designed in a 110-nanometer CMOS image sensor technology. The device under consideration integrates both SPAD sensors and front-end electronics in the same substrate. [...] Read more.
A monolithic digital Silicon Photomultiplier (SiPM) featuring 1024 microcells with a 30-micrometer pitch and a 50% fill factor has been designed in a 110-nanometer CMOS image sensor technology. The device under consideration integrates both SPAD sensors and front-end electronics in the same substrate. It can count up to 1024 photons in less than 22 ns, while assigning timestamps to the first and last detected photons with a time resolution of less than 100 ps. A parallel counter structure combined with a fast adder tree provides photon counting in digital form with low latency, whereas a carefully balanced fast NAND tree ensures a fixed-pattern time uncertainty not exceeding 26 ps. The architecture incorporates in-pixel memory for individual cell disabling and configurable thresholding on the timing signal for noise mitigation. In order to optimize the fill factor, a part of the electronics is placed outside the array, while the most sensitive elements of the timing and counting circuits are laid out close to the sensor, in the SPAD array. A serial readout is employed to provide a single output connection per SiPM, thereby simplifying system integration. Full article
(This article belongs to the Section Microelectronics)
Show Figures

Figure 1

18 pages, 2851 KB  
Article
Investigating the Triaxial Mechanical Behaviour of Silicone Rubber Material
by Jie Yang, Nan Chen, Jun Gao, Yang Wang, Shuchang Long, Xiaohu Yao, Zhibin Wu and Junfeng Zhao
Polymers 2026, 18(6), 755; https://doi.org/10.3390/polym18060755 - 20 Mar 2026
Viewed by 193
Abstract
Silicone rubber is extensively used in engineering applications due to its toughness and impact resistance; however, traditional characterisation methods fail to capture its nonlinear deformation characterisation and triaxial mechanical behaviour. To address this, we derived a constitutive model within the framework of continuum [...] Read more.
Silicone rubber is extensively used in engineering applications due to its toughness and impact resistance; however, traditional characterisation methods fail to capture its nonlinear deformation characterisation and triaxial mechanical behaviour. To address this, we derived a constitutive model within the framework of continuum mechanics that assumes a condition of near incompressibility and conducted uniaxial, planar, and equibiaxial tension tests to fit the model parameters. Through systematic analysis of triaxial mechanical responses under these three loading modes, we determined the material’s nonlinear large-deformation behaviour and sensitivity to the biaxiality ratio. Comparative analyses with classical hyperelastic models show that the proposed model achieves a good balance between the number of parameters and fitting accuracy. After the parameter-fitting process, we performed finite element simulations of the three loading modes. The simulation results show good agreement with experimental data in terms of deformation patterns and stress–strain curves. This study provides a novel theoretical tool for evaluating the mechanical properties and structural designs of soft materials. Full article
(This article belongs to the Section Polymer Processing and Engineering)
Show Figures

Figure 1

11 pages, 2304 KB  
Article
Fabrication of Terahertz Fresnel Zone Plates via Ultraprecision Mechanical Processing
by Meng Chen, Jinshi Wang and Fengzhou Fang
Micromachines 2026, 17(3), 368; https://doi.org/10.3390/mi17030368 - 19 Mar 2026
Viewed by 180
Abstract
This study proposes a new fabrication process for terahertz Fresnel zone plates on high-resistivity silicon substrates. It involves ion implantation surface modification, ultra-precision diamond turning, and magnetron sputtering, followed by polishing. Ductile-regime cutting is used to form smooth microgrooves, which are selectively metallized [...] Read more.
This study proposes a new fabrication process for terahertz Fresnel zone plates on high-resistivity silicon substrates. It involves ion implantation surface modification, ultra-precision diamond turning, and magnetron sputtering, followed by polishing. Ductile-regime cutting is used to form smooth microgrooves, which are selectively metallized to create alternating opaque and transparent zones for terahertz waves. Finite-element simulations are performed to design the zone structure and to evaluate the effect of process-induced radius errors. A 3 μm amorphous layer is formed via ion implantation, which significantly enhances the ductile-to-brittle transition depth of silicon from 55 nm to about 535 nm while causing only minor changes in terahertz transmittance. The results demonstrate that the proposed method can produce high-quality Fresnel zone plates on silicon and offers a practical route to compact diffractive terahertz components. Full article
Show Figures

Figure 1

23 pages, 2883 KB  
Article
Compact AMC-Backed Flexible UHF RFID Tag Antenna for On-Body Biomedical Applications
by Aarti Bansal and Giovanni Andrea Casula
Sensors 2026, 26(6), 1922; https://doi.org/10.3390/s26061922 - 18 Mar 2026
Viewed by 153
Abstract
This paper presents the design, modeling, and numerical validation of a compact artificial magnetic conductor (AMC)–backed flexible UHF RFID tag antenna intended for on-body biomedical and wearable sensing applications. Human tissue proximity typically causes severe detuning, radiation efficiency degradation, and increased specific absorption [...] Read more.
This paper presents the design, modeling, and numerical validation of a compact artificial magnetic conductor (AMC)–backed flexible UHF RFID tag antenna intended for on-body biomedical and wearable sensing applications. Human tissue proximity typically causes severe detuning, radiation efficiency degradation, and increased specific absorption rate (SAR) for conventional RFID tag antennas. To address these limitations, a miniaturized AMC metasurface based on a modified Jerusalem-cross geometry with meandered and interdigitated features is developed on a high-permittivity biocompatible substrate using CST Studio Software (2025). Full-wave simulations demonstrate that the proposed design, with an ultra-compact footprint of 0.0246 λ2 (32.12 mm × 64.24 mm), functions as an effective shielding element, significantly enhancing the tag antenna gain and reading range by an order of magnitude compared to conventional on-body tags, while simultaneously reducing backward radiation and SAR. The antenna demonstrates robust platform tolerance and excellent isolation from the human body, ensuring high reliability. Fabricated on a thin, flexible, biocompatible, silicon-doped dielectric substrate, this device also functions as an epidermal antenna for on-skin health parameter sampling. This research paves the way for advanced, non-invasive wearable medical devices with superior performance. Full article
(This article belongs to the Section Wearables)
Show Figures

Figure 1

14 pages, 5819 KB  
Article
HMDSO-Based Plasma Coatings for Modifying Metallic Surfaces for Hydrophobic Applications
by Elmar Moritzer, Dennis Rauen and Justin Hoppe
Coatings 2026, 16(3), 379; https://doi.org/10.3390/coatings16030379 - 18 Mar 2026
Viewed by 208
Abstract
This study investigates the hydrophobic properties of hexamethyldisiloxane (HMDSO)-based coatings deposited by atmospheric pressure plasma-enhanced chemical vapor deposition (AP-PECVD). The objective of this procedure is to enable the extraction of molded components from the mold cavity. The test specimen geometry employed in the [...] Read more.
This study investigates the hydrophobic properties of hexamethyldisiloxane (HMDSO)-based coatings deposited by atmospheric pressure plasma-enhanced chemical vapor deposition (AP-PECVD). The objective of this procedure is to enable the extraction of molded components from the mold cavity. The test specimen geometry employed in the present investigation were made of tool steel 1.2311, a material that is frequently utilized in industrial applications. A series of experiments was conducted to assess the coating performance. Initially, surface energy measurements based on contact angle analysis were performed to determine the polar and dispersive surface components. Finally, energy-dispersive X-ray spectroscopy (EDX) and scanning electron microscope (SEM) images are used to perform an exact measurement of the elemental composition and an optical comparison of the surface. The results of the work indicate that the material composition on the surface of silicon and oxygen is of particular importance. In addition, the results indicate that the use of argon as a carrier gas has a positive effect on reducing surface energy and increasing the contact angle to water drops. Full article
Show Figures

Graphical abstract

16 pages, 22264 KB  
Article
High-Resolution Depth Profiling of Residual Stresses in PVD Coatings on Additively Manufactured Polymers via FIB-DIC and Eigenstrain Theory
by José Daniel Rodríguez-Mariscal, Karuna Srivastava, Ismael Romero-Ocaña, Ramón Escobar-Galindo, Andrea Bernasconi and Jesús Hernández-Saz
Materials 2026, 19(6), 1171; https://doi.org/10.3390/ma19061171 - 17 Mar 2026
Viewed by 267
Abstract
The synergy between additively manufactured (AM) polymers and functional PVD coatings is crucial for advanced applications, yet the reliability of these hybrid systems is dictated by the residual stresses induced during deposition. This work presents the first in-depth, nanoscale profiling of residual stresses [...] Read more.
The synergy between additively manufactured (AM) polymers and functional PVD coatings is crucial for advanced applications, yet the reliability of these hybrid systems is dictated by the residual stresses induced during deposition. This work presents the first in-depth, nanoscale profiling of residual stresses in Ti6Al4V and SS316 coatings on 3D-printed Acrylonitrile Styrene Acrylate (ASA) and Silicon (Si) substrates. A cutting-edge methodology combining Focused Ion Beam (FIB) milling with Digital Image Correlation (DIC), rigorously interpreted through the non-integral eigenstrain theory, is employed. Our findings reveal a consistent pattern of compressive stresses near the coating surface but expose a significant tensile stress peak at the coating-substrate interface, a feature not observed on reference silicon substrates. High-resolution electron microscopy and elemental analysis suggest that this stress concentration is associated with the presence of a thin, brittle oxide interlayer formed on the substrate surface. Furthermore, this study quantifies the dominant effect of the low-stiffness polymer substrate, which leads to a strain relief magnitude an order of magnitude higher than in rigid substrates. This work provides critical quantitative data on the failure-driving mechanisms in these emerging material systems and establishes a robust, optimized metrological protocol for their characterization. Full article
(This article belongs to the Section Mechanics of Materials)
Show Figures

Figure 1

22 pages, 16843 KB  
Article
Phase Composition of Al–Si Alloys for Internal Combustion Engine Pistons: Finite Element Structural Analysis
by Atanasi Tashev, Desislava Dimova, Boyan Dochev, Teodor Solakov and Karel Trojan
Metals 2026, 16(3), 325; https://doi.org/10.3390/met16030325 - 14 Mar 2026
Viewed by 170
Abstract
The structural reliability of pistons operating under severe thermo-mechanical loading strongly depends on the properties of the selected Al–Si alloy. This study presents an integrated experimental–numerical investigation of hypereutectic Al–Si alloys intended for piston applications. Phase constitution and silicon morphology were characterized by [...] Read more.
The structural reliability of pistons operating under severe thermo-mechanical loading strongly depends on the properties of the selected Al–Si alloy. This study presents an integrated experimental–numerical investigation of hypereutectic Al–Si alloys intended for piston applications. Phase constitution and silicon morphology were characterized by metallography and X-ray diffraction, while tensile testing provided mechanical properties for finite element modeling. The experimentally determined parameters were implemented in a three-dimensional piston model to evaluate stress distribution, deformation, and safety margins under maximum combustion pressure and maximum engine speed. The simulations revealed maximum von Mises stresses up to 150 MPa, with inter-alloy differences below 0.3%, indicating geometry-dominated stress behavior. The maximum displacement did not exceed 76 µm, varying by approximately 3% between alloys. In contrast, the minimum factor of safety ranged from 1.20 to 1.35, showing differences of up to 12%, primarily governed by yield strength and microstructural homogeneity. The results demonstrate that piston performance under combustion-dominated loading is strength-controlled rather than stiffness-controlled. The study provides quantitative insight into the structure–properties–performance relationship of hypereutectic Al–Si alloys and supports informed material selection for preliminary piston design. Full article
Show Figures

Figure 1

13 pages, 1381 KB  
Proceeding Paper
Comparative Analysis of Drying Techniques on Mineral Retention and Quality of Apricots (Prunus armeniaca L.)
by Sarvar Rejabov, Botir Usmonov, Komil Usmanov, Jaloliddin Eshbobaev, Bekzod Madaminov, Abbos Elmanov and Zafar Turakulov
Eng. Proc. 2026, 124(1), 76; https://doi.org/10.3390/engproc2026124076 - 12 Mar 2026
Viewed by 209
Abstract
This study evaluates the impact of four drying methods—open sun drying, solar drying, infrared drying, and microwave drying—on the quality attributes and elemental retention of apricots (Prunus armeniaca L.). Experimental trials were conducted in June 2024 at the Tashkent Institute of Chemical-Technology [...] Read more.
This study evaluates the impact of four drying methods—open sun drying, solar drying, infrared drying, and microwave drying—on the quality attributes and elemental retention of apricots (Prunus armeniaca L.). Experimental trials were conducted in June 2024 at the Tashkent Institute of Chemical-Technology using equal quantities of fresh apricots. Drying was continued until the moisture content, measured gravimetrically, dropped below 20% (wet basis), followed by spectroscopic analysis to determine macro- and microelement concentrations. Solar-dried apricots showed higher retention of essential nutrients in this experimental trial: potassium (2.37%), silicon (0.538%), magnesium (0.145%), calcium (0.176%), and sulfur (0.152%). In contrast, open sun drying led to significant nutrient degradation and poor visual quality. Microwave drying preserved some micronutrients but resulted in surface scorching due to uneven heating. Infrared drying yielded acceptable results but required substantial energy input. Among all methods, solar drying provided the optimal balance of high product quality and energy efficiency. The drying process required negligible electrical energy owing to exclusive reliance on solar radiation. This method supports sustainable food processing by reducing energy demand and greenhouse gas emissions while preserving nutritional quality. The results highlight solar drying as a promising, eco-friendly technique for preserving the nutritional integrity of agricultural products. These findings offer valuable scientific guidance for selecting appropriate drying technologies in the food processing industry, especially in regions with high solar potential. However, the study is limited to a single fruit variety and seasonal conditions. Full article
(This article belongs to the Proceedings of The 6th International Electronic Conference on Applied Sciences)
Show Figures

Figure 1

19 pages, 6938 KB  
Article
Silicon Enhances Rice Tolerance to Drought and Blast Disease Through Modulating ROS Accumulation and Stress-Related Genes
by Huaying Du, Jinglin Pan, Lulu Sun, Zishen Liao, Jing Bi, Yongqiang Han, Daoqian Chen, Yuanyuan Song and Rensen Zeng
Plants 2026, 15(5), 842; https://doi.org/10.3390/plants15050842 - 9 Mar 2026
Viewed by 543
Abstract
Silicon (Si) serves as a beneficial element that enhances plant resistance to both abiotic and biotic stresses. Although its positive effects have been widely investigated, the molecular mechanisms by which silicon improves stress tolerance in rice (Oryza sativa L.) remain unclear. Here, [...] Read more.
Silicon (Si) serves as a beneficial element that enhances plant resistance to both abiotic and biotic stresses. Although its positive effects have been widely investigated, the molecular mechanisms by which silicon improves stress tolerance in rice (Oryza sativa L.) remain unclear. Here, we show that Si displayed an optimal improved effect at concentrations of 2–4 mM in hydroponic system, and Si enhanced rice tolerance to drought and blast disease by maintaining reactive oxygen species (ROS) homeostasis and reducing root cell damage. In addition, Si at 4 mM upregulated the ABA biosynthesis gene OsNCED3, stress- and ABA-responsive genes OsDREB2A and OsLEA5, as well as the catalase gene OsCatB, while suppressing the drought-responsive negative regulator OsWRKY5, thereby enhancing drought tolerance through an ABA-dependent signaling pathway. Si at 4 mM enhanced resistance to rice blast by activating defense-related genes OsPBZ1, OsPR10a, OsPR5 and OsWRKY45 while simultaneously boosting ROS-scavenging capacity. Collectively, our results demonstrate that Si enhances rice tolerance to drought and blast disease through the coordinated modulation of ABA signaling, ROS homeostasis, and stress-related gene expression. Full article
Show Figures

Figure 1

13 pages, 2388 KB  
Article
Bandgap Simulations in Randomized 3D Photonic Crystal Supercells
by Marcus Hall and Chris E. Finlayson
Photonics 2026, 13(3), 251; https://doi.org/10.3390/photonics13030251 - 4 Mar 2026
Viewed by 336
Abstract
Periodic supercell lattice structures with elements of random polydispersity disorder were created to simulate the effect of randomization on photonic crystals using finite-difference time domain (FDTD) methods. As a key exemplar system, a three-dimensional “inverse opal” structure of a face-centered cubic lattice with [...] Read more.
Periodic supercell lattice structures with elements of random polydispersity disorder were created to simulate the effect of randomization on photonic crystals using finite-difference time domain (FDTD) methods. As a key exemplar system, a three-dimensional “inverse opal” structure of a face-centered cubic lattice with air spheres in a silicon dielectric was simulated, with sphere radii within supercells following a randomized Gaussian distribution, with characteristic standard deviation and mean. A corresponding ordered lattice with a bandgap with magnitude 3.5% of the normalized frequency range was used as a direct control, with sphere radius 0.34 times the lattice constant a. For a range of standard deviations, up to 5.9% of the 0.34a mean, a Monte Carlo-style approach was adopted, with photonic band properties analyzed over a large number of repeat simulations to ensure statistical significance. The corresponding Gaussian distribution in the resultant photonic bandgap magnitudes is broadened with increasing polydispersity such that an evolving fraction of simulations no longer exhibits a non-zero bandgap. A characteristic pseudo-transition occurs at a standard deviation of approximately 4.1% of the 0.34a mean, above where the frequency of simulations still returning a finite bandgap rapidly diminishes. Some isolated configurations, with a high degree of uniqueness, can exhibit enhanced bandgap properties (greater than the 3.5% benchmark) despite considerable polydisperse disordering; we envisage that these findings point towards the use of engineered randomness in supercell systems to create desired photonic crystal properties and functionality, such as localization and photonic bandgaps. Full article
Show Figures

Figure 1

16 pages, 19250 KB  
Article
Variable Bit-Width All-Optical Content-Addressable Memory Enabled by Sb2Se3 for Similarity Search
by Yi Guo, Xinmeng Hao, Yibo Zhang, Guangsong Yuan, Hongxiang Guo, Bing Song, Jian Wu and Qingjiang Li
Photonics 2026, 13(3), 249; https://doi.org/10.3390/photonics13030249 - 3 Mar 2026
Viewed by 288
Abstract
In the big-data-driven artificial intelligence era, similarity search, as a core operation in machine learning and data mining, demands high speed, energy efficiency, and scenario adaptability. Conventional electronic content-addressable memory (ECAMs) suffer from inherent RC delay bottlenecks, whereas existing optical content-addressable memory (OCAMs) [...] Read more.
In the big-data-driven artificial intelligence era, similarity search, as a core operation in machine learning and data mining, demands high speed, energy efficiency, and scenario adaptability. Conventional electronic content-addressable memory (ECAMs) suffer from inherent RC delay bottlenecks, whereas existing optical content-addressable memory (OCAMs) are restricted by fixed bit-widths and limited distance metrics. In this work, we propose a variable bit-width all-optical CAM leveraging multi-segment modulators and phase-change material (PCM) Sb2Se3. The multi-segment memory unit (MSMU) therein compresses N-bit binary data into a single analog photonic unit, supporting direct data writing/loading without digital-to-analog converters (DACs) and flexible trade-offs between precision, storage capacity, noise immunity, and energy while enabling Hamming and nonlinear distance metrics. A six-element three-bit OCAM prototype was fabricated on a silicon nitride silicon-on-insulator (SiN-SOI) platform. Despite the absence of integrated high-speed phase shifters, the device still achieves reliable optical data storage and retrieval. K-nearest neighbor (kNN) simulations based on experimentally derived statistical data—validated on the iris, wine, and breast cancer datasets—show that the three-bit operating mode achieves classification accuracy comparable to Manhattan/Euclidean distances at high signal-to-noise ratios (SNRs), while the one-bit mode exhibits strong noise robustness. Energy consumption is 364 fJ/bit (3-bit) and 890 fJ/bit (1-bit). This work provides a high-speed, energy-efficient, and reconfigurable all-optical similarity search solution with experimentally verified device performance and dataset-validated applicability, showing great potential for widespread deployment in data-intensive machine learning and data-mining applications. Full article
Show Figures

Figure 1

Back to TopTop