High-Resolution Depth Profiling of Residual Stresses in PVD Coatings on Additively Manufactured Polymers via FIB-DIC and Eigenstrain Theory
Abstract
1. Introduction
2. Materials and Methods
2.1. Sample Fabrication
2.2. Microstructural and Chemical Characterization
2.3. Theoretical Framework and Numerical Calibration
2.3.1. The Eigenstrain Approach vs. Integral Methods
2.3.2. Generalization for Non-Equibiaxial Stress States
2.3.3. Finite Element Calibration of Influence Functions
2.4. Residual Stress Measurement via FIB-DIC
2.4.1. Milling and Image Acquisition Protocol
2.4.2. Optimization of Digital Image Correlation (DIC) Analysis
3. Results
3.1. Microstructure of Coatings and the Interface
3.2. Strain Relief Curves: The Substrate Stiffness Effect
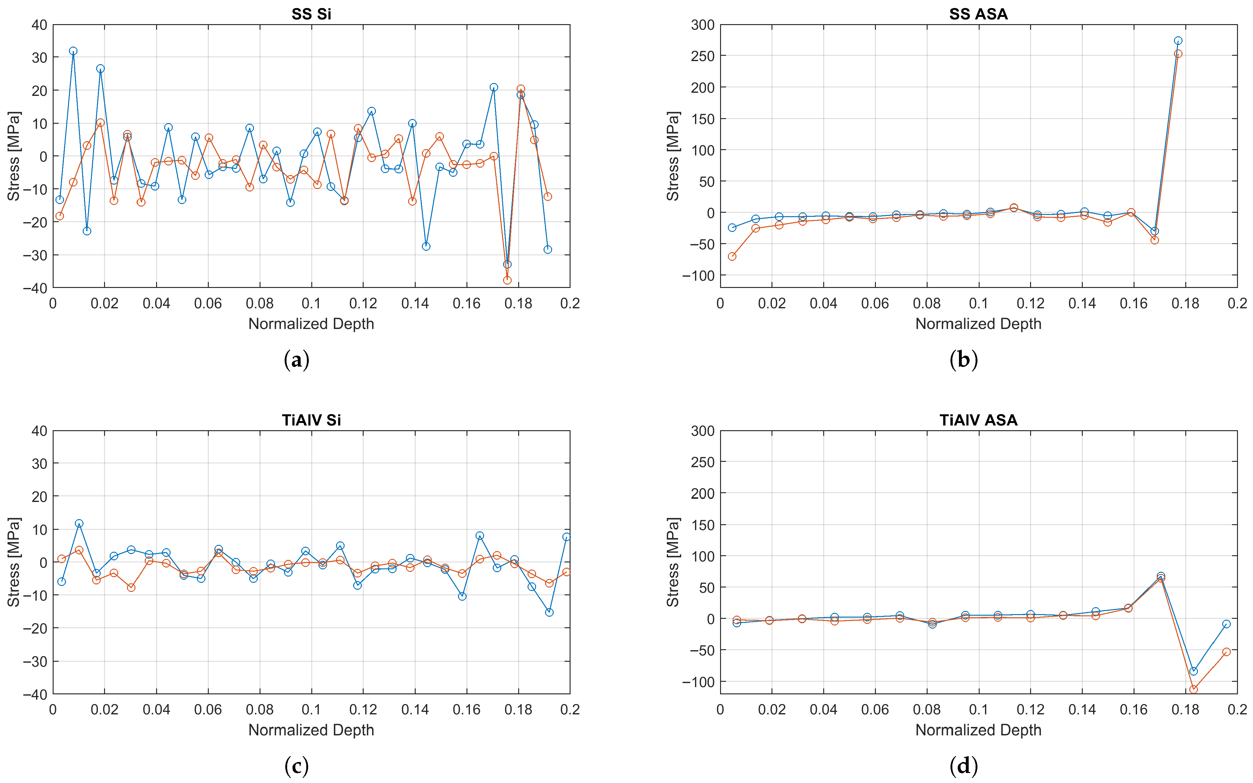
3.3. Residual Stress Profiles
4. Discussion
4.1. Combined Influence of Substrate Stiffness and the Interface
4.2. Interpretation of Stress Profiles
4.3. Critical Importance of Methodological Optimization
4.4. Sensitivity Analysis and Uncertainty Quantification
4.4.1. Sensitivity to Input Parameters
4.4.2. Influence of Coating Stiffness
5. Conclusions
- Substrate Compliance Effect: The low stiffness of the AM polymer substrate governs the mechanical response, resulting in strain relief magnitudes an order of magnitude higher than those observed on rigid silicon reference substrates. This necessitates substrate-specific finite element calibration for accurate stress reconstruction.
- Interfacial Stress State: Unlike the compressive state typically desired in PVD coatings, the systems on ASA exhibited a sharp stress gradient transitioning to a significant tensile peak at the coating-substrate interface (+275 MPa for SS316 and +70 MPa for Ti6Al4V).
- Role of Interfacial Oxide: The tensile stress peak spatially coincides with a brittle interfacial oxide layer formed during the initial stages of deposition. This layer introduces a tertiary mechanical interface that likely acts as a stress concentrator, compromising adhesion.
- Methodological Robustness: Sensitivity analysis confirmed that while variations in coating elastic properties scale the stress magnitude, the tensile nature of the interfacial stress is a robust feature of these hybrid systems.
Author Contributions
Funding
Data Availability Statement
Acknowledgments
Conflicts of Interest
References
- Cahyadi, W. Mechanical Properties of 3D Printed Acrylonitrile Styrene Acrylate. Master’s Thesis, South Dakota State University, Brookings, SD, USA, 2019. Available online: https://openprairie.sdstate.edu/etd/3187/ (accessed on 10 March 2026).
- Lu, X.; Chiementin, M.; Moreira, J.; Mestries, P.; Caër, C. Residual Stresses Control in Additive Manufacturing. J. Manuf. Mater. Process. 2021, 5, 138. [Google Scholar] [CrossRef]
- Yildirim, F.F.; Hicyilmaz, A.S.; Yildirim, K. The effects of the weathering methods on the properties of the ABS, ASA and PMMA polymers. Polym. Test. 2022, 107, 107484. [Google Scholar] [CrossRef]
- Rodrigues, Â.; Branco, R.; Franco, M.; Silva, R.; Malça, C.; Martins, R.F. Mechanical, Fatigue, and Thermal Characterization of ASA, Nylon 12, PC, and PC-ABS Manufactured by Fused Filament Fabrication (FFF). Polymers 2026, 18, 302. [Google Scholar] [CrossRef] [PubMed]
- Rivera Díaz, E. Cálculo de Tensiones Residuales en Piezas Fabricadas por Impresión 3D y Recubiertas por PVD. Bachelor’s Thesis, Universidad de Sevilla, Seville, Spain, 2025. Available online: https://hdl.handle.net/11441/176528 (accessed on 7 February 2026).
- Korsunsky, A.M.; Sebastiani, M.; Bemporad, E. Residual stress evaluation at the micrometer scale: Analysis of thin coatings by FIB milling and digital image correlation. Surf. Coat. Technol. 2010, 205, 2393–2403. [Google Scholar] [CrossRef]
- Ngo, T.D.; Kashani, A.; Imbalzano, G.; Nguyen, K.T.Q.; Hui, D. Additive manufacturing (3D printing): A review of materials, methods, applications and challenges. Compos. Part B Eng. 2018, 143, 172–196. [Google Scholar] [CrossRef]
- Kelly, P.J.; Li, H.; Benson, P.S.; Whitehead, K.A.; Verran, J.; Arnell, R.D.; Iordanova, I. Comparison of the tribological and antimicrobial properties of CrN/Ag, ZrN/Ag, TiN/Ag, and TiN/Cu nanocomposite coatings. Surf. Coat. Technol. 2010, 205, 1606–1610. [Google Scholar] [CrossRef]
- Baptista, A.; Silva, F.; Porteiro, J.; Míguez, J.; Pinto, G. Sputtering Physical Vapour Deposition (PVD) Coatings: A Critical Review on Process Improvement and Market Trend Demands. Coatings 2018, 8, 402. [Google Scholar] [CrossRef]
- Atmani, T.D.; Gaceb, M.; Aknouche, H.; Nouveau, C.; Bouamrene, M.S. Parametric study of the mechanical properties of nanocrystalline TiN/CrN multilayer coatings with a special focus on the effect of coating thickness and substrate roughness. Surf. Interfaces 2021, 23, 101001. [Google Scholar] [CrossRef]
- Oettel, H.; Wiedemann, R. Residual stresses in PVD hard coatings. Surf. Coat. Technol. 1995, 76–77, 265–273. [Google Scholar] [CrossRef]
- Abadias, G.; Chason, E.; Keckes, J.; Sebastiani, M.; Thompson, G.B.; Barthel, E.; Doll, G.L.; Murray, C.E.; Stoessel, C.H.; Martinu, L. Review Article: Stress in thin films and coatings: Current status, challenges, and prospects. J. Vac. Sci. Technol. A 2018, 36, 020801. [Google Scholar] [CrossRef]
- Korsunsky, A.M.; Sebastiani, M.; Bemporad, E. Focused ion beam ring drilling for residual stress evaluation. Mater. Lett. 2009, 63, 1961–1963. [Google Scholar] [CrossRef]
- Sebastiani, M.; Eberl, C.; Bemporad, E.; Pharr, G.M. Depth-resolved residual stress analysis of thin coatings by a new FIB–DIC method. Mater. Sci. Eng. A 2011, 528, 7901–7908. [Google Scholar] [CrossRef]
- Schajer, G.S. Measurement of non-uniform residual stresses using the hole-drilling method. Part II—Practical application of the integral method. J. Eng. Mater. Technol. 1988, 110, 338–349. [Google Scholar] [CrossRef]
- Korsunsky, A.M.; Salvati, E.; Lunt, A.G.J.; Sui, T.; Mughal, M.Z.; Daniel, R.; Keckes, J.; Bemporad, E.; Sebastiani, M. Nanoscale residual stress depth profiling by Focused Ion Beam milling and eigenstrain analysis. Mater. Des. 2018, 145, 55–64. [Google Scholar] [CrossRef]
- Salvati, E.; Romano-Brandt, L.; Mughal, M.Z.; Sebastiani, M.; Korsunsky, A.M. Generalised residual stress depth profiling at the nanoscale using focused ion beam milling. J. Mech. Phys. Solids 2019, 125, 488–501. [Google Scholar] [CrossRef]
- Korsunsky, A.M. A Teaching Essay on Residual Stresses and Eigenstrains; Butterworth-Heinemann: Oxford, UK, 2017; ISBN 978-0-12-810990-8. [Google Scholar]
- Lord, J.; Cox, D.; Ratzke, A. A Good Practice Guide for Measuring Residual Stresses Using FIB-DIC; NPL Good Practice Guide No. 143; National Physical Laboratory: Teddington, UK, 2018; Available online: https://eprintspublications.npl.co.uk/id/eprint/7807 (accessed on 10 March 2026).
- Sánchez-López, J.C.; Rodríguez-Albelo, M.; Sánchez-Pérez, M.; Fernández-Ramos, C. Ti6Al4V coatings on titanium samples by sputtering techniques: Microstructural and mechanical characterization. J. Alloys Compd. 2023, 952, 170018. [Google Scholar] [CrossRef]
- Murugan, S.P.; George, G.; Jaisingh, J. Wear performance of Ti-based alloy coatings on 316L SS fabricated with the sputtering method: Relevance to biomedical implants. Bio-Med. Mater. Eng. 2024, 35, 155–168. [Google Scholar] [CrossRef]
- Vijgen, R.O.E.; Dautzenberg, J.H. Mechanical measurement of the residual stress in thin PVD films. Thin Solid Film. 1995, 270, 264–270. [Google Scholar] [CrossRef]
- Blaber, J.; Adair, B.; Antoniou, A. Ncorr: Open-Source 2D Digital Image Correlation Matlab Software. Exp. Mech. 2015, 55, 1105–1122. [Google Scholar] [CrossRef]
- McClure, D.J.; Struller, C.; Langowski, H.C. Evaporated Aluminum on Polypropylene: Oxide Layer Thicknesses as a Function of Oxygen Plasma Treatment Level. In Proceedings of the Association of Industrial Metallizers, Coaters and Laminators (AIMCAL) Fall Technical Conference and 25th International Vacuum Web Coating Conference, Reno, NV, USA, 23–26 October 2011. [Google Scholar]
- Yun, J.; Bae, T.S.; Lee, S.; Lee, S.; Rha, J.; Lee, G.H. Interface between Oxide Coatings and Plasma-Damaged Polymers and Its Effects on Coating Adhesion and Structure. Plasma Process. Polym. 2012, 9, 79–86. [Google Scholar] [CrossRef]
- Guleryuz, H.; Cimenoglu, H. Oxidation of Ti–6Al–4V alloy. J. Alloys Compd. 2009, 472, 241–246. [Google Scholar] [CrossRef]
- He, M.Y.; Evans, A.G.; Hutchinson, J.W. The ratcheting of compressed thermally grown thin films on ductile substrates. Acta Mater. 2000, 48, 2593–2601. [Google Scholar] [CrossRef]








| Sample | Power | Ar Flow | Pressure | Time | Thickness |
|---|---|---|---|---|---|
| TiAlV | 100 kW | 25 sccm | 7.5 × mbar | 60 min | 606 nm |
| SS316 | 100 kW | 25 sccm | 7.5 × mbar | 60 min | 582 nm |
| Material | Young’s Modulus (E) [GPa] | Poisson’s Ratio () |
|---|---|---|
| ASA | 1.93 | 0.41 |
| Silicon (Si) | 159.0 | 0.27 |
| SS316 | 197.0 | 0.27 |
| Ti6Al4V | 114.5 | 0.34 |
Disclaimer/Publisher’s Note: The statements, opinions and data contained in all publications are solely those of the individual author(s) and contributor(s) and not of MDPI and/or the editor(s). MDPI and/or the editor(s) disclaim responsibility for any injury to people or property resulting from any ideas, methods, instructions or products referred to in the content. |
© 2026 by the authors. Licensee MDPI, Basel, Switzerland. This article is an open access article distributed under the terms and conditions of the Creative Commons Attribution (CC BY) license.
Share and Cite
Rodríguez-Mariscal, J.D.; Srivastava, K.; Romero-Ocaña, I.; Escobar-Galindo, R.; Bernasconi, A.; Hernández-Saz, J. High-Resolution Depth Profiling of Residual Stresses in PVD Coatings on Additively Manufactured Polymers via FIB-DIC and Eigenstrain Theory. Materials 2026, 19, 1171. https://doi.org/10.3390/ma19061171
Rodríguez-Mariscal JD, Srivastava K, Romero-Ocaña I, Escobar-Galindo R, Bernasconi A, Hernández-Saz J. High-Resolution Depth Profiling of Residual Stresses in PVD Coatings on Additively Manufactured Polymers via FIB-DIC and Eigenstrain Theory. Materials. 2026; 19(6):1171. https://doi.org/10.3390/ma19061171
Chicago/Turabian StyleRodríguez-Mariscal, José Daniel, Karuna Srivastava, Ismael Romero-Ocaña, Ramón Escobar-Galindo, Andrea Bernasconi, and Jesús Hernández-Saz. 2026. "High-Resolution Depth Profiling of Residual Stresses in PVD Coatings on Additively Manufactured Polymers via FIB-DIC and Eigenstrain Theory" Materials 19, no. 6: 1171. https://doi.org/10.3390/ma19061171
APA StyleRodríguez-Mariscal, J. D., Srivastava, K., Romero-Ocaña, I., Escobar-Galindo, R., Bernasconi, A., & Hernández-Saz, J. (2026). High-Resolution Depth Profiling of Residual Stresses in PVD Coatings on Additively Manufactured Polymers via FIB-DIC and Eigenstrain Theory. Materials, 19(6), 1171. https://doi.org/10.3390/ma19061171

