Sign in to use this feature.

Years

Between: -

Subjects

remove_circle_outline
remove_circle_outline
remove_circle_outline
remove_circle_outline
remove_circle_outline
remove_circle_outline

Journals

Article Types

Countries / Regions

Search Results (17)

Search Parameters:
Keywords = silane cross-linked polyethylene

Order results
Result details
Results per page
Select all
Export citation of selected articles as:
15 pages, 2119 KB  
Article
Lightweight Modification of Polypropylene Cable Insulation Materials Doped with Hollow Glass Microspheres
by Xindong Zhao, Dongxu Luo, Kai Wang, Jiaming Yang, Ling Weng, Xiongjun Liu, Xiao Han and Xin Yao
Polymers 2025, 17(24), 3321; https://doi.org/10.3390/polym17243321 - 16 Dec 2025
Viewed by 479
Abstract
Overhead transmission lines have long relied on cross-linked polyethylene (XLPE) insulation. The production of XLPE insulation requires silane cross-linking, which generates by-products, consumes high energy, and results in poor recyclability-retired XLPE insulation can only be disposed of through incineration or landfilling. Additionally, its [...] Read more.
Overhead transmission lines have long relied on cross-linked polyethylene (XLPE) insulation. The production of XLPE insulation requires silane cross-linking, which generates by-products, consumes high energy, and results in poor recyclability-retired XLPE insulation can only be disposed of through incineration or landfilling. Additionally, its high density leads to increased cable weight and sag, reducing the service life of the cables. Therefore, there is an urgent need to develop recyclable and lightweight insulation materials. In this study, recyclable polypropylene (PP) was used as a substitute for XLPE. Hollow glass microspheres (HGM) were incorporated to reduce weight, and hydrogenated styrene-ethylene-butylene-styrene block copolymer (SEBS) was added for toughening, thereby constructing a PP/HGM/SEBS ternary composite system. The results show that the introduction of HGM into the PP matrix effectively reduces the material density, decreasing from 0.890 g/cm3 (pure PP) to 0.757 g/cm3—a reduction of 15%. With the addition of SEBS, the mechanical properties of the composite are significantly improved: the tensile strength increases from 14.94 MPa (PP/HGM) to 32.40 MPa, and the elongation at break jumps sharply from 72.02% to 671.22%, achieving the synergistic optimization of “weight reduction” and “strengthening-toughening”. Electrical performance tests indicate that the PP/HGM/SEBS composite exhibits a volume resistivity of 1.66 × 1012 Ω·m, a characteristic breakdown strength of 108.6 kV/mm, a low dielectric loss tangent of 2.76 × 10−4, and a dielectric constant of 2.24. It achieves density reduction while maintaining low dielectric loss and high insulation strength, verifying its feasibility for application in lightweight insulation scenarios of overhead transmission lines. Full article
Show Figures

Figure 1

10 pages, 1930 KB  
Article
Comparison of Production Processes and Performance Between Polypropylene-Insulated and Crosslinked-Polyethylene-Insulated Low-Voltage Cables
by Yunping He, Zeguo Pan, He Song, Junwang Ding, Kai Wang, Jiaming Yang and Xindong Zhao
Energies 2025, 18(16), 4371; https://doi.org/10.3390/en18164371 - 16 Aug 2025
Cited by 2 | Viewed by 1211
Abstract
Traditional crosslinked-polyethylene (XLPE) insulation suffers from high recycling costs and low efficiency due to its thermosetting properties. In contrast, thermoplastic polypropylene (PP), with advantages of melt recyclability, low energy consumption, and excellent comprehensive performance, has emerged as an ideal alternative to XLPE. This [...] Read more.
Traditional crosslinked-polyethylene (XLPE) insulation suffers from high recycling costs and low efficiency due to its thermosetting properties. In contrast, thermoplastic polypropylene (PP), with advantages of melt recyclability, low energy consumption, and excellent comprehensive performance, has emerged as an ideal alternative to XLPE. This study conducts a comparative analysis of low-voltage cables insulated with PP, silane-crosslinked XLPE (XLPE-S), and UV-crosslinked XLPE (XLPE-U), focusing on production processes, mechanical properties, thermal stability, and electrical performance. Tensile test results show that PP exhibits the highest elongation at break (>600%) before aging, and its tensile strength (>20 MPa) after aging outperforms that of XLPE, indicating superior flexibility and anti-aging capability. PP exhibits a lower thermal elongation (<50%) at 140 °C compared to XLPE, and its high-crystallinity molecular structure endows better heat-resistant deformation performance. The volume resistivity of PP reaches 9.2 × 1015 Ω·m, comparable to that of XLPE-U (3.9 × 1015 Ω·m) and significantly higher than XLPE-S (3.0 × 1014 Ω·m). All three materials pass the 4-h voltage withstand test, confirming their satisfied insulation reliability. PP-insulated low-voltage cables demonstrate balanced performance in production efficiency, energy consumption cost, mechanical toughness, and electrical insulation. Notably, their recyclability significantly surpasses traditional XLPE, showing potential to promote green upgrading of the cable industry and providing a sustainable insulation solution for low-voltage power distribution systems. Full article
Show Figures

Figure 1

14 pages, 2090 KB  
Article
Strong Nucleating Effect of Si-Containing Tri-Block Oligomers on Poly(Ethylene Terephthalate)
by Quankai Sun, Yao Wang, Miaorong Zhang, Linjun Huang, Pengwei Zhang, Kang Li, Wei Wang and Jianguo Tang
Molecules 2025, 30(15), 3077; https://doi.org/10.3390/molecules30153077 - 23 Jul 2025
Viewed by 565
Abstract
The development of a silane coupling agent with an aminopropyl structure as a nucleating agent for poly(ethylene terephthalate) (PET) is reported in this study. The tri–block oligomers nucleating agent was formed by 1,3-bis(3-aminopropyl)-1,1,3,3-tetramethyldisiloxane/oxalic acid/low molecular weight PET (LPOBD). It was subsequently cross-linked with [...] Read more.
The development of a silane coupling agent with an aminopropyl structure as a nucleating agent for poly(ethylene terephthalate) (PET) is reported in this study. The tri–block oligomers nucleating agent was formed by 1,3-bis(3-aminopropyl)-1,1,3,3-tetramethyldisiloxane/oxalic acid/low molecular weight PET (LPOBD). It was subsequently cross-linked with tetraethyl orthosilicate to form LPOBD-T. Composites of LPOBD/PET and LPOBD-T/PET were prepared by melt blending, and their thermal and crystallization behaviors were analyzed using XRD, DSC, TG, and POM. The results indicated that not only did the triblock polymer nucleating agent LPOBD exhibit a strong nucleation effect, but the crosslinked LPOBD-T also demonstrated superior crystallization performance. Specifically, the crystallinity of the 1 wt% LPOBD-T/PET composite increased by 3.3%, the crystallization temperature rose by 21.1 °C, and the t1/2 was reduced by 53 s. Moreover, the crystalline morphology was more uniform. These findings indicate that the tri-block oligomers synthesized from a silane coupling agent serve as effective nucleating agents for PET. Full article
(This article belongs to the Special Issue Recent Advances in Functional Composite Materials)
Show Figures

Graphical abstract

13 pages, 5595 KB  
Article
Engineering of Silane–Pyrrolidone Nano/Microparticles and Anti-Fogging Thin Coatings
by Natalie Mounayer and Shlomo Margel
Polymers 2024, 16(14), 2013; https://doi.org/10.3390/polym16142013 - 14 Jul 2024
Cited by 2 | Viewed by 2221
Abstract
Polyvinylpyrrolidone (PVP) exhibits remarkable qualities; owing to the strong affinity for water of its pyrrolidone group, which enhances compatibility with aqueous systems, it is effective for stabilizing, binding, or carrying food, drugs, and cosmetics. However, coating the surface of polymeric films with PVP [...] Read more.
Polyvinylpyrrolidone (PVP) exhibits remarkable qualities; owing to the strong affinity for water of its pyrrolidone group, which enhances compatibility with aqueous systems, it is effective for stabilizing, binding, or carrying food, drugs, and cosmetics. However, coating the surface of polymeric films with PVP is not practical, as the coatings dissolve easily in water and ethanol. Poly(silane–pyrrolidone) nano/microparticles were prepared by combining addition polymerization of methacryloxypropyltriethoxysilane and N-vinylpyrrolidone, followed by step-growth Stöber polymerization of the formed silane–pyrrolidone monomer. The silane–pyrrolidone monomeric solution was spread on oxidized polyethylene films with a Mayer rod and polymerized to form siloxane (Si-O-Si) self-cross-linked durable anti-fog thin coatings with pyrrolidone groups exposed on the outer surface. The coatings exhibited similar wetting properties to PVP with significantly greater stability. The particles and coatings were characterized by microscopy, contact angle measurements, and spectroscopy, and tested using hot fog. Excellent anti-fogging activity was found. Full article
(This article belongs to the Section Polymer Membranes and Films)
Show Figures

Graphical abstract

15 pages, 7460 KB  
Article
Synthesis and Characterization of Durable Antifog Silane–Pyrrolidone Thin Coatings onto Polymeric Films
by Natalie Mounayer, Taly Iline-Vul and Shlomo Margel
Molecules 2024, 29(5), 958; https://doi.org/10.3390/molecules29050958 - 22 Feb 2024
Cited by 2 | Viewed by 2431
Abstract
The fogging of transparent surfaces—condensation of water vapor in the air to a small liquid surface at specific environmental conditions—scatters incident light, creating a blurry vision. Fogging presents a significant challenge in various industries, adversely affecting numerous applications including plastic packaging, agricultural films, [...] Read more.
The fogging of transparent surfaces—condensation of water vapor in the air to a small liquid surface at specific environmental conditions—scatters incident light, creating a blurry vision. Fogging presents a significant challenge in various industries, adversely affecting numerous applications including plastic packaging, agricultural films, and various optical devices. Superhydrophobic or superhydrophilic coatings are the main strategies used to induce antifogging to minimize light scattering. Here, an innovative approach is introduced to mitigate fogging by modifying the surface properties of polymeric films, focusing on corona-treated polyethylene as a model. Coatings were prepared in two successive steps: the addition of radical co-polymerization of methacryloxypropyltriethoxysilane and N-vinylpyrrolidone followed by the step-growth Stöber polymerization of the formed silane monomer. The polymeric dispersion was spread on oxidized films via a Mayer rod and dried. Scanning and force microscopy, FIB, XPS, and UV-vis spectroscopy revealed a thin coating composed of cross-linked siloxane (Si-O-Si) covalently bonded to surface hydroxyls exposing pyrrolidone groups. Contact angle measurements, hot-fog examination, and durability tests indicated a durable antifogging activity. Full article
Show Figures

Graphical abstract

16 pages, 9517 KB  
Article
Polyolefin Blends with Selectively Crosslinked Disperse Phase Based on Silane-Modified Polyethylene
by Markus Gahleitner, Tung Pham and Doris Machl
Polymers 2023, 15(24), 4692; https://doi.org/10.3390/polym15244692 - 13 Dec 2023
Cited by 1 | Viewed by 2515
Abstract
Polypropylene-based multiphase compositions with a disperse elastomer phase provide superior impact strength. Making this property indifferent to processing steps requires stabilization of the morphology of these materials. Various approaches have been tested over time, each of which shows limitations in terms of performance [...] Read more.
Polypropylene-based multiphase compositions with a disperse elastomer phase provide superior impact strength. Making this property indifferent to processing steps requires stabilization of the morphology of these materials. Various approaches have been tested over time, each of which shows limitations in terms of performance or applicability. Using polyethylene (PE) homo- and copolymers capable of silane-based crosslinking as modifiers was explored in the present study, which allows decoupling of the mixing and crosslinking processes. Commercial silane-copolymerized low-density PE (LD-PEX) from a high-pressure process and silane-grafted high-density PE (HD-PEX) were studied as impact modifiers for different types of PP copolymers, including non-modified reference PE grades, LDPE and HDPE. Blends based on ethylene–propylene random copolymers (PPR) and based on impact- (PPI) and random-impact (PPRI) copolymers show improvements of the stiffness–impact balance; however, to different degrees. While the absolute softest and most ductile compositions are achieved with the already soft PPRI copolymer base, the strongest relative effects are found for the PPR based blends. Modifiers with lower density are clearly superior in the toughening effect, with the LD-PEX including acrylate as second comonomer sticking out due to its glass transition around −40 °C. The impact strength improvement found in most compositions (except at very high content) results, however, not from the expected phase stabilization. For comparable systems, particle sizes are normally higher with crosslinking, probably because the process already starts during mixing. Thermoplastic processability could be retained in all cases, but the drop in melt flow rate limits the practical applicability of such systems. Full article
(This article belongs to the Section Polymer Analysis and Characterization)
Show Figures

Graphical abstract

9 pages, 2285 KB  
Communication
Functional Nanocomposites in the Development of Flexible Armor
by Hassan Mahfuz, Vincent Lambert and Floria Clements
Int. J. Mol. Sci. 2023, 24(6), 5067; https://doi.org/10.3390/ijms24065067 - 7 Mar 2023
Cited by 3 | Viewed by 2424
Abstract
The idea of flexible body armor has been around for many years. Initial development included shear thickening fluid (STF) as a backbone polymer to impregnate ballistic fibers such as Kevlar. At the core of the ballistic and spike resistance was the instantaneous rise [...] Read more.
The idea of flexible body armor has been around for many years. Initial development included shear thickening fluid (STF) as a backbone polymer to impregnate ballistic fibers such as Kevlar. At the core of the ballistic and spike resistance was the instantaneous rise in viscosity of STF during impact. Increase in viscosity was due to the hydroclustering of silica nanoparticles dispersed in polyethylene glycol (PEG) through a centrifuge and evaporation process. When STF composite was dry, hydroclustering was not possible due to absence of any fluidity in PEG. However, particles embedded within the polymer, covered the Kevlar fiber and offered some resistance to spike and ballistic penetration. The resistance was meagre and hence, the goal was to improve it further. This was achieved by creating chemical bonds between particles, and by strongly attaching particles to the fiber. PEG was replaced with silane (3-amino propyl trimethoxysilane), and a fixative cross-linker, Glutaraldehyde (Gluta), was added. Silane installed an amine functional group on the silica nanoparticle surface, and Gluta created strong bridges between distant pairs of amine groups. Amide functional groups present in Kevlar also interacted with Gluta and silane to form a secondary amine, allowing silica particles to attach to fiber. A network of amine bonding was also established across the particle-polymer-fiber system. In synthesizing the armor, silica nanoparticles were dispersed in a mixture of silane, ethanol, water, and Gluta, maintaining an appropriate ratio by weight, and using a sonication technique. Ethanol was used as a dispersion fluid and was evaporated later. Several layers of Kevlar fabric were then soaked with the admixture for about 24 h and dried in an oven. Armor composites were tested in a drop tower according to NIJ115 Standard using spikes. Kinetic energy at impact was calculated and normalized with the aerial density of the armor. NIJ tests revealed that normalized energy for 0-layer penetration increased from 10 J-cm2/g (STF composite) to 220 J-cm2/g for the new armor composite, indicating a 22-fold enhancement. SEM and FTIR studies confirmed that this high resistance to spike penetration was due to the formation of stronger C-N, C-H, and C=C-H stretches facilitated by the presence of silane and Gluta. Full article
Show Figures

Figure 1

21 pages, 7565 KB  
Article
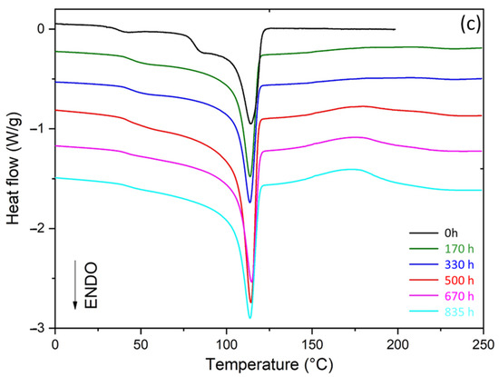
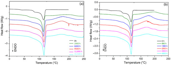
Consequences of Radiothermal Ageing on the Crystalline Morphology of Additive-Free Silane-Crosslinked Polyethylene
by Sarah Hettal, Sébastien Roland and Xavier Colin
Polymers 2022, 14(14), 2912; https://doi.org/10.3390/polym14142912 - 18 Jul 2022
Cited by 10 | Viewed by 2848
Abstract
The radiothermal ageing of silane-crosslinked low-density PE (Si-XLPE) films was studied in the air under three different γ dose rates (8.5, 77.8, and 400 Gy·h−1) at a low temperature close to ambient (47, 47, and 21 °C, respectively). Changes in crystalline [...] Read more.
The radiothermal ageing of silane-crosslinked low-density PE (Si-XLPE) films was studied in the air under three different γ dose rates (8.5, 77.8, and 400 Gy·h−1) at a low temperature close to ambient (47, 47, and 21 °C, respectively). Changes in crystalline morphology were investigated using a multi-technique approach based on differential scanning calorimetry (DSC), wide- (WAXS) and small-angle X-ray scattering (SAXS), and density measurements. In particular, the changes in four structural variables were accurately monitored during radiothermal ageing: crystallinity ratio (XC), crystalline lamellae thickness (LC), long period (Lp), and interlamellar spacing (La). Concerning the changes in XC, a perfect agreement was found between DSC and WAXS experiments. Successive sequences of self-nucleation and annealing (SSA) were also performed on aged Si-XLPE samples in the DSC chamber in order to assess the thickness distribution of crystalline lamellae. This method allowed the thermally splitting of the melting domain of Si-XLPE into a series of elementary melting peaks, with each one characterised by a distinct thickness of crystalline lamellae. DSC (used with the SSA method) showed a slight increase in LC during the oxidation of Si-XLPE, while SAXS confirmed a catastrophic decrease in La. The critical value of the interlamellar spacing characterising the ductile/brittle transition of Si-XLPE was found to be of the same order of magnitude as that for linear polyethylene (LaF6 nm). This structural end-of-life criterion can now be used for predicting the lifetime of Si-XLPE in a nuclear environment. Full article
(This article belongs to the Section Polymer Physics and Theory)
Show Figures

Figure 1

29 pages, 6024 KB  
Article
A New Kinetic Modeling Approach for Predicting the Lifetime of ATH-Filled Silane Cross-Linked Polyethylene in a Nuclear Environment
by Sarah Hettal, Sébastien Roland, Konsta Sipila, Harri Joki and Xavier Colin
Polymers 2022, 14(7), 1492; https://doi.org/10.3390/polym14071492 - 6 Apr 2022
Cited by 7 | Viewed by 2758
Abstract
This study focuses on the degradation of a silane cross-linked polyethylene (Si-XLPE) matrix filled with three different contents of aluminum tri-hydrate (ATH): 0, 25, and 50 phr. These three materials were subjected to radiochemical ageing at three different dose rates (8.5, 77.8, and [...] Read more.
This study focuses on the degradation of a silane cross-linked polyethylene (Si-XLPE) matrix filled with three different contents of aluminum tri-hydrate (ATH): 0, 25, and 50 phr. These three materials were subjected to radiochemical ageing at three different dose rates (8.5, 77.8, and 400 Gy·h−1) in air at low temperatures close to ambient (47, 47, and 21 °C, respectively). Changes due to radio-thermal ageing were investigated according to both a multi-scale and a multi-technique approach. In particular, the changes in the chemical composition, the macromolecular network structure, and the crystallinity of the Si-XLPE matrix were monitored by FTIR spectroscopy, swelling measurements in xylene, differential scanning calorimetry, and density measurements. A more pronounced degradation of the Si-XLPE matrix located in the immediate vicinity of the ATH fillers was clearly highlighted by the swelling measurements. A very fast radiolytic decomposition of the covalent bonds initially formed at the ATH/Si-XLPE interface was proposed to explain the higher concentration of chain scissions. If, as expected, the changes in the elastic properties of the three materials under study are mainly driven by the crystallinity of the Si-XLPE matrix, in contrast, the changes in their fracture properties are also significantly impacted by the degradation of the interfacial region. As an example, the lifetime was found to be approximately halved for the two composite materials compared to the unfilled Si-XLPE matrix under the harshest ageing conditions (i.e., under 400 Gy·h−1 at 21 °C). The radio-thermal oxidation kinetic model previously developed for the unfilled Si-XLPE matrix was extended to the two composite materials by taking into account both the diluting effect of the ATH fillers (i.e., the ATH content) and the interfacial degradation. Full article
(This article belongs to the Section Polymer Physics and Theory)
Show Figures

Graphical abstract

13 pages, 2366 KB  
Article
Radio-Oxidation of Electric Cabled Models: Ageing Evaluation at the Atomic Scale
by Muriel Ferry and Frederic Miserque
Energies 2022, 15(5), 1631; https://doi.org/10.3390/en15051631 - 22 Feb 2022
Cited by 6 | Viewed by 1898
Abstract
The functionality of electric cables, being the safety components of plants, has to be ensured. In nuclear power plants, when they are in the reactor building, these cables can suffer γ irradiation even in normal operating conditions. Their ageing behaviour needs to be [...] Read more.
The functionality of electric cables, being the safety components of plants, has to be ensured. In nuclear power plants, when they are in the reactor building, these cables can suffer γ irradiation even in normal operating conditions. Their ageing behaviour needs to be well understood to be able to determine a precise end-of-life criterion. As polymers are the most radiosensitive material of the cables, this paper focuses on the ageing of this kind of material and, more specifically, on the ageing of silane-crosslinked polyethylenes (XLPEs). XLPEs are now one of the most employed polymers to manufacture cables. We performed irradiation under oxidative conditions of several model silane-crosslinked polyethylenes with different additives and filler: at three different doses (0, 67, 220 and 374 kGy) for one dose rate (78 Gy·h−1) and at one dose (67 kGy) for three dose rates (8.5, 78 and 400 Gy·h−1). Modifications in the organic materials were followed by X-ray photoelectron spectroscopy. This analytical technique allows following the evolution of the different chemical products formed under irradiation. A better understanding at the atomic scale of the effect of additives on the degradation of polymers is proposed as a function of the ageing conditions. Full article
Show Figures

Figure 1

15 pages, 2058 KB  
Article
Structure and Performance Attributes Optimization and Ranking of Gamma Irradiated Polymer Hybrids for Industrial Application
by Suhail H. Serbaya, Emad H. Abualsauod, Mohammed Salem Basingab, Hatim Bukhari, Ali Rizwan and Malik Sajjad Mehmood
Polymers 2022, 14(1), 47; https://doi.org/10.3390/polym14010047 - 23 Dec 2021
Cited by 6 | Viewed by 2913
Abstract
The selection of suitable composite material for high-strength industrial applications, from the list of available alternatives, is a tedious task as it requires an optimized structural performance-based solution. This study aimed to optimize the concentration of fillers, i.e., vinyl tri-ethoxy silane and absorbed [...] Read more.
The selection of suitable composite material for high-strength industrial applications, from the list of available alternatives, is a tedious task as it requires an optimized structural performance-based solution. This study aimed to optimize the concentration of fillers, i.e., vinyl tri-ethoxy silane and absorbed gamma-dose, to enhance the properties of an industrial scale polymer, i.e., ultra-high molecular weight polyethylene (UHMWPE). The UHMWPE hybrids, in addition to silane, were treated with (30, 65, and 100 kGy) gamma dose and then tested for ten application-specific structural and performance attributes. The relative importance of attributes based on an 11-point fuzzy conversation was used for establishing the material assessment graph and corresponding adjacency matrix. Afterwards, the normalized values of attributes were used to establish the decision matrix for each alternative. The normalization was performed after the identification of high obligatory valued (HOV) and low obligatory valued (LOV) attributes. After this, suitability index values (SIVs) were calculated for ranking the hybrids that revealed hybrids 65 kGy irradiated the hybrid as the best choice and ranked as first among the existing alternatives. The major responsible factors were higher oxidation strength, a dense cross-linking network, and elongation at break. The values of the aforementioned factors for 65 kGy irradiated hybrids were 0.24, 91, and 360 MPa, respectively, as opposed to 0.54, 75, and 324 MPa for 100 kGy irradiated hybrids, thus placing the latter in second place regarding higher values of Yield Strength and Young Modulus. Finally, it is believed that the reported results and proposed model in this study will improve preoperative planning as far as considering these hybrids for high-strength industrial applications including total joint arthroplasty, textile-machinery pickers, dump trucks lining ships, and harbors bumpers and sliding, etc. Full article
(This article belongs to the Special Issue Functional Polymer Composites: Design, Preparation and Applications)
Show Figures

Graphical abstract

26 pages, 7100 KB  
Article
Towards a Kinetic Modeling of the Changes in the Electrical Properties of Cable Insulation during Radio-Thermal Ageing in Nuclear Power Plants. Application to Silane-Crosslinked Polyethylene
by Sarah Hettal, Simone Vincenzo Suraci, Sébastien Roland, Davide Fabiani and Xavier Colin
Polymers 2021, 13(24), 4427; https://doi.org/10.3390/polym13244427 - 16 Dec 2021
Cited by 24 | Viewed by 3479
Abstract
The radio-thermal ageing of silane-crosslinked polyethylene (Si-XLPE) was studied in air under different γ dose rates (6.0, 8.5, 77.8, and 400 Gy·h−1) at different temperatures (21, 47, and 86 °C). The changes in the physico-chemical and electrical properties of Si-XLPE throughout [...] Read more.
The radio-thermal ageing of silane-crosslinked polyethylene (Si-XLPE) was studied in air under different γ dose rates (6.0, 8.5, 77.8, and 400 Gy·h−1) at different temperatures (21, 47, and 86 °C). The changes in the physico-chemical and electrical properties of Si-XLPE throughout its exposure were determined using Fourier transform infrared spectroscopy coupled with chemical gas derivatization, hydrostatic weighing, differential scanning calorimetry, dielectric spectroscopy and current measurements under an applied electric field. From a careful analysis of the oxidation products, it was confirmed that ketones are the main oxidation products in Si-XLPE. The analytical kinetic model for radio-thermal oxidation was thus completed with relatively simple structure–property relationships in order to additionally predict the increase in density induced by oxidation, and the adverse changes in two electrical properties of Si-XLPE: the dielectric constant ε and volume resistivity R. After having shown the reliability of these new kinetic developments, the lifetime of Si-XLPE was determined using a dielectric end-of-life criterion deduced from a literature compilation on the changes in R with ε for common polymers. The corresponding lifetime was found to be at least two times longer than the lifetime previously determined with the conventional end-of-life criterion, i.e., the mechanical type, thus confirming the previous literature studies that had shown that fracture properties degrade faster than electrical properties. Full article
(This article belongs to the Special Issue Polymer Composites for Structural Applications)
Show Figures

Graphical abstract

13 pages, 4092 KB  
Article
Ameliorated Electrical-Tree Resistant Characteristics of UV-Initiated Cross-Linked Polyethylene Nanocomposites with Surface-Functionalized Nanosilica
by Yong-Qi Zhang, Ping-Lan Yu, Wei-Feng Sun and Xuan Wang
Processes 2021, 9(2), 313; https://doi.org/10.3390/pr9020313 - 8 Feb 2021
Cited by 12 | Viewed by 2668
Abstract
Given the high interest in promoting crosslinking efficiency of ultraviolet-initiated crosslinking technique and ameliorating electrical resistance of crosslinked polyethylene (XLPE) materials, we have developed the funcionalized-SiO2/XLPE nanocomposites by chemically grafting auxiliary crosslinkers onto nanosilica surfaces. Trimethylolpropane triacrylate (TMPTA) as an effective [...] Read more.
Given the high interest in promoting crosslinking efficiency of ultraviolet-initiated crosslinking technique and ameliorating electrical resistance of crosslinked polyethylene (XLPE) materials, we have developed the funcionalized-SiO2/XLPE nanocomposites by chemically grafting auxiliary crosslinkers onto nanosilica surfaces. Trimethylolpropane triacrylate (TMPTA) as an effective auxiliary crosslinker for polyethylene is grafted successfully on nanosilica surfaces through thiolene-click chemical reactions with coupling agents of sulfur silanes and 3-mercaptopropyl trimethoxy silane (MPTMS), as characterized by nuclear magnetic resonance and Fourier transform infrared spectroscopy. The functionalized SiO2 nanoparticles could be dispersively filled into polyethylene matrix even at a high filling content that would generally produce agglomerations of neat SiO2 nanofillers. Ultraviolet-initiated polyethylene crosslinking reactions are efficiently stimulated by TMPTA grafted onto surfaces of SiO2 nanofillers, averting thermal migrations out of polyethylene matrix. Electrical-tree pathways and growth mechanism are specifically investigated by elucidating the microscopic tree-morphology with fractal dimension and simulating electric field distributions with finite-element method. Near nano-interfaces where the shielded-out electric fluxlines concentrate, the highly enhanced electric fields will stimulate partial discharging and thus lead to the electrical-trees being able to propagate along the routes between nanofillers. Surface-modified SiO2 nanofillers evidently elongate the circuitous routes of electrical-tree growth to be restricted from directly developing toward ground electrode, which accounts for the larger fractal dimension and shorter length of electrical-trees in the functionlized-SiO2/XLPE nanocomposite compared with XLPE and neat-SiO2/XLPE nanocomposite. Polar-groups on the modified nanosilica surfaces inhibit electrical-tree growth and simultaneously introduce deep traps impeding charge injections, accounting for the significant improvements of electrical-tree resistance and dielectric breakdown strength. Combining surface functionalization and nanodielectric technology, we propose a strategy to develop XLPE materials with high electrical resistance. Full article
Show Figures

Figure 1

17 pages, 6825 KB  
Article
Functionalization of Silica Nanoparticles to Improve Crosslinking Degree, Insulation Performance and Space Charge Characteristics of UV-initiated XLPE
by Yu-Wei Fu, Yong-Qi Zhang, Wei-Feng Sun and Xuan Wang
Molecules 2020, 25(17), 3794; https://doi.org/10.3390/molecules25173794 - 20 Aug 2020
Cited by 13 | Viewed by 4365
Abstract
In order to inhibit the outward-migrations of photo-initiator molecules in the ultraviolet-initiated crosslinking process and simultaneously improve the crosslinking degree and dielectric properties of crosslinked polyethylene (XLPE) materials, we have specifically developed surface-modified-SiO2/XLPE nanocomposites with the silica nanofillers that have been [...] Read more.
In order to inhibit the outward-migrations of photo-initiator molecules in the ultraviolet-initiated crosslinking process and simultaneously improve the crosslinking degree and dielectric properties of crosslinked polyethylene (XLPE) materials, we have specifically developed surface-modified-SiO2/XLPE nanocomposites with the silica nanofillers that have been functionalized through chemical surface modifications. With the sulfur-containing silanes and 3-mercaptopropyl trimethoxy silane (MPTMS), the functional monomers of auxiliary crosslinker triallyl isocyanurate (TAIC) have been successfully grafted on the silica surface through thiol–ene click chemistry reactions. The grafted functional groups are verified by molecular characterizations of Fourier transform infrared spectra and nuclear magnetic resonance hydrogen spectra. Scanning electronic microscopy (SEM) indicates that the functionalized silica nanoparticles have been filled into polyethylene matrix with remarkably increased dispersivity compared with the neat silica nanoparticles. Under ultraviolet (UV) irradiation, the high efficient crosslinking reactions of polyethylene molecules are facilitated by the auxiliary crosslinkers that have been grafted onto the surfaces of silica nanofillers in polyethylene matrix. With the UV-initiated crosslinking technique, the crosslinking degree, insulation performance, and space charge characteristics of SiO2/XLPE nanocomposites are investigated in comparison with the XLPE material. Due to the combined effects of the high dispersion of nanofillers and the polar-groups of TAIC grafted on the surfaces of SiO2 nanofillers, the functionlized-SiO2/XLPE nanocomposite with an appropriate filling content represents the most preferable crosslinking degree with multiple improvements in the space charge characteristics and direct current dielectric breakdown strength. Simultaneously employing nanodielectric technology and functional-group surface modification, this study promises a modification strategy for developing XLPE nanocomposites with high mechanical and dielectric performances. Full article
(This article belongs to the Special Issue Complex Multifunctional Organic/Inorganic Nanocarriers)
Show Figures

Figure 1

13 pages, 8679 KB  
Article
Improvement of Rice Husk/HDPE Bio-Composites Interfacial Properties by Silane Coupling Agent and Compatibilizer Complementary Modification
by Jingmeng Sun, Yao Pang, Yingni Yang, Junqi Zhao, Rongqi Xia, Yanchen Li, Yi Liu and Hongwu Guo
Polymers 2019, 11(12), 1928; https://doi.org/10.3390/polym11121928 - 22 Nov 2019
Cited by 40 | Viewed by 7203
Abstract
Composites using agricultural and forestry residues as raw materials with potentially high-performance, multifunctional and biodegradable ecological advantages, are viewed as very promising for new-generation lightweight and low-cost bio-based sustainable building materials. At present, the research on wood-plastic composite materials is relatively mature. However, [...] Read more.
Composites using agricultural and forestry residues as raw materials with potentially high-performance, multifunctional and biodegradable ecological advantages, are viewed as very promising for new-generation lightweight and low-cost bio-based sustainable building materials. At present, the research on wood-plastic composite materials is relatively mature. However, it is still a challenge to effectively use other biomass and improve the interface of the high-polymer compound system. Herein, we proposed a simple and effective method to enhance the interfacial adhesion properties of rice husk fibre and High Density Polyethylene (HDPE) composites by the silane coupling agent KH-550 and compatibilizer Maleic anhydride grafted polyethylene (MAPE) with complementary modification. It was found that the coupling agent KH-550 cross-linked with the hydroxyl group on the husk fibre surface and solidified with the high polymer by –NH–, –C=O– functional group generation. Compatibilizer MAPE strengthened the two phases by covalently bonding with an ester linkage and lowered the roughness of the cross-section of the composites. Meanwhile the modification enhanced the dispersibility, and mechanical properties of the husk-high polymer compound system, the bending and flexural strength were improved by 11.5% and 28.9% with KH-550, and MAPE added, respectively. The flexural strength of the composites increased by 40.7% after complementary modification. Furthermore, the complementary modification treatment reduced the hydrophilic hydroxyl groups and increased the molecular chain to improve the water-resistance, elastic modulus and toughness of the composite. This study prepared a bio-composite, which is expected to expand the use of agricultural and forestry residues as an extension of wood-plastic composites. Full article
(This article belongs to the Collection Silicon-Containing Polymeric Materials)
Show Figures

Figure 1

Back to TopTop