Consequences of Radiothermal Ageing on the Crystalline Morphology of Additive-Free Silane-Crosslinked Polyethylene
Abstract
1. Introduction
- -
- Chain scissions lead to deep damage in the macromolecular network, which prevents the amorphous phase from continuing to act as a binder between the crystalline lamellae and distribute the mechanical loading over all the crystalline lamellae;
- -
- Chemicrystallisation leads to a confinement of the amorphous phase, i.e., a loss of molecular mobility leading to a transition of its physical state from rubbery to glassy, which ultimately results in a change in its mechanical behaviour from ductile to brittle.
2. Materials and Methods
2.1. Materials
2.2. Radiothermal Ageing Conditions
2.3. Experimental Characterisations
2.3.1. Differential Scanning Calorimetry
Global Approach
Successive Sequences of Self-Nucleation and Annealing (SSA)
- (1)
- First, the sample is heated up to a temperature above its melting point (typically, 250 °C) with a rate of 10 °C.min−1 and then held at this temperature for 5 min. This first step aims to erase the thermal history of the sample.
- (2)
- After cooling down at a rate of 10 °C.min−1, the sample is heated again up to the self-nucleation temperature and then held at this temperature for 5 min. Unmelted crystals undergo annealing while the molten polymer isothermally crystallises. In this study, the temperature was determined by using the methodology proposed by Fillon et al. [34]. Of course, a different value of was obtained for each ageing state.
- (3)
- Step 2 is repeated nine times by modifying by subtracting 5 °C from TS for each cycle, i.e., , , … etc. until . Then, the sample is cooled down at a rate of 10 °C·min−1 up to room temperature.
- (4)
- Finally, the sample is again heated up to a temperature above its melting point (250 °C) with a rate of 10 °C·min−1. This last temperature ramp reveals the structural changes caused by the different annealing treatments performed on the sample, i.e., the splitting of the initial broad melting peak into a series of elementary melting peaks, as presented in Figure 1.
2.3.2. X-ray Scattering
Wide-Angle X-ray Scattering
Small-Angle X-ray Scattering
2.3.3. Density Measurements
2.3.4. Micro-Indentation
3. Results and Discussion
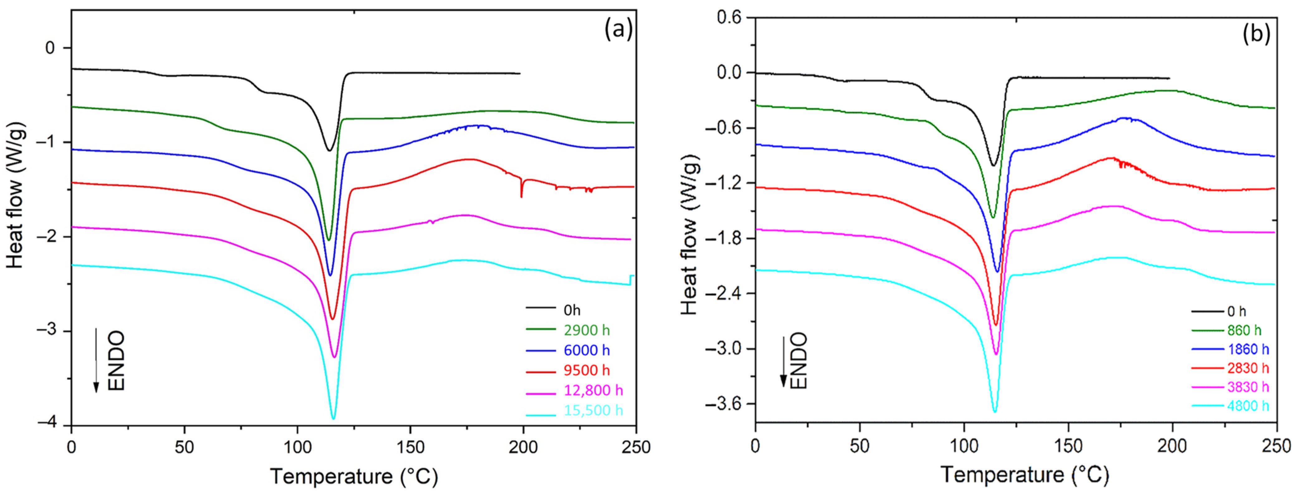
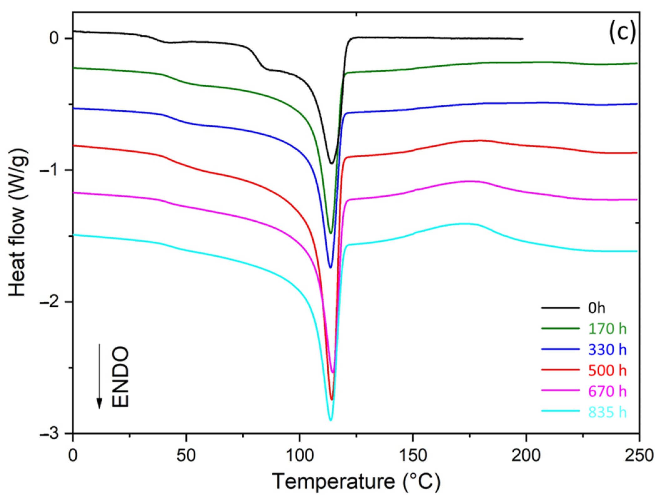
3.1. Effect of Radiothermal Ageing on the Microstructure
3.2. Changes in LC, LP, and La during the Radiothermal Ageing
4. Conclusions
Author Contributions
Funding
Institutional Review Board Statement
Informed Consent Statement
Data Availability Statement
Conflicts of Interest
References
- Van Krevelen, D.W.; Te Nijenhuis, K. Electrical Properties. In Properties of Polymers: Their Correlation with Chemical Structure—Their Numerical Estimation and Prediction from Additive Group Contributions, 4th ed.; Elsevier: Amsterdam, The Netherlands, 2009; Chapter 11; pp. 319–354. [Google Scholar]
- Cotts, D.B.; Reyes, Z. Electrically Conductive Organic Polymers for Advanced Applications; William Andrew Publishing, Noyes Data Corporation: Park Ridge, NJ, USA, 1986. [Google Scholar]
- Peacock, A.J. Handbook of Polyethylene. Structures, Properties and Applications; Marcel Decker Inc.: New York, NY, USA, 2000. [Google Scholar]
- Langlois, V.; Audouin, L.; Verdu, J.; Courtois, P. Thermooxidative ageing of crosslinked linear polyethylene: Stabilizer consumption and lifetime prediction. Polym. Degrad. Stab. 1993, 40, 399–409. [Google Scholar] [CrossRef]
- Celina, M.; George, G.A. Characterisation and degradation studies of peroxide and silane crosslinked polyethylene. Polym. Degrad. Stab. 1995, 48, 297–312. [Google Scholar] [CrossRef]
- Hettal, S.; Roland, S.; Sipila, K.; Joki, H.; Colin, X. A new analytical model for predicting the radio-thermal oxidation and the lifetime of electrical cable insulation in nuclear power plants. Application to silane crosslinked polyethylene. Polym. Degrad. Stab. 2021, 185, 109492. [Google Scholar] [CrossRef]
- Blivet, C.; Larché, J.-F.; Israeli, Y.; Bussière, P.-O.; Gardette, J.-L. Thermal oxidation of cross-linked PE and EPR used as insulation materials: Multi-scale correlation over a wide range of temperatures. Polym. Test. 2021, 93, 106913. [Google Scholar] [CrossRef]
- Hettal, S.; Roland, S.; Sipila, K.; Joki, H.; Colin, X. A new kinetic modeling approach for predicting the lifetime of ATH-filled silane cross-linked polyethylene in a nuclear environment. Polymers 2022, 14, 1492. [Google Scholar] [CrossRef]
- Hettal, S.; Suraci, S.V.; Roland, S.; Fabiani, D.; Colin, X. Towards a kinetic modeling of the changes in the electrical properties of cable insulation during radio-thermal oxidation in nuclear power plants. Application to silane-crosslinked polyethylene. Polymers 2021, 13, 4427. [Google Scholar] [CrossRef]
- Al-Malaika, S.; Scott, G. Thermal stabilisation of polyolefins. In Degradation and Stabilisation of Polyolefins; Allen, N.S., Ed.; Applied Science Publishers: London, UK, 1983; Chapter 6; pp. 247–281. [Google Scholar]
- Zweifel, H.; Maier, R.D.; Schiller, M. Plastics Additives Handbook, 6th ed.; Hanser Publishers: Munich, Germany, 2009. [Google Scholar]
- Al-Malaika, S. Perspectives in stabilisation of polyolefins. In Long Term Properties of Polyolefins; Albertsson, A.-C., Ed.; Springer: Berlin/Heidelberg, Germany, 2004; Chapter 5; pp. 121–150. [Google Scholar]
- Allen, N.S.; Edge, M. Perspectives on additives for polymers. 1. Aspects of stabilization. J. Vinyl Addit. Technol. 2020, 27, 1–23. [Google Scholar]
- Salivon, T.; Colin, X.; Comte, R. Degradation of XLPE and PVC cable insulators. In Proceedings of the 2015 IEEE Conference on Electrical Insulation and Dielectric Phenomena (CEIDP), Ann Arbor, MI, USA, 18–21 October 2015; pp. 656–659. [Google Scholar]
- Xu, A.; Roland, S.; Colin, X. Thermal ageing of a silane-crosslinked polyethylene stabilised with a thiodipropionate antioxidant. Polym. Degrad. Stab. 2020, 181, 109276. [Google Scholar] [CrossRef]
- Xu, A.; Roland, S.; Colin, X. Thermal ageing of a silane-crosslinked polyethylene stabilised with an excess of Irganox 1076®. Polym. Degrad. Stab. 2021, 189, 109597. [Google Scholar] [CrossRef]
- Salivon, T.; Colin, X.; Comte, R. Thermal ageing of electrical cable insulation made of cross-linked low density polyethylene for under-hood application in automotive industry. J. Vinyl Addit. Technol. 2022, 28, 418–429. [Google Scholar] [CrossRef]
- Khelidj, N.; Colin, X.; Audouin, L.; Verdu, J. A simplified approach for the lifetime prediction of PE in nuclear environments. Nucl. Instrum. Methods Phys. Res. 2005, B236, 88–94. [Google Scholar] [CrossRef]
- Colin, X.; Monchy-Leroy, C.; Audouin, L.; Verdu, J. Lifetime prediction of polyethylene in nuclear plants. Nucl. Instrum. Methods Phys. Res. 2007, B265, 251–255. [Google Scholar] [CrossRef]
- Fayolle, B.; Colin, X.; Audouin, L.; Verdu, J. Mechanism of degradation induced embrittlement in polyethylene. Polym. Degrad. Stab. 2007, 92, 231–238. [Google Scholar] [CrossRef]
- Fayolle, B.; Richaud, E.; Colin, X.; Verdu, J. Review: Degradation-induced embrittlement in semi-crystalline polymers having their amorphous phase in rubbery state. J. Mater. Sci. 2008, 43, 6999–7012. [Google Scholar] [CrossRef]
- Hsu, Y.-C.; Weir, M.P.; Truss, R.W.; Garvey, C.J.; Nicholson, T.M.; Halley, P.J. A fundamental study on photo-oxidative degradation of linear low density polyethylene films at embrittlement. Polymer 2012, 53, 2385–2393. [Google Scholar] [CrossRef]
- Colin, X.; Audouin, L.; Verdu, J.; Rozental-Evesque, M.; Rabaud, B.; Martin, F.; Bourgine, F. Aging of polyethylene pipes transporting drinking water disinfected by chlorine dioxide. II–Lifetime prediction. Polym. Eng. Sci. 2009, 49, 1642–1652. [Google Scholar] [CrossRef]
- Majewski, K.; Mantell, S.C.; Bhattacharya, M. Relationship between morphological changes and mechanical properties in HDPE films exposed to chlorinated environment. Polym. Degrad. Stab. 2020, 171, 109027. [Google Scholar] [CrossRef]
- Stebel, J.J.; Chellappa, V.; Moet, A. Evaluation of J1C for thin polyethylene specimens. Int. J. Fract. 1991, 48, R47–R50. [Google Scholar] [CrossRef]
- Trankner, T.; Hedenquist, M.S.; Gedde, U.W. Molecular and lamellar structure of an extrusion-grade medium-density polyethylene for gas distribution. Polym. Eng. Sci. 1994, 34, 1581–1588. [Google Scholar] [CrossRef]
- Choi, B.H.; Balika, W.; Chudnovsky, A.; Pinter, G.; Lang, R.W. The use of crack layer theory to predict the lifetime of the fatigue crack growth of high density polyethylene. Polym. Eng. Sci. 2009, 49, 1421–1428. [Google Scholar] [CrossRef]
- Rose, J.L.; Channell, A.D.; Frye, C.J.; Capaccio, G. Slow crack growth in polyethylene: A novel predictive model based on the creep of craze fibrils. J. Appl. Polym. Sci. 1994, 54, 2119–2124. [Google Scholar] [CrossRef]
- Shah, A.; Stepanov, E.V.; Capaccio, G.; Hiltner, A.; Baer, E. Stepwise fatigue crack propagation in polyethylene resins of different molecular structure. J. Polym. Sci.: Part B Polym. Phys. 1998, 36, 2355–2369. [Google Scholar] [CrossRef]
- Huang, Y.-L.; Brown, N. Dependence of slow crack growth in polyethylene on butyl branch density: Morphology and theory. J. Polym. Sci. Part B Polym. Phys. 1991, 29, 129–137. [Google Scholar] [CrossRef]
- Brown, N.; Lu, X.; Huang, Y.-L.; Qian, R. Slow crcak growth in polyethylene—A review, Makromol. Chem. Macromol. Symp. 1991, 41, 55–67. [Google Scholar] [CrossRef]
- Krishnaswamy, R.K.; Yang, Q.; Fernandez-Ballester, L.; Kornfield, J.A. Effect of the distribution of short-chain branches on crystallization kinetics and mechanical properties of high-density polyethylene. Macromolecules 2008, 41, 1693–1704. [Google Scholar] [CrossRef]
- Goldman, M.; Gronsky, R.; Ranganathan, R.; Pruitt, L. The effects of gamma radiation sterilization and ageing on the structure and morphology of medical grade ultra high molecular weight polyethylene. Polymer 1996, 37, 2909–2913. [Google Scholar] [CrossRef]
- Fillon, B.; Wittmann, J.C.; Lotz, B.; Thierry, A. Self-nucleation and recrystallization of isotactic polypropylene (phase) investigated by differential scanning calorimetry. J. Polym. Sci.: Part B Polym. Phys. 1993, 31, 1383–1393. [Google Scholar] [CrossRef]
- Muller, A.J.; Hernandez, Z.H.; Arnal, M.L.; Sanchez, J.J. Successive self-nucleation/annealing (SSA): A novel technique to study molecular segregation during crystallization. Polym. Bull. 1997, 39, 465–472. [Google Scholar] [CrossRef]
- Arnal, M.L.; Balsamo, V.; Ronca, G.; Sanchez, A.; Muller, A.J.; Canizales, E.; Urbina de Navarro, C. Applications of successive self-nucleation and annealing (SSA) to polymer characterization. J. Therm. Anal. Calorim. 2000, 59, 451–470. [Google Scholar] [CrossRef]
- Muller, A.J.; Arnal, M.L. Thermal fractionation of polymers. Prog. Polym. Sci. 2005, 30, 559–603. [Google Scholar] [CrossRef]
- Muller, A.J.; Michell, R.M.; Perez, R.A.; Lorenzo, A.T. Successive self-nucleation and annealing (SSA): Correct design of thermal protocol and applications. Eur. Polym. J. 2015, 65, 132–154. [Google Scholar] [CrossRef]
- Wang, Y.; Yan, W. Investigation on chain structure of LLDPE obtained by ethylene in-situ copolymerization with DSC and XRD. Chin. Sci. Bull. 2007, 52, 736–742. [Google Scholar] [CrossRef]
- Lorenzo, A.T.; Arnal, M.L.; Muller, A.J.; Lin, M.-C.; Chen, H.-L. SAXS/DSC analysis of the lamellar thickness distribution on a SSA thermally fractionated model polyethylene. Macromol. Chem. Phys. 2011, 212, 209–2016. [Google Scholar] [CrossRef]
- Perez, C.J.; Carella, J.M. Early detection of degradation in a semi-crystalline polyolefin by a successive self-nucleation and annealing technique. Polym. Degrad. Stab. 2007, 92, 1213–1218. [Google Scholar] [CrossRef]
- Jin, J.; Chen, S.; Zhang, J. Investigation of UV aging influences on the crystallization of ethylene-vinyl acetate copolymer via successive self-nucleation and annealing treatment. J. Polym. Res. 2010, 17, 827–836. [Google Scholar] [CrossRef]
- Rojas de Gascue, B.; Prin, J.L.; Hernandez, G.; Valles, E.M.; Lorenzo, A.T.; Muller, A.J. Use of the successive self-nucleation and annealing technique to characterize 60Co gamma irradiated HDPEs. J. Therm. Anal. Calorim. 2011, 103, 669–678. [Google Scholar] [CrossRef]
- Perez, C.J.; Failla, M.D.; Carella, J.M. Advantageous use of SSA technique to observe effects of thickness, antioxidant and oxygen in gamma irradiated low density polyethylene. Thermochim. Acta 2012, 538, 67–74. [Google Scholar] [CrossRef]
- Perez, C.J.; Failla, M.D.; Carella, J.M. SSA study of early polyethylenes degradation stages. Effects of attack rate, of average branch length, and of backbone polymethylene sequences length distribution. Polym. Degrad. Stab. 2013, 98, 177–183. [Google Scholar] [CrossRef]
- Gauthier, E.; Laycock, B.; Cuoq, F.J.J.-M.; Halley, P.J.; George, K.A. Correlation between chain microstructural changes and embrittlement of LLDPE-based films during photo- and thermos-oxidative degradation. Polym. Degrad. Stab. 2013, 98, 425–435. [Google Scholar] [CrossRef]
- Huang, Z.; Li, Y.; Ren, X. Comparing cracking time ans structure changes of different high-density polyethylenes during stress and photo-oxidative aging. J. Appl. Polym. Sci. 2014, 131, 40904. [Google Scholar] [CrossRef]
- Zak, P.; Placek, V. Deliverable D2.2: Specifications of Test—Accelerated Ageing Protocol, Test Strategy; TeaM Cables Report; UJV Rez: Husinec, Czech Republic, 2018. [Google Scholar]
- Colin, X.; Monchy-Leroy, C.; Verdu, J. Effect of gamma irradiation on tensile properties of low molecular weight polyethylene samples. Radiat. Phys. Chem. 2011, 80, 895–901. [Google Scholar] [CrossRef][Green Version]
- Wojdyr, M. Fityk: A general-purpose peak fitting program. J. Appl. Crystallogr. 2010, 43, 1126–1128. [Google Scholar] [CrossRef]
- Laridjani, M.; Leboucher, P. The structural dilemma of bulk polyethylene: An intermediary structure. PLoS ONE 2009, 4, e6228. [Google Scholar] [CrossRef] [PubMed]
- Van Krevelen, D.W.; Te Nijenhuis, K. Physical constants of the Most Polar Solvents. In Properties of Polymers: Their Correlation with Chemical Structure, Their Numerical Estimation and Prediction from Additive Group Contributions, 4th ed.; Elsevier: Amsterdam, The Netherlands, 2009; Tab IV; pp. 904–919. [Google Scholar]
- Walter, E.R.; Reding, P.F. Variations in unit cell dimensions in polyethylene. J. Appl. Polym. Sci. 1956, 21, 561–562. [Google Scholar] [CrossRef]
- Oliver, W.C.; Pharr, G.M. An improved technique for determining hardness and elastic modulus using load and displacement sensing indentation experiments. J. Mater. Res. 1992, 7, 1564–1583. [Google Scholar] [CrossRef]
- Courvoisier, E.; Bicaba, Y.; Colin, X. Multi-scale and multi-technical analysis of the thermal degradation of poly(ether imide). Polym. Degrad. Stab. 2018, 147, 177–186. [Google Scholar] [CrossRef]
- Courvoisier, E.; Bicaba, Y.; Colin, X. Multi-scale and multi-technique analysis of the thermal degradation of poly(ether ketone). Polym. Degrad. Stab. 2018, 151, 65–79. [Google Scholar] [CrossRef]
- Badr, Y.; Ali, Z.I.; Zahran, A.H.; Khafagy, R.M. Characterization of gamma irradiated polyethylene films by DSC and X-ray diffraction techniques. Polym. Int. 2000, 49, 1555–1560. [Google Scholar] [CrossRef]
- Hubert, S.; Lame, O.; Séguéla, R.; Vigier, G. A re-examination of the elastic modulus dependence on crystallinity in semi-crystalline polymers. Polymer 2011, 52, 4899–4909. [Google Scholar] [CrossRef]















| Density | 0.914 ± 0.002 |
| Melting temperature Tm ( °C) | 114.3 ± 0.4 |
| Crystallinity ratio XC (%) | 42.1 ± 1.0 |
| Young’s modulus (MPa) | 260 ± 15 |
| Elongation at break (%) | 358 ± 17 |
| Dose Rate (Gy·h−1) | Dose Rate (Gy·s−1) | Temperature (°C) | Withdrawal Times of Samples (h) | Withdrawal Doses of Samples (kGy) |
|---|---|---|---|---|
| 8.5 | 2.36 × 10−3 | 47 | 2900–6000–9500–12,800–15,500 | 25–51–81–109–132 |
| 77.8 | 2.16 × 10−2 | 47 | 860–1850–2830–3830–4800 | 67–144–220–298–373 |
| 400 | 1.11 × 10−1 | 21 | 167–334–501–668–835 | 68–134–200–267–334 |
Publisher’s Note: MDPI stays neutral with regard to jurisdictional claims in published maps and institutional affiliations. |
© 2022 by the authors. Licensee MDPI, Basel, Switzerland. This article is an open access article distributed under the terms and conditions of the Creative Commons Attribution (CC BY) license (https://creativecommons.org/licenses/by/4.0/).
Share and Cite
Hettal, S.; Roland, S.; Colin, X. Consequences of Radiothermal Ageing on the Crystalline Morphology of Additive-Free Silane-Crosslinked Polyethylene. Polymers 2022, 14, 2912. https://doi.org/10.3390/polym14142912
Hettal S, Roland S, Colin X. Consequences of Radiothermal Ageing on the Crystalline Morphology of Additive-Free Silane-Crosslinked Polyethylene. Polymers. 2022; 14(14):2912. https://doi.org/10.3390/polym14142912
Chicago/Turabian StyleHettal, Sarah, Sébastien Roland, and Xavier Colin. 2022. "Consequences of Radiothermal Ageing on the Crystalline Morphology of Additive-Free Silane-Crosslinked Polyethylene" Polymers 14, no. 14: 2912. https://doi.org/10.3390/polym14142912
APA StyleHettal, S., Roland, S., & Colin, X. (2022). Consequences of Radiothermal Ageing on the Crystalline Morphology of Additive-Free Silane-Crosslinked Polyethylene. Polymers, 14(14), 2912. https://doi.org/10.3390/polym14142912

