Functional Nanocomposites in the Development of Flexible Armor
Abstract
1. Introduction
2. Results and Discussion
2.1. FTIR Studies
2.2. SEM Characterization
2.3. NIJ Spike Tests
3. Materials and Methods
3.1. Functionalized Silica Nanoparticles
3.2. Armor-Composites Fabrication
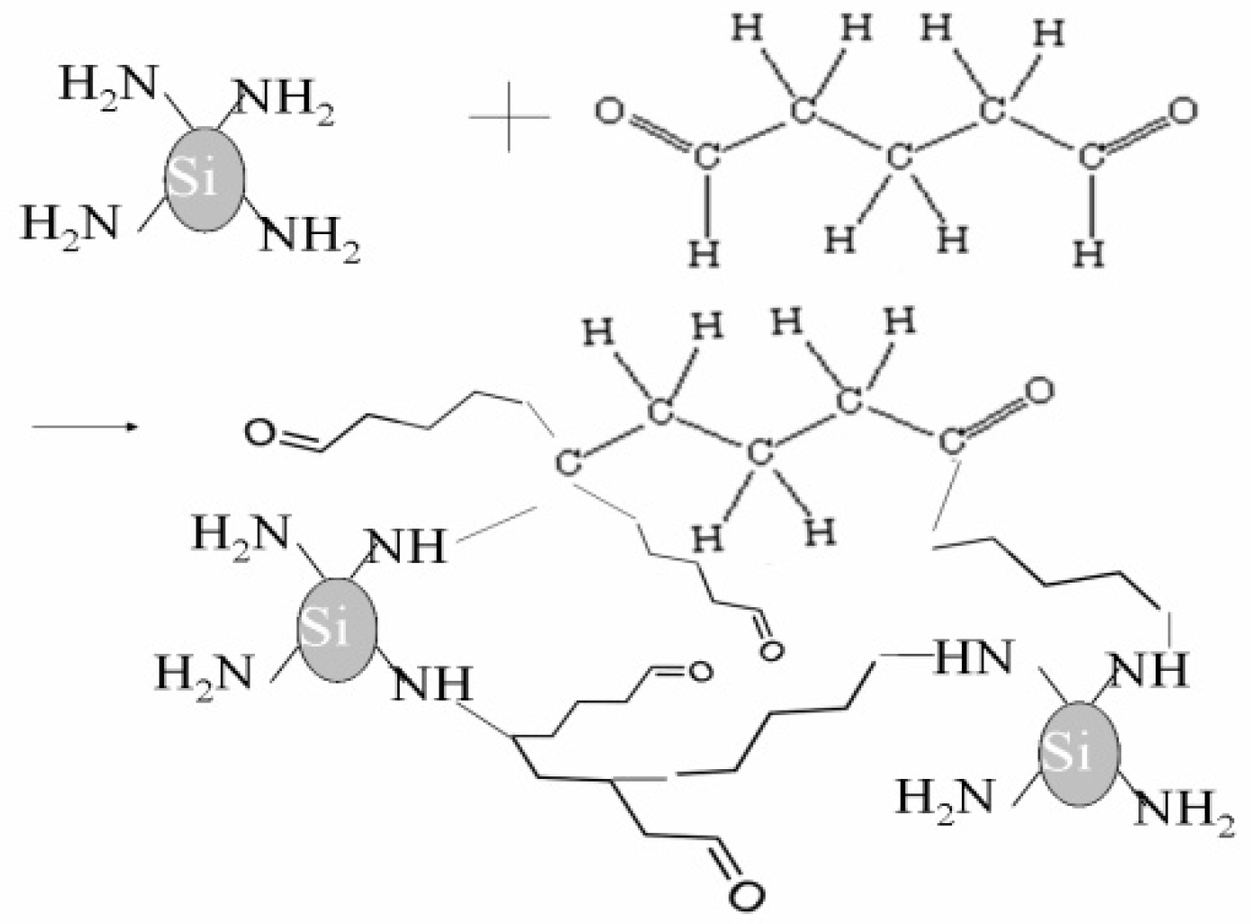
3.3. Replacing PEG with Silane and Adding a Fixative Cross-Linker (Gluta)
4. Conclusions
Author Contributions
Funding
Institutional Review Board Statement
Informed Consent Statement
Data Availability Statement
Acknowledgments
Conflicts of Interest
References
- Egres, R.G., Jr.; Lee, Y.; Kirkwood, J.; Wagner, N.; Wetzel, E. Novel flexible body armor utilizing shear thickening fluid (STF) composites. In Proceedings of the 14th International Conference on Composite Materials, San Diego, CA, USA, 14–18 July 2003. [Google Scholar]
- Lee, Y.S.; Wagner, N.J. Dynamic properties of shear thickening colloidal suspension, Rheo. Acta 2003, 42, 199–208. [Google Scholar]
- Qin, J.; Guo, B.; Zhang, L.; Wang, T.; Zhang, G.; Shi, X. Soft armor materials constructed with Kevlar fabric and a novel shear thickening fluid. Compos. Part B 2020, 183, 107686. [Google Scholar] [CrossRef]
- Kalman, D.P.; Merrill, R.L.; Wagner, N.J.; Wetzel, E.D. Effect of Particle Hardness on the Penetration Behavior of Fabrics Intercalated with Dry Particles and Concentrated Particle−Fluid Suspensions. ACS Appl. Mater. Interfaces 2009, 1, 2602–2612. [Google Scholar] [CrossRef]
- Majumdar, A.; Butola, B.S.; Srivastava, A. Optimal designing of soft body armor materials using shear thickening fluid. Mater. Des. 2013, 46, 191–198. [Google Scholar] [CrossRef]
- Gurgen, S.; Kushan, M.C. The stab resistance of fabrics impregnated with shear thickening fluids inculdibng various particle size additives. Compos. Part A 2017, 94, 50–60. [Google Scholar] [CrossRef]
- Lee, Y.; Wetzel, E.; Wagner, N. The ballistic impact characteristics of Kevlar woven fabrics impregnated with a colloidal shear thickening fluid. J. Mater. Sci. 2003, 38, 2825–2833. [Google Scholar] [CrossRef]
- Decker, M.J.; Halbach, C.J.; Nam, C.H.; Wagner, N.J.; Wetzel, E.D. Stab resistance of shear thickening fluid (STF)-treated fabrics. Compos. Sci. Technol. 2007, 67, 565–578. [Google Scholar] [CrossRef]
- Boersma, W.H.; Laven, J.; Stein, H.N. Viscoelastic properties of concentrated shear-thickening dispersions. J. Colloid Interface Sci. 1992, 149, 10. [Google Scholar] [CrossRef]
- Wagner, N.J.; Nam, C.H. Emulsification of Concentrated Dispersion of Colloidal and Nanoparticles. U.S. Patent 2010/0093240 A1, 15 April 2010. [Google Scholar]
- Birringer, R.; Gleiter, H. Encyclopedia of Materials Science and Engineering; Cahn, R.W., Ed.; Pergamon Press: Oxford, UK, 1988; Volume 1, p. 339. [Google Scholar]
- Gleiter, H. Nanocrystalline Materials. Prog. Mater. Sci. 1989, 33, 223–315. [Google Scholar] [CrossRef]
- Dagani, R. Nanostructural materials promise to advance range of technologies. Chem. Eng. News 1992, 70, 18–24. [Google Scholar] [CrossRef]
- Herasati, S.; Zhang, L.C.; Ruan, H.H. A new method for characterizing the interphase regions of carbon nanotube composites. Int. J. Solids Struct. 2014, 51, 1781–1791. [Google Scholar] [CrossRef]
- Mahfuz, H.; Clements, F.; Stewart, J. Development of Stab Resistant Body Armor Using Fumed SiO2 Nanoparticles Dispersed into Polyethylene Glycol (PEG) through Sonic Cavitation. NSTI Nanotech. Tech. Proceeding 2006, 1, 358. [Google Scholar]
- Mahfuz, H.; Clements, F.; Rangari, V.; Dhanak, V.; Beamson, G. Enhanced Stab Resistance with Functionalized Silica Nanoparticles. J. Appl. Phys. 2009, 105, 064307. [Google Scholar] [CrossRef]
- Clements, F. Development of Flexible Puncture Resistant Materials System Using Silica Nanoparticles. Master’s Thesis, Florida Atlantic University, Boca Raton, FL, USA, 2007. [Google Scholar]
- Clements, F.; Mahfuz, H. Enhancing the Stab Resistance of Flexible Body Armor using Functionalized SiO2 Nanoparticles. In Proceedings of the 16th International Conference on Composite Materials (ICCM-16), Kyoto, Japan, 8–13 July 2007. [Google Scholar]
- Lambert, V. Enhancement of Spike and Stab Resistance of Flexible Armor Using Nanoparticles and a Cross-Linking Fixative. Master’s Thesis, Florida Atlantic University, Boca Raton, FL, USA, 2009. [Google Scholar]
- Mahfuz, H.; Lambert, V.; Bordner, P. Improving Stab Resistance of Flexible Body Armor using Silane Coupling Agent and Cross-Linking Fixatives with Silica Nanoparticles. In Proceedings of the ASME International Mechanical Engineering Congress and Exposition, Boston, MA, USA, 31 October–6 November 2008. [Google Scholar]






Disclaimer/Publisher’s Note: The statements, opinions and data contained in all publications are solely those of the individual author(s) and contributor(s) and not of MDPI and/or the editor(s). MDPI and/or the editor(s) disclaim responsibility for any injury to people or property resulting from any ideas, methods, instructions or products referred to in the content. |
© 2023 by the authors. Licensee MDPI, Basel, Switzerland. This article is an open access article distributed under the terms and conditions of the Creative Commons Attribution (CC BY) license (https://creativecommons.org/licenses/by/4.0/).
Share and Cite
Mahfuz, H.; Lambert, V.; Clements, F. Functional Nanocomposites in the Development of Flexible Armor. Int. J. Mol. Sci. 2023, 24, 5067. https://doi.org/10.3390/ijms24065067
Mahfuz H, Lambert V, Clements F. Functional Nanocomposites in the Development of Flexible Armor. International Journal of Molecular Sciences. 2023; 24(6):5067. https://doi.org/10.3390/ijms24065067
Chicago/Turabian StyleMahfuz, Hassan, Vincent Lambert, and Floria Clements. 2023. "Functional Nanocomposites in the Development of Flexible Armor" International Journal of Molecular Sciences 24, no. 6: 5067. https://doi.org/10.3390/ijms24065067
APA StyleMahfuz, H., Lambert, V., & Clements, F. (2023). Functional Nanocomposites in the Development of Flexible Armor. International Journal of Molecular Sciences, 24(6), 5067. https://doi.org/10.3390/ijms24065067
