Sign in to use this feature.

Years

Between: -

Subjects

remove_circle_outline
remove_circle_outline
remove_circle_outline
remove_circle_outline
remove_circle_outline
remove_circle_outline

Journals

Article Types

Countries / Regions

Search Results (16)

Search Parameters:
Keywords = sequential pressurized liquid extraction

Order results
Result details
Results per page
Select all
Export citation of selected articles as:
18 pages, 2033 KB  
Article
Valorization of Isabella Grape (Vitis labrusca L.) Pomace Through the Recovery of Nutraceuticals by Sequential Green Extraction Technologies
by Jhonattan Sánchez Sánchez, Fabián Parada-Alfonso and Henry I. Castro-Vargas
Foods 2026, 15(1), 54; https://doi.org/10.3390/foods15010054 - 24 Dec 2025
Viewed by 422
Abstract
Isabella grape pomace (IGP) the primary by-product of Colombia’s winemaking industry, represents a promising source of nutraceuticals with potential uses in the food industry. This study developed a sequential green extraction process to recover nutraceutical from IGP. The approach integrated supercritical fluid extraction [...] Read more.
Isabella grape pomace (IGP) the primary by-product of Colombia’s winemaking industry, represents a promising source of nutraceuticals with potential uses in the food industry. This study developed a sequential green extraction process to recover nutraceutical from IGP. The approach integrated supercritical fluid extraction with CO2 (SFE-CO2) to obtain lipophilic compounds, followed by SFE with ethanol/water as co-solvent (SFE-CO2/EtOH:H2O) for medium-polarity phenolics, and pressurized liquid extraction (PLE) with EtOH:H2O to recover the polar phenolic-rich fraction. The extraction parameters were optimized using response surface methodology, and optimal conditions were identified: SFE-CO2 at 31.7 MPa/58.9 °C yielded 6.95% extract rich in linoleic acid (65.5%) and α-tocopherol (107.2 mg/kg); SFE-CO2/EtOH:H2O with 15% of co-solvent produced extracts with high phenolic content (105.35 mg GAE/g) and antioxidant activity (0.18 mmol TE/g); while PLE at 58.91% of EtOH/107.98 °C achieved notable recovery of flavonoids (757.18 mg QE/g), anthocyanins(1508 μg MAE/g) and condensed tannins (258.39 mg ECE/g), with potent antioxidant capacity (130.40 mmol TE/g). The sequential process demonstrated synergistic effects, with a total cumulative yield of 41.08% and phenolic recovery of 349.89 mg GAE/g extract. This approach offers a sustainable biorefinery approach for transforming IGP into high-value nutraceutical ingredients. Full article
Show Figures

Figure 1

18 pages, 1371 KB  
Article
Impact of Individual Process Parameters on Extraction of Polysaccharides from Saccharina latissima
by Elmira Khajavi Ahmadi, Said Al-Hamimi, Madeleine Jönsson and Roya R. R. Sardari
Mar. Drugs 2025, 23(11), 435; https://doi.org/10.3390/md23110435 - 13 Nov 2025
Viewed by 764
Abstract
While numerous extraction methods have been applied to the brown algae Saccharina latissima, a systematic evaluation of how individual extraction parameters influence the extraction of each target polysaccharide has not previously been reported. Accordingly, this study compared conventional and advanced techniques for [...] Read more.
While numerous extraction methods have been applied to the brown algae Saccharina latissima, a systematic evaluation of how individual extraction parameters influence the extraction of each target polysaccharide has not previously been reported. Accordingly, this study compared conventional and advanced techniques for extracting fucoidan, laminarin, and alginate from pre-treated biomass. Conventional methods employed diluted acid (0.01 M and 0.1 M HCl), diluted alkali (0.01 M and 0.1 M NaOH), and hot water (121 °C for 30/60 min) for extraction. Advanced techniques involved pressurized liquid extraction (PLE) using water and moderate electric field (MEF) extraction with conditions optimized by statistical experimental design. Pre-treatment with aqueous ethanol removed 30% ash and eliminated mannitol, improving extraction selectivity. The results demonstrated fucoidan yields of 31% with 0.01 M HCl and 46% with 0.1 M NaOH, while 0.01 M NaOH facilitated laminarin co-extraction (45%). Alginate, as a mannuronic acid polymer, was obtained at 9% yield with 0.1 M HCl, 42% yield with 0.1 M NaOH, and 27% with pressurized hot water for 30 min. High-temperature, short-duration PLE further improved alginate yield, while MEF showed limited gains due to high ionic content but demonstrated potential under optimized settings. The results support a cascading biorefinery approach in which different polysaccharide fractions can be sequentially obtained, contributing to more sustainable seaweed valorization. Full article
(This article belongs to the Special Issue Polysaccharides from Marine Environment)
Show Figures

Figure 1

10 pages, 435 KB  
Communication
Application of Sequential Extraction Using Pressurized Fluids to Obtain Compounds from Pereskia aculeata Leaves
by Fernanda Rengel dos Passos, Mônica Lady Fiorese, Edson Antonio da Silva, Oscar de Oliveira Santos Junior, Lúcio Cardozo-Filho and Camila da Silva
Plants 2025, 14(13), 1956; https://doi.org/10.3390/plants14131956 - 26 Jun 2025
Cited by 1 | Viewed by 902
Abstract
The aim of this study was to use high-pressure extraction methods to obtain compounds of different classes from the leaves of Pereskia aculeata Mill. For this purpose, Supercritical Fluid Extraction (SFE) and Pressurized Liquid Extraction (PLE) were used. SFE was performed with Pereskia [...] Read more.
The aim of this study was to use high-pressure extraction methods to obtain compounds of different classes from the leaves of Pereskia aculeata Mill. For this purpose, Supercritical Fluid Extraction (SFE) and Pressurized Liquid Extraction (PLE) were used. SFE was performed with Pereskia aculeata leaves to evaluate the application of propane and carbon dioxide as solvents, and the residual biomass from this stage was used in PLE with hydroethanolic solvent. The extracts were characterized in relation to the content of phenolic compounds, antioxidant potential and content of nonpolar compounds. In the first stage, despite the low yield (1.09–1.94%) compared to PLE (16.56–19.26%), the extracts presented a high content of lipophilic compounds (squalene, octacosanol, α-tocopherol and β-sitosterol) compared to the PLE technique. The sequential extraction process benefited the greater recovery of phenolic compounds and extracts with greater antioxidant potential. Caffeic and nicotinic acids were the major compounds identified in the phenolic profile. The processes applied did not influence the protein content of the final extraction residue, which was similar to that of the in natura leaf. The results and approach demonstrate that sequential extraction is an excellent alternative for the use of Pereskia aculeata, which allows for the production of extracts with varied composition and/or extracts with greater recovery of compounds available in the plant. Full article
Show Figures

Graphical abstract

17 pages, 1156 KB  
Article
An Integrated Biorefinery Process to Revalorize Marine Biomass from the Microalga Nannochloropsis gaditana Using Pressurized Green Solvents
by Cristina Blanco-Llamero, Paz García-García and Francisco Javier Señoráns
Mar. Drugs 2025, 23(7), 263; https://doi.org/10.3390/md23070263 - 23 Jun 2025
Viewed by 1415
Abstract
Biorefinery is gaining attention as a promising approach to valorize natural resources and promote a circular bioeconomy. This study aimed to recover high-value molecules, such as xanthophylls and polar lipids with nutraceutical applications, through enzymatic pretreatment and sequential pressurized liquid extraction (PLEseq), by [...] Read more.
Biorefinery is gaining attention as a promising approach to valorize natural resources and promote a circular bioeconomy. This study aimed to recover high-value molecules, such as xanthophylls and polar lipids with nutraceutical applications, through enzymatic pretreatment and sequential pressurized liquid extraction (PLEseq), by reusing the residual biomass of Nannochloropsis gaditana after each processing step. Remarkably, pure glycolipids (102.95 ± 1.10 mg g−1 dry weight) were obtained immediately after enzymatic pretreatment, facilitating their easy recovery. Furthermore, two alternative sequential extraction processes were successfully developed, using ethanol and water as green solvents at varying temperatures and in different orders. The most effective PLEseq conditions yielded up to 48 mg mL−1 of carbohydrates using water at 50 °C, and up to 44 mg mL−1 of proteins via subcritical water extraction at 100 °C, prior to conventional lipid extraction with ethanol to produce various concentrated extracts. In the inverted PLEseq process—starting with ethanol extraction followed by successive water washes—isolated and purified fractions of lutein and astaxanthin were obtained, contributing to the complete depletion of the residual biomass. Overall, the development of an integrated and sequential biorefinery protocol that enables the extraction of multiple high-value compounds holds significant potential for application in the food industry. Full article
(This article belongs to the Special Issue Marine Biorefinery for Bioactive Compounds Production)
Show Figures

Graphical abstract

24 pages, 2134 KB  
Article
Recovery of Bioactive Constituents from Olive Leaf Pruning Waste of Five Different Cultivars: A Comparison of Green Extraction Techniques to Maximize Health Benefits
by Hamid Mushtaq, Simona Piccolella, Jose A. Mendiola, Lidia Montero, Elena Ibáñez and Severina Pacifico
Foods 2025, 14(2), 297; https://doi.org/10.3390/foods14020297 - 17 Jan 2025
Cited by 5 | Viewed by 2224
Abstract
Sustainable agro-waste revaluation is critical to enhance the profitability and environmental footprint of the olive oil industry. Herein, the valorization of olive leaf pruning waste from five cultivars (‘Caiazzana’, ‘Carolea’, ‘Itrana’, ‘Leccino’, and ‘Frantoio’) employed green extraction methods to recover compounds with potential [...] Read more.
Sustainable agro-waste revaluation is critical to enhance the profitability and environmental footprint of the olive oil industry. Herein, the valorization of olive leaf pruning waste from five cultivars (‘Caiazzana’, ‘Carolea’, ‘Itrana’, ‘Leccino’, and ‘Frantoio’) employed green extraction methods to recover compounds with potential health benefits. Sequential ultrasound-assisted maceration (UAM) in n-hexane and ethanol was compared with a compressed fluid extraction strategy consisting of supercritical fluid extraction (SFE) and pressurized liquid extraction (PLE) for their efficiency in recovering distinct classes of bioactives. Chemical profiling by UHPLC-HR-MS/MS (ultra-high-performance liquid chromatography high-resolution tandem mass spectrometry) and GC-MS (gas chromatography mass spectrometry) showed that UAM-EtOH effectively extracted polyphenols (especially luteolin derivatives) and triterpenes (notably maslinic acid), while PLE yielded the highest amount of secoiridoids (e.g., secologanoside). PLE extracts showed better antiradical activities, putatively due to a higher content of flavonoids, secoiridoids, and HCA derivatives than UAM-EtOH ones, as these latter also contained 20–40% (cultivar-dependent) of triterpenes. SFE extracts with a higher concentration of fatty acids and triterpenes showed moderate antioxidant activities but very high AChE inhibition. This study highlights the importance of selecting appropriate extraction methodologies based on the target bioactive compounds and underscores the potential of olive leaf extracts for sustainable bio-products. Full article
Show Figures

Graphical abstract

26 pages, 1328 KB  
Article
Sequential Obtention of Blood–Brain Barrier-Permeable Non-Polar and Polar Compounds from Salvia officinalis L. and Eucalyptus globulus Labill. with Neuroprotective Purposes
by Enrico Romano, Gloria Domínguez-Rodríguez, Luisa Mannina, Alejandro Cifuentes and Elena Ibáñez
Int. J. Mol. Sci. 2025, 26(2), 601; https://doi.org/10.3390/ijms26020601 - 12 Jan 2025
Cited by 3 | Viewed by 2599
Abstract
This study investigates the biorefinery approach to extracting blood–brain barrier (BBB)-permeable compounds from Eucalyptus globulus Labill. and Salvia officinalis L. for neuroprotective purposes. A sequential extraction process was applied, starting with supercritical CO2 extraction (SC-CO2) to obtain non-polar terpenoids, followed [...] Read more.
This study investigates the biorefinery approach to extracting blood–brain barrier (BBB)-permeable compounds from Eucalyptus globulus Labill. and Salvia officinalis L. for neuroprotective purposes. A sequential extraction process was applied, starting with supercritical CO2 extraction (SC-CO2) to obtain non-polar terpenoids, followed by pressurized natural deep eutectic solvent extraction (PLE-NaDES) to recover phenolic compounds from the SC-CO2 residue. PLE-NaDES extracts exhibited higher antioxidant and anticholinergic capacities than SC-CO2 extracts for both plants, with S. officinalis extracts being more bioactive than E. globulus extracts. A total of 21 terpenoids were identified using gas chromatography–mass spectrometry from E. globulus while 24 were detected from S. officinalis SC-CO2 extracts. In addition, 25 different phenolic compounds were identified in both plants using high-performance liquid chromatography coupled with mass spectrometry from PLE-NaDES extracts. The study of the permeability across the BBB showed limited permeability for non-polar compounds obtained by SC-CO2 from both plants; however, the more polar compounds obtained by PLE-NaDES showed high permeability, particularly for flavonoids in E. globulus and rosmarinic acid in S. officinalis. This study revealed, for the first time, the antioxidant and neuroprotective potential of S. officinalis and E. globulus extracts obtained using SC-CO2 followed by PLE-NaDES, as well as the high permeability of PLE-NaDES extracts when crossing the BBB to exert their protective effects. This research opens a new pathway for exploring alternatives to current drugs used in treating neurodegenerative diseases. Full article
Show Figures

Figure 1

21 pages, 3141 KB  
Article
Biorefining Brazilian Green Propolis: An Eco-Friendly Approach Based on a Sequential High-Pressure Extraction for Recovering High-Added-Value Compounds
by Guilherme Dallarmi Sorita, Wilson Daniel Caicedo Chacon, Monique Martins Strieder, Camilo Rodriguez-García, Alcilene Monteiro Fritz, Silvani Verruck, Germán Ayala Valencia and José A. Mendiola
Molecules 2025, 30(1), 189; https://doi.org/10.3390/molecules30010189 - 6 Jan 2025
Cited by 7 | Viewed by 2923
Abstract
Propolis is a valuable natural resource for extracting various beneficial compounds. This study explores a sustainable extraction approach for Brazilian green propolis. First, supercritical fluid extraction (SFE) process parameters were optimized (co-solvent: 21.11% v/v CPME, and temperature: 60 °C) to maximize [...] Read more.
Propolis is a valuable natural resource for extracting various beneficial compounds. This study explores a sustainable extraction approach for Brazilian green propolis. First, supercritical fluid extraction (SFE) process parameters were optimized (co-solvent: 21.11% v/v CPME, and temperature: 60 °C) to maximize yield, total phenolic content (TPC), antioxidant capacity, and LOX (lipoxygenase) inhibitory activity. GC–MS analysis identified 40 metabolites in SFE extracts, including fatty acids, terpenoids, phenolics, and sterols. After selecting the optimum SFE process parameters, a sequential high-pressure extraction (HPE) approach was developed, comprising SFE, pressurized liquid extraction (PLE) with EtOH/H2O, and subcritical water extraction (SWE). This process was compared to a similar sequential extraction using low-pressure extractions (LPE) with a Soxhlet extractor. The HPE process achieved a significantly higher overall yield (80.86%) than LPE (71.43%). SFE showed higher selectivity, resulting in a lower carbohydrate content in the non-polar fraction, and PLE extracted nearly twice the protein amount of LPE–2. Despite the HPE selectivity, LPE extracts exhibited better acetylcholinesterase (AChE), butyrylcholinesterase (BChE), and LOX inhibition, demonstrating that the neuroprotective and anti-inflammatory activity of the extracts may be associated with a symbiosis of a set of compounds. Finally, a comprehensive greenness assessment revealed that the HPE process proved more sustainable and aligned with green chemistry principles than the LPE method. Full article
(This article belongs to the Special Issue Bioactive Molecules in Foods: From Sources to Functional Applications)
Show Figures

Graphical abstract

22 pages, 3532 KB  
Article
Optimization of a Chlorella vulgaris-Based Carbon Sequestration Technique Using an Alkaline Medium of Wood Biomass Ash Extract
by György Fekete, Szandra Klátyik, András Sebők, Anna Boglárka Dálnoki, Anita Takács, Miklós Gulyás, Imre Czinkota, András Székács, Csaba Gyuricza and László Aleksza
Water 2024, 16(24), 3696; https://doi.org/10.3390/w16243696 - 21 Dec 2024
Cited by 4 | Viewed by 5190
Abstract
Algae communities as primary producers are essential elements of aquatic ecosystems and contribute significantly to oxygen production, carbon dioxide fixation, and nutrient transport processes in water bodies. The use of algae-based carbon capture and storage technologies does not produce harmful by-products that require [...] Read more.
Algae communities as primary producers are essential elements of aquatic ecosystems and contribute significantly to oxygen production, carbon dioxide fixation, and nutrient transport processes in water bodies. The use of algae-based carbon capture and storage technologies does not produce harmful by-products that require disposal, and the resulting algal biomass can be valuable across various industrial sectors. In this study, model experiments were conducted to develop sequential absorption–microalgae hybrid CO2-capture methods. To facilitate CO2 capture from flue gases, wood biomass ash (WBA), an agricultural by-product, was utilized for its alkaline properties, while the flue gas scrubbing medium was regenerated by algae that restored alkalinity during their growth. In our experiments, one of our goals was to determine the optimal conditions for achieving maximum algal biomass growth in the shortest possible time. The suitability of WBA for flue gas cleaning was tested via simulation of CO2 introduction. Moreover, a method was developed to determine the dissolved inorganic carbon content with the use of an OxiTop device monitoring the changes in pressure. The applied device was a closed, static, and pressure-based respirometer originally designed to determine the biological activity of microorganisms in both solid and liquid samples. In addition, the effects of CO2-enriched WBA extract on algae cultivation were also analyzed, confirming that it imposed no growth inhibition and identifying the concentration (10% WBA) that optimally promoted algal growth. The optimal initial algal concentration and nutrient conditions for maximum growth were also determined. Full article
(This article belongs to the Special Issue Microalgae Control and Utilization: Challenges and Perspectives)
Show Figures

Figure 1

31 pages, 2120 KB  
Review
Emerging Trends in Green Extraction Techniques for Bioactive Natural Products
by Muhammad Usman, Mayuko Nakagawa and Shuo Cheng
Processes 2023, 11(12), 3444; https://doi.org/10.3390/pr11123444 - 16 Dec 2023
Cited by 116 | Viewed by 20104
Abstract
This review explores eco-friendly methods for extracting bioactive natural products from diverse sources. The introductory exploration emphasizes the increasing demand for sustainable extraction methods, with a focus on the environmental impact of conventional approaches. Addressing existing knowledge gaps, this review outlines the key [...] Read more.
This review explores eco-friendly methods for extracting bioactive natural products from diverse sources. The introductory exploration emphasizes the increasing demand for sustainable extraction methods, with a focus on the environmental impact of conventional approaches. Addressing existing knowledge gaps, this review outlines the key objectives of evaluating various green extraction technologies, including supercritical fluid extraction, pressurized liquid extraction, ultrasound-assisted extraction, enzyme-assisted extraction, and others. The primary findings underscore the remarkable potential and advancements achieved with green solvents, specifically deep eutectic solvents and bio-based solvents. This review elucidates the synergistic effects achieved by combining different extraction techniques, exemplified by ultrasound-microwave-assisted extraction and sequential supercritical fluid and pressurized liquid extraction, among others. Notwithstanding the promising results, this review emphasizes the importance of acknowledging and addressing challenges such as standardization, selectivity, scalability, and economic viability. Full article
Show Figures

Graphical abstract

15 pages, 2774 KB  
Article
Green Extraction of Antioxidant Fractions from Humulus lupulus Varieties and Microparticle Production via Spray-Drying
by Tania Ferreira-Anta, María Dolores Torres, Jose Manuel Vilarino, Herminia Dominguez and Noelia Flórez-Fernández
Foods 2023, 12(20), 3881; https://doi.org/10.3390/foods12203881 - 23 Oct 2023
Cited by 2 | Viewed by 2306
Abstract
The formulation of polymeric microparticles to encapsulate bioactive compounds from two hop varieties (Nugget and Perle) using sequential green extraction processes was performed. The technologies used were ultrasound-assisted extraction (UAE) and pressurized hot water (PHW) extraction. Liquid phases were analyzed for total phenolic [...] Read more.
The formulation of polymeric microparticles to encapsulate bioactive compounds from two hop varieties (Nugget and Perle) using sequential green extraction processes was performed. The technologies used were ultrasound-assisted extraction (UAE) and pressurized hot water (PHW) extraction. Liquid phases were analyzed for total phenolic content (~2%), antioxidant activity (IC50, DPPH: 3.68 (Nugget); 4.46 (Perle) g/L, TEAC (~4–5%), FRAP (~2–3%), and reducing power (~4%)), protein content (~1%), oligosaccharide content (~45%), and for structural features. The fractions obtained from UAE were selected to continue with the drying process, achieving the maximum yield at 120 °C (Perle) and 130 °C (Nugget) (~77%). Based on these results, the formulation of polymeric microparticles using mannitol as the carrier was performed with these fractions. The production yield (~65%), particle size distribution (Perle: 250–750 µm and Nugget: ~100 µm), and rheological features (30–70 mPa s at 0.1 s−1) were the parameters evaluated. The UAE extracts from hop samples processed using a sustainable aqueous treatment allowed the formulation of microparticles with a suitable yield, and morphological and viscosity properties adequate for potential food and non-food applications. Full article
(This article belongs to the Special Issue Extraction Technology and Characters of Bioactive Substances in Foods)
Show Figures

Figure 1

14 pages, 1341 KB  
Article
Assessment of Micro- and Nanoplastic Composition (Polymers and Additives) in the Gastrointestinal Tracts of Ebro River Fishes
by Maria Garcia-Torné, Esteban Abad, David Almeida, Marta Llorca and Marinella Farré
Molecules 2023, 28(1), 239; https://doi.org/10.3390/molecules28010239 - 28 Dec 2022
Cited by 16 | Viewed by 3367
Abstract
One of the main routes of fish exposure to micro- and nanoplastics (MNPLs) is their ingestion. MNPLs can act as reservoirs of organic contaminants that are adsorbed onto their surfaces, or that can leach from their complex formulations, with potential impacts on biota [...] Read more.
One of the main routes of fish exposure to micro- and nanoplastics (MNPLs) is their ingestion. MNPLs can act as reservoirs of organic contaminants that are adsorbed onto their surfaces, or that can leach from their complex formulations, with potential impacts on biota and along the aquatic food chain. While MNPLs have been reported in fishes worldwide, complete information on MNPL compositions, polymers and additives continues to be scarce. In this work, the presence of MNPLs in the gastrointestinal tracts (GIT) of fish from the Ebro River (Spain) was investigated using a double suspected screening approach to assess and quantify polymers and additives. The sample-preparation procedure consisted of sequential alkaline and acidic digestions with KOH and HNO3, followed by ultrasonic-assisted extraction (USAE) with toluene. The analysis of polymers was carried out with size-exclusion chromatography followed by high-resolution mass spectrometry using an atmospheric pressure photoionization source, operating in negative and positive ionisation modes (SEC-(±)-APPI-HRMS) using full-scan acquisition (FS). Plastic additives were assessed using high-performance liquid chromatography with a C18 analytical column coupled to HRMS equipped with an electrospray ionisation source operating under positive and negative conditions (LC-(±ESI)-HRMS). The acquisition was performed in parallel with full-scan (FS) and data-dependent scan (ddMS2) modes, working under positive and negative ionisation modes. The polymers most frequently detected and quantified in fish GITs were polysiloxanes, polyethylene (PE), polypropylene (PP) and polystyrene (PS). PE was detected in 84% of the samples, with a concentration range from 0.55 to 3545 µg/g. On the other hand, plasticisers such as phthalates and stabilisers such as benzotriazoles were the most frequently identified plastic additives. Full article
Show Figures

Figure 1

13 pages, 1108 KB  
Article
Enhanced Antioxidant Capacity of Puffed Turmeric (Curcuma longa L.) by High Hydrostatic Pressure Extraction (HHPE) of Bioactive Compounds
by Yohan Choi, Wooki Kim, Joo-Sung Lee, So Jung Youn, Hyungjae Lee and Moo-Yeol Baik
Foods 2020, 9(11), 1690; https://doi.org/10.3390/foods9111690 - 18 Nov 2020
Cited by 26 | Viewed by 5922
Abstract
Turmeric (Curcuma longa L.) is known for its health benefits. Several previous studies revealed that curcumin, the main active compound in turmeric, has antioxidant capacity. It has been previously demonstrated that puffing, the physical processing using high heat and pressure, of turmeric [...] Read more.
Turmeric (Curcuma longa L.) is known for its health benefits. Several previous studies revealed that curcumin, the main active compound in turmeric, has antioxidant capacity. It has been previously demonstrated that puffing, the physical processing using high heat and pressure, of turmeric increases the antioxidant and anti-inflammatory activities by increasing phenolic compounds in the extract. The current study sought to determine if high hydrostatic pressure extraction (HHPE), a non-thermal extraction at over 100 MPa, aids in the chemical changes and antioxidant functioning of turmeric. 2,2-diphenyl-1-picrylhydrazyl (DPPH), 2,2′-azino-bis (3-ethylbenzothiazoline-6-sulphonic acid) (ABTS), and ferric reducing antioxidant power (FRAP) analyses were conducted and assessed the content of total phenol compounds in the extract. The chemical changes of curcuminoids were also determined by high performance liquid chromatography (HPLC). Among the three variables of ethanol concentration, pressure level, and treatment time, ethanol concentration was the most influential factor for the HHPE of turmeric. HHPE at 400 MPa for 20 min with 70% EtOH was the optimal extraction condition for the highest antioxidant activity. Compositional analysis revealed that 2-methoxy-4-vinylphenol was produced by puffing. Vanillic acid and ferulic acid content increased with increasing HHPE time. Synergistic effect was not observed on antioxidant activity when the turmeric was sequentially processed using puffing and HHPE. Full article
(This article belongs to the Special Issue Emerging Non-Thermal Food Processing Technologies)
Show Figures

Figure 1

16 pages, 1007 KB  
Article
The Impact of Temperature and Ethanol Concentration on the Global Recovery of Specific Polyphenols in an Integrated HPLE/RP Process on Carménère Pomace Extracts
by Nils Leander Huaman-Castilla, Maximiliano Martínez-Cifuentes, Conrado Camilo, Franco Pedreschi, María Mariotti-Celis and José Ricardo Pérez-Correa
Molecules 2019, 24(17), 3145; https://doi.org/10.3390/molecules24173145 - 29 Aug 2019
Cited by 63 | Viewed by 6556
Abstract
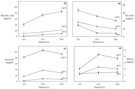
Sequential extraction and purification stages are required to obtain extracts rich in specific polyphenols. However, both separation processes are often optimized independently and the effect of the integrated process on the global recovery of polyphenols has not been fully elucidated yet. We assessed [...] Read more.
Sequential extraction and purification stages are required to obtain extracts rich in specific polyphenols. However, both separation processes are often optimized independently and the effect of the integrated process on the global recovery of polyphenols has not been fully elucidated yet. We assessed the impact of hot-pressurized liquid extraction (HPLE) conditions (temperature: 90–150 °C; ethanol concentration: 15%–50%) on the global recovery of specific phenolic acids, flavanols, flavonols and stilbenes from Carménère grape pomace in an integrated HPLE/resin purification (RP) process. HPLE of phenolic acids, flavanols and stilbenes were favored when temperature and ethanol concentration increased, except for chlorogenic acid which showed an increment of its Gibbs free energy of solvation at higher ethanol contents. Ethanol concentration significantly impacted the global yield of the integrated HPLE/RP process. The lower the ethanol content of the HPLE extracts, the higher the recovery of phenolic acids, flavanols and stilbenes after RP, except for flavonols which present more polar functional groups. The best specific recovery conditions were 150 °C and ethanol concentrations of 15%, 32.5% and 50% for phenolic acids, flavanols and stilbenes, and flavonols, respectively. At 150 °C and 32.5% of ethanol, the extracts presented the highest total polyphenol content and antioxidant capacity. The integrated HPLE/RP process allows a selective separation of specific polyphenols and eliminates the interfering compounds, ensuring the safety of the extracts at all evaluated conditions. Full article
(This article belongs to the Section Natural Products Chemistry)
Show Figures

Graphical abstract

22 pages, 1014 KB  
Review
Rapid Solid-Liquid Dynamic Extraction (RSLDE): A Powerful and Greener Alternative to the Latest Solid-Liquid Extraction Techniques
by Daniele Naviglio, Pierpaolo Scarano, Martina Ciaravolo and Monica Gallo
Foods 2019, 8(7), 245; https://doi.org/10.3390/foods8070245 - 5 Jul 2019
Cited by 138 | Viewed by 16615
Abstract
Traditionally, solid-liquid extractions are performed using organic and/or inorganic liquids and their mixtures as extractant solvents in contact with an insoluble solid matrix (e.g., the Soxhlet method) or using sequential atmospheric pressure systems that require long procedures, such as maceration or percolation. The [...] Read more.
Traditionally, solid-liquid extractions are performed using organic and/or inorganic liquids and their mixtures as extractant solvents in contact with an insoluble solid matrix (e.g., the Soxhlet method) or using sequential atmospheric pressure systems that require long procedures, such as maceration or percolation. The objective of this procedure is the extraction of any compounds that can be carried out from the inner solid material to the outlet, resulting in a solution containing colorants, bioactive compounds, odorous substances, etc. Over the years, in the extraction techniques sector, there have been many important changes from the points of view of production, quality, and human and environmental safety due to improvements in technology. In more recent times, the interest of the scientific community has been aimed at the study of sustainable processes for the valorization of extracts from vegetables and food by-products, through the use of non-conventional (innovative) technologies that represent a valid alternative to conventional methods, generally through saving time and energy and the formation of fewer by-products. Therefore, with the development of principles based on the prevention of pollution, on a lower risk for human health, and on a low environmental impact, new systems have been implemented to reduce extraction times and solvent consumption, to improve efficiency, and to increase the productivity of the extracts. From this point of view, rapid solid-liquid dynamic extraction (RSLDE), performed using the Naviglio extractor, compared to traditional applications, is a technique that is able to reduce extraction times, generally leads to higher yields, does not require heating of the system, allows one to extract the active ingredients, and avoids their degradation. This technique is based on a new solid-liquid extraction principle named Naviglio’s principle. In this review, after reviewing the latest extraction techniques, an overview of RSLDE applications in various research and production sectors over the past two decades is provided. Full article
(This article belongs to the Special Issue Application of Analytical Chemistry to Foods and Food Technology)
Show Figures

Graphical abstract

10 pages, 4648 KB  
Article
Antiproliferative Activity of Neem Leaf Extracts Obtained by a Sequential Pressurized Liquid Extraction
by Klebson S. Santos, Andriele M. Barbosa, Victor Freitas, Ana Veruska C. S. Muniz, Marcelo C. Mendonça, Ricardo C. Calhelha, Isabel C. F. R. Ferreira, Elton Franceschi, Francine F. Padilha, Maria Beatriz P. P. Oliveira and Cláudio Dariva
Pharmaceuticals 2018, 11(3), 76; https://doi.org/10.3390/ph11030076 - 30 Jul 2018
Cited by 19 | Viewed by 6898
Abstract
Azadirachta indica A. Juss (neem) extracts have been used in pharmaceutical applications as antitumor agents, due to their terpenes and phenolic compounds. To obtain extracts from neem leaves with potential antiproliferative effect, a sequential process of pressurized liquid extraction was carried out in [...] Read more.
Azadirachta indica A. Juss (neem) extracts have been used in pharmaceutical applications as antitumor agents, due to their terpenes and phenolic compounds. To obtain extracts from neem leaves with potential antiproliferative effect, a sequential process of pressurized liquid extraction was carried out in a fixed bed extractor at 25 °C and 100 bar, using hexane (SH), ethyl acetate (SEA), and ethanol (SE) as solvents. Extractions using only ethanol (EE) was also conducted to compare the characteristics of the fractionated extracts. The results obtained by liquid chromatography-electrospray ionization mass spectrometry suggested a higher concentration of terpenes in the SEA extract in comparison to SH, SE, and EE extracts. Therefore, antiproliferative activity showed that SEA extracts were the most efficient inhibitor to human tumor cells MCF-7, NCI-H460, HeLa, and HepG2. Hepatocellular cells were more resistant to SH, SEA, SE, and EE compared to breast, lung, hepatocellular, and cervical malignant cells. Neem fractioned extracts obtained in the present study seem to be more selective for malignant cells compared to the non-tumor cells. Full article
Show Figures

Figure 1

Back to TopTop