Sign in to use this feature.

Years

Between: -

Subjects

remove_circle_outline
remove_circle_outline
remove_circle_outline
remove_circle_outline
remove_circle_outline
remove_circle_outline
remove_circle_outline
remove_circle_outline
remove_circle_outline

Journals

remove_circle_outline
remove_circle_outline
remove_circle_outline

Article Types

Countries / Regions

remove_circle_outline
remove_circle_outline
remove_circle_outline

Search Results (181)

Search Parameters:
Keywords = sequences of linear transformations

Order results
Result details
Results per page
Select all
Export citation of selected articles as:
26 pages, 2984 KB  
Article
ICEEMDAN- and LSTM-Enhanced Hybrid Cosine-Attention iTransformer for Ultra-Short-Term Load Forecasting
by Xiangdong Meng, Jiarui Wang, Dexin Li, Haifeng Zhang, Qiran Sun and Hui Wang
Electronics 2025, 14(24), 4857; https://doi.org/10.3390/electronics14244857 - 10 Dec 2025
Viewed by 89
Abstract
Accurate power system load forecasting is the core prerequisite for guaranteeing the safe and stable operation of power grids and supporting the efficient scheduling of power systems. To improve the accuracy of load forecasting and portray the non-stationarity and multi-scale characteristics of the [...] Read more.
Accurate power system load forecasting is the core prerequisite for guaranteeing the safe and stable operation of power grids and supporting the efficient scheduling of power systems. To improve the accuracy of load forecasting and portray the non-stationarity and multi-scale characteristics of the load sequence, this paper proposes a short-term load forecasting method based on ICEEMDAN decomposition-LSTM feature extraction-hybrid cosine attention mechanism iTransformer. Firstly, the original load sequence is decomposed using the Improved Complete Ensemble Empirical Modal Decomposition (ICEEMDAN) to extract the intrinsic modal function (IMF) and residuals (Res), and the multidimensional input feature set is constructed by combining exogenous variables such as meteorology. Secondly, multi-source features were extracted using the Long Short-Term Memory (LSTM) network to capture the complex nonlinear correlations and long-term dependencies. Finally, the extracted features are input into the iTransformer model that introduces the hybrid cosine attention mechanism. The hidden feature representation is obtained through the encoder layer modeling, and the linear mapping in the output layer generates the load forecast value. The results show that the prediction method proposed in this paper achieves better performance and can effectively improve the accuracy of short-term load prediction, which provides an effective technical support for the short-term scheduling and flexible operation of the power system. Full article
Show Figures

Figure 1

13 pages, 267 KB  
Article
Solvability of Three-Dimensional Nonlinear Difference Systems via Transformations and Generalized Fibonacci Recursions
by Yasser Almoteri and Ahmed Ghezal
Mathematics 2025, 13(24), 3904; https://doi.org/10.3390/math13243904 - 5 Dec 2025
Viewed by 190
Abstract
This paper presents closed-form solutions for a three-dimensional system of nonlinear difference equations with variable coefficients. The approach employs functional transformations and leverages generalized Fibonacci sequences to construct the solutions explicitly. These solutions reveal a profound connection to generalized Fibonacci recursions. The proposed [...] Read more.
This paper presents closed-form solutions for a three-dimensional system of nonlinear difference equations with variable coefficients. The approach employs functional transformations and leverages generalized Fibonacci sequences to construct the solutions explicitly. These solutions reveal a profound connection to generalized Fibonacci recursions. The proposed method is based on sophisticated mathematical transformations that reduce the complex nonlinear system to a solvable linear form, followed by the derivation of general solutions through iterative techniques and harmonic analysis. Furthermore, we extend our results to a generalized class of systems by introducing flexible functional transformations, while rigorously maintaining the required regularity conditions. The findings demonstrate the effectiveness of this methodology in addressing a broad class of complex nonlinear systems and open new perspectives for modeling multivariate dynamical phenomena. The analysis further reveals two distinct dynamical regimes—an unbounded oscillatory growth phase and a bounded cyclic equilibrium—arising from the relative magnitude of the variable coefficients, thereby highlighting the method’s capacity to characterize both amplifying and self-regulating behaviors within a unified analytical framework. Full article
(This article belongs to the Special Issue Nonlinear Dynamics, Chaos, and Mathematical Physics)
25 pages, 1283 KB  
Article
Achieving Enhanced Spectral Efficiency for Constant Envelope Transmission in CP-OFDMA Framework
by Zhuhong Zhu, Yiming Zhu, Xiaodong Xu, Wenjin Wang, Li Chai and Yi Zheng
Sensors 2025, 25(23), 7257; https://doi.org/10.3390/s25237257 - 28 Nov 2025
Viewed by 421
Abstract
Orthogonal frequency-division multiplexing (OFDM) has been adopted as the baseline waveform for sixth-generation (6G) networks owing to its robustness and high spectral efficiency. However, its inherently high peak-to-average power ratio (PAPR) limits power amplifier efficiency and causes nonlinear distortion, particularly in power- and [...] Read more.
Orthogonal frequency-division multiplexing (OFDM) has been adopted as the baseline waveform for sixth-generation (6G) networks owing to its robustness and high spectral efficiency. However, its inherently high peak-to-average power ratio (PAPR) limits power amplifier efficiency and causes nonlinear distortion, particularly in power- and cost-constrained 6G scenarios. To address these challenges, we propose a constant-envelope cyclic-prefix OFDM (CE-CP-OFDM) transceiver under the CP-OFDMA framework, which achieves high spectral efficiency while maintaining low PAPR. Specifically, we introduce a spectrally efficient subcarrier mapping scheme with partial frequency overlap and establish a multiuser received signal model under frequency-selective fading channels. Subsequently, to minimize channel estimation error, we develop an optimal multiuser CE pilot design by exploiting frequency-domain phase shifts and generalized discrete Fourier transform-based time-domain sequences. For large-scale multiuser scenarios, a joint delay–frequency-domain channel estimation method is proposed, complemented by a low-complexity linear minimum mean square error (LMMSE) estimator in the delay domain. To mitigate inter-symbol and multiple-access interference, we further design an iterative frequency-domain LMMSE (FD-LMMSE) equalizer based on the multiuser joint received-signal model. Numerical results demonstrate that the proposed CE-CP-OFDM transceiver achieves superior bit-error-rate performance compared with conventional waveforms while maintaining high spectral efficiency. Full article
(This article belongs to the Section Communications)
Show Figures

Figure 1

21 pages, 3565 KB  
Article
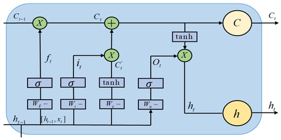
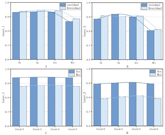
iPro2L-Kresidual: A High-Performance Promoter Identification Model for Sequence Nonlinearity and Context Mining
by Yanjuan Li, Shicai Li, Guojun Sheng and Yu Chen
Genes 2025, 16(12), 1412; https://doi.org/10.3390/genes16121412 - 27 Nov 2025
Viewed by 226
Abstract
A promoter is an important non-coding DNA sequence, as it can regulate gene expression. Its abnormalities are closely associated with various diseases, such as coronary heart disease, diabetes, and tumors. Therefore, promoter identification is highly significant. Due to the insufficient nonlinear feature extraction [...] Read more.
A promoter is an important non-coding DNA sequence, as it can regulate gene expression. Its abnormalities are closely associated with various diseases, such as coronary heart disease, diabetes, and tumors. Therefore, promoter identification is highly significant. Due to the insufficient nonlinear feature extraction and insufficient capture of sequence context relationships, existing single promoter identification models have a lower classification performance. To overcome these shortcomings, this paper proposed a new model called iPro2L-Kresidual. iPro2L-Kresidual integrated a residual structure with a KAN network to design a novel Kresidual module. The Kresidual module significantly enhanced the nonlinear expression capability of sequence features by using B-spline functions and residual networks. Additionally, to fully capture the sequence context relationship, iPro2L-Kresidual improved a Transformer encoder module by replacing the linear processing method with gated recurrent units, so then it can extract both local and global context features of a sequence. Furthermore, iPro2L-Kresidual designed a regularized label smoothing cross-entropy loss function to ensure training stability and prevent the model from becoming overly confident. Experimental results on 5-fold cross-validation showed that the accuracy of promoter identification and promoter strength identification, respectively, was 94.28% and 90.55%. Moreover, on an independent dataset, the prediction accuracy reached 93.13%, further demonstrating the model’s strong generalization ability. This provides a novel and effective predictive model for promoter site prediction. Full article
(This article belongs to the Section Bioinformatics)
Show Figures

Figure 1

22 pages, 9213 KB  
Article
BiMambaHSI: Bidirectional Spectral–Spatial State Space Model for Hyperspectral Image Classification
by Jingquan Mao, Hui Ma and Yanyan Liang
Remote Sens. 2025, 17(22), 3676; https://doi.org/10.3390/rs17223676 - 8 Nov 2025
Viewed by 906
Abstract
Hyperspectral image (HSI) classification requires models that can simultaneously capture spatial structures and spectral continuity. Although state space models (SSMs), particularly Mamba, have shown strong capability in long-sequence modeling, their application to HSI remains limited due to insufficient spectral relation modeling and the [...] Read more.
Hyperspectral image (HSI) classification requires models that can simultaneously capture spatial structures and spectral continuity. Although state space models (SSMs), particularly Mamba, have shown strong capability in long-sequence modeling, their application to HSI remains limited due to insufficient spectral relation modeling and the constraints of unidirectional processing. To address these challenges, we propose BiMambaHSI, a novel bidirectional spectral—spatial framework. First, we proposed a joint spectral—spatial gated mamba (JGM) encoder that applies forward–backward state modeling with input-dependent gating, explicitly capturing bidirectional spectral—spatial dependencies. This bidirectional mechanism explicitly captures long-range spectral—spatial dependencies, overcoming the limitations of conventional unidirectional Mamba. Second, we introduced the spatial—spectral mamba block (SSMB), which employs parallel bidirectional branches to extract spatial and spectral features separately and integrates them through a lightweight adaptive fusion mechanism. This design enhanced spectral continuity, spatial discrimination, and cross-dimensional interactions while preserving the linear complexity of pure SSMs. Extensive experiments on five public benchmark datasets (Pavia University, Houston, Indian Pines, WHU-Hi-HanChuan, and WHU-Hi-LongKou) demonstrate that BiMambaHSI consistently achieves state-of-the-art performance, improving classification accuracy and robustness compared with existing CNN- and Transformer-based methods. Full article
Show Figures

Figure 1

20 pages, 2406 KB  
Article
State-Space and Multi-Scale Convolutional Generative Adversarial Network for Traffic Flow Forecasting
by Wenxie Lin, Zhe Zhang, Yangzhen Zhao, Jinyu Zhang and Gang Ren
Systems 2025, 13(11), 991; https://doi.org/10.3390/systems13110991 - 5 Nov 2025
Viewed by 557
Abstract
Long-sequence traffic flow forecasting plays a crucial role in intelligent transportation systems. However, existing Transformer-based approaches face a quadratic complexity bottleneck in computation and are prone to over-smoothing in deep architectures. This results in overly averaged predictions that fail to capture the peaks [...] Read more.
Long-sequence traffic flow forecasting plays a crucial role in intelligent transportation systems. However, existing Transformer-based approaches face a quadratic complexity bottleneck in computation and are prone to over-smoothing in deep architectures. This results in overly averaged predictions that fail to capture the peaks and troughs of traffic flow. To address these issues, we propose a State-Space Generative Adversarial Network (SSGAN) with a state-space generator and a multi-scale convolutional discriminator. Specifically, a bidirectional Mamba-2 model was designed as the generator to leverage the linear complexity and efficient forecasting capability of state-space models for long-sequence modeling. Meanwhile, the discriminator incorporates a multi-scale convolutional structure to extract traffic features from the frequency domain, thereby capturing flow patterns across different scales, alleviating the over-smoothing issue and enhancing discriminative ability. Through adversarial training, the model is able to better approximate the true distribution of traffic flow. Experiments conducted on four real-world public traffic flow datasets demonstrate that the proposed method outperformed the baselines in both forecasting accuracy and computational efficiency. Full article
Show Figures

Figure 1

16 pages, 1953 KB  
Article
Small-Signal Stability of Large-Scale Integrated Hydro–Wind–Photovoltaic Storage (HWPS) Systems Based on the Linear Time-Periodic (LTP) Method
by Ruikuo Liu, Hong Xiao, Zefei Wu, Jingshu Shi, Bin Wang, Hongqiang Xiao, Depeng Hu, Ziqi Jia, Guojie Zhao and Yingbiao Li
Processes 2025, 13(11), 3500; https://doi.org/10.3390/pr13113500 - 31 Oct 2025
Viewed by 406
Abstract
In recent years, renewable energy generation (RPG) has experienced rapid growth, and large-scale hydro–wind–photovoltaic storage (HWPS) bases have been progressively developed in southwest China, where hydropower resources are abundant. Ensuring the small-signal stability of such large-scale integrated systems has become a critical challenge. [...] Read more.
In recent years, renewable energy generation (RPG) has experienced rapid growth, and large-scale hydro–wind–photovoltaic storage (HWPS) bases have been progressively developed in southwest China, where hydropower resources are abundant. Ensuring the small-signal stability of such large-scale integrated systems has become a critical challenge. While considerable research has focused on the small-signal stability of grid-connected wind, photovoltaic, or energy storage systems (ESSs), studies on the stability of large-scale HWPS bases remain limited. Moreover, emerging grid codes require power electronic devices to maintain synchronization under unbalanced grid conditions. The time-varying rotating transformations introduced by positive-sequence (PS) and negative-sequence (NS) control render the conventional Park transformation ineffective. To address these challenges, this study develops a linear time-periodic (LTP) model of a large-scale HWPS base using trajectory linearization. Based on Floquet theory, the impacts of RPG station and ESS control parameters on system stability are analyzed. The results reveal that under the considered scenario, these control parameters may induce oscillations over a relatively wide frequency range. Specifically, low PLL and DVC bandwidths (BWs) are associated with the risk of low-frequency oscillations, whereas excessively high BWs may lead to sub-synchronous oscillations. The validity of the analysis is verified through comparison with time-domain simulations of the nonlinear model. Full article
Show Figures

Figure 1

28 pages, 6850 KB  
Article
A Robust Coarse-to-Fine Ambiguity Resolution Algorithm for Moving Target Tracking Using Time-Division Multi-PRF Multiframe Bistatic Radars
by Peng Zhao, Pengbo Wang, Tao Tang, Wei Liu, Zhirong Men, Chong Song and Jie Chen
Remote Sens. 2025, 17(21), 3583; https://doi.org/10.3390/rs17213583 - 29 Oct 2025
Viewed by 533
Abstract
The bistatic radar has been widely applied in moving target detection and tracking due to its unique bistatic perspective, low power, and good concealment. With the growing demand for detecting remote and high-speed moving targets, two challenges inevitably arise in the bistatic radar. [...] Read more.
The bistatic radar has been widely applied in moving target detection and tracking due to its unique bistatic perspective, low power, and good concealment. With the growing demand for detecting remote and high-speed moving targets, two challenges inevitably arise in the bistatic radar. The first challenge is the range ambiguity and Doppler ambiguity caused by long-range and high-speed targets. The second challenge is the low signal-to-noise ratio (SNR) of the target caused by insufficient echo power. Addressing these challenges is essential for enhancing the performance of the bistatic radar. This paper proposes a robust two-step ambiguity resolution algorithm for detecting and tracking moving targets using a time-division multiple pulse repetition frequency (PRF) multiframe (TD-MPMF) under the bistatic radar. By exploring the coupling relationship between measurement data under different PRFs and frames, the data in a single frame is divided into multiple subframes to formulate a maximization problem, where each subframe corresponds to a specific PRF. Firstly, all possible state values of the measurement data in each subframe are listed based on the maximum unambiguous range and the maximum unambiguous Doppler. Secondly, a coarse threshold is applied based on prior knowledge of potential targets to filter out candidates. Thirdly, the sequence is transformed from the polar coordinate into the feature transform domain. Based on the linear relationship between the range and velocity of multiple PRFs with moving targets in the feature domain, the support vector machine (SVM) is used to classify the target measurements. By employing the SVM to determine the maximum margin hyperplane, the true target range and Doppler are derived, thereby enabling the generation of the target trajectory. Simulation results show better ambiguity resolution performance and more robust qualities than the traditional algorithm. An experiment using a TD-MPMF bistatic radar is conducted, successfully tracking an aircraft target. Full article
(This article belongs to the Special Issue Advanced Techniques of Spaceborne Surveillance Radar)
Show Figures

Figure 1

19 pages, 2431 KB  
Article
Predicting the Remaining Service Life of Power Transformers Using Machine Learning
by Zimo Gao, Binkai Yu, Jiahe Guang, Shanghua Jiang, Xinze Cong, Minglei Zhang and Lin Yu
Processes 2025, 13(11), 3459; https://doi.org/10.3390/pr13113459 - 28 Oct 2025
Viewed by 723
Abstract
In response to the insufficient adaptability of power transformer remaining useful life (RUL) prediction under complex working conditions and the difficulty of multi-scale feature fusion, this study proposes an industrial time series prediction model based on the parallel Transformer–BiGRU–GlobalAttention model. The parallel Transformer [...] Read more.
In response to the insufficient adaptability of power transformer remaining useful life (RUL) prediction under complex working conditions and the difficulty of multi-scale feature fusion, this study proposes an industrial time series prediction model based on the parallel Transformer–BiGRU–GlobalAttention model. The parallel Transformer encoder captures long-range temporal dependencies, the BiGRU network enhances local sequence associations through bidirectional modeling, the global attention mechanism dynamically weights key temporal features, and cross-attention achieves spatiotemporal feature interaction and fusion. Experiments were conducted based on the public ETT transformer temperature dataset, employing sliding window and piecewise linear label processing techniques, with MAE, MSE, and RMSE as evaluation metrics. The results show that the model achieved excellent predictive performance on the test set, with an MSE of 0.078, MAE of 0.233, and RMSE of 11.13. Compared with traditional LSTM, CNN-BiGRU-Attention, and other methods, the model achieved improvements of 17.2%, 6.0%, and 8.9%, respectively. Ablation experiments verified that the global attention mechanism rationalizes the feature contribution distribution, with the core temporal feature OT having a contribution rate of 0.41. Multiple experiments demonstrated that this method has higher precision compared with other methods. Full article
(This article belongs to the Section Energy Systems)
Show Figures

Figure 1

20 pages, 4429 KB  
Article
ANT-KT: Adaptive NAS Transformers for Knowledge Tracing
by Shuanglong Yao, Yichen Song, Ye Liu, Ji Chen, Deyu Zhao and Xing Wang
Electronics 2025, 14(21), 4148; https://doi.org/10.3390/electronics14214148 - 23 Oct 2025
Viewed by 702
Abstract
Knowledge Tracing aims to assess students’ mastery of knowledge concepts in real time, playing a crucial role in providing personalized learning services in intelligent tutoring systems. In recent years, researchers have attempted to introduce Neural Architecture Search (NAS) into knowledge tracing tasks to [...] Read more.
Knowledge Tracing aims to assess students’ mastery of knowledge concepts in real time, playing a crucial role in providing personalized learning services in intelligent tutoring systems. In recent years, researchers have attempted to introduce Neural Architecture Search (NAS) into knowledge tracing tasks to automatically design more efficient network structures. However, existing NAS-based methods for Knowledge Tracing suffer from excessively large search spaces and slow search efficiency, which significantly constrain their practical applications. To address these limitations, this paper proposes an Adaptive Neural Architecture Search framework based on Transformers for KT, called ANT-KT. Specifically, we design an enhanced encoder that combines convolution operations with state vectors to capture both local and global dependencies in students’ learning sequences. Moreover, an optimized decoder with a linear attention mechanism is introduced to improve the efficiency of modeling long-term student knowledge state evolution. We further propose an evolutionary NAS algorithm that incorporates a model optimization efficiency objective and a dynamic search space reduction strategy, enabling the discovery of high-performing yet computationally efficient architectures. Experimental results on two large-scale real-world datasets, EdNet and RAIEd2020, demonstrate that ANT-KT significantly reduces time costs across all stages of NAS while achieving performance improvements on multiple evaluation metrics, validating the efficiency and practicality of the proposed method. Full article
(This article belongs to the Section Artificial Intelligence)
Show Figures

Figure 1

18 pages, 2949 KB  
Article
UNETR++ with Voxel-Focused Attention: Efficient 3D Medical Image Segmentation with Linear-Complexity Transformers
by Sithembiso Ntanzi and Serestina Viriri
Appl. Sci. 2025, 15(20), 11034; https://doi.org/10.3390/app152011034 - 14 Oct 2025
Viewed by 1473
Abstract
There have been significant breakthroughs in developing models for segmenting 3D medical images, with many promising results attributed to the incorporation of Vision Transformers (ViT). However, the fundamental mechanism of transformers, known as self-attention, has quadratic complexity, which significantly increases computational requirements, especially [...] Read more.
There have been significant breakthroughs in developing models for segmenting 3D medical images, with many promising results attributed to the incorporation of Vision Transformers (ViT). However, the fundamental mechanism of transformers, known as self-attention, has quadratic complexity, which significantly increases computational requirements, especially in the case of 3D medical images. In this paper, we investigate the UNETR++ model and propose a voxel-focused attention mechanism inspired by TransNeXt pixel-focused attention. The core component of UNETR++ is the Efficient Paired Attention (EPA) block, which learns from two interdependent branches: spatial and channel attention. For spatial attention, we incorporated the voxel-focused attention mechanism, which has linear complexity with respect to input sequence length, rather than projecting the keys and values into lower dimensions. The deficiency of UNETR++ lies in its reliance on dimensionality reduction for spatial attention, which reduces efficiency but risks information loss. Our contribution is to replace this with a voxel-focused attention design that achieves linear complexity without low-dimensional projection, thereby reducing parameters while preserving representational power. This effectively reduces the model’s parameter count while maintaining competitive performance and inference speed. On the Synapse dataset, the enhanced UNETR++ model contains 21.42 M parameters, a 50% reduction from the original 42.96 M, while achieving a competitive Dice score of 86.72%. Full article
Show Figures

Figure 1

20 pages, 4773 KB  
Article
Progressive Disease Image Generation with Ordinal-Aware Diffusion Models
by Meryem Mine Kurt, Ümit Mert Çağlar and Alptekin Temizel
Diagnostics 2025, 15(20), 2558; https://doi.org/10.3390/diagnostics15202558 - 10 Oct 2025
Viewed by 822
Abstract
Background/Objectives: Ulcerative Colitis (UC) lacks longitudinal visual data, which limits both disease progression modeling and the effectiveness of computer-aided diagnosis systems. These systems are further constrained by sparse intermediate disease stages and the discrete nature of the Mayo Endoscopic Score (MES). Meanwhile, synthetic [...] Read more.
Background/Objectives: Ulcerative Colitis (UC) lacks longitudinal visual data, which limits both disease progression modeling and the effectiveness of computer-aided diagnosis systems. These systems are further constrained by sparse intermediate disease stages and the discrete nature of the Mayo Endoscopic Score (MES). Meanwhile, synthetic image generation has made significant advances. In this paper, we propose novel ordinal embedding architectures for conditional diffusion models to generate realistic UC progression sequences from cross-sectional endoscopic images. Methods: By adapting Stable Diffusion v1.4 with two specialized ordinal embeddings (Basic Ordinal Embedder using linear interpolation and Additive Ordinal Embedder modeling cumulative pathological features), our framework converts discrete MES categories into continuous progression representations. Results: The Additive Ordinal Embedder outperforms alternatives, achieving superior distributional alignment (CMMD 0.4137, recall 0.6331) and disease consistency comparable to real data (Quadratic Weighted Kappa 0.8425, UMAP Silhouette Score 0.0571). The generated sequences exhibit smooth transitions between severity levels while maintaining anatomical fidelity. Conclusions: This work establishes a foundation for transforming static medical datasets into dynamic progression models and demonstrates that ordinal-aware embeddings can effectively capture disease severity relationships, enabling synthesis of underrepresented intermediate stages. These advances support applications in medical education, diagnosis, and synthetic data generation. Full article
(This article belongs to the Special Issue Computer-Aided Diagnosis in Endoscopy 2025)
Show Figures

Figure 1

35 pages, 4072 KB  
Article
Visual Mamba-Inspired Directionally Gated State-Space Backtracking for Chemical Gas Source Localization
by Jooyoung Park, Daehong Min, Sungjin Cho, Donghee Kang and Hyunwoo Nam
Appl. Sci. 2025, 15(20), 10900; https://doi.org/10.3390/app152010900 - 10 Oct 2025
Viewed by 706
Abstract
Rapidly pinpointing the origin of accidental chemical gas releases is essential for effective response. Prior vision pipelines—such as 3D CNNs, CNN–LSTMs, and Transformer-based ViViT models—can improve accuracy but often scale poorly as the temporal window grows or winds meander. We cast recursive backtracking [...] Read more.
Rapidly pinpointing the origin of accidental chemical gas releases is essential for effective response. Prior vision pipelines—such as 3D CNNs, CNN–LSTMs, and Transformer-based ViViT models—can improve accuracy but often scale poorly as the temporal window grows or winds meander. We cast recursive backtracking of concentration fields as a finite-horizon, multi-step spatiotemporal sequence modelling problem and introduce Recursive Backtracking with Visual Mamba (RBVM), a Visual Mamba-inspired, directionally gated state-space backbone. Each block applies causal, depthwise sweeps along H±, W±, and T± and then fuses them via a learned upwind gate; a lightweight MLP follows. Pre-norm LayerNorm and small LayerScale on both branches, together with a layer-indexed, depth-weighted DropPath, yield stable stacking at our chosen depth, while a 3D-Conv stem and head keep the model compact. Computation and parameter growth scale linearly with the sequence extent and the number of directions. Across a synthetic diffusion corpus and a held-out NBC_RAMS field set, RBVM consistently improves Exact and hit 1 over strong 3D CNN, CNN–LSTM, and ViViT baselines, while using fewer parameters. Finally, we show that, without retraining, a physics-motivated two-peak subtraction on the oldest reconstructed frame enables zero-shot dual-source localization. We believe RBVM provides a compact, linear-time, directionally causal backbone for inverse inference on transported fields—useful not only for gas–release source localization in CBRN response but more broadly for spatiotemporal backtracking tasks in environmental monitoring and urban analytics. Full article
Show Figures

Figure 1

14 pages, 898 KB  
Article
Joint Trajectory and IRS Phase Shift Optimization for Dual IRS-UAV-Assisted Uplink Data Collection in Wireless Sensor Networks
by Heng Zou and Hui Guo
Sensors 2025, 25(20), 6265; https://doi.org/10.3390/s25206265 - 10 Oct 2025
Viewed by 520
Abstract
Intelligent reflecting surface-assisted unmanned aerial vehicles (IRS-UAVs) have been widely applied in various communication scenarios. This paper addressed the uplink communication problem in wireless sensor networks (WSNs) by proposing a novel double IRS-UAVs assisted framework to improve the pairwise sum rate. Specifically, nodes [...] Read more.
Intelligent reflecting surface-assisted unmanned aerial vehicles (IRS-UAVs) have been widely applied in various communication scenarios. This paper addressed the uplink communication problem in wireless sensor networks (WSNs) by proposing a novel double IRS-UAVs assisted framework to improve the pairwise sum rate. Specifically, nodes with relatively short signal transmission distances upload signals via a single-reflection link, while nodes with relatively long distances upload signals through a dual-reflection link involving two IRSs. Within each work cycle, the IRS-UAVs followed a fixed service sequence to cyclically assist all sensor node pairs. We designed a joint optimization algorithm that simultaneously optimized the UAV trajectories and IRS phase shifts to maximize the pairwise sum rate while guaranteeing each node’s transmission rate meets a minimum quality of service (QoS) constraint. Specifically, we introduce slack variables to linearize the inherently nonlinear constraints arising from interdependent variables, thereby transforming each subproblem into a more manageable form. These subproblems are then solved iteratively within a coordinated optimization framework: in each iteration, one subproblem is optimized while keeping variables of others fixed, and the solutions are alternately updated to refine the overall performance. The numerical results show that this algorithm can effectively optimize the flight trajectory of the unmanned aircraft and significantly improve the pairwise total rate of the system. Compared with the two traditional schemes, the average optimization rates are 11.91% and 16.36%. Full article
(This article belongs to the Section Sensor Networks)
Show Figures

Figure 1

27 pages, 3330 KB  
Article
Revealing Short-Term Memory Communication Channels Embedded in Alphabetical Texts: Theory and Experiments
by Emilio Matricciani
Information 2025, 16(10), 847; https://doi.org/10.3390/info16100847 - 30 Sep 2025
Viewed by 508
Abstract
The aim of the present paper is to further develop a theory on the flow of linguistic variables making a sentence, namely, the transformation of (a) characters into words; (b) words into word intervals; and (c) word intervals into sentences. The relationship between [...] Read more.
The aim of the present paper is to further develop a theory on the flow of linguistic variables making a sentence, namely, the transformation of (a) characters into words; (b) words into word intervals; and (c) word intervals into sentences. The relationship between two linguistic variables is studied as a communication channel whose performance is determined by the slope of their regression line and by their correlation coefficient. The mathematical theory is applicable to any field/specialty in which a linear relationship holds between two variables. The signal-to-noise ratio Γ is a figure of merit of a channel being “deterministic”, i.e., a channel in which the scattering of the data around the regression line is negligible. The larger Γ is, the more the channel is “deterministic”. In conclusion, humans have invented codes whose sequences of symbols that make words cannot vary very much when indicating single physical or mental objects of their experience (larger Γ). On the contrary, large variability (smaller Γ) is achieved by introducing interpunctions to make word intervals, and word intervals make sentences that communicate concepts. This theory can inspire new research lines in cognitive science research. Full article
Show Figures

Figure 1

Back to TopTop