Sign in to use this feature.

Years

Between: -

Subjects

remove_circle_outline
remove_circle_outline
remove_circle_outline
remove_circle_outline
remove_circle_outline
remove_circle_outline
remove_circle_outline
remove_circle_outline
remove_circle_outline

Journals

Article Types

Countries / Regions

Search Results (13)

Search Parameters:
Keywords = sensitive object hiding

Order results
Result details
Results per page
Select all
Export citation of selected articles as:
31 pages, 1455 KB  
Article
A User-Centric Context-Aware Framework for Real-Time Optimisation of Multimedia Data Privacy Protection, and Information Retention Within Multimodal AI Systems
by Ndricim Topalli and Atta Badii
Sensors 2025, 25(19), 6105; https://doi.org/10.3390/s25196105 - 3 Oct 2025
Cited by 1 | Viewed by 1698 | Correction
Abstract
The increasing use of AI systems for face, object, action, scene, and emotion recognition raises significant privacy risks, particularly when processing Personally Identifiable Information (PII). Current privacy-preserving methods lack adaptability to users’ preferences and contextual requirements, and obfuscate user faces uniformly. This research [...] Read more.
The increasing use of AI systems for face, object, action, scene, and emotion recognition raises significant privacy risks, particularly when processing Personally Identifiable Information (PII). Current privacy-preserving methods lack adaptability to users’ preferences and contextual requirements, and obfuscate user faces uniformly. This research proposes a user-centric, context-aware, and ontology-driven privacy protection framework that dynamically adjusts privacy decisions based on user-defined preferences, entity sensitivity, and contextual information. The framework integrates state-of-the-art recognition models for recognising faces, objects, scenes, actions, and emotions in real time on data acquired from vision sensors (e.g., cameras). Privacy decisions are directed by a contextual ontology based in Contextual Integrity theory, which classifies entities into private, semi-private, or public categories. Adaptive privacy levels are enforced through obfuscation techniques and a multi-level privacy model that supports user-defined red lines (e.g., “always hide logos”). The framework also proposes a Re-Identifiability Index (RII) using soft biometric features such as gait, hairstyle, clothing, skin tone, age, and gender, to mitigate identity leakage and to support fallback protection when face recognition fails. The experimental evaluation relied on sensor-captured datasets, which replicate real-world image sensors such as surveillance cameras. User studies confirmed that the framework was effective, with over 85.2% of participants rating the obfuscation operations as highly effective, and the other 14.8% stating that obfuscation was adequately effective. Amongst these, 71.4% considered the balance between privacy protection and usability very satisfactory and 28% found it satisfactory. GPU acceleration was deployed to enable real-time performance of these models by reducing frame processing time from 1200 ms (CPU) to 198 ms. This ontology-driven framework employs user-defined red lines, contextual reasoning, and dual metrics (RII/IVI) to dynamically balance privacy protection with scene intelligibility. Unlike current anonymisation methods, the framework provides a real-time, user-centric, and GDPR-compliant method that operationalises privacy-by-design while preserving scene intelligibility. These features make the framework appropriate to a variety of real-world applications including healthcare, surveillance, and social media. Full article
(This article belongs to the Section Intelligent Sensors)
Show Figures

Figure 1

20 pages, 13174 KB  
Article
Secure Delivery Method for Preserving Data Integrity of a Video Frame with Sensitive Objects
by You-Rak Choi and Yunhee Kang
Appl. Sci. 2025, 15(7), 3533; https://doi.org/10.3390/app15073533 - 24 Mar 2025
Cited by 1 | Viewed by 1552
Abstract
Data integrity and authenticity verification are essential requirements to provide reliability for applications running in a video delivery system. We design a prototype system for handling data integrity as well as encoding sensitive objects in a video frame. This system is composed of [...] Read more.
Data integrity and authenticity verification are essential requirements to provide reliability for applications running in a video delivery system. We design a prototype system for handling data integrity as well as encoding sensitive objects in a video frame. This system is composed of two components, a logger and a verifier. The logger operates a cryptography hash function of a feature vector of a video data frame and an XOR encoding scheme used for hiding the privacy information of sensitive objects in the video data frame. The XOR encoding scheme is operated at the encoder as part of the logger. The hash value outputted from the hash function is signed by a private key owned by the logger. It is listed as one of the attributes in the metadata of the video frame. In the key distribution phase for the authenticity verification process, the logger maintains the private key, and the public key is stored on the verifier by handshaking. In order to reduce the processing load for data integrity verification, a hash tree configured for each stream of sensor data is used to minimize the verification time. This paper is mainly focused on the design of a logger for data integrity verification and encoding of sensitive objects. To evaluate performance of the proposed method, we build a prototype in a client–server manner. The designed method is operated on the logger, used to mitigate the risk of video data frame tampering and to significantly help in preserving sensitive objects securely. Full article
(This article belongs to the Special Issue Trusted Service Computing and Trusted Artificial Intelligence)
Show Figures

Figure 1

21 pages, 6346 KB  
Article
Novel Steganographic Method Based on Hermitian Positive Definite Matrix and Weighted Moore–Penrose Inverses
by Selver Pepić, Muzafer Saračević, Aybeyan Selim, Darjan Karabašević, Marija Mojsilović, Amor Hasić and Pavle Brzaković
Appl. Sci. 2024, 14(22), 10174; https://doi.org/10.3390/app142210174 - 6 Nov 2024
Cited by 2 | Viewed by 1423
Abstract
In this paper, we describe the concept of a new data-hiding technique for steganography in RGB images where a secret message is embedded in the blue layer of specific bytes. For increasing security, bytes are chosen randomly using a random square Hermitian positive [...] Read more.
In this paper, we describe the concept of a new data-hiding technique for steganography in RGB images where a secret message is embedded in the blue layer of specific bytes. For increasing security, bytes are chosen randomly using a random square Hermitian positive definite matrix, which is a stego-key. The proposed solution represents a very strong key since the number of variants of positive definite matrices of order 8 is huge. Implementing the proposed steganographic method consists of splitting a color image into its R, G, and B channels and implementing two segments, which take place in several phases. The first segment refers to embedding a secret message in the carrier (image or text) based on the unique absolute elements values of the Hermitian positive definite matrix. The second segment refers to extracting a hidden message based on a stego-key generated based on the Hermitian positive definite matrix elements. The objective of the data-hiding technique using a Hermitian positive definite matrix is to embed confidential or sensitive data within cover media (such as images, audio, or video) securely and imperceptibly; by doing so, the hidden data remain confidential and tamper-resistant while the cover media’s visual or auditory quality is maintained. Full article
Show Figures

Figure 1

23 pages, 2586 KB  
Review
IXPE View of BH XRBs during the First 2.5 Years of the Mission
by Michal Dovčiak, Jakub Podgorný, Jiří Svoboda, James F. Steiner, Philip Kaaret, Henric Krawczynski, Adam Ingram, Vadim Kravtsov, Lorenzo Marra, Fabio Muleri, Javier A. García, Guglielmo Mastroserio, Romana Mikušincová, Ajay Ratheesh and Nicole Rodriguez Cavero
Galaxies 2024, 12(5), 54; https://doi.org/10.3390/galaxies12050054 - 25 Sep 2024
Cited by 17 | Viewed by 3610
Abstract
Accreting stellar-mass black holes represent unique laboratories for studying matter and radiation under the influence of extreme gravity. They are highly variable sources going through different accretion states, showing various components in their X-ray spectra from the thermal emission of the accretion disc [...] Read more.
Accreting stellar-mass black holes represent unique laboratories for studying matter and radiation under the influence of extreme gravity. They are highly variable sources going through different accretion states, showing various components in their X-ray spectra from the thermal emission of the accretion disc dominating in the soft state to the up-scattered Comptonisation component from an X-ray corona in the hard state. X-ray polarisation measurements are particularly sensitive to the geometry of the X-ray scatterings and can thus constrain the orientation and relative positions of the innermost components of these systems. The IXPE mission has observed about a dozen stellar-mass black holes with masses up to 20 solar masses in X-ray binaries with different orientations and in various accretion states. The low-inclination sources in soft states have shown a low fraction of polarisation. On the other hand, several sources in soft and hard states have revealed X-ray polarisation higher than expected, which poses significant challenges for theoretical interpretation, with 4U 1630–47 being one of the most puzzling sources. IXPE has measured the spin of three black holes via the measurement of their polarisation properties in the soft emission state. In each of the three cases, the new results agree with the constraints from the spectral observations. The polarisation observations of the black hole X-ray transient Swift J1727.8–1613 across its entire outburst has revealed that the soft-state polarisation is much weaker than the hard-state polarisation. Remarkably, the observations furthermore show that the polarisation of the bright hard state and that of the 100 times less luminous dim hard state are identical within the accuracy of the measurement. For sources with a radio jet, the electric field polarisation tends to align with the radio jet, indicating the equatorial geometry of the X-ray corona, e.g., in the case of Cyg X–1. In the unique case of Cyg X–3, where the polarisation is perpendicular to the radio jet, the IXPE observations reveal the presence and geometry of obscuring material hiding this object from our direct view. The polarisation measurements acquired by the IXPE mission during its first 2.5 years have provided unprecedented insights into the geometry and physical processes of accreting stellar-mass black holes, challenging existing theoretical models and offering new avenues for understanding these extreme systems. Full article
Show Figures

Figure 1

22 pages, 1835 KB  
Article
A Holistic Approach to Define Important Digital Skills for the Digital Society
by Ioannis Zervas, Emmanouil Stiakakis, Ioannis Athanasiadis and Georgios Tsekouropoulos
Societies 2024, 14(7), 127; https://doi.org/10.3390/soc14070127 - 19 Jul 2024
Cited by 2 | Viewed by 3299
Abstract
Nowadays, transactions carried out with digital currencies are increasing. Modern societies are asked to respond to growing challenges related to the management of digital currencies in their daily lives. However, due to the lack of digital skills of users, the management of digital [...] Read more.
Nowadays, transactions carried out with digital currencies are increasing. Modern societies are asked to respond to growing challenges related to the management of digital currencies in their daily lives. However, due to the lack of digital skills of users, the management of digital currencies hides risks. To the best of our knowledge, the originality of the current research lies in the act of combining the concept of digital skills with the use of digital currencies. After all, the use of digital currencies is constantly increasing, which means that citizens should familiarize themselves with their use, an element that makes this study valuable for digital societies. Digital skills effectively contribute to the development of digital societies because they increase the employment of citizens, facilitate access to information, and contribute to the social inclusion of individuals through digital communication, while also increasing efficiency and productivity in the workplace. Also, the government and banking institutions can more effectively sensitize citizens to digital skills for more effective use of digital currencies. In this way, tax payments will be facilitated, the use of e-wallets will be safer, and e-governance will be greatly promoted, while the quality of banking services will be improved. The methodology of this study was based on the Digital Competence Framework for Modern Societies (DigComp) and was applied through a questionnaire completed by 443 respondents. The main objective was to evaluate their digital skills from the perspective of digital currency use. The analysis of the responses was carried out by using Structural Equation Modeling (SEM). The most important result from this research reveals that users of digital currencies are significantly capable of developing communication to solve everyday problems. At the same time, users of digital currencies mostly detect digital threats and effectively manage fake news without being affected by them. However, users of digital currencies consider that security issues are important, but only for transactions and not for their supporting functions. The study concludes with suggestions for improving the experience of digital currency users through individual actions, thus having a positive impact on the state and banking institutions. Full article
Show Figures

Figure 1

19 pages, 9301 KB  
Article
An Adversarial Attack Method against Specified Objects Based on Instance Segmentation
by Dapeng Lang, Deyun Chen, Sizhao Li and Yongjun He
Information 2022, 13(10), 465; https://doi.org/10.3390/info13100465 - 29 Sep 2022
Cited by 2 | Viewed by 3101
Abstract
The deep model is widely used and has been demonstrated to have more hidden security risks. An adversarial attack can bypass the traditional means of defense. By modifying the input data, the attack on the deep model is realized, and it is imperceptible [...] Read more.
The deep model is widely used and has been demonstrated to have more hidden security risks. An adversarial attack can bypass the traditional means of defense. By modifying the input data, the attack on the deep model is realized, and it is imperceptible to humans. The existing adversarial example generation methods mainly attack the whole image. The optimization iterative direction is easy to predict, and the attack flexibility is low. For more complex scenarios, this paper proposes an edge-restricted adversarial example generation algorithm (Re-AEG) based on semantic segmentation. The algorithm can attack one or more specific objects in the image so that the detector cannot detect the objects. First, the algorithm automatically locates the attack objects according to the application requirements. Through the semantic segmentation algorithm, the attacked object is separated and the mask matrix for the object is generated. The algorithm proposed in this paper can attack the object in the region, converge quickly and successfully deceive the deep detection model. The algorithm only hides some sensitive objects in the image, rather than completely invalidating the detection model and causing reported errors, so it has higher concealment than the previous adversarial example generation algorithms. In this paper, a comparative experiment is carried out on ImageNet and coco2017 datasets, and the attack success rate is higher than 92%. Full article
(This article belongs to the Special Issue Techniques and Frameworks to Detect and Mitigate Insider Attacks)
Show Figures

Figure 1

17 pages, 1001 KB  
Article
Fair Outlier Detection Based on Adversarial Representation Learning
by Shu Li, Jiong Yu, Xusheng Du, Yi Lu and Rui Qiu
Symmetry 2022, 14(2), 347; https://doi.org/10.3390/sym14020347 - 9 Feb 2022
Cited by 3 | Viewed by 3414
Abstract
Outlier detection aims to identify rare, minority objects in a dataset that are significantly different from the majority. When a minority group (defined by sensitive attributes, such as gender, race, age, etc.) does not represent the target group for outlier detection, outlier detection [...] Read more.
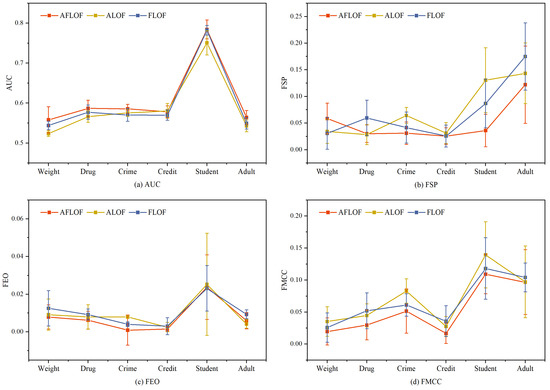
Outlier detection aims to identify rare, minority objects in a dataset that are significantly different from the majority. When a minority group (defined by sensitive attributes, such as gender, race, age, etc.) does not represent the target group for outlier detection, outlier detection methods are likely to propagate statistical biases in the data and generate unfair results. Our work focuses on studying the fairness of outlier detection. We characterize the properties of fair outlier detection and propose an appropriate outlier detection method that combines adversarial representation learning and the LOF algorithm (AFLOF). Unlike the FairLOF method that adds fairness constraints to the LOF algorithm, AFLOF uses adversarial networks to learn the optimal representation of the original data while hiding the sensitive attribute in the data. We introduce a dynamic weighting module that assigns lower weight values to data objects with higher local outlier factors to eliminate the influence of outliers on representation learning. Lastly, we conduct comparative experiments on six publicly available datasets. The results demonstrate that compared to the density-based LOF method and the recently proposed FairLOF method, our proposed AFLOF method has a significant advantage in both the outlier detection performance and fairness. Full article
Show Figures

Figure 1

32 pages, 1751 KB  
Review
A Comparative Analysis of Arabic Text Steganography
by Reema Thabit, Nur Izura Udzir, Sharifah Md Yasin, Aziah Asmawi, Nuur Alifah Roslan and Roshidi Din
Appl. Sci. 2021, 11(15), 6851; https://doi.org/10.3390/app11156851 - 26 Jul 2021
Cited by 24 | Viewed by 6464
Abstract
Protecting sensitive information transmitted via public channels is a significant issue faced by governments, militaries, organizations, and individuals. Steganography protects the secret information by concealing it in a transferred object such as video, audio, image, text, network, or DNA. As text uses low [...] Read more.
Protecting sensitive information transmitted via public channels is a significant issue faced by governments, militaries, organizations, and individuals. Steganography protects the secret information by concealing it in a transferred object such as video, audio, image, text, network, or DNA. As text uses low bandwidth, it is commonly used by Internet users in their daily activities, resulting a vast amount of text messages sent daily as social media posts and documents. Accordingly, text is the ideal object to be used in steganography, since hiding a secret message in a text makes it difficult for the attacker to detect the hidden message among the massive text content on the Internet. Language’s characteristics are utilized in text steganography. Despite the richness of the Arabic language in linguistic characteristics, only a few studies have been conducted in Arabic text steganography. To draw further attention to Arabic text steganography prospects, this paper reviews the classifications of these methods from its inception. For analysis, this paper presents a comprehensive study based on the key evaluation criteria (i.e., capacity, invisibility, robustness, and security). It opens new areas for further research based on the trends in this field. Full article
(This article belongs to the Special Issue Advances in Signal, Image and Video Processing)
Show Figures

Figure 1

21 pages, 13226 KB  
Article
Techniques for the Automatic Detection and Hiding of Sensitive Targets in Emergency Mapping Based on Remote Sensing Data
by Tianqi Qiu, Xiaojin Liang, Qingyun Du, Fu Ren, Pengjie Lu and Chao Wu
ISPRS Int. J. Geo-Inf. 2021, 10(2), 68; https://doi.org/10.3390/ijgi10020068 - 9 Feb 2021
Cited by 10 | Viewed by 3584
Abstract
Emergency remote sensing mapping can provide support for decision making in disaster assessment or disaster relief, and therefore plays an important role in disaster response. Traditional emergency remote sensing mapping methods use decryption algorithms based on manual retrieval and image editing tools when [...] Read more.
Emergency remote sensing mapping can provide support for decision making in disaster assessment or disaster relief, and therefore plays an important role in disaster response. Traditional emergency remote sensing mapping methods use decryption algorithms based on manual retrieval and image editing tools when processing sensitive targets. Although these traditional methods can achieve target recognition, they are inefficient and cannot meet the high time efficiency requirements of disaster relief. In this paper, we combined an object detection model with a generative adversarial network model to build a two-stage deep learning model for sensitive target detection and hiding in remote sensing images, and we verified the model performance on the aircraft object processing problem in remote sensing mapping. To improve the experimental protocol, we introduced a modification to the reconstruction loss function, candidate frame optimization in the region proposal network, the PointRend algorithm, and a modified attention mechanism based on the characteristics of aircraft objects. Experiments revealed that our method is more efficient than traditional manual processing; the precision is 94.87%, the recall is 84.75% higher than that of the original mask R-CNN model, and the F1-score is 44% higher than that of the original model. In addition, our method can quickly and intelligently detect and hide sensitive targets in remote sensing images, thereby shortening the time needed for emergency mapping. Full article
Show Figures

Figure 1

12 pages, 1067 KB  
Article
Wheat Consumption Leads to Immune Activation and Symptom Worsening in Patients with Familial Mediterranean Fever: A Pilot Randomized Trial
by Antonio Carroccio, Pasquale Mansueto, Maurizio Soresi, Francesca Fayer, Diana Di Liberto, Erika Monguzzi, Marianna Lo Pizzo, Francesco La Blasca, Girolamo Geraci, Alice Pecoraro, Francesco Dieli and Detlef Schuppan
Nutrients 2020, 12(4), 1127; https://doi.org/10.3390/nu12041127 - 17 Apr 2020
Cited by 21 | Viewed by 7033
Abstract
We have identified a clinical association between self-reported non-celiac wheat sensitivity (NCWS) and Familial Mediterranean Fever (FMF). Objectives: A) To determine whether a 2-week double-blind placebo-controlled (DBPC) cross-over wheat vs. rice challenge exacerbates the clinical manifestations of FMF; B) to evaluate innate immune [...] Read more.
We have identified a clinical association between self-reported non-celiac wheat sensitivity (NCWS) and Familial Mediterranean Fever (FMF). Objectives: A) To determine whether a 2-week double-blind placebo-controlled (DBPC) cross-over wheat vs. rice challenge exacerbates the clinical manifestations of FMF; B) to evaluate innate immune responses in NCWS/FMF patients challenged with wheat vs. rice. The study was conducted at the Department of Internal Medicine of the University Hospital of Palermo and the Hospital of Sciacca, Italy. Six female volunteers with FMF/NCWS (mean age 36 ± 6 years) were enrolled, 12 age-matched non-FMF, NCWS females, and 8 sex- and age-matched healthy subjects served as controls. We evaluated: 1. clinical symptoms by the FMF-specific AIDAI (Auto-Inflammatory Diseases Activity Index) score; 2. serum soluble CD14 (sCD14), C-reactive protein (CRP), and serum amyloid A (SSA); 3. circulating CD14+ monocytes expressing interleukin (IL)-1β and tumor necrosis factor (TNF)-α. The AIDAI score significantly increased in FMF patients during DBPC with wheat, but not with rice (19 ± 6.3 vs. 7 ± 1.6; p = 0.028). sCD14 values did not differ in FMF patients before and after the challenge, but were higher in FMF patients than in healthy controls (median values 11357 vs. 8710 pg/ml; p = 0.002). The percentage of circulating CD14+/IL-1β+ and of CD14+/TNF-α+ monocytes increased significantly after DBPC with wheat vs. baseline or rice challenge. Self-reported NCWS can hide an FMF diagnosis. Wheat ingestion exacerbated clinical and immunological features of FMF. Future studies performed on consecutive FMF patients recruited in centers for auto-inflammatory diseases will determine the real frequency and relevance of this association. Full article
(This article belongs to the Special Issue Advance in Gluten-Free Diet)
Show Figures

Graphical abstract

2 pages, 142 KB  
Abstract
Detection of Stephanofilaria (Nematoda: Filariidae) in Buffalo Fly Lesions
by Muhammad Noman Naseem, Ala Tabor, Ali Raza, Constantin Constantinoiu, Jess Morgan and Peter James
Proceedings 2019, 36(1), 108; https://doi.org/10.3390/proceedings2019036108 - 20 Feb 2020
Viewed by 1676
Abstract
Haematobia irritans exigua, commonly known as buffalo fly (BF), causes economic losses of about AUD $100 million per annum to the Australian cattle industry in terms of decreased production and costs of control. Lesions associated with BF infestation range from raised, dry, alopecic, [...] Read more.
Haematobia irritans exigua, commonly known as buffalo fly (BF), causes economic losses of about AUD $100 million per annum to the Australian cattle industry in terms of decreased production and costs of control. Lesions associated with BF infestation range from raised, dry, alopecic, hyperkeratotic or scab encrusted to severe hemorrhagic areas of ulceration which represent a major animal welfare concern. BF transmits a filarial nematode, Stephanofilaria sp., which has been speculatively associated with BF lesion development. The existing literature indicates that the sensitivity of currently used diagnostic techniques to detect Stephanofilaria in skin lesions is low and that there is currently no sequence for Stephanofilaria available on GenBank. Our objective is to develop a PCR method to detect Stephanofilaria in BF lesions. Skin biopsies were collected from 10 freshly slaughtered cattle hides having obvious BF eye lesions. Samples were collected from the center and the edge of the BF lesion as well as from adjacent normal tissue. Each skin punch was cut into 5-6 slices and immersed in normal saline before incubation overnight at 22°C. Eight nematodes were recovered from the saline by microscopic examination and preserved in ethanol. Nematode DNA will be extracted using conventional extraction methods. Specific primers will be used to amplify the ITS regions of rDNA and coxI region of the mtDNA and the amplified DNA will be sequenced. Primers will be designed from these regions to detect the presence of Stephanofilaria and used in PCR studies to clarify the etiology and epidemiology of BF lesions. Full article
(This article belongs to the Proceedings of The Third International Tropical Agriculture Conference (TROPAG 2019))
20 pages, 371 KB  
Article
A Grid-Based Swarm Intelligence Algorithm for Privacy-Preserving Data Mining
by Tsu-Yang Wu, Jerry Chun-Wei Lin, Yuyu Zhang and Chun-Hao Chen
Appl. Sci. 2019, 9(4), 774; https://doi.org/10.3390/app9040774 - 22 Feb 2019
Cited by 75 | Viewed by 4497
Abstract
Privacy-preserving data mining (PPDM) has become an interesting and emerging topic in recent years because it helps hide confidential information, while allowing useful knowledge to be discovered at the same time. Data sanitization is a common way to perturb a database, and thus [...] Read more.
Privacy-preserving data mining (PPDM) has become an interesting and emerging topic in recent years because it helps hide confidential information, while allowing useful knowledge to be discovered at the same time. Data sanitization is a common way to perturb a database, and thus sensitive or confidential information can be hidden. PPDM is not a trivial task and can be concerned an Non-deterministic Polynomial-time (NP)-hard problem. Many algorithms have been studied to derive optimal solutions using the evolutionary process, although most are based on straightforward or single-objective methods used to discover the candidate transactions/items for sanitization. In this paper, we present a multi-objective algorithm using a grid-based method (called GMPSO) to find optimal solutions as candidates for sanitization. The designed GMPSO uses two strategies for updating gbest and pbest during the evolutionary process. Moreover, the pre-large concept is adapted herein to speed up the evolutionary process, and thus multiple database scans during each evolutionary process can be reduced. From the designed GMPSO, multiple Pareto solutions rather than single-objective algorithms can be derived based on Pareto dominance. In addition, the side effects of the sanitization process can be significantly reduced. Experiments have shown that the designed GMPSO achieves better side effects than the previous single-objective algorithm and the NSGA-II-based approach, and the pre-large concept can also help with speeding up the computational cost compared to the NSGA-II-based algorithm. Full article
(This article belongs to the Section Computing and Artificial Intelligence)
Show Figures

Figure 1

18 pages, 2989 KB  
Article
Efficient Association Rules Hiding Using Genetic Algorithms
by Naadiya Khuda Bux, Mingming Lu, Jianxin Wang, Saajid Hussain and Yazan Aljeroudi
Symmetry 2018, 10(11), 576; https://doi.org/10.3390/sym10110576 - 2 Nov 2018
Cited by 14 | Viewed by 3909
Abstract
In today’s world, millions of transactions are connected to online businesses, and the main challenging task is ensuring the privacy of sensitive information. Sensitive association rules hiding (SARH) is an important goal of privacy protection algorithms. Various approaches and algorithms have been developed [...] Read more.
In today’s world, millions of transactions are connected to online businesses, and the main challenging task is ensuring the privacy of sensitive information. Sensitive association rules hiding (SARH) is an important goal of privacy protection algorithms. Various approaches and algorithms have been developed for sensitive association rules hiding, differentiated according to their hiding performance through utility preservation, prevention of ghost rules, and computational complexity. A meta-heuristic algorithm is a good candidate to solve the problem of SARH due to its selective and parallel search behavior, avoiding local minima capability. This paper proposes simple genetic encoding for SARH. The proposed algorithm formulates an objective function that estimates the effect on nonsensitive rules and offers recursive computation to reduce them. Three benchmark datasets were used for evaluation. The results show an improvement of 81% in execution time, 23% in utility, and 5% in accuracy. Full article
Show Figures

Figure 1

Back to TopTop