Sign in to use this feature.

Years

Between: -

Subjects

remove_circle_outline
remove_circle_outline
remove_circle_outline
remove_circle_outline
remove_circle_outline
remove_circle_outline
remove_circle_outline

Journals

Article Types

Countries / Regions

Search Results (71)

Search Parameters:
Keywords = segmented axial length

Order results
Result details
Results per page
Select all
Export citation of selected articles as:
23 pages, 5550 KB  
Article
Deformation Mechanism and Adaptive Measure Design of a Large-Buried-Depth Water Diversion Tunnel Crossing an Active Fault Zone
by Guoqiang Zhang, Guoxing Guan, Zhen Cui, Tianyou Yan, Maochu Zhang and Jianhe Li
Buildings 2026, 16(1), 4; https://doi.org/10.3390/buildings16010004 - 19 Dec 2025
Abstract
The safety of the deep-buried, long tunnel at the active fault is a crucial issue in the Yangtze River to Hanjiang River Water Diversion Project, which crosses the Tongcheng River Fault. This study presents the first systematic investigation into the behavior of large [...] Read more.
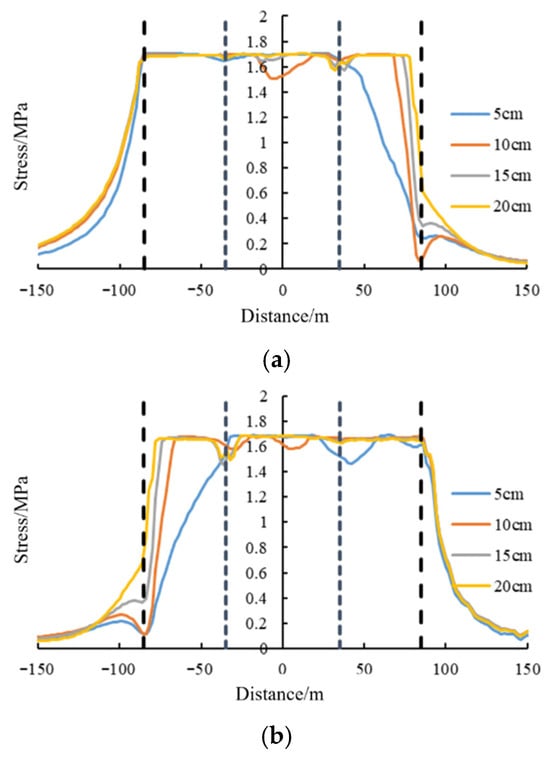
The safety of the deep-buried, long tunnel at the active fault is a crucial issue in the Yangtze River to Hanjiang River Water Diversion Project, which crosses the Tongcheng River Fault. This study presents the first systematic investigation into the behavior of large deep-buried water diversion tunnels crossing active faults. Based on an analysis of the geostress field, numerical simulations were conducted to evaluate the response of the lining without adaptive measures. Subsequently, a method for estimating hinged design parameters was proposed, and reasonable design values were determined. Furthermore, the effectiveness of the adaptive hinged structure in improving anti-dislocation performance was assessed using a self-developed evaluation framework for tunnel lining. The results show that (1) Geostresses include a 35° angle between horizontal principal stress and the tunnel axis, with horizontal stresses of 20 MPa (axial) and 21 MPa (perpendicular), and vertical stress of 18 MPa. (2) Without adaptive measures, tunnel deformation peaks in the fault zone, showing vault-floor convergence; maximum principal stresses and liner damage concentrate there. (3) The proposed hinge-type adaptive design suggests a 6 m segmented section length and 2–4 cm hinge width initially; sensitivity analysis recommends 6 m and 5 cm, respectively. (4) Adaptive measures reduce tensile stress in the fault zone, significantly mitigating deformation, stress, and liner damage, proving their efficacy in enhancing anti-fault-rupture performance. Full article
(This article belongs to the Section Building Structures)
Show Figures

Figure 1

12 pages, 303 KB  
Article
Comparison of Optical Biometric Parameters Between Phakic and Pseudophakic Eyes: A Retrospective Clinical Study
by Merve Subaşı, Veysi Yıldız and Muhammed Batur
Medicina 2025, 61(12), 2155; https://doi.org/10.3390/medicina61122155 - 3 Dec 2025
Viewed by 217
Abstract
Background and Objective: To evaluate the effect of pseudophakia on anterior chamber depth and other ocular biometric parameters, and to analyze its relationship with age, sex, and axial length. Materials and Methods: Optical biometry data from 2372 eyes of 1186 patients—each with one [...] Read more.
Background and Objective: To evaluate the effect of pseudophakia on anterior chamber depth and other ocular biometric parameters, and to analyze its relationship with age, sex, and axial length. Materials and Methods: Optical biometry data from 2372 eyes of 1186 patients—each with one pseudophakic and one phakic eye—were retrospectively analyzed using the Lenstar LS 900®. Recorded parameters included axial length (AL), central corneal thickness (CCT), aqueous depth (AD), anterior chamber depth (ACD), lens thickness (LT), keratometry values, and white-to-white distance (WTW). Interocular differences and correlations among variables were statistically assessed. Results: The mean age was 62.8 ± 16.0 years (range, 11–92), and 57.1% were male. Compared with phakic eyes, pseudophakic eyes showed significantly lower AL, WTW, and K1 values (p < 0.01, p < 0.001) and higher CCT, AD, ACD, and astigmatism (AST) values (p < 0.001). No significant difference was observed in K2 (p > 0.05). In both phakic and pseudophakic eyes, males had higher AL, AD, WTW, and ACD and lower K1 and K2 values than females (p < 0.001, p < 0.05). Increasing age was associated with decreased AL and CCT. In phakic eyes, ACD and AD were negatively correlated with age, whereas in pseudophakic eyes, the correlation was positive. Conclusions: Cataract surgery and intraocular lens implantation significantly alter anterior segment structures. Pseudophakia mainly affects ACD and AD, which may be related to postoperative intraocular pressure reduction and may improve the precision of IOL power calculations. Full article
(This article belongs to the Section Ophthalmology)
12 pages, 2398 KB  
Article
Multicenter European Data of Anatomical Parameters of the Anterior Eye Segment Measured with an Optical Biometer
by Ava Niknahad, Hyeck-Soo Son, Gerd U. Auffarth, Louise Blöck, Giacomo Savini, Catarina P. Coutinho, Joaquín Fernández and Grzegorz Łabuz
J. Clin. Med. 2025, 14(22), 8192; https://doi.org/10.3390/jcm14228192 - 19 Nov 2025
Viewed by 355
Abstract
Background/Objectives: Normative values of ocular parameters can be influenced by a variety of factors. This study evaluates the relationship of axial length (AL), anterior and posterior corneal curvature, anterior chamber, and corneal thickness variables with age, spherical equivalent (SE), and gender. Methods [...] Read more.
Background/Objectives: Normative values of ocular parameters can be influenced by a variety of factors. This study evaluates the relationship of axial length (AL), anterior and posterior corneal curvature, anterior chamber, and corneal thickness variables with age, spherical equivalent (SE), and gender. Methods: A retrospective cohort study at three hospitals identified patients from June 2019 to July 2022. Eyes with no prior history of surgery and anterior segment pathology were included, with one eye per patient being examined by Pentacam AXL Wave (Oculus, Germany). Results: The 1075 patients included had a mean age of 52.9 (± 19.5 years), with 41.5% (446) identified as males. Compared to all variables, anterior chamber angle was most strongly associated with age, with a Spearman’s correlation coefficient (r) of −0.62 (p < 0.001), while AL was most strongly correlated with SE (r = −0.75, p < 0.001). The mean radius of anterior corneal curvature showed a significant positive correlation with SE (r = 0.08, p = 0.013). Between the two genders, males had larger median anterior chamber volume (157.8 versus 147.9 mm3, p < 0.001), depth (p < 0.05 internal and external), AL (24.2 versus 23.7 mm, p < 0.001), and flatter corneas (p < 0.05 anteriorly and posteriorly) compared to females. Conclusions: Age and SE were significantly negatively correlated with AL and anterior chamber parameters. While males showed longer AL and deeper and larger anterior chambers, females had steeper corneas but similar anterior chamber angles. The differences warrant considering age, SE, and gender when interpreting a patient’s examinations against normative data. Full article
(This article belongs to the Special Issue Clinical Research in Management of Corneal Diseases)
Show Figures

Figure 1

13 pages, 837 KB  
Article
Real-World Effectiveness of DIMS Spectacle Lenses for Myopia Control in a Turkish Pediatric Population: A Retrospective Study Using Age-Specific Physiological Growth Curves
by Nilay Akagun and Ugur Emrah Altiparmak
Children 2025, 12(11), 1435; https://doi.org/10.3390/children12111435 - 23 Oct 2025
Viewed by 1330
Abstract
Background/Objectives: This study aimed to evaluate the one-year real-world effectiveness of Defocus Incorporated Multiple Segments (DIMS) spectacle lenses in controlling myopia progression in a Turkish pediatric cohort and to identify predictors of treatment response using age-specific physiological growth curves. Methods: This retrospective single-center [...] Read more.
Background/Objectives: This study aimed to evaluate the one-year real-world effectiveness of Defocus Incorporated Multiple Segments (DIMS) spectacle lenses in controlling myopia progression in a Turkish pediatric cohort and to identify predictors of treatment response using age-specific physiological growth curves. Methods: This retrospective single-center study included 54 patients (108 eyes) aged 6–16 years with myopia who wore DIMS spectacle lenses full time for 12 months. The primary outcomes were spherical equivalent refraction (SER) success and axial length (AL)-based treatment response. Treatment success was defined as an SER progression of ≤0.50 dioptres per year and AL elongation within age-specific physiological limits. Subgroup analyses were performed according to age, gender, and the baseline AL group. Results: After 12 months, the mean AL elongation was 0.14 ± 0.31 mm, and the mean SER change was −0.28 ± 0.42 D. SER-based success was achieved in 85.2% of eyes. For AL-based response, 61.1% of eyes showed a good response, 16.7% showed a low–moderate response, and 22.2% had no response. Eyes with moderate baseline AL exhibited significantly less axial elongation than those with high baseline AL (p = 0.001). Children aged ≥ 10 years demonstrated better AL-based responses (p = 0.016). The baseline AL group significantly predicted the AL treatment response, while both the baseline AL group and gender predicted SER success. Gender was associated with SER outcomes but not with AL-based response. Conclusions: DIMS spectacle lenses effectively reduced myopia progression and axial elongation in this real-world Turkish pediatric cohort. Baseline AL and gender were significant predictors of treatment outcomes. Incorporating age-specific physiological growth curves provided an individualized framework for interpreting treatment success. Further prospective studies with larger samples and longer follow-up are warranted to confirm these findings. Full article
(This article belongs to the Section Pediatric Ophthalmology)
Show Figures

Figure 1

27 pages, 3367 KB  
Article
Amodal Segmentation and Trait Extraction of On-Branch Soybean Pods with a Synthetic Dual-Mask Dataset
by Kaiwen Jiang, Wei Guo and Wenli Zhang
Sensors 2025, 25(20), 6486; https://doi.org/10.3390/s25206486 - 21 Oct 2025
Viewed by 644
Abstract
We address the challenge that occlusions in on-branch soybean images impede accurate pod-level phenotyping. We propose a lab on-branch pipeline that couples a prior-guided synthetic data generator (producing synchronized visible and amodal labels) with an amodal instance segmentation framework based on an improved [...] Read more.
We address the challenge that occlusions in on-branch soybean images impede accurate pod-level phenotyping. We propose a lab on-branch pipeline that couples a prior-guided synthetic data generator (producing synchronized visible and amodal labels) with an amodal instance segmentation framework based on an improved Swin Transformer backbone with a Simple Attention Module (SimAM) and dual heads, trained via three-stage transfer (synthetic excised → synthetic on-branch → few-shot real). Guided by complete (amodal) masks, a morphology-driven module performs pose normalization, axial geometric modeling, multi-scale fused density mapping, marker-controlled watershed, and topological consistency refinement to extract seed per pod (SPP) and geometric traits. On real on-branch data, the model attains Visible Average Precision (AP) 50/75 of 91.6/77.6 and amodal AP50/75 of 90.1/74.7, and incorporating synthetic data yields consistent gains across models, indicating effective occlusion reasoning. On excised pod tests, SPP achieves a mean absolute error (MAE) of 0.07 and a root mean square error (RMSE) of 0.26; pod length/width achieves an MAE of 2.87/3.18 px with high agreement (R2 up to 0.94). Overall, the co-designed data–model–task pipeline recovers complete pod geometry under heavy occlusion and enables non-destructive, high-precision, and low-annotation-cost extraction of key traits, providing a practical basis for standardized laboratory phenotyping and downstream breeding applications. Full article
(This article belongs to the Special Issue Feature Papers in Smart Agriculture 2025)
Show Figures

Figure 1

11 pages, 839 KB  
Article
Quantification of Thoracic Volume and Spinal Length of Pediatric Scoliosis Patients on Chest MRI Using a 3D U-Net Segmentation
by Romy E. Buijs, Dingina M. Cornelissen, Dimo Devetzis, Peter P. G. Lafranca, Daniel Le, Jiaxin Zhang, Mitko Veta, Koen L. Vincken and Tom P. C. Schlösser
Healthcare 2025, 13(18), 2327; https://doi.org/10.3390/healthcare13182327 - 17 Sep 2025
Viewed by 1015
Abstract
Background/Objectives: Adolescent idiopathic scoliosis (AIS) can lead to significant chest deformations. The quantification of chest deformity and spinal length could provide additional insights for monitoring during follow-up and treatment. This study proposes a 3D U-Net convolutional neural network (CNN) for automatic thoracic and [...] Read more.
Background/Objectives: Adolescent idiopathic scoliosis (AIS) can lead to significant chest deformations. The quantification of chest deformity and spinal length could provide additional insights for monitoring during follow-up and treatment. This study proposes a 3D U-Net convolutional neural network (CNN) for automatic thoracic and spinal segmentations of chest MRI scans. Methods: In this proof-of-concept study, axial chest MRI scans from 19 girls aged 8–10 years at risk for AIS development and 19 asymptomatic young adults were acquired (n = 38). The thoracic volume and spine were manually segmented as the ground truth (GT). A 3D U-Net CNN was trained on 31 MRI scans. The seven remaining MRI scans were used for validation, reported by the Dice similarity coefficient (DSC), the Hausdorff distance (HD), precision, and recall. From these segmentations, the thoracic volume and 3D spinal length were calculated. Results: Automatic chest segmentation was possible for all chest MRIs. For the chest volume segmentations, the average DSC was 0.91, HD was 51.89, precision was 0.90, and recall 0.99. For the spinal segmentation, the average DSC was 0.85, HD was 25.98, precision was 0.74, and recall 0.99. Chest volumes and 3D spinal lengths differed by on average 11% and 12% between automatic and GT, respectively. Qualitative analysis showed agreement between the automatic and manual segmentations in most cases. Conclusions: The proposed 3D U-Net CNN shows a high accuracy and good predictions in terms of HD, DSC, precision, and recall. This suggested 3D U-Net CNN could potentially be used to monitor the progression of chest deformation in scoliosis patients in a radiation-free manner. Improvement can be made by training the 3D U-net with more data and improving the GT data. Full article
Show Figures

Figure 1

16 pages, 4056 KB  
Article
Experimental Study on Compressive Behavior of CFRP-Confined Pre-Damaged Pinus sylvestris var. mongolia Composited Wooden Column
by Sheng Peng, Wei Lou, Yifan Qiao, Lanyu Liu, Huacheng Liu and Dongping Wu
Buildings 2025, 15(17), 3173; https://doi.org/10.3390/buildings15173173 - 3 Sep 2025
Viewed by 563
Abstract
In China, most of the ancient wooden structure mortise and tenon buildings, under the long-term upper load, have columns with surface surfaces that have varying degrees of damage, which need to be repaired and strengthened urgently, but the theory related to CFRP, mortise [...] Read more.
In China, most of the ancient wooden structure mortise and tenon buildings, under the long-term upper load, have columns with surface surfaces that have varying degrees of damage, which need to be repaired and strengthened urgently, but the theory related to CFRP, mortise size, and pre-damage simulation still needs to be deeply studied. To investigate the effects of CFRP reinforcement layers, cross-sectional area of concealed tenons as the projected area after installation, and tenon engagement length as the axial length after installation on the axial compressive mechanical properties of pre-damaged quad-segment spliced Pinus sylvestris var. mongolia composited wooden columns, axial compression failure tests were conducted on 10 specimens following pre-damage simulation and CFRP strengthening. The experimental program yielded comprehensive data, including observations, mechanical analyses, load-displacement curves, load-strain curves, ultimate load-bearing capacities, ductility coefficients, and stiffness values. The results demonstrate that with consistent tenon cross-sectional area and engagement length, increasing CFRP layers from 1 to 3 raises the ultimate bearing capacity from 472.3 kN to 620.3 kN and improves the ductility coefficient from 4.67 to 7.95, clearly indicating that CFRP reinforcement significantly enhances axial compressive performance while effectively mitigating brittle failure. When maintaining constant CFRP layers and tenon cross-sectional area, extending the tenon engagement length from 30 mm to 90 mm elevates the bearing capacity from 494.95 kN to 546.3 kN and boosts the ductility coefficient from 5.58 to 7.95. In contrast, with fixed CFRP layers and engagement length, expanding the tenon cross-sectional area from 360 mm2 to 810 mm2 produces only marginal bearing capacity improvement from 548.2 kN to 556.2 kN with ductility coefficients ranging between 4.67 and 5.56, conclusively revealing that tenon engagement length has substantially greater influence on mechanical properties than cross-sectional area. The optimal axial compressive performance configuration combines 3 CFRP layers, an 810 mm2 tenon cross-section, and a 90 mm engagement length. Full article
(This article belongs to the Section Building Structures)
Show Figures

Figure 1

26 pages, 10835 KB  
Article
Detonation Dynamics and Damage Behavior of Segmented Tunnel Charges with Shaped Liners
by Zhuo Li, Xiaojun Zhang, Zhenye Zhu, Yongbo Wu, Hongbing Yu, Wenxue Gao and Ben Lv
Buildings 2025, 15(16), 2815; https://doi.org/10.3390/buildings15162815 - 8 Aug 2025
Cited by 2 | Viewed by 615
Abstract
To precisely control the tunnel smooth blasting effect, this study conducts both model experiments and numerical simulations to investigate the impact of shaped charge jet initiation on emulsion explosives and surrounding rock damage fractal characteristics under different ratios of the main-to-secondary charge lengths [...] Read more.
To precisely control the tunnel smooth blasting effect, this study conducts both model experiments and numerical simulations to investigate the impact of shaped charge jet initiation on emulsion explosives and surrounding rock damage fractal characteristics under different ratios of the main-to-secondary charge lengths (L1/L2). The study also includes field validation. The results indicate the following: (1) The Arbitrary Lagrangian–Eulerian (ALE) method can accurately reproduce the formation, motion, impact, initiation, and dynamic damage evolution of a shaped charge jet inside a blast hole, with a deviation of less than 6.4% compared to high-speed photography observations. (2) Under the working conditions in this study, when an axial aluminum energetic liner and two-stage air-segmented charge in the peripheral holes are used, the fractal dimension (Df) initially increases from 1.57 to 1.66 and then decreases to 1.41 as the L1/L2 ratio increases. (3) Field test results demonstrate that, when using a two-segment explosive charge with a 20 cm gap between segments and an L1/L2 ratio of 2, the average over- or under-excavation is controlled within 7 cm, with the maximum deviation not exceeding 12 cm. The corresponding average fragment size (d50) is minimized, resulting in an excellent smooth blasting effect and effectively controlling the fragmentation of the smooth blasting layer. The conclusions of this study provide valuable insights for the development of advanced shaped charge blasting techniques. Full article
(This article belongs to the Special Issue Dynamic Response of Civil Engineering Structures under Seismic Loads)
Show Figures

Figure 1

20 pages, 11285 KB  
Article
Improved Use of the Full Length of Milling-Tool Flutes in Processes of Air-Contour Milling
by César García-Hernández, Juan-Jesús Valdivia-Sánchez, Pedro Ubieto-Artur, Mariano García-Arbués, Anastasios Tzotzis, Juan-José Garde-Barace, Francisco Valdivia-Calvo and José-Luis Huertas-Talón
J. Manuf. Mater. Process. 2025, 9(5), 150; https://doi.org/10.3390/jmmp9050150 - 2 May 2025
Cited by 1 | Viewed by 1526
Abstract
The cutting length of milling tools must be longer than the axial distance of the material to be processed. In fact, in most cases, the cutting length far exceeds the thickness of the material to be removed. Therefore, along the entire length of [...] Read more.
The cutting length of milling tools must be longer than the axial distance of the material to be processed. In fact, in most cases, the cutting length far exceeds the thickness of the material to be removed. Therefore, along the entire length of the milling-tool flutes, only the area farthest from the shank wears out, leaving the rest of the tool practically without any wear, especially in the area closest to the shank. This research analyses a toolpath model to use the complete length of the milling tool flutes, in those machining operations in which it is possible, with the objective of reducing the costs associated with tool wearing and resharpening. This improves the tool performance, which clearly increases the sustainability of the milling process. For this purpose, it is necessary to transform the numerical control programme that performs a flat (2D) toolpath into a helical (3D) one by decomposing the arcs and rectilinear segments into a succession of points within a precision range. A negative aspect of this method is that it can only be applied to bottomless contours in processes of air-contour milling. Full article
Show Figures

Graphical abstract

19 pages, 8038 KB  
Article
A Finite Element Analysis of Lateral Buckling of Tensile Armor Layers of Flexible Pipes Considering Machining Geometry Defects
by Yongyu Li, Qingzhen Lu, Xiufeng Yue, Hailong Lu, Qianjin Yue and Yangcheng Lu
J. Mar. Sci. Eng. 2025, 13(3), 580; https://doi.org/10.3390/jmse13030580 - 16 Mar 2025
Viewed by 1080
Abstract
The tensile armor layer plays a crucial role in offshore flexible pipelines, primarily bearing axial tensile loads. However, during installation and operation, it may experience compressive forces, leading to a risk of lateral buckling, which is further intensified by manufacturing deviations in the [...] Read more.
The tensile armor layer plays a crucial role in offshore flexible pipelines, primarily bearing axial tensile loads. However, during installation and operation, it may experience compressive forces, leading to a risk of lateral buckling, which is further intensified by manufacturing deviations in the steel strips. This study introduces a method to quantify these deviations based on the circumferential length change in defect segments in helically wound steel strips. A deviation model is established and analyzed using Abaqus finite element simulations to evaluate the impact of helical angles and deviation severity on the critical lateral buckling load. The results reveal that as the deviation severity increases, the critical buckling load significantly decreases, with reductions of up to 65% for small helical angles. Additionally, the rapid rise in bending moment at the defect location is identified as the primary cause of lateral buckling initiation. Full article
Show Figures

Figure 1

21 pages, 13379 KB  
Article
Investigation on the Welding Residual Stress Distribution in Multi-Segment Conical Egg-Shaped Shell
by Yongmei Zhu, Ao Sun, Longbo Zhou, Lihui Wang and Xilu Zhao
J. Mar. Sci. Eng. 2025, 13(3), 578; https://doi.org/10.3390/jmse13030578 - 15 Mar 2025
Cited by 2 | Viewed by 1175 | Correction
Abstract
The egg-shaped pressure shell, an essential component of manned submersibles, has garnered significant attention from researchers. However, the fabrication of such shells, particularly the welding process used to connect petals or frustums into a shell blank, has raised several concerns. This study investigates [...] Read more.
The egg-shaped pressure shell, an essential component of manned submersibles, has garnered significant attention from researchers. However, the fabrication of such shells, particularly the welding process used to connect petals or frustums into a shell blank, has raised several concerns. This study investigates the distribution of welding residual stresses in a multi-segment frustum-assembled egg-shaped shell using a thermal–elastic–plastic method under an instantaneous heat source. A numerical model for a 12-segment frustum-welded egg-shaped shell is developed, and welding simulations are performed. The model’s boundary conditions are defined by cyclic symmetry, with a mesh element size of 2 mm to enhance computational efficiency. The results are validated through experimental tests. The findings indicate that the residual stress around the weld is tensile, while compressive stress is present on both sides of the weld. The length of the generatrix and the relative inclination angle significantly affect the distribution and overlap of circumferential residual stress, whereas axial residual stress primarily influences its magnitude. Finally, a simplified numerical model of the egg-shaped shell is proposed, with its simulation results showing good agreement with the distribution of welding residual stresses on the shell surface. This study provides valuable insights for optimizing the welding process of egg-shaped pressure shells in manned submersibles. Full article
(This article belongs to the Special Issue Advancements in Deep-Sea Equipment and Technology, 3rd Edition)
Show Figures

Figure 1

26 pages, 9954 KB  
Article
Optimization of Pumping Station Inlet Channel Based on Stress-Blended Eddy Simulation Turbulence Model and Entropy Generation Theory
by Rui Jiang, Yi Zhang, Jianzhong Zhu, Buqing Chen, Yiping Tang, Xu Yang, Yuan Zheng and Huiling Duan
Water 2025, 17(3), 378; https://doi.org/10.3390/w17030378 - 30 Jan 2025
Cited by 2 | Viewed by 1000
Abstract
The optimization of pumping station inlet channels is a key research area for improving the operation efficiency, reducing the energy consumption, and enhancing the operation reliability of pumping stations. For the elbow inlet channel of the Majinggang Pumping Station project, based on the [...] Read more.
The optimization of pumping station inlet channels is a key research area for improving the operation efficiency, reducing the energy consumption, and enhancing the operation reliability of pumping stations. For the elbow inlet channel of the Majinggang Pumping Station project, based on the Stress-Blended Eddy Simulation (SBES) turbulence model and entropy generation theory, an optimization design plan is proposed by altering the inclination angle of the flow channel base plate, the length of the transitional arc segment, and the length of the curved segment. Various schemes were analyzed and comprehensively compared in terms of the hydraulic loss, the velocity-weighted average angle, and the axial-velocity distribution uniformity of the channel. The results indicate that optimal hydraulic performance is achieved when the inclination angle of the base plate is between 8° and 10°. In a reasonable range of values, appropriately increasing the length of the transitional arc and reducing the section width (throat width) can improve the hydraulic performance of the inlet channel. The optimal model obtained achieved an impressive velocity-weighted average angle of 89.25°, along with an axial-velocity distribution uniformity of 97.5%. Its excellent hydraulic performance not only meets the design requirements of the pumping station in terms of functionality but also takes into account economic efficiency, and it serves as a valuable reference for similar projects, contributing to the more refined and intelligent development of the optimization of pumping station inlet flow channels. Full article
(This article belongs to the Special Issue Hydrodynamics in Pumping and Hydropower Systems)
Show Figures

Figure 1

18 pages, 15220 KB  
Article
Effect of Axial Modification on the Meshing Performance of Involute Beveloid Gear Pair
by Yongping Liu, Qi Chen and Changbin Dong
Appl. Sci. 2025, 15(3), 1321; https://doi.org/10.3390/app15031321 - 27 Jan 2025
Viewed by 978
Abstract
In order to enhance the load-bearing capacity of the involute beveloid gear pair, this study proposes research on improving the contact stress through axial modification. Under the condition of segmented parabolic axial modification, the mathematical equation for the tooth flank of the beveloid [...] Read more.
In order to enhance the load-bearing capacity of the involute beveloid gear pair, this study proposes research on improving the contact stress through axial modification. Under the condition of segmented parabolic axial modification, the mathematical equation for the tooth flank of the beveloid gear is derived. A simulation meshing model for the beveloid gear pair is constructed to investigate the effects of different amounts and lengths of axial modification on the meshing performance, changes in flank and root stress, and transmission error before and after modification. The results indicate that as the modification amount increases, the maximum equivalent stress initially decreases and then exhibits a tendency towards stability. Moreover, an increase in modification length concentrates the contact zone towards the middle of the tooth flank while expanding the range of tooth root stress distribution, and it also leads to a decrease in maximum equivalent stress. The implementation of the modification has been observed to result in a reduction in cumulative transmission error and an effective reduction in edge load on the beveloid gear pair, which has been demonstrated to enhance the bearing capacity and transmission stability extension while also impacting the dynamic meshing performance. Full article
Show Figures

Figure 1

23 pages, 5531 KB  
Article
Optimal Coverage Path Planning for UAV-Assisted Multiple USVs: Map Modeling and Solutions
by Shaohua Pan, Xiaosu Xu, Yi Cao and Liang Zhang
Drones 2025, 9(1), 30; https://doi.org/10.3390/drones9010030 - 5 Jan 2025
Cited by 4 | Viewed by 1941
Abstract
With the increasing demand for marine monitoring, the use of coverage path planning based on unmanned aerial vehicle (UAV) aerial images to assist multiple unmanned surface vehicles (USVs) has shown great potential in marine applications. However, achieving accurate map modeling and optimal path [...] Read more.
With the increasing demand for marine monitoring, the use of coverage path planning based on unmanned aerial vehicle (UAV) aerial images to assist multiple unmanned surface vehicles (USVs) has shown great potential in marine applications. However, achieving accurate map modeling and optimal path planning are still key challenges that restrict its widespread application. To this end, an innovative coverage path planning algorithm for UAV-assisted multiple USVs is proposed. First, a semantic segmentation algorithm based on the YOLOv5-assisted prompting segment anything model (SAM) is designed to establish an accurate map model. By refining the axial, length, width, and coordinate information of obstacles, the algorithm enables YOLOv5 to generate accurate object bounding box prompts and then assists SAM in automatically and accurately extracting obstacles and coastlines in complex scenes. Based on this accurate map model, a multi-objective stepwise optimization coverage path planning algorithm is further proposed. The algorithm divides the complete path into two parts, the straight paths and the turning paths, and both the path length and the number of turns is designed, respectively, to optimize each type of path step by step, which significantly improves the coverage effect. Experiments prove that in various complex marine coverage scenarios, the proposed algorithm achieves 100% coverage, the redundancy rate is less than 2%, and it is superior to existing advanced algorithms in path length and number of turns. This research provides a feasible technical solution for efficient and accurate marine coverage tasks and lays the foundation for unmanned marine supervision. Full article
Show Figures

Figure 1

16 pages, 9079 KB  
Article
Buckling and Ultimate Bearing Capacity of Steel Pipes Jacked in Hard Rocks: A Case Study of a Water Pipeline Project in Zhongshan
by Rusen Zhao, Zhidong Chen, Dinghua Feng, Qiping Liu, Peiwen Wen and Hongwei Yang
Water 2024, 16(21), 3041; https://doi.org/10.3390/w16213041 - 24 Oct 2024
Viewed by 1884
Abstract
Steel jacking pipes are potentially prone to buckling instability, a phenomenon that has received limited attention in hard rock formations. This study reports on the field monitoring of a water pipeline project in Zhongshan City, where the circumferential and hoop strains of steel [...] Read more.
Steel jacking pipes are potentially prone to buckling instability, a phenomenon that has received limited attention in hard rock formations. This study reports on the field monitoring of a water pipeline project in Zhongshan City, where the circumferential and hoop strains of steel pipe segments jacked in hard rocks were recorded. The buckling deformation observed during steel pipe jacking, as well as the critical buckling load, was analyzed with the aid of numerical simulations using finite element software. The initial defect for the post-buckling analysis of the steel pipe was selected as the first-order buckling mode. Field monitoring revealed that the loading conditions experienced by the steel pipe segments during the jacking process are complex, leading to significant deformation. Throughout the monitoring process, axial stress at each measurement point underwent tensile-compressive transitions. Numerical results showed the actual critical buckling load increases with wall thickness at a constant length-to-diameter ratio, which is significant for short pipes. For pipes with the same wall thickness and outer diameter, the actual critical buckling load of long pipes is significantly lower than that of short pipes. Additionally, initial defects were found to significantly reduce the actual critical buckling load of the steel pipe. Furthermore, the actual critical buckling load of long pipes is much lower than their yield load, whereas, for short pipes, the critical buckling load is limited by their yield load. Measures for managing buckling deformation of steel pipes in situ were also reported. The findings on critical buckling load and the countermeasures for managing buckling in situ would be valuable for the design and construction stages of similar projects employing pipe-jacking technology in hard rock formations. Full article
(This article belongs to the Section Soil and Water)
Show Figures

Figure 1

Back to TopTop