Next Article in Journal
Historical Case-Stories as Methodological and Evidentiary Assets for Design-to-Construction Research: The Cameron Offices, Canberra
Previous Article in Journal
Olfactory Environment Design in Office Buildings: A Study on the Recovery Effect of Specific Fragrances on Work Fatigue Based on Multimodal Measurement
 
 
Font Type:
Arial Georgia Verdana
Font Size:
Aa Aa Aa
Line Spacing:
Column Width:
Background:
Article

Deformation Mechanism and Adaptive Measure Design of a Large-Buried-Depth Water Diversion Tunnel Crossing an Active Fault Zone

1
Changjiang Survey, Planning, Design and Research Co., Ltd., Wuhan 430010, China
2
Key Laboratory of Water Grid Project and Regulation of the Ministry of Water Resources, Wuhan 430010, China
3
State Key Laboratory of Geomechanics and Geotechnical Engineering, Institute of Rock and Soil Mechanics, Chinese Academy of Sciences, Wuhan 430071, China
4
University of Chinese Academy of Sciences, Beijing 100049, China
*
Author to whom correspondence should be addressed.
Buildings 2026, 16(1), 4; https://doi.org/10.3390/buildings16010004
Submission received: 9 November 2025 / Revised: 6 December 2025 / Accepted: 16 December 2025 / Published: 19 December 2025
(This article belongs to the Section Building Structures)

Abstract

The safety of the deep-buried, long tunnel at the active fault is a crucial issue in the Yangtze River to Hanjiang River Water Diversion Project, which crosses the Tongcheng River Fault. This study presents the first systematic investigation into the behavior of large deep-buried water diversion tunnels crossing active faults. Based on an analysis of the geostress field, numerical simulations were conducted to evaluate the response of the lining without adaptive measures. Subsequently, a method for estimating hinged design parameters was proposed, and reasonable design values were determined. Furthermore, the effectiveness of the adaptive hinged structure in improving anti-dislocation performance was assessed using a self-developed evaluation framework for tunnel lining. The results show that (1) Geostresses include a 35° angle between horizontal principal stress and the tunnel axis, with horizontal stresses of 20 MPa (axial) and 21 MPa (perpendicular), and vertical stress of 18 MPa. (2) Without adaptive measures, tunnel deformation peaks in the fault zone, showing vault-floor convergence; maximum principal stresses and liner damage concentrate there. (3) The proposed hinge-type adaptive design suggests a 6 m segmented section length and 2–4 cm hinge width initially; sensitivity analysis recommends 6 m and 5 cm, respectively. (4) Adaptive measures reduce tensile stress in the fault zone, significantly mitigating deformation, stress, and liner damage, proving their efficacy in enhancing anti-fault-rupture performance.

1. Introduction

Active fault zones are generally defined as those that have been active in the Quaternary Late Pleistocene (Q3) or more recently in the past 100,000 years and may remain active in the future [1]. Intense regional tectonic activity has led to the dense development of active fault zones in western China. When tunnels are constructed in these regions, crossing active fault zones is often unavoidable due to constraints in alignment layout and other engineering considerations. For example, the tunnels of the Sichuan-Tibet Railway Project pass through several regional active fault zones, such as Longmen Mountain, Xianshui River, Ganzi-Dewu, Batang and Jinsha River [2]. Xianglushan Tunnel of the Central Yunnan Water Diversion Project passes through three Holocene active faults, namely, the Longpan-Qiaohou Fault, the Lijiang-Jianchuan Fault, and the Heqing-Eryuan Fault [3]. Jining tunnel (a long one) of the Yellow River Diversion Project passes through four Late Pleistocene active faults, namely, the northern margin of Nanshan Mountain, Daotang River-Xunhua, the southern margin of Laji Mountain and the northern margin of Laji Mountain in Qinghai.
According to relevant research findings, active faults mainly exhibit two motion patterns, i.e., stick-slip and creep [4]. Stick-slip is defined as the rapid rupture of faults during an earthquake, while creep refers to the slow, continuous dislocation of faults in the absence of seismic events. The impact of active fault zones on tunnels is primarily reflected in two ways: vibration-induced damage to the surrounding rock and lining caused by stick-slip, and structural damage resulting from cumulative displacement due to creep. Examples include the damage observed in the Daliang Tunnel of the Lanzhou–Xinjiang High-speed Railway following the M6.9 Menyuan earthquake in Qinghai Province in 2022 [5], the damage sustained by the Longxi Tunnel during the Wenchuan earthquake [6], and the significant damage reported in 49 out of 57 tunnel cases in Taiwan during the Chi-Chi earthquake [7]. To address the challenges associated with tunnels crossing active faults, extensive research has been carried out by scholars. Chen and Huang studied the deformation characteristics of saturated clay layer under different motion modes of fault dislocation and the law of crack propagation with centrifuge model tests, and analyzed the influence of fault dislocation on surface displacement and the position of maximum slope [8]. Cai et al. conducted centrifuge tests to analyze the deformation of tunnels intersected by normal faults in sandy soil, emphasizing the importance of tunnel burial depth and lining properties [6]. Baziar et al. used centrifuge tests to examine how tunnel position, soil density, and tunnel rigidity influence tunnel response and ground displacement during reverse faulting [9]. Liu et al. proposed a dynamic simulation method to analyze the seismic response of tunnels through faults, emphasizing the need to consider dynamic interaction between rock mass and fault [10]. Ghadimi Chermahini and Tahghighi used numerical finite element analysis to study the behavior of the Sabzkouh tunnel crossing a reverse fault, focusing on the effects of tunnel position, fault dip angle, and soil properties [7]. Zaheri et al. performed a 3D numerical study on segmental tunnels crossing dip-slip faults, investigating the influence of tunnel thickness, soil properties, fault dip angle, and tunnel depth on stability [11]. Sabagh and Ghalandarzadeh explored the effects of geometrical properties, including fault angle, displacement, tunnel diameter, lining thickness, and overburden height, on reverse fault-tunnel intersections using numerical modeling and centrifuge tests [12]. Zhong et al. established a 3D numerical model to assess the structural damage of mountain tunnels in fault fracture zones subjected to multiple strike-slip fault movements, proposing quantitative damage indices to evaluate tunnel integrity and serviceability [13]. Ramesh et al. investigated the interaction between segmental tunnel linings and dip-slip faults using 3D numerical simulations and centrifuge tests, taking the Tabriz Subway Line 2 as the engineering background [14]. They found that segmental structures outperform continuous linings in fault movement scenarios. Wen et al. used shaking table tests and numerical simulations to investigate the seismic response of segmental tunnel linings crossing faults, revealing that shorter segments significantly reduce shear and compressive stresses [15]. Li et al. established a 3D numerical model to analyze the stress characteristics and joint deformation of shield tunnels crossing active faults and highlighted that soil stiffness and fault–tunnel distance critically affect structural damage [16]. Peng et al. numerically investigated the dynamic response of fault-crossing tunnels under strike-slip fault creep-slip and subsequent seismic shaking, demonstrating that reducing the elastic modulus of the isolation layer effectively mitigates stress responses [17]. Liu et al. simulated normal fault displacements with different dip angles and observed that multiple strata ruptures occur, with at least one reaching the ground surface when vertical fault dislocation is about 4.4% of the covering depth [18]. Wang et al. conducted a large-scale model test and found that a prismoid-like 3D shear zone forms within the fault fracture zone, causing an elongated ‘S’-shaped deformation in the tunnel and combined failure of bending moment and shear force in the shear zone [19].
The aforementioned studies primarily focus on specific engineering projects and propose tailored measures accordingly. However, geological conditions, active fault characteristics, and functional requirements vary significantly across different projects, necessitating site-specific investigations.
This study is motivated by the newly commenced Yangtze River–Hanjiang River Water Diversion Project, specifically addressing the challenge of its deep-buried, long and large tunnel crossing the active Tongcheng River Fault. It presents the first systematic investigation into the anti-dislocation performance of deep-buried water diversion tunnels. First, a combined approach of qualitative deduction and quantitative numerical simulation is employed to analyze the geostress field distribution in the Tongcheng River Fault zone and to examine the displacement characteristics of the tunnel under fault dislocation. Next, the response behavior of the lining structure subjected to active fault movement is investigated. Finally, a method for estimating design parameters of the tunnel lining is proposed, leading to practical recommendations for lining design when traversing active fault zones. The findings provide a valuable reference for future studies on structural adaptability of similar tunnels crossing active faults.

2. Characteristics of the Active Fault Zone

The water diversion line of the Yangtze River–Hanjiang River water diversion project traverses, from south to north, seven regional faults: the Wudu River Fault, Tongcheng River Fault, Yuan’an Fault, Yangri–Jiudao Fault Zone, the eastern section of the Chengkou–Fangxian Fault in Fangxian County, Baihe–Gucheng Fault, and Liangyun Fault.
Of these, the Tongcheng River Fault is classified as a Mid-Pleistocene active fault, while the others are either early- to mid-Pleistocene active faults or pre-Quaternary faults. Based on seismogeological investigations, the Tongcheng River Fault has been active from the late Mid-Pleistocene to the early Late Pleistocene and is regarded as an engineering active fault, exhibiting right-lateral normal displacement.
The fault strikes generally between 340° and 350°, dips northeastward, and has a dip angle ranging from 50° to 80°. The tunnel section crossing the Tongcheng River Fault is approximately 144 m long, with the main fault zone itself extending about 61 m. This section is buried at depths between 922 m and 966 m. Within the fracture-affected zone, mylonitized shale is predominant, whereas the main fault zone consists primarily of mylonite and is surrounded by Grade V rock. The angle between the fault and the water diversion line is about 25°, as illustrated in Figure 1 and Figure 2, Wudu River Fault, Tongcheng River Fault, Yuan’an Fault, Yangri-Jiudao Fault Zone, the eastern section of the Chengkou-Fangxian Fault in Fangxian County, Baihe-Gucheng Fault and Liangyun Fault.
The Tongcheng River Fault is classified as a Mid-Pleistocene active fault, whereas the remaining faults are categorized as early or mid-Pleistocene active faults, or as pre-Quaternary faults. Seismogeological studies indicate that the Tongcheng River Fault has been recently active from the late Mid-Pleistocene to the early Late Pleistocene, and is characterized as an engineering active fault—specifically, a right-lateral normal fault. The overall strike of the fault is 340~350°, dipping to the northeast, with a dip angle of 50°~80°. The tunnel section crossing the Tongcheng River Fault extends approximately 144 m in length, with the main fault zone occupying about 61 m of that length. The burial depth of this section ranges from 922~966 m. Within the fracture-affected zone, the lithology is dominated by mylonitized shale, while the main fault zone is primarily composed of mylonite and is surrounded by Grade V rock. The angle between the fault and the line is about 25°, as shown in Figure 1 and Figure 2.
Based on the prediction of magnitude (M)-displacement (D) relationship method, the fault length (L)-displacement (D) method and the slip rate method, the authenticity and reliability of results about the target fault displacement obtained by adopting the above three methods were analyzed, and the engineering fortification dislocation of Tongcheng River Fault was quantitatively evaluated. Research findings indicate that the horizontal displacement vector value for the Tongcheng River Fault, considered for seismic fortification over the next 100 years, is projected to range between 0.0228 m and 0.118 m. The corresponding vertical displacement vector value is estimated to be between 0.066 m and 0.205 m. Additionally, the maximum width of the zone expected to be affected by sudden seismic deformation along the fault is estimated to be less than 100 m.

3. Geostress Field of the Engineering Area

3.1. Geostress Test Data

The characteristics of the local geostress serve as the basis for analyzing the deformation and failure response of tunnel structures under the influence of active fault dislocation. To ensure the fitted geostress state closely represents actual conditions, GEK11 and SWK02, which are the two boreholes closest to the intersection of the fault and the tunnel alignment, were selected from all available holes. Given the tunnel elevation in this section, test data from depths below 500 m in both boreholes, corresponding to the tunnel level, were used for regression fitting. The conventional hydraulic fracturing method was employed for the geostress measurements. The spatial relationship between these two boreholes and the tunnel alignment is shown in Figure 3.

3.2. Geostress Regression

Based on the fitting results, the lateral pressure coefficient in the direction of the maximum horizontal principal stress is estimated to be approximately 1.27, while that in the direction of the minimum horizontal principal stress is approximately 1.08. The orientation of the geostress is taken as ≈N20° W. The regression results of the geostress field are presented in Figure 4. The range of the maximum horizontal principal stress, the minimum horizontal principal stress and the vertical stress at the active fault zone of the tunnel engineering were calculated according to the calculation formula of the horizontal principal stress and the vertical stress of the surrounding rock in the stress analysis and in combination with the buried depth of the tunnel, as shown in Table 1.
σ H = 1.27 γ H σ h = 0.97 γ H σ v = 1.00 γ H
The lateral pressure coefficient is defined as the ratio of lateral stress to vertical stress. The unit weight γ of the surrounding rock is taken as 2650 kg/m3, following the common practice in geostress measurements [20,21,22].
Based on research findings concerning the distribution characteristics of the geostress field along the tunnel, as presented in Table 1, the relationship between the geostress field in the fracture area and the tunnel axis can be determined, as illustrated in Figure 5. For the tunnel section crossing the Tongcheng River Fault, the following results are noted: the angle between the horizontal maximum principal stress and the tunnel axis is 35°; the horizontal stress component in the direction of the tunnel axis is about 20 MPa; the horizontal stress component in the direction of the vertical tunnel axis is about 21 MPa; the vertical stress component is about 18 MPa.

4. Response Characteristics of Lining Structure Under Active Fault Dislocation

4.1. Considerations on Deformation Mode of Active Fault Zone

According to existing research findings, the theories and methods for characterizing the fault dislocation displacement pattern within a tunnel-surrounding rock system are not yet fully developed, and a reasonable, accurate model for fault dislocation displacement mode has yet to be established. Through literature review, it has been observed that the structural deformation of tunnels in fault fracture zones resembles the deflection curve of a fixed-end beam undergoing differential settlement at both ends, and that the resulting deformation pattern takes on an S-shaped form. Based on this observation, the research team has proposed an S-shaped dislocation displacement mode, which is derived from the hypothesis of a fixed-end beam experiencing differential settlement.
According to the mechanics of materials, for a fixed beam support with differential settlement at both ends, the deflection curve formula is as follows:
ω = 2 a x 3 l 3 + 3 a x 2 l 2
where a is the vertical displacement (m), l is the length of the beam (m), and x is the position of a point on the beam under the coordinate system (m).
Therefore, as for the displacement mode of the ‘S’-shaped fault dislocation, the following formula is applied:
ω = 2 a t 3 l 3 + 3 a t 2 l + a 2
where t is the position of a point in the fault fracture zone under the coordinate system (m). The dislocation displacement pattern curves of ‘S’-shaped and linear lines are shown in Figure 6.
Regarding the rationality of the S-shaped displacement profile, Figure 7 presents displacement measurements obtained from a model test on a strike-slip fault with finite width conducted by Beijing University of Technology [23]. As shown by the data points in the figure, the proposed “S”-shaped displacement pattern in this study exhibits good agreement with the experimental results. Therefore, the adopted “S”-shaped displacement profile is reasonably justified and appropriate as an input condition for simulating fault dislocation.
Based on the motion characteristics of the right-lateral normal fault along Tongcheng River Fault, in the numerical simulation of this study, it is assumed that the footwall rises and that the hanging wall remains motionless.

4.2. Numerical Modeling

The tunnel has a total length of 194.8 km and the most part of it is deep-buried with an equivalent tunnel diameter of 10.2 m. The 3D model of the tunnel crossing Tongcheng River Fault was established by using FLAC3D 6.0 numerical software. The model geometry and mesh were generated via a FISH-language-based “zone create” command stream, with all components of the model simulated using solid zones. As shown in Figure 8, the numerical model was established with the tunnel axis direction (15°) as the y-axis and the vertical direction as the z-axis. To minimize boundary effects, the model extends 80 m (greater than five times the tunnel diameter) in both the positive and negative directions along the x- and z-axes from the tunnel center, and 300 m in each direction along the Y-axis (the tunnel axis) centered on the fault fracture zone. The numerical model features a minimum mesh size of 1 m and a maximum mesh size of 8 m. In total, the model comprises 204,431 nodes and 1,184,546 elements. To ensure the reliability of the numerical results, mesh refinement was applied in the rock mass using the ratio command, yielding a denser grid in the regions of the surrounding rock near the tunnel. Additional local mesh refinement was also implemented near the interfaces between the tunnel lining, surrounding rock, fault zone, and damage zone. The tunnel has a circular cross-section and is continuous in the longitudinal direction, with no fracture resistance measures taken. The tunnel has a net cross-section radius of 5.0 m. The primary shotcrete and secondary lining of the tunnel are integrated to form a composite concrete lining with a total thickness of 1.5 m. In the numerical simulation, the Mohr–Coulomb constitutive model was adopted for the surrounding rock, with material parameters determined in accordance with the Standard for Engineering Classification of Rock Masses (GB/T 50218–2014) [24], and the specific parameter values are listed in Table 2. The concrete elastoplastic damage constitutive model used in this study is based on a strain-softening framework, with its parameters calibrated according to the standard compressive and tensile stress–strain relationships for C30 concrete specified in the Code for Design of Concrete Structures (GB 50010-2010) [25]. The specific values are provided in Table 3.
In this numerical simulation, displacement constraints were applied to the fixed boundaries of the model. To simulate the fault dislocation process, a velocity distribution was assigned to the relevant regions of the model to match the S-shaped displacement profile. Specifically, a very small ‘pseudo-velocity’ was first defined in a FISH function; the total displacement of each node was then calculated as the product of this pseudo-velocity and the current number of calculation steps. As the simulation progressed incrementally, the accumulated displacement increased gradually, thereby representing the slow, continuous slip of the fault without invoking dynamic effects. The specific implementation is illustrated in Figure 9.

4.3. Response Characteristics of the Tunnel

Figure 10 shows the displacement and stress of the tunnel lining structure under a 20 cm dislocation. To enhance visibility, the deformation patterns depicted in all cloud images have been magnified by a factor of 100. The figure reveals that the stress state is particularly complex at the boundaries and the central part of the fault zone, with extreme values present. These areas warrant special attention. To further explore the response of the tunnel lining structure under fault dislocation, the subsequent chapters will provide a detailed explanation about longitudinal deformation, internal forces, and the service state of tunnels.
  • Deformation
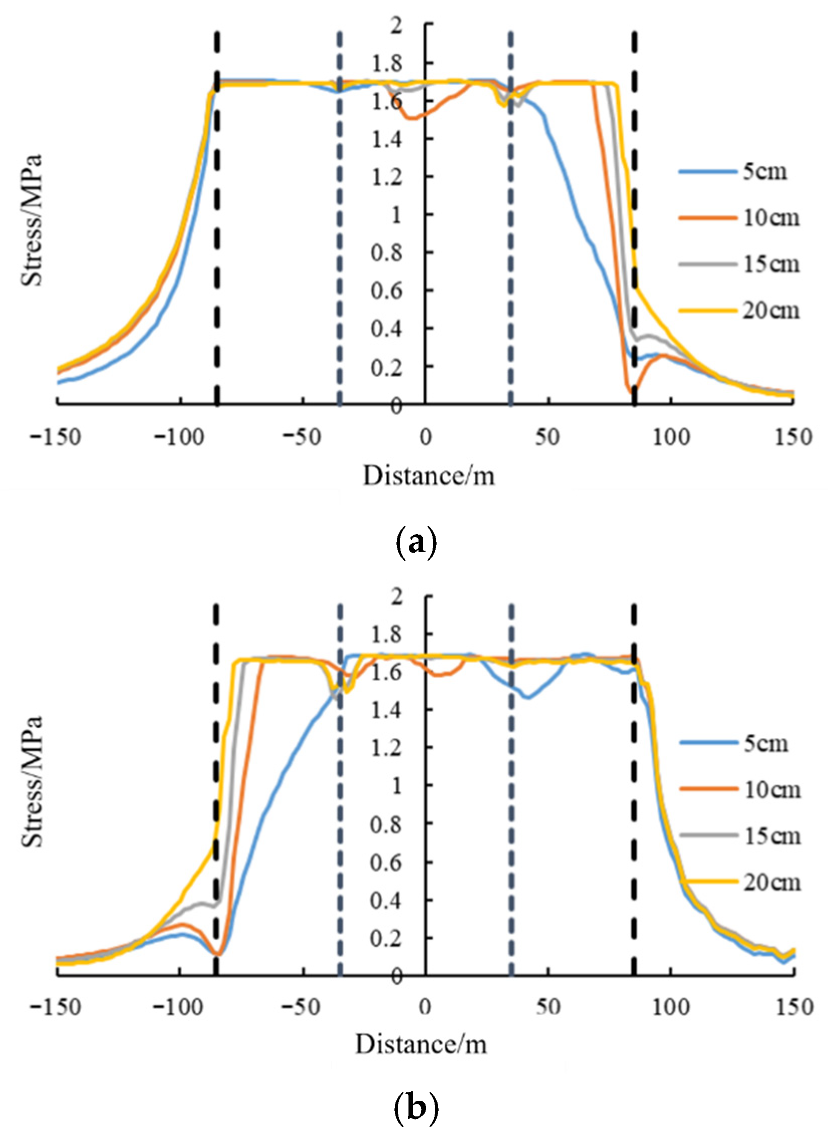
Figure 11a,b illustrates the displacement variation curves of the tunnel’s crown and invert under different dislocation conditions. The results show that the entire tunnel moves together with the displacement of the fault zone, and that the displacement curves of the tunnel crown and invert are very similar. To elucidate the relative deformation behavior of the tunnel, Figure 11c presents the relative deformation curve between the tunnel crown and invert. The figure reveals that the relative deformation of the tunnel is mainly characterized by convergence between the crown and invert under normal faulting. This convergence is most pronounced within the fault zone and increases with the magnitude of the dislocation. However, as the magnitude of fault dislocation continues to increase, the surrounding rock-lining system gradually transitions into a state of localized slip and failure. As a result, nonlinear behavior becomes more evident, and the shape of the relative deformation curve changes accordingly. Under normal fault action, the relative deformation of the tunnel sidewalls is small.
2.
Longitudinal stress
Figure 12a,b illustrates the longitudinal stress distribution curves of the tunnel’s crown and invert under varying dislocation conditions. The results indicate that under dislocation conditions, stress concentration exhibits distinct patterns at different locations. Under the action of a normal fault, the maximum principal stress in the tunnel crown and invert is concentrated within the fault zone and its adjacent affected areas, where the stress values are significantly higher. Moreover, as the magnitude of fault dislocation continues to increase, the surrounding rock-lining system starts to exhibit localized slip and failure. The nonlinear characteristics become progressively more pronounced, and the shape of the maximum principal stress curve is correspondingly altered.
Additionally, as shown in the contour plots and curves in Figure 10, Figure 11 and Figure 12, the stress and displacement of the tunnel exhibit negligible variation beyond the fault zone and damage zone, indicating that boundary effects have been effectively minimized.
3.
Service state of lining
Based on the adopted elastic-plastic damage constitutive model for concrete, the following 5 element states are defined for the concrete elements:
  • Damage-compression refers to the condition where the compressive stress in the element has exceeded the material’s peak compressive strength, and the strength evolution transitions from the strengthening phase to the weakening phase. The slight damage strain for C30 concrete can be set at 1500 × 10−6 [25].
  • Failure-compression refers to the condition where an element in the compression-shear state experiences a compressive strain that exceeds the ultimate compressive strain of concrete. The ultimate compressive strain for C30 concrete can be set at 3.0 times the peak strain, which is equivalent to 4500 × 10−6 [25].
  • Damage-tensile force occurs when the tensile strain of an element surpasses the material’s peak tensile strain. The peak tensile strain for C30 concrete can be taken as 10 × 10−6 [25].
  • Failure-tensile force occurs when the tensile strain of an element exceeds the material’s ultimate tensile strain. The ultimate tensile strain for concrete can be set as 4~10 times the peak tensile strain. Therefore, the ultimate tensile strain for C30 concrete is 40 × 10−6 [26].
  • Basically intact conditions refer to those where the compressive and tensile strains in the element do not reach the aforementioned threshold values.
The service states of tunnel lining under different dislocation conditions are shown in Figure 13. Specifically, after each 5 cm increment of fault dislocation, the lining is divided into regions corresponding to different service states based on the strain values of all lining elements. When the dislocation reaches 5 cm, only a small area of damage appears in the central part of the fault zone and the sidewall. As the dislocation increases to 10 cm, the damage area extends from the fault zone to the affected zone, with additional minor damage appearing in the central part of the fault zone and the sidewall. When the dislocation reaches 15 cm, the damage area further expands within the affected zone, and the extent of damage continues to grow. At a dislocation of 20 cm, most of the linings in both the fault zone and the affected zone are damaged. Large areas of damage are observed in the sidewalls and crown of the lining within the fault zone, while the central sidewall in the affected zone is also extensively damaged.

5. Consideration of the Adaptive Measure Design

5.1. Conceptual Design

The design is informed by a comprehensive review of domestic and international engineering cases of tunnels crossing active fault zones, incorporating multiple concepts for tunnel anti-dislocation design. Given the specific geological conditions of the tunnel of the Hanjiang River Diversion Project, its large cross-section (with an inner diameter reaching up to 10 m) and extensive main fault zone and affected zone (both exceeding 200 m), the exact range of fault movement cannot be clearly defined during the survey and design stages. Furthermore, since coseismic stick-slip dislocation poses a relatively low threat and the tunnel is a pressure tunnel, the displacement value of the active fault over a century is expected to be minor. Consequently, its impact on the tunnel’s flow capacity is considered negligible. Based on the above considerations of adaptive structure characteristics, it is recommended that a hinged anti-dislocation structure be primarily adopted, supplemented by an appropriate increase in the outer diameter of the tunnel and thickening of the lining. In other words, for the tunnel section crossing the active fault zone of the Hanjiang River Diversion Project, based on the excavation dimensions of the existing Grade V surrounding rock using drill-and-blast methods, the tunnel should be moderately enlarged. Specifically, the outer diameter of the tunnel should be increased while maintaining the same inner diameter, and the lining thickness should be augmented accordingly. Based on this modified cross-section, hinged sections should be incorporated at regular intervals along the tunnel alignment.

5.2. Estimation of Tunnel Hinged Design Parameters

(1)
Estimation method
After the tunnel is segmented by the active fault, the hinged segments exhibit relative deformation in two primary forms: segment elongation and relative rotation between segments. This rotation induces either tension or compression between adjacent segments, with the magnitude of deformation being proportional to the product of the relative rotation angle and the tunnel diameter. The total relative deformation at the hinged joint can be considered as the combined effect of these two deformations, and the resultant value determines the required width of the hinged joint. However, upon comparison, it is evident that the contribution of segment elongation to the total deformation is much smaller than that of the relative rotation angle between segments. Consequently, it is ultimately concluded that the required width of the segment is primarily determined by the relative rotation angle.
To estimate the design parameters, it is necessary to first define the function for active fault displacement mode, which serves as the basis for the calculations. Based on the displacement function presented in Formula (3), the relative rotation angle in stages is calculated in accordance with the fundamental assumptions illustrated in Figure 14.
Rotation angle at x is as follows:
θ = 6 a x l 2 + 6 a x 2 l 3
At x + Δx, the rotation angle is as follows:
θ x + Δ x = 6 a x + Δ x l 2 + 6 a x + Δ x 2 l 3
Then, the relative rotation angle between the segments is as follows:
Δ θ = ( 6 a x + Δ x x l 2 + 6 a x + Δ x 2 x 2 l 3 )
Then, the hinge width D is as follows:
D = 2 R Δ θ = 2 R ( 6 a x + Δ x x l 2 + 6 a x + Δ x 2 x 2 l 3 )
where a represents the initial displacement difference between the two ends, l is the length of the beam, x is any distance from the left end, Δx is the length of the segment, R is the tunnel radius.
(2)
Estimation results
Under the premises of the calculated fault width being 170 m, tunnel diameter being 13 m, dislocation being 0.2 m, and the fortification segment width being 6 m, the calculated relative rotation angle between segments is 0.00032 rad, corresponding to a minimum hinged joint width of 4.11 mm.
However, when determining this joint width, the limit strain of the filling material within the hinged joint must be considered to ensure that it remains undamaged during deformation. Most lightweight concrete materials used in tunnels typically lose their mechanical properties when strained between 10% and 20%. Therefore, this limit strain should also be incorporated into the calculation of the width of the hinged section. With the limit strain value of the filling material in the hinged section considered, the minimum required hinge widths corresponding to limit strain values of 10% and 20% ranges from 2 to 4 cm.
The parameter sensitivity analysis indicates that the required hinge width varies from 2.5 to 8 cm when the fault width changes by ±30%, from 4 to 8 cm when the dislocation increases by 100%, and from 2 to 6 cm when the length of the hinge segment varies between 4 and 12 m. Additionally, when different fault dislocation modes are considered, the required hinge width ranges from 2 to 5 cm.
Based on the above estimation results and with factors such as adaptability, segment length, and hinged segment width considered, it is recommended that the length of the fortification segment be set at 6 m and the width of the hinged segment at 5 cm in design.
Regarding material selection for the hinged segment, experience from relevant projects suggests that a material with low compressive strength (between 1.0 MPa and 5.0 MPa) and low elastic modulus (between 300 MPa and 1500 MPa) should be chosen. Additionally, the material should be a plastic concrete with large strain capacity and good impermeability (with a permeability coefficient between 10−9 cm/s and 10−6 cm/s).

6. Lining Response Characteristics at the Proposed Hinged Design

In the analysis, the following measures are considered to resist dislocation: a fortification segment width of 6 m, a hinged joint width of 5 cm, and the hinged joint filled with plastic concrete material characterized by an elastic modulus of 500 MPa (a typical value within the scope of the aforementioned research findings) and a Poisson’s ratio of 0.3. In FLAC3D numerical simulations, interface elements are used to accurately model very small gaps, such as those resulting from displacement along a fracture. In the interface element, normal and tangential springs are utilized to characterize the mechanical behavior of the material. The spring stiffness in both directions can be determined using the following formulas.
k n = E s
k s = G s
where s is the width of the displaced fracture (cm), E is the elastic modulus of the filling material (MPa), and G is the shear modulus of the filling material (MPa), i.e., 2 E / 1 + μ .
(1)
Deformation
Figure 15 illustrates the deformation pattern of the hinged tunnel under a 20 cm dislocation value. After the deformation is magnified by 100 times, it is evident that the hinged design has significantly contributed to the tunnel’s behavior, since all hinged joints are in a state of rotation and tension, indicating that the hinged joints have effectively fulfilled their intended role. By examining the stress nephogram of the hinged tunnel lining, it is clear that, compared to Figure 10, the stress condition on the tunnel lining has been significantly improved under the influence of the hinged structure.
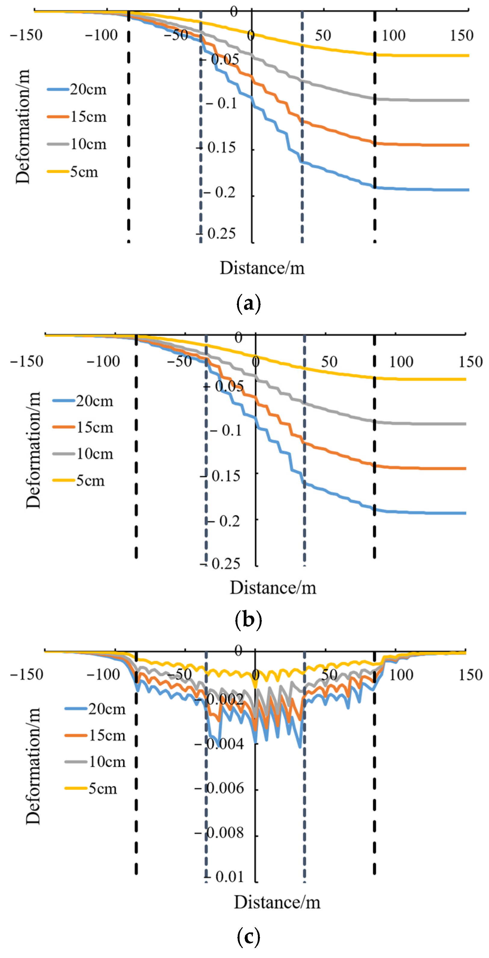
Figure 16a,b illustrates the displacement curves of the tunnel crown and invert with a hinged structure under varying dislocation conditions. The results indicate that the entire tunnel essentially moves along with the displacement of the fault zone, and that the displacement curves of the crown and invert exhibit minimal differences. However, compared to non-hinged structures, the displacement curves reveal that the primary displacement occurs at the hinged segment, with the tunnel lining itself experiencing less deformation.
To elucidate the relative deformation law of the tunnel, Figure 16c shows the relative deformation curve between the tunnel crown and invert. Under the action of a normal fault, the relative deformation of the tunnel is primarily characterized by the convergence between the tunnel crown and invert. This convergence is most pronounced within the fault zone and increases with the magnitude of the fault dislocation. However, compared to the non-hinged structure, the hinged structure features significant reduction in relative deformation.
(2)
Longitudinal stress
Figure 17a,b depict the longitudinal stress curves for the crown, invert, left sidewall, and right sidewall of the tunnel with a hinged structure under varying dislocation conditions. The results indicate that, with the inclusion of the hinged structure, the stress in each part of the tunnel lining is significantly reduced under dislocation. Stress concentration is confined to areas adjacent to the hinged segment of lining, while the stress at the main parts of the tunnel lining remains relatively low.
(3)
Service state of lining
Figure 18 shows the service states of tunnel lining under different dislocation conditions. It is observed that when the dislocation reaches 5 cm, no damage to the inner lining of the tunnel is found. When the dislocation reaches 10 cm, minor damage appears in the sidewall of the central part of the fault zone. When the dislocation increases to 15 cm, the damage area extends into the affected zone. When the dislocation reaches 20 cm, most of the lining in both the fault zone and the affected zone is damaged. However, no damage occurs within the tunnel lining itself; instead, minor damages are primarily concentrated in the areas adjacent to the outer hinged segment.
The flexible hinged design concept generally involves segmenting the tunnel into several longitudinal sections along its axis at specific intervals and introducing flexible displaced fractures (or ‘hinges’) between these segments. These displaced fractures are engineered to be flexible, allowing for compression, tension, and rotation to a certain extent. This flexibility enables the tunnel lining to accommodate the forced deformation resulting from dislocation in the fracture zone, thereby maintaining a relatively intact structural state. Consequently, the anti-dislocation mechanism of the hinged structure will be elucidated through analyses of deformation, stress, and lining service conditions.
Figure 19 illustrates the displacement curves of the tunnel crown with and without the hinged design. The results indicate that, regardless of whether the hinged structure is adopted, the tunnel predominantly moves in concert with the displacement of the fault zone. The differences are minimal in the displacement curves of the tunnel crown. The hinged design shows little influence on the overall deformation of the tunnel.
Figure 20 presents the relative deformation curve of the tunnel crown and invert with and without the hinged design. It is evident that the hinged design improves the stress state of the tunnel lining, thereby reducing damage and deformation. As a result, the relative deformation of the tunnel caused by fault dislocation is significantly minimized.
Figure 21 illustrates the maximum principal stress curve at the tunnel crown with and without the hinged design. The results show that the hinged design reduces the stress in the tunnel lining under fault dislocation. Specifically, it lowers the maximum tensile stress at the crown by 58.82%, effectively mitigating stress concentration and significantly improving the overall stress state of the lining.
Figure 22 depicts the lining volume under various conditions, both with and without the hinged structure. It is evident that the hinged design has significantly mitigated the damage to the lining. When the dislocation amount reaches 20 cm, the percentage reduction in the volume of damaged lining elements is 79.09%, and the percentage reduction in the volume of failed lining elements is 69.07%. Upon the incorporation of the hinged design, the failure of the tunnel lining is predominantly confined to the areas adjacent to the outer hinged segment.
Therefore, it can be concluded that the hinged structure design, as currently estimated, is highly effective in enabling the tunnel to accommodate the dislocation and deformation associated with active fault zones, thus ensuring the safety and integrity of the lining structure when crossing such geologically active regions.

7. Conclusions

Since the deep-buried, long tunnel of the Yangtze River-Hanjiang River water diversion project traverses the active Tongcheng River Fault, the safety of the tunnel at this active fault is one of the project’s key concerns. This study presents the first systematic investigation into the anti-dislocation performance of deep-buried water diversion tunnels. First, based on the analysis of geostress fields, the response of the lining without an adaptive structure was investigated through numerical simulation. Then, the hinged design parameters were estimated. Finally, the response characteristics of the lining with the suggested hinged design parameters were verified. The relevant research findings are summarized as follows:
(1)
For the section where the tunnel crosses Tongcheng River Fault, the azimuth angle of the maximum principal stress is approximately 340°. The maximum horizontal principal stress is around 23 MPa, the minimum horizontal principal stress is about 18 MPa, and the vertical stress is approximately 18 MPa. The angle between the horizontal maximum principal stress and the tunnel axis is 35°, and the horizontal stress component is about 20 MPa in the direction of the tunnel axis. The horizontal stress component is about 21 MPa in the direction of the vertical tunnel axis, and the vertical stress component is about 18 MPa.
(2)
A serviceability-based performance evaluation framework for tunnel lining is established, defining five distinct states: Damage-compression, Failure-compression, Damage-tensile, Failure-tensile, and Basically intact. By correlating numerical strain responses with explicit engineering safety criteria, this approach translates abstract mechanical behavior into actionable and interpretable indicators of structural condition.
(3)
In the absence of anti-dislocation measures, the relative deformation of the tunnel under the action of a normal fault is primarily characterized by the convergence between the crown and the invert, with the greatest degree of convergence occurring within the fault zone. The maximum principal stress in the crown and invert is concentrated in the fault zone and its adjacent affected zone, where the stress is significantly elevated. Under dislocation conditions, most of the lining in the fault zone and the affected zone is in a damaged state. Extensive damage zones appear in the sidewalls and crown of the lining within the fault zone, while the central sidewall in the affected zone also exhibits significant damage. Tensile failure of the lining mainly exhibited in the side wall is the dominant failure mode of lining.
(4)
A method for estimating hinged segment parameters based on the S-shaped fault dislocation mode is first proposed. This method recognizes that the required joint width is primarily controlled by the relative rotation between adjacent lining segments rather than axial extension, and it accounts for the strain capacity of the joint-filling material to prevent damage under expected deformation. Based on this approach, an initial design is established with a fortification segment length of 6 m and a hinge width of 2–4 cm. Parameter sensitivity analyses show that the required joint width is influenced by factors such as fault dislocation magnitude, segment length, and fault zone width. Considering these variations, the hinge width is ultimately recommended as 5 cm.
(4)
Following the implementation of the hinged structure with the proposed design parameters, the lining’s anti-dislocation performance is significantly enhanced. Under a fault dislocation of 20 cm, the hinged design reduces the volume of damaged lining elements by 79.09% and that of failed elements by 69.07%. It also lowers the maximum tensile stress at the tunnel crown by 58.82%, effectively mitigating stress concentration and substantially improving the overall stress state. The relative deformation, stress levels, and extent of lining damage within the fault zone are all markedly reduced, confirming the effectiveness of the hinged design in accommodating fault movement.
(5)
Future work will further optimize the fault-adaptive hinged lining design by investigating the effects of varying segment lengths, joint widths, hinge filling materials, and fortification ranges. It should be noted that this study focuses solely on the quasi-static response to tectonic fault dislocation and does not consider seismic dynamic loading. However, active fault zones may experience both long-term creep and sudden earthquake-induced slip, and their combined effects could significantly alter structural behavior. Therefore, we will investigate coupled seismic–tectonic loading scenarios to further validate the adaptability of hinged tunnel systems in seismically active regions.

Author Contributions

Conceptualization, G.Z. and Z.C.; Methodology, G.Z., G.G., Z.C. and T.Y.; Investigation, G.Z. and G.G.; Data curation, T.Y., M.Z. and J.L.; Writing—original draft, G.Z., G.G. and M.Z.; Writing—review & editing, G.Z., Z.C., T.Y. and J.L.; Supervision, G.Z.; Funding acquisition, Z.C. All authors have read and agreed to the published version of the manuscript.

Funding

This research was funded by Hubei Provincial Key R&D Program (2024BCB104), Key Research Program of the Ministry of Water Resources (SKS-2022103), Visiting Researcher Fund Program of State Key Laboratory of Water Resources Engineering and Management (No. 2023SGG07), Project of Key Laboratory of Water Grid Project and Regulation of Ministry of Water Resources (QTKS0034W23291), National Key R&D Programs for Young Scientists (no. 2023YFB2390400), National Natural Science Foundation of China (nos. U21A20159, 52379112), Key Research Program of FSDI (2022KY56(ZDZX)-02), Young Elite Scientists Sponsorship Program by CAST (2022QNRC001), and Xizang Provincial Key R&D Program (2023YFB2390400).

Data Availability Statement

Data are available upon request.

Conflicts of Interest

Authors Guoqiang Zhang, Tianyou Yan, Maochu Zhang and Jianhe Li were employed by the company Changjiang Survey, Planning, Design and Research Co., Ltd. The remaining authors declare that the research was conducted in the absence of any commercial or financial relationships that could be construed as a potential conflict of interest.

References

  1. Xu, X.; Guo, T.; Liu, S.; Yu, G.; Chen, G.; Wu, X. Discussion on Issues Associated with Setback Distance from Active Fault. Seismol. Geol. 2016, 38, 477–502. (In Chinese) [Google Scholar]
  2. Xue, Y.; Kong, F.; Yang, W.; Qiu, D.; Su, M.; Fu, K.; Ma, X. Main Unfavorable Geological Conditions and Engineering Geological Problems along Sichuan—Tibet Railway. Chin. J. Rock Mech. Eng. 2020, 39, 445–468. (In Chinese) [Google Scholar]
  3. Zhang, X.; Fu, P.; Yin, J.; Liu, Y. In-situ Stress Characteristics and Active Tectonic Response of Xianglushan Tunnel of Middle Yunnan Water Diversion Project. Chin. J. Geotech. Eng. 2021, 43, 130–139. (In Chinese) [Google Scholar]
  4. Wang, W.; Ren, Q. General Introduction to the Effect of Active Fault on Deeply Buried Tunnel. Earthq. Eng. Eng. Vib. 2006, 26, 175–180. (In Chinese) [Google Scholar]
  5. Chen, P.; Geng, P.; Chen, J.; Gu, W. The seismic damage mechanism of Daliang tunnel by fault dislocation during the 2022 Menyuan Ms6.9 earthquake based on unidirectional velocity pulse input. Eng. Fail. Anal. 2023, 145, 107047. [Google Scholar] [CrossRef]
  6. Cai, Q.P.; Peng, J.M.; Ng, C.W.; Shi, J.W.; Chen, X.X. Centrifuge and numerical modelling of tunnel intersected by normal fault rupture in sand. Comput. Geotech. 2019, 111, 137–146. [Google Scholar] [CrossRef]
  7. Ghadimi, C.A.; Tahghighi, H. Numerical finite element analysis of underground tunnel crossing an active reverse fault: A case study on the Sabzkouh segmental tunnel. Geomech. Geoengin. 2019, 14, 155–166. [Google Scholar] [CrossRef]
  8. Chen, Y.; Huang, D. Centrifuge Test of Deformation Characteristics of Overburden Clay Subjected to Normal and Reverse Fault Rupture. Rock Soil Mech. 2017, 38, 189–194. (In Chinese) [Google Scholar]
  9. Baziar, M.H.; Nabizadeh, A.; Lee, C.J.; Hung, W.Y. Centrifuge modeling of interaction between reverse faulting and tunnel. Soil Dyn. Earthq. Eng. 2014, 65, 151–164. [Google Scholar] [CrossRef]
  10. Liu, G.; Zhang, Y.; Ren, J.; Xiao, M. Seismic response analysis of tunnel through fault considering dynamic interaction between rock mass and fault. Energies 2021, 14, 6700. [Google Scholar] [CrossRef]
  11. Zaheri, M.; Ranjbarnia, M.; Dias, D. 3D numerical investigation of segmental tunnels performance crossing a dip-slip fault. Geomech Eng 2020, 23, 351–364. [Google Scholar]
  12. Sabagh, M.; Ghalandarzadeh, A. Numerical modelings of continuous shallow tunnels subject to reverse faulting and its verification through a centrifuge. Comput. Geotech. 2020, 128, 103813. [Google Scholar] [CrossRef]
  13. Zhong, Z.; Wang, Z.; Zhao, M.; Du, X. Structural damage assessment of mountain tunnels in fault fracture zone subjected to multiple strike-slip fault movement. Tunn. Undergr. Space Technol. 2020, 104, 103527. [Google Scholar] [CrossRef]
  14. Ramesh, A.; Rashiddel, A.; Hajihassani, M.; Dias, D.; Kiani, M. Interaction of segmental tunnel linings and dip-slip Faults—Tabriz subway tunnels. Appl. Sci. 2023, 13, 7866. [Google Scholar] [CrossRef]
  15. Wen, Y.M.; Xin, C.L.; Shen, Y.S.; Huang, Z.M.; Gao, B. The seismic response mechanisms of segmental lining structures applied in fault-crossing mountain tunnel: The numerical investigation and experimental validation. Soil Dyn. Earthq. Eng. 2021, 151, 107001. [Google Scholar] [CrossRef]
  16. Li, H.; Li, X.; Yang, Y.; Liu, Y.; Ma, M. Structural stress characteristics and joint deformation of shield tunnels crossing active faults. Appl. Sci. 2022, 12, 3229. [Google Scholar] [CrossRef]
  17. Peng, S.; Zeng, Y.; Fan, L.; Wang, G.; Xun, Z.; Chen, G. Numerical investigation on the dynamic response of fault-crossing tunnels under strike-slip fault creep-slip and subsequent seismic shaking. Buildings 2023, 13, 1163. [Google Scholar] [CrossRef]
  18. Liu, X.; Li, X.; Sang, Y.; Lin, L. Experimental study on normal fault rupture propagation in loose strata and its impact on mountain tunnels. Tunn. Undergr. Space Technol. 2015, 49, 417–425. [Google Scholar] [CrossRef]
  19. Wang, T.; Geng, P.; Li, P.; Wang, Q.; Wang, L. Deformation and failure of overburden soil subjected to normal fault dislocation and its impact on tunnel. Eng. Fail. Anal. 2022, 142, 106747. [Google Scholar] [CrossRef]
  20. Asadi, S.; Javan, M.; Bohloli, B.; Mutabashiani, S. Experimental, Numerical and Analytical Investigation the Initiation and Propagation of Hydraulic Fracturing (Case Study: Sarvak Lime Stone). World Appl. Sci. J. 2013, 22, 637–646. [Google Scholar]
  21. Klee, G.; Bunger, A.; Meyer, G.; Rummel, F.; Shen, B. In Situ Stresses in Borehole Blanche-1/South Australia Derived from Breakouts, Core Discing and Hydraulic Fracturing to 2 km Depth. Rock Mech. Rock Eng. 2011, 44, 531–540. [Google Scholar] [CrossRef]
  22. Wang, C.; Zhang, Y.; Guo, Q.; Zhao, S. New integrated analysis method to analyze stress regime of engineering area. Chin. J. Geotech. Eng. 2011, 33, 1562–1568. (In Chinese) [Google Scholar]
  23. Zhou, G. Investigating the Mechanism of Fault Failure and Faulting Resistance Measures for a Water Conveyance Tunnel Subjected to Active Faults. Ph.D. Thesis, University of the Chinese Academy of Sciences, Beijing, China, 2022. (In Chinese). [Google Scholar]
  24. GB/T 50218–2014; Standard for Engineering Classification of Rock Mass. Ministry of Housing and Urban-Rural Development of the People’s Republic of China: Beijing, China, 2014.
  25. GB 50010-2010; Code for Design of Concrete Structures. Ministry of Housing and Urban-Rural Development of the People’s Republic of China: Beijing, China, 2010.
  26. DL/T 5057-2009; Design Specification for Hydraulic Concrete Structures. National Energy Administration of the People’s Republic of China: Beijing, China, 2009.
Figure 1. Satellite image interpretation map of intersection point of diversion tunnel line and Tongcheng River fault.
Figure 1. Satellite image interpretation map of intersection point of diversion tunnel line and Tongcheng River fault.
Buildings 16 00004 g001
Figure 2. Engineering geological profile of tunnel crossing Tongcheng River fault.
Figure 2. Engineering geological profile of tunnel crossing Tongcheng River fault.
Buildings 16 00004 g002
Figure 3. Relationship between GEK11 and SWK02 holes and fault zones/lines.
Figure 3. Relationship between GEK11 and SWK02 holes and fault zones/lines.
Buildings 16 00004 g003
Figure 4. Geostress fitting results of Tongcheng River fault.
Figure 4. Geostress fitting results of Tongcheng River fault.
Buildings 16 00004 g004
Figure 5. Relationship between ground stress field in fracture area and tunnel axis.
Figure 5. Relationship between ground stress field in fracture area and tunnel axis.
Buildings 16 00004 g005
Figure 6. Fault displacement pattern curves of S-type and linear lines.
Figure 6. Fault displacement pattern curves of S-type and linear lines.
Buildings 16 00004 g006
Figure 7. Model test results considering fault width [23]: (a) Test apparatus; (b) Comparison between experimental and numerical simulation results.
Figure 7. Model test results considering fault width [23]: (a) Test apparatus; (b) Comparison between experimental and numerical simulation results.
Buildings 16 00004 g007
Figure 8. Three-dimensional analysis model of tunnel crossing Tongcheng River fault.
Figure 8. Three-dimensional analysis model of tunnel crossing Tongcheng River fault.
Buildings 16 00004 g008
Figure 9. Application of fault displacement.
Figure 9. Application of fault displacement.
Buildings 16 00004 g009
Figure 10. Tunnel lining response under the condition of 20 cm dislocation.
Figure 10. Tunnel lining response under the condition of 20 cm dislocation.
Buildings 16 00004 g010
Figure 11. Displacement curves at different positions of tunnel under different fault values: (a) tunnel crown, (b) tunnel invert, (c) relative deformation between the crown and invert.
Figure 11. Displacement curves at different positions of tunnel under different fault values: (a) tunnel crown, (b) tunnel invert, (c) relative deformation between the crown and invert.
Buildings 16 00004 g011
Figure 12. Longitudinal stress curves at different positions of the tunnel under different fault values (pull + press −): (a) tunnel crown, (b) tunnel invert.
Figure 12. Longitudinal stress curves at different positions of the tunnel under different fault values (pull + press −): (a) tunnel crown, (b) tunnel invert.
Buildings 16 00004 g012
Figure 13. Service status of tunnel lining under different fault load conditions.
Figure 13. Service status of tunnel lining under different fault load conditions.
Buildings 16 00004 g013
Figure 14. Schematic diagram for calculating relative angle between segments.
Figure 14. Schematic diagram for calculating relative angle between segments.
Buildings 16 00004 g014
Figure 15. Tunnel lining response under the condition of 20 cm dislocation when considering the hinged structure.
Figure 15. Tunnel lining response under the condition of 20 cm dislocation when considering the hinged structure.
Buildings 16 00004 g015
Figure 16. Displacement curves of the tunnel with articulated structure under different fault values: (a) tunnel crown, (b) tunnel invert, (c) relative deformation between the crown and invert.
Figure 16. Displacement curves of the tunnel with articulated structure under different fault values: (a) tunnel crown, (b) tunnel invert, (c) relative deformation between the crown and invert.
Buildings 16 00004 g016
Figure 17. Maximum longitudinal stress curves of tunnel under different fault values (pull + press −): (a) tunnel crown, (b) tunnel invert.
Figure 17. Maximum longitudinal stress curves of tunnel under different fault values (pull + press −): (a) tunnel crown, (b) tunnel invert.
Buildings 16 00004 g017
Figure 18. Service status of tunnel lining under different fault load conditions.
Figure 18. Service status of tunnel lining under different fault load conditions.
Buildings 16 00004 g018
Figure 19. Displacement curve of tunnel crown with or without hinged structure.
Figure 19. Displacement curve of tunnel crown with or without hinged structure.
Buildings 16 00004 g019
Figure 20. Relative deformation curve of tunnel crown and invert with or without hinged structure.
Figure 20. Relative deformation curve of tunnel crown and invert with or without hinged structure.
Buildings 16 00004 g020
Figure 21. Longitudinal stress curve of tunnel crown with or without hinged structure.
Figure 21. Longitudinal stress curve of tunnel crown with or without hinged structure.
Buildings 16 00004 g021
Figure 22. Lining volumes of different states with or without hinged structure.
Figure 22. Lining volumes of different states with or without hinged structure.
Buildings 16 00004 g022
Table 1. Ground stress characteristics of local cavity section of Tongcheng River fault.
Table 1. Ground stress characteristics of local cavity section of Tongcheng River fault.
ChainageOverburden Depth (m)Tunnel Axis Azimuth (°)Maximum Principal Stress Azimuth (°)Angle Between Maximum Principal Stress and Tunnel Axis (°)Principal Stress Magnitude (MPa)
Maximum Horizontal Principal StressMinimum Horizontal Principal StressVertical Stress
K96 + 709~K96 + 7781076.4~1129.2153403522.77~23.8917.39~18.2517.93~18.81
Table 2. Suggested values of physical and mechanical parameters of surrounding rock of tunnel crossing Tongcheng River fault.
Table 2. Suggested values of physical and mechanical parameters of surrounding rock of tunnel crossing Tongcheng River fault.
StratumSurrounding Rock ClassificationDensity
(kg·m−3)
Uniaxial Compressive Strength
(MPa)
Elastic Modulus (GPa)Poisson’s RatioTensile Strength (MPa)Friction Angle (°)Cohesion
(MPa)
S3sIII2.65 × 1038070.281.0451.0
S1lnIV2.65 × 1032540.30.7350.7
Damage zoneIV22.5 × 103101.20.330.5300.5
Fault zoneV2.4 × 103810.350.3240.3
Table 3. Lining material parameters.
Table 3. Lining material parameters.
Elastic Modulus (GPa)Poission’s RatioDensity
(kg/m3)
Peak/Residual Cohesion (MPa)Peak/Residual Friction Angle (°)Peak/Residual Tension Strength (MPa)
300.225003.16/0.2554.9/462.0/0
Disclaimer/Publisher’s Note: The statements, opinions and data contained in all publications are solely those of the individual author(s) and contributor(s) and not of MDPI and/or the editor(s). MDPI and/or the editor(s) disclaim responsibility for any injury to people or property resulting from any ideas, methods, instructions or products referred to in the content.

Share and Cite

MDPI and ACS Style

Zhang, G.; Guan, G.; Cui, Z.; Yan, T.; Zhang, M.; Li, J. Deformation Mechanism and Adaptive Measure Design of a Large-Buried-Depth Water Diversion Tunnel Crossing an Active Fault Zone. Buildings 2026, 16, 4. https://doi.org/10.3390/buildings16010004

AMA Style

Zhang G, Guan G, Cui Z, Yan T, Zhang M, Li J. Deformation Mechanism and Adaptive Measure Design of a Large-Buried-Depth Water Diversion Tunnel Crossing an Active Fault Zone. Buildings. 2026; 16(1):4. https://doi.org/10.3390/buildings16010004

Chicago/Turabian Style

Zhang, Guoqiang, Guoxing Guan, Zhen Cui, Tianyou Yan, Maochu Zhang, and Jianhe Li. 2026. "Deformation Mechanism and Adaptive Measure Design of a Large-Buried-Depth Water Diversion Tunnel Crossing an Active Fault Zone" Buildings 16, no. 1: 4. https://doi.org/10.3390/buildings16010004

APA Style

Zhang, G., Guan, G., Cui, Z., Yan, T., Zhang, M., & Li, J. (2026). Deformation Mechanism and Adaptive Measure Design of a Large-Buried-Depth Water Diversion Tunnel Crossing an Active Fault Zone. Buildings, 16(1), 4. https://doi.org/10.3390/buildings16010004

Note that from the first issue of 2016, this journal uses article numbers instead of page numbers. See further details here.

Article Metrics

Back to TopTop