Sign in to use this feature.

Years

Between: -

Subjects

remove_circle_outline
remove_circle_outline
remove_circle_outline
remove_circle_outline
remove_circle_outline
remove_circle_outline
remove_circle_outline
remove_circle_outline
remove_circle_outline

Journals

Article Types

Countries / Regions

remove_circle_outline
remove_circle_outline
remove_circle_outline
remove_circle_outline

Search Results (657)

Search Parameters:
Keywords = seedling diameter

Order results
Result details
Results per page
Select all
Export citation of selected articles as:
16 pages, 1167 KB  
Article
Diversity of Coffea canephora Genotypes from the Robusta and Conilon Botanical Groups at the Seedling Stage
by Pablo Santana Vial, Niquisse José Alberto, Emanoel Chequetto, Wellington Castrillon Grélla, Laís da Silva Magevski, Militino Paiva Carrafa, Edilson Romais Schmildt, Deurimar Herênio Gonçalves Júnior and Fábio Luiz Partelli
Int. J. Plant Biol. 2026, 17(4), 34; https://doi.org/10.3390/ijpb17040034 - 21 Apr 2026
Viewed by 178
Abstract
This study evaluated the morphological development of 23 Coffea canephora clones in Espírito Santo to identify materials with superior vigor and quality for commercial and breeding purposes. Seedlings from cuttings were arranged in a completely randomized design with ten replicates and assessed at [...] Read more.
This study evaluated the morphological development of 23 Coffea canephora clones in Espírito Santo to identify materials with superior vigor and quality for commercial and breeding purposes. Seedlings from cuttings were arranged in a completely randomized design with ten replicates and assessed at the commercial dispatch stage. Shoot and root growth, biomass, leaf area (LA), Dickson Quality Index (DQI), structural ratios (shoot/root ratio, SRR; height/diameter ratio, HDR), and anatomical traits were measured. Data were analyzed using analysis of variance with Scott–Knott clustering, Pearson correlation, and Principal Component Analysis (PCA). Significant variability was observed among clones. Clones 88, VR3, 8, and LB33 showed the highest stem diameter (SD), total dry mass (TDM), LA, and DQI, with balanced shoot and root development. Leaf area correlated strongly with SD, number of leaves (NL), biomass, and DQI, confirming its role as a seedling quality indicator. PCA identified two groups: a high-performance group with greater vigor and biomass, and a lower-performance group including clones 7, MR04, and VR4. The convergence of methods confirms the robustness of the results. Overall, clones 88, VR3, 8, and LB33 demonstrate superior agronomic potential at the seedling stage, offering promising options for nurseries, growers, and clonal selection programs. Full article
(This article belongs to the Section Plant Reproduction)
Show Figures

Figure 1

25 pages, 6626 KB  
Article
Foliar Magnesium Supplementation as a Strategy to Mitigate Salt Stress in Guava (Psidium guajava L.) Cultivars: Physiological and Growth Responses
by Luan Cordeiro de Souza Barbosa, Paulo Cássio Alves Linhares, Maria Mayanna Xavier Cavalcante, Daniella Xavier Maia, Gabriel Sidharta dos Santos Rego, Rita de Cássia do Nascimento Medeiros-Sá, Alexandre Xavier de Oliveira, Diogo Santos Cavalcante, Alex Alvares da Silva, Kleane Targino de Oliveira Pereira, Salvador Barros Torres, Miguel Ferreira Neto, Agda Malany Forte de Oliveira, Alberto Soares de Melo and Francisco Vanies da Silva Sá
Agriculture 2026, 16(8), 905; https://doi.org/10.3390/agriculture16080905 - 20 Apr 2026
Viewed by 267
Abstract
The guava tree (Psidium guajava L.) is a tropical fruit tree of worldwide importance; however, the salinity of irrigation water severely limits its development in semi-arid regions. However, magnesium (Mg) can mitigate this stress by promoting plant photosynthetic activity. The objective was [...] Read more.
The guava tree (Psidium guajava L.) is a tropical fruit tree of worldwide importance; however, the salinity of irrigation water severely limits its development in semi-arid regions. However, magnesium (Mg) can mitigate this stress by promoting plant photosynthetic activity. The objective was to evaluate the effect of foliar Mg in mitigating saline stress on photosynthesis and the growth of guava cultivar seedlings. The experiment was conducted in a randomized complete block design, in a 2 × 2 × 3 factorial scheme, with two guava cultivars (Kumagai and Paluma), two irrigation water salinity levels (a low-salinity control—0.5 dS m−1, and salt stress—2.5 dS m−1), and three doses of foliar Mg (0, 1, and 2 mL L−1), and six replications. A salinity of 2.5 dS m−1 reduced growth and gas exchange in both cultivars, with a reduction of approximately 30% in total dry mass, and 16% in CO2 assimilation rate. Supplementation with 1 mL L−1 of Mg attenuated the effects of stress, stimulating chlorophyll synthesis and gas exchange, reducing approximately leaf temperature in 3.5%, and vapor pressure deficit (VPD) in 12%. The Paluma cultivar was more responsive to Mg under salinity, with improved CO2 assimilation rate, stomatal control, and water use efficiency. Kumagai showed greater growth in height and diameter with 1 mL L−1 under stress. Foliar application of magnesium (1 mL L−1) is a promising strategy to produce guava seedlings under saline stress. Full article
Show Figures

Figure 1

11 pages, 1238 KB  
Article
Analysis of Allometric Relations of Picea schrenkiana in Different Development Stages in the Western Tianshan Mountains of China
by Jiongkun He, Yuqing Zhang, Zhenwei Xu, Rukang Shi, Yunfei Yang and Dayong Han
Forests 2026, 17(4), 487; https://doi.org/10.3390/f17040487 - 15 Apr 2026
Viewed by 223
Abstract
During the growth process of a tree population, the characteristics of biomass allocation vary with individual size or development stages, which typically reflect the life-history strategies of plant populations. However, differences in allometric strategies across different development stages and the underlying factors influencing [...] Read more.
During the growth process of a tree population, the characteristics of biomass allocation vary with individual size or development stages, which typically reflect the life-history strategies of plant populations. However, differences in allometric strategies across different development stages and the underlying factors influencing these differences have not yet been fully studied. This study investigated the differences in the allometric relations among tree height (H), diameter at breast height (DBH), and crown width (CW) of Picea schrenkiana growing in the western Tianshan Mountains of China, across different development stages and slope aspects. The results revealed that allometric relations exist among H, DBH, and CW of P. schrenkiana at all development stages. The differences in allometric relations among different development stages were significant. Moreover, the allometric patterns varied with development stages, with seedlings prioritizing DBH growth and saplings prioritizing CW growth. The allometric relations of P. schrenkiana at different development stages did not change significantly with different slope aspects. In summary, P. schrenkiana adopts an allometric strategy at all development stages, with significant differences in the allometric relations at each stage, and these differences remain unchanged across different slope aspects. Our findings can provide crucial theoretical support for the management and ecological conservation of this tree species. Full article
(This article belongs to the Section Forest Ecology and Management)
Show Figures

Figure 1

24 pages, 3759 KB  
Article
Variation in Seed Traits, Germination Performance, and Seedling Morphology of Cotinus coggygria (Scop.) in Relation to Provenance and Seed Size
by Askin Gokturk and Asiye Surmeli
Horticulturae 2026, 12(4), 426; https://doi.org/10.3390/horticulturae12040426 - 1 Apr 2026
Viewed by 410
Abstract
Cotinus coggygria (Scop) is a medicinally valuable species naturally distributed in the Artvin region of Turkiye. However, information on its seed traits, germination behavior, and seedling morphology in relation to seed size and provenance remains limited. This study aimed to evaluate the effects [...] Read more.
Cotinus coggygria (Scop) is a medicinally valuable species naturally distributed in the Artvin region of Turkiye. However, information on its seed traits, germination behavior, and seedling morphology in relation to seed size and provenance remains limited. This study aimed to evaluate the effects of seed size and provenance on the seed characteristics, germination, and seedling morphological traits of C. coggygria. Seeds were collected from four provenances (Seyitler, Tepekoy, Eskikale, and Tortum) and classified into large and small size groups using a 2 mm sieve. The seed traits of length, diameter, thickness, sphericity, volume, and thousand-seed weight were considered. To break seed dormancy, the seeds were subjected to sulfuric acid scarification and cold stratification treatments. Germination trials were conducted under nursery conditions using 45-cell trays in a randomized block design with four replicates. The mean germination time was significantly affected by provenance, whereas seed size and pretreatment combinations had no significant effects. Seed size did not significantly influence seedling morphology, whereas provenance caused significant differences. Seedlings originating from Eskikale exhibited greater height and root collar diameter, with root mass fractions ranging from 80.25% to 82.78%. These results indicate that provenance is a key factor influencing germination and seedling morphology rather than seed size. Full article
(This article belongs to the Section Propagation and Seeds)
Show Figures

Figure 1

18 pages, 2328 KB  
Article
Morphological Traits Shape Foraging Scale but Not Precision: Divergent Responses of Four Tree Species to Water and Nutrient Heterogeneity
by Liuduan Wei, Tianxin Dong, Liufeng Lan, Jian Lin, Xianwen Li, Miao Yu and Chengyang Xu
Plants 2026, 15(7), 998; https://doi.org/10.3390/plants15070998 - 24 Mar 2026
Viewed by 280
Abstract
Soil nutrients and water are often distributed heterogeneously in space, yet how plant roots forage in response to such heterogeneity and how their strategies relate to functional traits remain poorly understood. Here, we conducted an indoor pot experiment manipulating water and nutrient supply [...] Read more.
Soil nutrients and water are often distributed heterogeneously in space, yet how plant roots forage in response to such heterogeneity and how their strategies relate to functional traits remain poorly understood. Here, we conducted an indoor pot experiment manipulating water and nutrient supply in both homogeneous and heterogeneous patch patterns using seedlings of four tree species, focusing on root functional traits and foraging strategies. The results indicate that root foraging behavior exhibits both resource specificity and species specificity: roots tend to proliferate toward nutrient-rich and low-water patches as an adaptive strategy. Although no strict dichotomy was observed between high foraging scale (low precision) and low foraging scale (high precision) strategies under heterogeneous conditions, fine-rooted species (Acer truncatum and Koelreuteria paniculata) exhibited traits leaning toward “precise foraging”, whereas coarse-rooted species (Prunus davidiana and Quercus variabilis) tended toward a conservative “random walk” pattern, with no trade-off between root foraging scale and precision. Root morphological traits exerted significant nonlinear regulation on foraging scale: root biomass foraging scale (FSRB) correlated positively with root diameter (RD) but negatively with specific root length (SRL) and specific root area (SRA); root length foraging scale (FSRL) correlated positively with root length (RL), root tip number (RTN), SRL, and SRA. In contrast, root morphological traits could not explain the variation in foraging precision, suggesting that foraging precision constitutes another distinct dimension in root-trait space. In summary, this study provides key insights into the foraging strategies of plant roots in heterogeneous environments, expanding our understanding of the multidimensionality of root functional traits. Full article
Show Figures

Figure 1

24 pages, 4894 KB  
Article
Influence of Light Quality on the Growth of Machine-Compatible Tomato Seedlings Before and After Grafting
by Yexin Wu, Yinghui Mu, Chongyang Yan, Song Gu, Yichi Wang, Zhiyu Ma and Xingping Chen
Horticulturae 2026, 12(3), 340; https://doi.org/10.3390/horticulturae12030340 - 11 Mar 2026
Viewed by 448
Abstract
Tomato (Solanum lycopersicum L.) is an economically important horticultural crop. The application of mechanical grafting technology enables the efficient, large-scale production of grafted tomato seedlings, which is of great significance for overcoming continuous cropping obstacles and boosting tomato yield. In this study, [...] Read more.
Tomato (Solanum lycopersicum L.) is an economically important horticultural crop. The application of mechanical grafting technology enables the efficient, large-scale production of grafted tomato seedlings, which is of great significance for overcoming continuous cropping obstacles and boosting tomato yield. In this study, tomato cultivar ‘Juxiang 1809’ as the scion and ‘T17-2’ as the rootstock were used to systematically investigate the effects of red-blue light quality pretreatments on tomato grafted seedlings. The rootstock and scion seedlings were cultivated under white (W), pure red (R), pure blue (B), and five mixed red-blue lights (R7B1, R3B1, R1B1, R1B3, R1B7). Our results demonstrated that R3B1 (Red: Blue = 3:1) yielded the highest scion comprehensive score (2.06), promoting balanced growth with robust stem diameter (2.75 mm) and high aboveground dry weight (0.36 g). For rootstocks, R3B1 also excelled, driving optimal root development with maximum root area (26.32 cm2) and dry weight (0.046 g). Post-grafting, R3B1-pre-treated seedlings maintained vigorous growth with enhanced photosynthetic capacity (37.10) and biomass accumulation. These findings demonstrate that R3B1 light quality is highly effective. It optimizes both scion vigor and rootstock root architecture. This offers a practical light-regulation strategy. It is applicable to the production of high-quality, machine-compatible tomato grafted seedlings in controlled environments. Full article
(This article belongs to the Special Issue Optimized Light Management in Controlled-Environment Horticulture)
Show Figures

Figure 1

21 pages, 4337 KB  
Article
Study on the Performance of Seedling-Carrying Potting for Mechanical Transplanting of Oilseed Rape and Its Effect on Seedling Growth
by Wei Quan, Jingyuan Sun, Haiyang Chen, Fanggang Shi, Xiaohu Jiang, Dongcai Tao, Hao Zhong and Mingliang Wu
Agriculture 2026, 16(6), 635; https://doi.org/10.3390/agriculture16060635 - 10 Mar 2026
Viewed by 290
Abstract
This study proposed a standardized oilseed rape seedling-carrying potting molding method to improve the adaptability of mechanical transplanting of potting seedlings. This method aims to address the failure in seedling pick-up and transport during the mechanized transplanting of rapeseed pot seedlings, which is [...] Read more.
This study proposed a standardized oilseed rape seedling-carrying potting molding method to improve the adaptability of mechanical transplanting of potting seedlings. This method aims to address the failure in seedling pick-up and transport during the mechanized transplanting of rapeseed pot seedlings, which is caused by matrix breakage and seedling damage. This study selected cylindrical oilseed rape seedling-carrying potting as the research object and investigated the relationship between the physical characteristics of seedling-carrying potting and the proportion of the composition of the matrix soil as well as the characteristics of seedling growth after planting. The optimal parameter combination of the matrix soil was obtained using Design-Expert 8.0.6 software: dry matter ratio of 4:1, compression ratio of 0.36, and moisture content of 45%. A single-factor test was conducted using a seedling-carrying potting test bed. According to the single-factor test results, the dry matter ratios (commercial substrate: clay loam mass ratios of 2:1, 3:1, and 4:1), matrix soil compression ratios (0.35, 0.40, and 0.45), and matrix soil moisture content (35%, 40%, and 45%) were selected as the factors of influence, while the drop loss rate, shear resistance, and scattering rate were used as the indicators of evaluation. The drop loss rate of seedling-carrying potting under this parameter combination was 1.5%, the shear resistance was 7.1 N, and the scattering rate was 34.9%. Validation tests were conducted on a seedling-carrying potting test bed, and the relative errors between the actual and simulated values of the drop loss rate, shear resistance, and scattering rate were 7.1%, 7.0%, and 8.4%, respectively, verifying the accuracy of the model and the optimized parameters. Comparison tests of the growth characteristics of the optimized seedling-carrying potting, hole-tray seedling, and bare seedling in field transplanting were conducted. The results displayed that root length, root diameter, root dry matter, chlorophyll content, and seedling vigor index consistently followed the same descending order: seedling-carrying potting > hole-tray seedlings > bare seedlings. Compared to hole-tray seedlings, the corresponding growth characteristics of seedling-carrying potting were 11.7%, 10%, 21.7%, 2.8%, and 27.8% higher, respectively. Compared to bare seedlings, they were 17.1%, 12.5%, 32.2%, 10.8%, and 32.7% higher, respectively. The seedling length, seedling width, plant taper angle, and dry matter mass of stem and leaves were, in descending order, greater in hole-tray seedlings, followed by seedling-carrying potting, and then bare seedlings. In comparison, the corresponding growth characteristics of seedling-carrying potting were 8.9%, 9.8%, 2.3%, and 30.6% higher than those of bare seedlings, respectively. Full article
Show Figures

Figure 1

22 pages, 6176 KB  
Article
A Study on the Directional Cultivation of Mechanization-Adapted Watermelon Scion Seedlings in a Plant Factory
by Chongyang Yan, Yinghui Mu, Yexin Wu, Song Gu, Yichi Wang, Zhiyu Ma and Xingping Chen
Horticulturae 2026, 12(3), 327; https://doi.org/10.3390/horticulturae12030327 - 9 Mar 2026
Viewed by 271
Abstract
Achieving high morphological uniformity and mechanical strength is critical for the automation of watermelon grafting; yet, specific light protocols targeting these traits are lacking. This study employed LED lighting to regulate the morphological development of watermelon scion seedlings in a controlled plant factory [...] Read more.
Achieving high morphological uniformity and mechanical strength is critical for the automation of watermelon grafting; yet, specific light protocols targeting these traits are lacking. This study employed LED lighting to regulate the morphological development of watermelon scion seedlings in a controlled plant factory environment. Using the watermelon cultivar ‘Heimeiling’ as the experimental material, three sequential experiments were conducted: (1) Under conditions of 95 μmol·m−2·s−1 light intensity and a 12 h photoperiod, seven red/blue light ratios and a white light control were tested to identify the appropriate light quality. (2) Under the R3B1 light quality, gradients of the daily light integral (DLI) ranging from 2.88 to 17.28 mol·m−2·d−1 were established by adjusting the light intensity and photoperiod to determine the optimal DLI. (3) Based on the above results, an orthogonal experiment was designed, with factors including the light quality (R7B1, R3B1, R1B1; where R7B1 represents 87.5% red light and 12.5% blue light), light intensity (120, 160, 200 μmol·m−2·s−1), and photoperiod (16 h, 20 h, 24 h) to identify the optimal light environment combination for mechanical grafting. Results indicated that while monochromatic red light induced excessive elongation and suppressed metabolism, the R3B1 spectrum significantly enhanced the stem diameter, mechanical strength, and carbon–nitrogen accumulation while maintaining hormonal balance. Regarding the daily light integral (DLI), seedlings exhibited an optimal performance at 11.52 mol·m−2·d−1. Lower DLI levels led to etiolation, whereas higher levels caused photoinhibition and PSII damage. Furthermore, orthogonal analysis revealed that light intensity was the dominant factor driving stem thickening and biomass accumulation, while light quality primarily regulated plant height. Consequently, a combination of R3B1 light quality, 200 μmol·m−2·s−1 intensity, and a 20 h photoperiod was identified as the optimal strategy to satisfy the stringent morphological requirements for mechanical grafting. Full article
(This article belongs to the Special Issue Optimized Light Management in Controlled-Environment Horticulture)
Show Figures

Figure 1

13 pages, 3644 KB  
Article
The FoPLT Gene of Fusarium oxysporum Affects Conidial Development and Pathogenicity
by Xiaoqi Han, Yanglin Zhang, Tianhao Fu, Yinuo Liu, Yanzhao Zhu, Yanan Wang, Xianglong Meng, Pengbo Dai, Keqiang Cao, Bo Li and Shutong Wang
J. Fungi 2026, 12(3), 194; https://doi.org/10.3390/jof12030194 - 9 Mar 2026
Viewed by 499
Abstract
Apple replant disease (ARD) is a soil-borne disease that severely restricts root development in orchards, impedes tree growth, and leads to reduced yields and decreased fruit quality, and thus significant economic losses. Previous studies identified Fusarium oxysporum as a major pathogenic agent. In [...] Read more.
Apple replant disease (ARD) is a soil-borne disease that severely restricts root development in orchards, impedes tree growth, and leads to reduced yields and decreased fruit quality, and thus significant economic losses. Previous studies identified Fusarium oxysporum as a major pathogenic agent. In this study, a T-DNA insertion mutant library of 13,000 F. oxysporum HS2 strains was utilized to screen for mutants with impaired pathogenicity. Nine mutants exhibiting reduced virulence were obtained, and the insertion sites of five mutants were successfully identified. Among them, we selected the HS2-29 strain, which exhibited the most significant decrease in conidial production, for further investigation. Its T-DNA was inserted into the FoPLT gene. RT-qPCR analysis revealed that the expression of the FoPLT gene rapidly increased during the early infection stage, followed by a decline and eventual stabilization. After the deletion of the FoPLT gene, the production of aerial hyphae, conidial yield, conidial length, and conidial diameter all significantly decreased. Stress tolerance assays indicated that FoPLT does not affect cell wall integrity in F. oxysporum. The deletion of the FoPLT gene significantly reduced the pathogenicity of F. oxysporum, and inoculating Malus robusta seedlings with the FoPLT knockout mutant led to significant increases in plant height, root length, fresh weight, and dry weight. These results suggest that the FoPLT gene plays a critical role in the pathogenicity of F. oxysporum. Full article
(This article belongs to the Special Issue Current Research on Soilborne Fungal Pathogens in Plants, 2nd Version)
Show Figures

Figure 1

16 pages, 1788 KB  
Article
Humic Substances Enhance Waterlogging Tolerance in Cabbage Seedling via Antioxidant Activation and Hormonal Reprogramming
by Melek Ekinci, Selda Ors Cirik, Ertan Yildirim, Metin Turan, Murat Aydin, Esma Yigider and Aslı Cangönül
Horticulturae 2026, 12(3), 310; https://doi.org/10.3390/horticulturae12030310 - 5 Mar 2026
Viewed by 463
Abstract
As climate change continues to alter rainfall patterns and precipitation regimes across the globe, waterlogging is emerging as a widespread and pressing issue that threatens agricultural productivity and food security. In this study, we investigated the potential of humic substances to mitigate waterlogging [...] Read more.
As climate change continues to alter rainfall patterns and precipitation regimes across the globe, waterlogging is emerging as a widespread and pressing issue that threatens agricultural productivity and food security. In this study, we investigated the potential of humic substances to mitigate waterlogging stress in cabbage (Brassica oleracea L.) seedlings. Specifically, humic acid and fulvic acid solutions were applied to the growth medium at weekly intervals both before and after a 10-day waterlogging period. The effects of humic acid and fulvic acid applications on waterlogging-induced stress were evaluated through various physiological and biochemical parameters, including shoot fresh weight, root fresh weight, shoot dry weight, root dry weight, plant height, stem diameter, chlorophyll a, chlorophyll b, total chlorophyll, proline, malondialdehyde, hydrogen peroxide, indole acetic acid, gibberellic acid, abscisic acid, and antioxidant enzyme activities including catalase, peroxidase, and superoxide dismutase. The results indicated that waterlogging stress significantly impaired plant growth parameters, but these adverse effects were mitigated by humic acid and fulvic acid applications. The humic substances contributed to stress tolerance by modulating key biochemical responses, including a shift in proline, hydrogen peroxide, malondialdehyde, abscisic acid, and antioxidant enzyme activity levels, which otherwise increased under stress conditions. Furthermore, the decline in indole acetic acid and gibberellic acid content due to waterlogging was alleviated by humic acid and fulvic acid treatments. Overall, the findings suggest that humic acid and fulvic acid can effectively reduce the detrimental effects of waterlogging stress in cabbage seedlings, demonstrating their potential as biostimulants with comparable protective effects. Full article
(This article belongs to the Section Biotic and Abiotic Stress)
Show Figures

Figure 1

16 pages, 846 KB  
Article
Evaluation of Germination and Seedling Root Parameters in Local Maize Landraces Under Drought Stress
by Miroslav Bukan, Snježana Kereša, Boris Lazarević, Karlo Sokalić, Ivan Pejić and Hrvoje Šarčević
Conservation 2026, 6(1), 30; https://doi.org/10.3390/conservation6010030 - 3 Mar 2026
Viewed by 462
Abstract
Drought is regarded as the most significant environmental factor affecting the productivity of maize (Zea mays L.) worldwide. The integration of maize landraces, conserved in germplasm bank collections, into elite breeding programs could increase the resilience of modern hybrids to drought and [...] Read more.
Drought is regarded as the most significant environmental factor affecting the productivity of maize (Zea mays L.) worldwide. The integration of maize landraces, conserved in germplasm bank collections, into elite breeding programs could increase the resilience of modern hybrids to drought and mitigate the genetic erosion identified within the genetic base of cultivated maize. In this study, seeds of fifteen Croatian maize landraces were exposed to four levels of drought stress induced by polyethylene glycol (PEG) to evaluate the effect of drought on their seed germination and seedling root parameters. Analysis of variance revealed significant differences among landraces (G) and applied drought stress treatments (PEG) for all traits, as well as a significant PEG × G interaction for all traits except germination potential. The application of the highest drought stress level, caused by a 20% PEG water solution, reduced germination percentage by 51%, germination potential by 99%, root length by 87%, root diameter by 26%, root area by 91% and root volume by 93% compared to the control. Three landraces, MAK7, MAK11 and MAK15, showing high germination potential, long roots and large root area and volume under drought conditions, were identified as pre-breeding candidates for possible reintroduction into modern breeding programs aimed at increasing drought tolerance. The applied method of PEG-induced drought effectively identified drought-tolerant landraces and can be used for rapid screening of drought tolerance in large numbers of genebank accessions conserved in genebanks. Full article
Show Figures

Figure 1

20 pages, 1100 KB  
Article
Improving Tomato Graft Healing Efficiency Through Regulation of Red/Blue Light Ratios and Supplemental Green Light
by Qian Zhang, Yang Zhang, Yang Yu, Yanjun Li, Jianfeng Wang, Jinxiu Song, Huanyu Zhang and Xizhuo Sun
Horticulturae 2026, 12(3), 270; https://doi.org/10.3390/horticulturae12030270 - 26 Feb 2026
Viewed by 303
Abstract
As both an energy source and a signaling cue, light quality regulates graft healing by modulating endogenous phytohormone homeostasis, callus formation, and vascular reconnection. To elucidate the regulatory roles of red/blue (R/B) light ratios and green light supplementation on healing and seedling quality [...] Read more.
As both an energy source and a signaling cue, light quality regulates graft healing by modulating endogenous phytohormone homeostasis, callus formation, and vascular reconnection. To elucidate the regulatory roles of red/blue (R/B) light ratios and green light supplementation on healing and seedling quality of grafted tomato (Solanum lycopersicum L.), a controlled-environment experiment was conducted in a plant factory using ‘Zhongza 105’ as the scion and ‘Zhezhen No. 1’ as the rootstock. LED lighting treatments were established with different R/B ratios (1.0, 2.5, 4.0, 5.5 and 7.0) with or without supplemental green light. The results show that moderate R/B ratios (4.0–5.5) significantly increased scion elongation, the stem diameter of both scion and rootstock, the mechanical strength of the graft union, and sap flow, while also enhancing leaf chlorophyll content, photosynthetic rate, and root activity. Under optimal R/B conditions, indole-3-acetic acid (IAA) and gibberellin (GA) levels were elevated, whereas abscisic acid (ABA) was reduced, favoring callus proliferation and vascular reconnection. Green light supplementation under moderate R/B further promoted stem thickening, leaf area expansion, water transport across the graft union, and total biomass accumulation. Overall, an R/B ratio of 4.0–5.5 combined with appropriate green light supplementation optimized the morphology, structure, and physiological performance of grafted tomato seedlings during the healing stage. The results aim to provide a scientific basis for optimizing light environments in a controlled environment, thus enhancing the stability and quality of grafted tomato seedlings. Full article
Show Figures

Figure 1

13 pages, 3879 KB  
Article
The Effects of Trichoderma harzianum Inoculation on the Growth, Nutrient Absorption, and Expressions of Stress-Responsive Genes of Citrus Under Salt Stress
by Meilan Zhao, Peng Wang, Xiao Liu and Longfei Jin
Horticulturae 2026, 12(2), 233; https://doi.org/10.3390/horticulturae12020233 - 14 Feb 2026
Viewed by 511
Abstract
Trifoliate orange (Poncirus trifoliata L.) is one of the most widely utilized rootstocks in citrus production; however, it exhibits a relatively high sensitivity to salt stress. When cultivated in salinized soil, it frequently develops nutrient uptake disorders, leaf chlorosis, as well as [...] Read more.
Trifoliate orange (Poncirus trifoliata L.) is one of the most widely utilized rootstocks in citrus production; however, it exhibits a relatively high sensitivity to salt stress. When cultivated in salinized soil, it frequently develops nutrient uptake disorders, leaf chlorosis, as well as reduced fruit yield and quality. To enhance the salt stress tolerance of citrus plants, this study investigated the effects of Trichoderma harzianum inoculation on the growth and response mechanisms of citrus seedlings under salt stress conditions. The results showed that salt stress significantly inhibited the growth of citrus seedlings, while T. harzianum inoculation effectively alleviated the inhibitory effect. After treatment with T. harzianum, the plant height, stem diameter, leaf number, and biomass of citrus seedlings increased significantly. The net photosynthetic rate, stomatal conductance, intercellular CO2 concentration, transpiration rate, and chlorophyll content were significantly increased by T. harzianum inoculation. Meanwhile, T. harzianum inoculation increased the content of nitrogen, phosphorus, calcium, magnesium, zinc, and copper, and decreased sodium content in citrus seedlings. In addition, T. harzianum inoculation significantly up-regulated the expression of stress-responsive genes such as SOSs, PIPs, TIP1, TIP4, and TIP9. In conclusion, T. harzianum inoculation improved the salt stress tolerance of citrus seedlings through increasing photosynthetic efficiency, promoting nutrient absorption, sodium efflux, and water utilization via up-regulating the expression of SOSs and aquaporin genes. Full article
(This article belongs to the Special Issue Research on Citrus Cultivation Management and Quality)
Show Figures

Figure 1

19 pages, 6454 KB  
Article
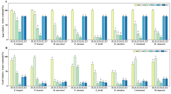
Physiological and Biochemical Characters of Eight Native Tree Seedings in Guangdong Province During Drought Stress and Rewatering Treatment
by Qiutong Liu, Zhihong Liu, Jingquan Liu, Kexin Li, Jieyu Lin, Shufan Lin, Zijia Su, Xinyi Fan, Yv Su and Zujing Chen
Plants 2026, 15(4), 528; https://doi.org/10.3390/plants15040528 - 8 Feb 2026
Viewed by 589
Abstract
Native tree species play a crucial role in addressing the challenge of seasonal drought in South China. In this study, one-year-old seedlings of eight native tree species in Guangdong Province were subjected to continuous simulated drought stress and rewatering. In order to identify [...] Read more.
Native tree species play a crucial role in addressing the challenge of seasonal drought in South China. In this study, one-year-old seedlings of eight native tree species in Guangdong Province were subjected to continuous simulated drought stress and rewatering. In order to identify key drought-resistant traits and best performing tree species, physiological and biochemical responses were assessed through 21 indicators. The results showed the following: (1) All species exhibited responses to drought stress prior to the fourth day, as evidenced by reductions in morphological indicators (crown breadth and ground diameter) and photosynthetic parameters (chlorophyll content, transpiration rate, net photosynthetic rate and stomatal conductance), along with increases in osmotic substances (soluble protein and proline) and antioxidant-related indicators malondialdehyde, peroxidase and superoxide dismutase). (2) The crown breadth, leaf relative water content, chlorophyll content, and ascorbate peroxidase activity were significantly decreased under drought stress. And these indicators were not recovered to pre-stress levels following rewatering. (3) Mantel tests revealed that growth morphological characteristics, particularly plant height, were significantly and positively correlated with most osmotic substances indicators (p < 0.001). Specifically, plant height showed the strongest coupling with these traits, with Mantel’s r ranging from 0.44 to 0.89. In addition, the leaf relative water content, net photosynthetic rate, superoxide dismutase, and malondialdehyde were regarded as the key drought-resistant traits, providing insights into future research on plant improvement, stress-resilience breeding and even drought resistance mechanisms. (4) The eight tree species are ranked from most to least drought-resistant as follows: Zenia insignis, Michelia macclurei, Phoebe zhennan, Phoebe bournei, Erythrophleum fordii, Dalbergia odorifera, Cinnamomum burmanni and Michelia chapensis. This study provides a scientific basis for selecting tree species for afforestation in seasonally arid regions. Full article
(This article belongs to the Special Issue The Growth of Plants in Arid Environments)
Show Figures

Graphical abstract

15 pages, 2477 KB  
Article
Unveiling the Physiological Basis of Cold Tolerance in Maize: Root Architecture, Photosynthetic Stability, and POD-Mediated Defense Under Delayed Chilling Stress
by Zhen Wang, Qi Jia, Baolin Zhang, Bo Ming, Lanfang Bai, Fugui Wang, Yongqiang Wang, Shengnan Yu, Runhou Zou and Zhigang Wang
Plants 2026, 15(3), 517; https://doi.org/10.3390/plants15030517 - 6 Feb 2026
Viewed by 510
Abstract
Delayed chilling stress is a frequent meteorological disaster in the spring maize-growing region of Northern China. Understanding the physiological responses and key characteristics of cold-tolerant maize varieties under such stress is crucial for their selection and utilization. This study compared the physiological and [...] Read more.
Delayed chilling stress is a frequent meteorological disaster in the spring maize-growing region of Northern China. Understanding the physiological responses and key characteristics of cold-tolerant maize varieties under such stress is crucial for their selection and utilization. This study compared the physiological and biochemical responses of a cold-tolerant variety (XY335) and a conventional variety (KH8) to simulated delayed chilling stress induced by early field sowing. Results showed that the emergence percentage and emergence uniformity of the cold-tolerant variety were 9.6% and 2.8% higher than those of the conventional variety, respectively. Under chilling stress, the root diameter of the cold-tolerant variety remained stable, while root length decreased by 24.5%. In contrast, the conventional variety exhibited the opposite response. Growth of the cold-tolerant variety slowed during stress but accelerated significantly after temperature recovery, achieving 1–2 more leaf ages than the conventional variety. The SPAD value (chlorophyll content) of the cold-tolerant variety was less affected, remaining 14.3% higher than the conventional variety, thereby maintaining higher photosynthetic efficiency. The enhanced stress tolerance of XY335 correlated with a robust antioxidant system: leaf peroxidase (POD) activity was 60.7% higher, and malondialdehyde (MDA) content was 42.4% lower compared to KH8. In summary, under delayed chilling stress, the cold-tolerant variety ensured higher emergence and seedling uniformity by reducing coleoptile length, maintained root diameter and absorption capacity by shortening root length, preserved chlorophyll synthesis and photosynthetic performance under the protection of a POD-dominated enzyme system, and employed a “standby mode” with compensatory leaf growth to ensure adequate dry matter accumulation and yield formation. Full article
(This article belongs to the Special Issue Plant Responses to Abiotic Stresses)
Show Figures

Figure 1

Back to TopTop