Humic Substances Enhance Waterlogging Tolerance in Cabbage Seedling via Antioxidant Activation and Hormonal Reprogramming
Abstract
1. Introduction
2. Materials and Methods
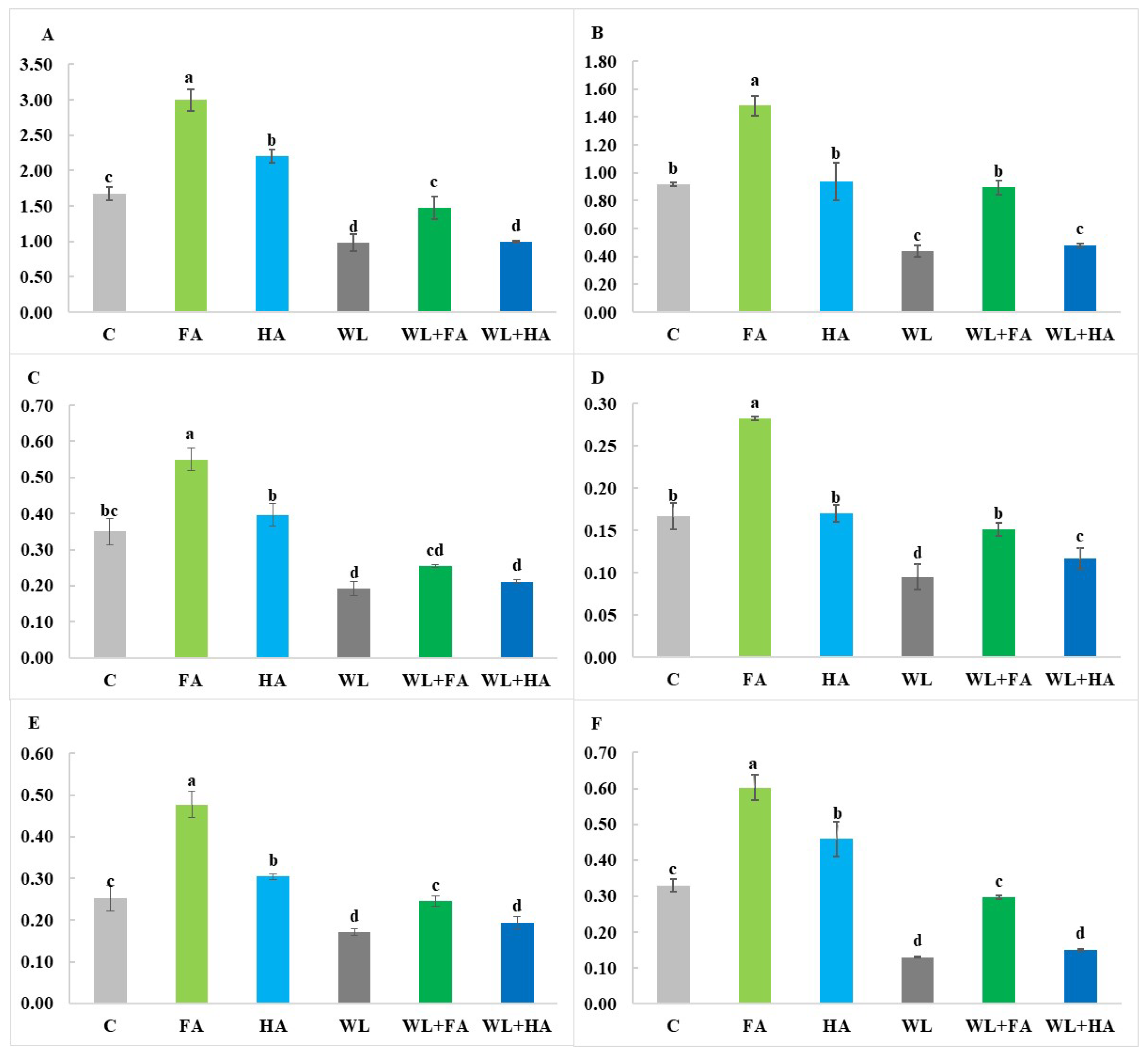
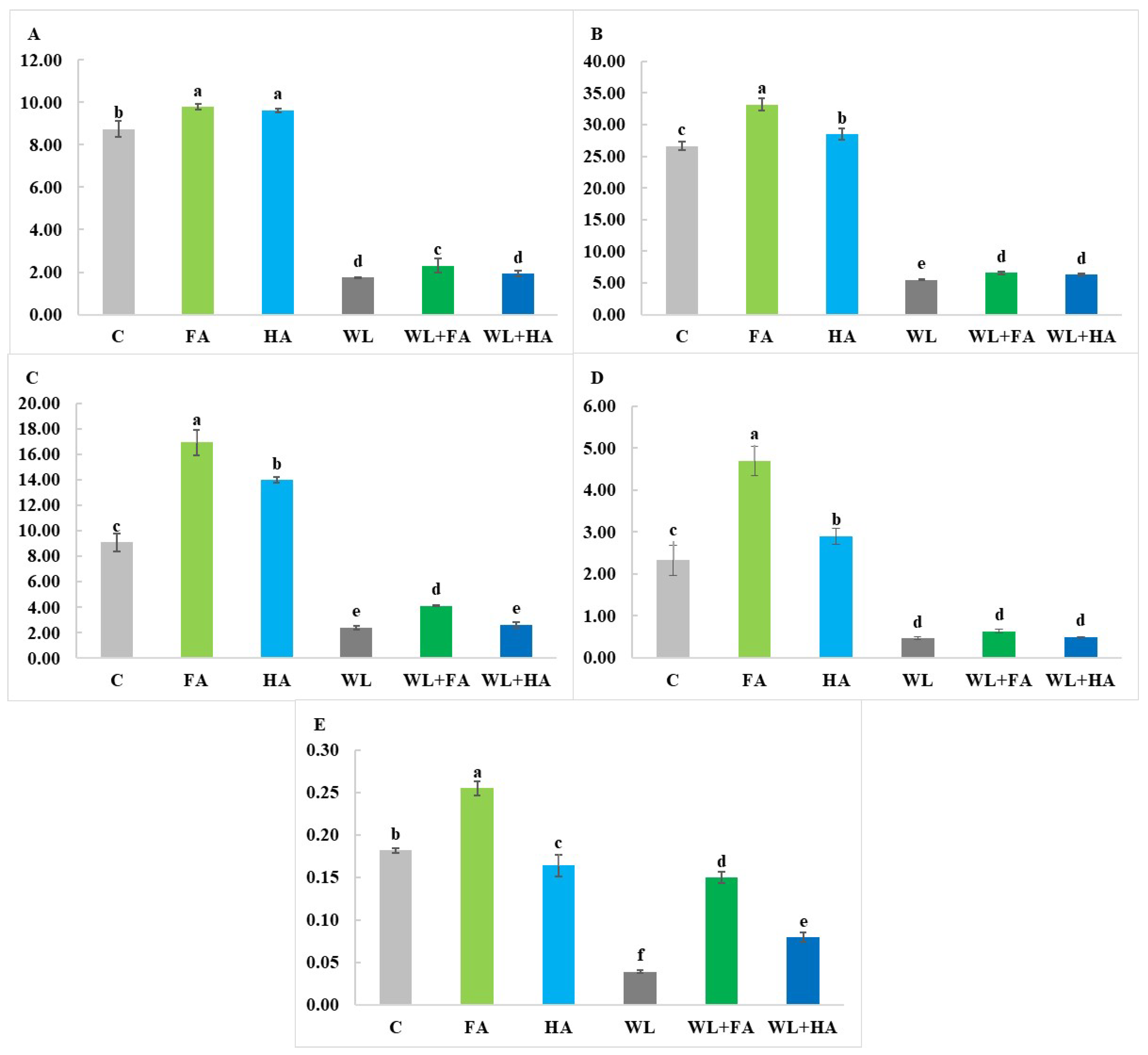
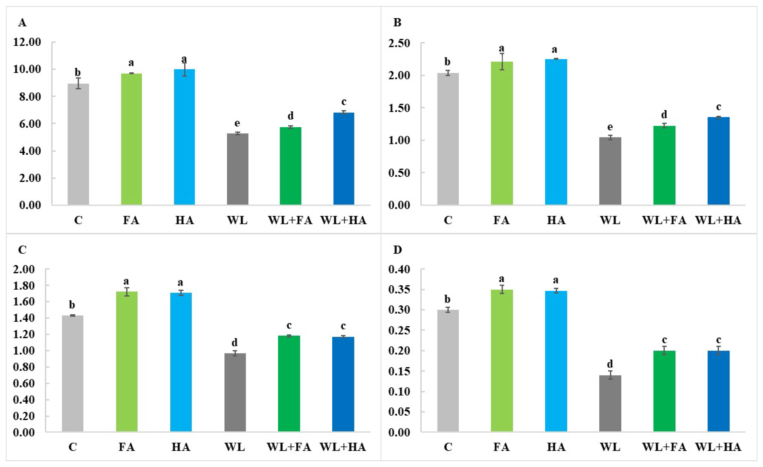
3. Results
4. Discussion
5. Conclusions
Author Contributions
Funding
Data Availability Statement
Conflicts of Interest
References
- Ashraf, M.A. Waterlogging stress in plants: A review. Afr. J. Agric. Res. 2012, 7, 1976–1981. [Google Scholar] [CrossRef]
- Zhou, W.; Chen, F.; Meng, Y.; Chandrasekaran, U.; Luo, X.; Yang, W.; Shu, K. Plant waterlogging/flooding stress responses: From seed germination to maturation. Plant Physiol. Biochem. 2020, 148, 228–236. [Google Scholar] [CrossRef]
- Yang, L.; Li, N.; Liu, Y.; Miao, P.; Liu, J.; Wang, Z. Updates and prospects: Morphological, physiological, and molecular regulation in crop response to waterlogging stress. Agronomy 2023, 13, 2599. [Google Scholar] [CrossRef]
- Pan, J.; Sharif, R.; Xu, X.; Chen, X. Mechanisms of waterlogging tolerance in plants: Research progress and prospects. Front. Plant Sci. 2021, 11, 627331. [Google Scholar] [CrossRef]
- Hasanuzzaman, M.; Al Mahmud, J.; Nahar, K.; Anee, T.I.; Inafuku, M.; Oku, H.; Fujita, M. Responses, adaptation, and ROS metabolism in plants exposed to waterlogging stress. In Reactive Oxygen Species and Antioxidant Systems in Plants: Role and Regulation Under Abiotic Stress; Springer: Singapore, 2017; pp. 257–281. [Google Scholar] [CrossRef]
- Singh, A.K.; Vijai, P.; Srivastava, J.P. Plants under waterlogged conditions: An overview. In Engineering Practices for Management of Soil Salinity; Apple Academic Press: Palm Bay, FL, USA, 2018; pp. 335–376. [Google Scholar]
- Manghwar, H.; Hussain, A.; Alam, I.; Khoso, M.A.; Ali, Q.; Liu, F. Waterlogging stress in plants: Unraveling the mechanisms and impacts on growth, development, and productivity. Environ. Exper. Bot. 2024, 224, 105824. [Google Scholar] [CrossRef]
- Zhang, Y.; Liu, G.; Dong, H.; Li, C. Waterlogging stress in cotton: Damage, adaptability, alleviation strategies, and mechanisms. Crop J. 2021, 9, 257–270. [Google Scholar] [CrossRef]
- Wollmer, A.C.; Pitann, B.; Mühling, K.H. Waterlogging events during stem elongation or flowering affect yield of oilseed rape (Brassica napus L.) but not seed quality. J. Agron. Crop Sci. 2018, 204, 165–174. [Google Scholar] [CrossRef]
- Ikram, S.; Bhattarai, S.; Walsh, K.B. Characterisation of selected mungbean genotypes for tolerance to waterlogging stress at pod filling stage. Agronomy 2022, 12, 1663. [Google Scholar] [CrossRef]
- Az-Azahra, R.C.; Siaga, E.; Herlina, H.; Meihana, M. Effectiveness of Biochar application on the growth of red chili plants during the vegetative stage under waterlogging. J. Suboptimal Lands 2024, 13, 152–159. [Google Scholar] [CrossRef]
- Shao, G.; Cheng, X.; Liu, N.; Zhang, Z. Effect of drought pretreatment before anthesis and post-anthesis waterlogging on water relation, photosynthesis, and growth of tomatoes. Arch. Agron. Soil Sci. 2016, 62, 935–946. [Google Scholar] [CrossRef]
- Ide, R.; Ichiki, A.; Suzuki, T.; Jitsuyama, Y. Analysis of yield reduction factors in processing tomatoes under waterlogging conditions. Sci. Hortic. 2022, 295, 110840. [Google Scholar] [CrossRef]
- Rahayuningsih, S.E.A.; Indradewa, D.; Sulistyaningsih, E.; Maas, A. The tolerance of photosynthesis of some maize cultivars (Zea mays L.) to waterlogging at different stages of growth. Int. J. Adv. Sci. Eng. Inf. Technol. 2017, 7, 1296–1301. [Google Scholar] [CrossRef][Green Version]
- Olorunwa, O.J.; Adhikari, B.; Brazel, S.; Popescu, S.C.; Popescu, G.V.; Barickman, T.C. Short waterlogging events differently affect morphology and photosynthesis of two cucumber (Cucumis sativus L.) cultivars. Front. Plant Sci. 2022, 13, 896244. [Google Scholar] [CrossRef]
- Ghodke, P.H.; Shirsat, D.V.; Thangasamy, A.; Mahajan, V.; Salunkhe, V.N.; Khade, Y.; Singh, M. Effect of water logging stress at specific growth stages in onion crop. Int. J. Curr. Microbiol. Appl. Sci. 2018, 7, 3438–3448. [Google Scholar] [CrossRef]
- Beshir, S. Review on estimation of crop water requirement, irrigation frequency and water use efficiency of cabbage production. J. Geosci. Environ. Protec. 2017, 5, 59. [Google Scholar] [CrossRef]
- Bute, A.; Iosob, G.A.; Antal-Tremurici, A.; Brezeanu, C.; Brezeanu, P.; Cristea, T.O.; Ambăruş, S. The most suitable irrigation methods in cabbage crops (Brassica oleracea L. var. capitata): A review. Sci. Pap. Ser. B Hortic. 2021, 65, 399–405. [Google Scholar]
- Buga, N.; Petek, M. Use of biostimulants to alleviate anoxic stress in waterlogged cabbage (Brassica oleracea var. capitata)—A Review. Agriculture 2023, 13, 2223. [Google Scholar] [CrossRef]
- Casierra-Posada, F.; Cutler, J. Photosystem II fluorescence and growth in cabbage plants (Brassica oleracea var. capitata) grown under waterlogging stress. Rev. UDCA Actual. Divulg. Científica 2017, 20, 321–328. [Google Scholar] [CrossRef]
- Huđ, A.; Šamec, D.; Senko, H.; Petek, M.; Brkljačić, L.; Pole, L.; Lazarević, B.; Rajnović, I.; Udiković-Kolić, N.; Mešić, A.; et al. Response of white cabbage (Brassica oleracea var. capitata) to single and repeated short-term waterlogging. Agronomy 2023, 13, 200. [Google Scholar] [CrossRef]
- Canellas, L.P.; Olivares, F.L.; Aguiar, N.O.; Jones, D.L.; Nebbioso, A.; Mazzei, P.; Piccolo, A. Humic and fulvic acids as biostimulants in horticulture. Sci. Hortic. 2015, 196, 15–27. [Google Scholar] [CrossRef]
- Olk, D.C.; Dinnes, D.L.; Rene Scoresby, J.; Callaway, C.R.; Darlington, J.W. Humic products in agriculture: Potential benefits and research challenges—A review. J. Soils Sed. 2018, 18, 2881–2891. [Google Scholar] [CrossRef]
- Islam, M.A.; Morton, D.W.; Johnson, B.B.; Angove, M.J. Adsorption of humic and fulvic acids onto a range of adsorbents in aqueous systems, and their effect on the adsorption of other species: A review. Sep. Purif. Technol. 2020, 247, 116949. [Google Scholar] [CrossRef]
- Zavarzina, A.G.; Danchenko, N.N.; Demin, V.V.; Artemyeva, Z.S.; Kogut, B.M. Humic substances: Hypotheses and reality (a review). Eurasian Soil. Sci. 2021, 54, 1826–1854. [Google Scholar] [CrossRef]
- Vikram, N.; Sagar, A.; Gangwar, C.; Husain, R.; Kewat, R.N. Properties of humic acid substances and their effect in soil quality and plant health. In Humus and Humic Substances-Recent Advances; IntechOpen: London, UK, 2022; p. 26. [Google Scholar] [CrossRef]
- Bhatt, P.; Singh, V.K. Effect of humic acid on soil properties and crop production–A review. Indian J. Agric. Sci. 2022, 92, 1423–1430. [Google Scholar] [CrossRef]
- Anjum, S.A.; Wang, L.; Farooq, M.; Xue, L.; Ali, S. Fulvic acid application improves the maize performance under well-watered and drought conditions. J. Agron. Crop Sci. 2011, 197, 409–417. [Google Scholar] [CrossRef]
- Kumar Sootahar, M.; Zeng, X.; Wang, Y.; Su, S.; Soothar, P.; Bai, L.; Kumar, M.; Zhang, Y.; Mustafa, A.; Ye, N. The short-term effects of mineral-and plant-derived fulvic acids on some selected soil properties: Improvement in the growth, yield, and mineral nutritional status of wheat (Triticum aestivum L.) under soils of contrasting textures. Plants 2020, 9, 205. [Google Scholar] [CrossRef] [PubMed]
- Arnon, D.I. Copper enzymes in isolated chloroplasts. Polyphenoloxidase in Beta vulgaris. Plant Physiol. 1949, 24, 1–15. [Google Scholar] [CrossRef]
- Wellburn, A.R. The spectral determination of chlorophylls a and b, as well as total carotenoids, using various solvents with spectrophotometers of different resolution. J. Plant Physiol. 1994, 144, 307–313. [Google Scholar] [CrossRef]
- Angelini, R.; Manes, F.; Federico, R. Spatial an functional correlation between daimine-oxsidase and peroxidase activities and their dependence upon deetilation and wounding in chick-pea. Planta 1990, 182, 89–96. [Google Scholar] [CrossRef]
- Abedi, T.; Pakniyat, H. Antioxidant enzyme changes in response to drought stress in ten cultivars of oilseed rape (Brassica napus L.). Czech J. Gen. Plant Breed. 2010, 46, 27–34. [Google Scholar] [CrossRef]
- Gong, Y.; Toivonen, P.; Wiersma, P.A.; Lu, C.; Lau, O.L. Effect of freezing on the activity of catalase in apple flesh tissue. J. Agric. Food Chem. 2000, 48, 5537–5542. [Google Scholar] [CrossRef]
- Agarwal, S.; Pandey, V. Antioxidant enzyme responses to NaCl stress in Cassia angustifolia. Biol. Plant. 2004, 48, 555–560. [Google Scholar] [CrossRef]
- Yordanova, R.Y.; Christov, K.N.; Popova, L.P. Antioxidative enzymes in barley plants subjected to soil flooding. Environ. Exper. Bot. 2004, 51, 93–101. [Google Scholar] [CrossRef]
- Helrich, K. Official Methods of Analysis of the Association of Official Analytical Chemists: 2. Food Composition; Additives; Natural Contaminants, 15th ed.; AOAC: Arlington, VA, USA, 1990; pp. 865–1298. [Google Scholar]
- Kuraishi, S.; Tasaki, K.; Sakurai, N.; Sadatoku, K. Changes in levels of cytokinins in etiolated squash seedlings after illumination. Plant Cell Physiol. 1991, 32, 585–591. [Google Scholar] [CrossRef]
- Battal, P.; Tileklioğlu, B. The effects of different mineral nutrients on the levels of cytokinins in maize (Zea mays L.). Turk. J. Bot. 2001, 25, 123–130. [Google Scholar]
- Ekinci, M.; Turan, M.; Yildirim, E.; Güneş, A.; Kotan, R.; Dursun, A. Effect of plant growth promoting rhizobacteria on growth, nutrient, organic acid, amino acid and hormone content of cauliflower (Brassica oleracea L. var. botrytis) transplants. Acta Sci. Pol. Hortorum Cultus 2014, 13, 71–85. [Google Scholar]
- Tian, L.; Li, J.; Bi, W.; Zuo, S.; Li, L.; Li, W.; Sun, L. Effects of waterlogging stress at different growth stages on the photosynthetic characteristics and grain yield of spring maize (Zea mays L.) under field conditions. Agric. Water Manag. 2019, 218, 250–258. [Google Scholar] [CrossRef]
- Huang, C.; Zhang, W.; Wang, H.; Gao, Y.; Ma, S.; Qin, A.; Zhao, B.; Ning, D.; Zheng, H.; Liu, Z. Effects of waterlogging at different stages on growth and ear quality of waxy maize. Agric. Water Manag. 2022, 266, 107603. [Google Scholar] [CrossRef]
- Luan, H.; Guo, B.; Pan, Y.; Lv, C.; Shen, H.; Xu, R. Morpho-anatomical and physiological responses to waterlogging stress in different barley (Hordeum vulgare L.) genotypes. Plant Growth Regul. 2018, 85, 399–409. [Google Scholar] [CrossRef]
- Singh, S.K.; Singh, A.K.; Dwivedi, P. Modulating effect of salicylic acid in tomato plants in response to waterlogging stress. Int. J. Agric. Environ. Biotechnol. 2017, 10, 31–37. [Google Scholar] [CrossRef]
- Malik, A.I.; Colmer, T.D.; Lambers, H.; Setter, T.L.; Schortemeyer, M. Short-term waterlogging has long-term effects on the growth and physiology of wheat. New Phytol. 2002, 153, 225–236. [Google Scholar] [CrossRef]
- Pais, I.P.; Moreira, R.; Semedo, J.N.; Ramalho, J.C.; Lidon, F.C.; Coutinho, J.; Maçãs, B.; Scotti-Campos, P. Wheat crop under waterlogging: Potential soil and plant effects. Plants 2022, 12, 149. [Google Scholar] [CrossRef]
- Majeed, J.A.; Mahmood, A.; Bibi, S.; Jabeen, A.; Javaid, M.M.; Ahmad, H.B.; Nargis, J. Waterlogging and Crop Productivity. In Climate-Resilient Agriculture, Volume 1: Crop Responses and Agroecological Perspectives; Springer International Publishing: Cham, Switzerland, 2023; pp. 237–256. [Google Scholar] [CrossRef]
- de San Celedonio, R.P.; Abeledo, L.G.; Miralles, D.J. Physiological traits associated with reductions in grain number in wheat and barley under waterlogging. Plant Soil. 2018, 429, 469–481. [Google Scholar] [CrossRef]
- Taha, A.; Omar, M.; Ghazy, M. Effect of humic and fulvic acids on growth and yield of lettuce plant. J. Soil Sci. Agric. Eng. 2016, 7, 517–522. [Google Scholar] [CrossRef]
- Hernández-Campos, R.; Robles, C.; Muñiz-Becerá, S.; Pérez-Álvarez, S.; Loera-Corral, O. Humic extract as a biostimulant in crops subjected to abiotic stress. Agrociencia 2023, 59, 7. [Google Scholar] [CrossRef]
- Yildirim, E.; Ekinci, M.; Turan, M.; Ağar, G.; Dursun, A.; Kul, R.; Alim, Z.; Argin, S. Humic + Fulvic acid mitigated Cd adverse effects on plant growth, physiology and biochemical properties of garden cress. Sci. Rep. 2021, 11, 8040. [Google Scholar] [CrossRef] [PubMed]
- Meganid, A.S.; Al-Zahrani, H.S.; El-Metwally, M.S. Effect of humic acid application on growth and chlorophyll contents of common bean plants (Phaseolus vulgaris L.) under salinity stress conditions. Int. J. Innov. Res. Sci. Eng. Technol. 2015, 4, 2651–2660. [Google Scholar] [CrossRef]
- Zhang, R.; Yue, Z.; Chen, X.; Huang, R.; Zhou, Y.; Cao, X. Effects of waterlogging at different growth stages on the photosynthetic characteristics and grain yield of sorghum (Sorghum bicolor L.). Sci. Rep. 2023, 13, 7212. [Google Scholar] [CrossRef]
- Barickman, T.C.; Simpson, C.R.; Sams, C.E. Waterlogging causes early modification in the physiological performance, carotenoids, chlorophylls, proline, and soluble sugars of cucumber plants. Plants 2019, 8, 160. [Google Scholar] [CrossRef]
- Pettit, R.E. Organic matter, humus, humate, humic acid, fulvic acid and humin. Wonderful World Humus Carbon 2006, 45–57. [Google Scholar]
- Shen, J.; Guo, M.J.; Wang, Y.G.; Yuan, X.Y.; Wen, Y.Y.; Song, X.E.; Dong, S.; Guo, P.Y. Humic acid improves the physiological and photosynthetic characteristics of millet seedlings under drought stress. Plant Signal Behav. 2020, 15, 1774212. [Google Scholar] [CrossRef]
- Turan, M.; Ekinci, M.; Kul, R.; Kocaman, A.; Argin, S.; Zhirkova, A.M.; Perminova, I.V.; Yildirim, E. Foliar Applications of humic substances together with Fe/nano Fe to increase the iron content and growth parameters of spinach (Spinacia oleracea L.). Agronomy 2022, 12, 2044. [Google Scholar] [CrossRef]
- Wang, X.; Zhang, J.; Shen, J.; Zhang, L.; Wei, P.; Liu, A.; Song, H. The alleviating effect on the growth, chlorophyll synthesis, and biochemical defense system in sunflowers under cadmium stress achieved through foliar application of humic acid. BMC Plant Biol. 2024, 24, 792. [Google Scholar] [CrossRef]
- Kaur, G.; Singh, G.; Motavalli, P.P.; Nelson, K.A.; Orlowski, J.M.; Golden, B.R. Impacts and management strategies for crop production in waterlogged or flooded soils: A review. Agron. J. 2020, 112, 1475–1501. [Google Scholar] [CrossRef]
- Ekinci, M.; Turan, M.; Yildirim, E. Biochar mitigates salt stress by regulating nutrient uptake and antioxidant activity, alleviating the oxidative stress and abscisic acid content in cabbage seedlings. Turk. J. Agric. For. 2022, 46, 28–37. [Google Scholar] [CrossRef]
- Yildirim, E.; Ekinci, M.; Turan, M. Impact of biochar in mitigating the negative effect of drought stress on cabbage seedlings. J. Soil Sci. Plant Nutr. 2021, 21, 2297–2309. [Google Scholar] [CrossRef]
- Board, J.E. Waterlogging effects on plant nutrient concentrations in soybean. J. Plant Nutr. 2008, 31, 828–838. [Google Scholar] [CrossRef]
- Khaled, H.; Fawy, H.A. Effect of different levels of humic acids on the nutrient content, plant growth, and soil properties under conditions of salinity. Soil Water Res. 2011, 6, 21. [Google Scholar] [CrossRef]
- Ampong, K.; Thilakaranthna, M.S.; Gorim, L.Y. Understanding the role of humic acids on crop performance and soil health. Front. Agron. 2022, 4, 848621. [Google Scholar] [CrossRef]
- Alsudays, I.M.; Alshammary, F.H.; Alabdallah, N.M.; Alatawi, A.; Alotaibi, M.M.; Alwutayd, K.M.; Alharbi, M.M.; Alghanem, S.M.S.; Alzuaibr, F.M.; Gharib, H.S.; et al. Applications of humic and fulvic acid under saline soil conditions to improve growth and yield in barley. BMC Plant Biol. 2024, 24, 191. [Google Scholar] [CrossRef] [PubMed]
- Pourmorad, M.; Malakouti, M.J.; Tehrani, M. Study on the effect of humic acid and fulvic acid on the wheat yield and water use efficiency under drought stress. Water Soil. 2018, 32, 977–985. [Google Scholar]
- Abdellatif, I.M.Y.; Abdel-Ati, Y.Y.; Abdel-Mageed, Y.T.; Hassan, M.A.M.M. Effect of humic acid on growth and productivity of tomato plants under heat stress. J. Hortic. Res. 2017, 25, 59–66. [Google Scholar] [CrossRef]
- Nardi, S.; Pizzeghello, D.; Muscolo, A.; Vianello, A. Physiological effects of humic substances on higher plants. Soil. Biol. Biochem. 2002, 34, 1527–1536. [Google Scholar] [CrossRef]
- Guo, X.X.; Liu, H.T.; Wu, S.B. Humic substances developed during organic waste composting: Formation mechanisms, structural properties, and agronomic functions. Sci. Total Environ. 2019, 662, 501–510. [Google Scholar] [CrossRef]
- Nardi, S.; Schiavon, M.; Francioso, O. Chemical structure and biological activity of humic substances define their role as plant growth promoters. Molecules 2021, 26, 2256. [Google Scholar] [CrossRef]
- Jin, Y.; Yuan, Y.; Liu, Z.; Gai, S.; Cheng, K.; Yang, F. Effect of humic substances on nitrogen cycling in soil-plant ecosystems: Advances, issues, and future perspectives. J. Environ. Manag. 2024, 351, 119738. [Google Scholar] [CrossRef]
- Lal, M.; Kumari, A.; Pooja Sheokand, S. Reactive oxygen species, reactive nitrogen species and oxidative metabolism under waterlogging stress. In Reactive Oxygen, Nitrogen and Sulfur Species in Plants: Production, Metabolism, Signaling and Defense Mechanisms; John Wiley & Sons: Hoboken, NJ, USA, 2019; pp. 777–812. [Google Scholar] [CrossRef]
- Niu, L.; Jiang, F.; Yin, J.; Wang, Y.; Li, Y.; Yu, X.; Song, X.; Ottosen, C.O.; Rosenqvist, E.; Mittler, R.; et al. ROS-mediated waterlogging memory, induced by priming, mitigates photosynthesis inhibition in tomato under waterlogging stress. Front. Plant Sci. 2023, 14, 1238108. [Google Scholar] [CrossRef]
- de Moura, O.V.T.; Berbara, R.L.L.; de Oliveira Torchia, D.F.; Da Silva, H.F.O.; de Castro, T.A.V.T.; Tavares, O.C.H.; Rodriguez, N.F.; Zonta, E.; Santos, L.A.; García, A.C. Humic foliar application as sustainable technology for improving the growth, yield, and abiotic stress protection of agricultural crops. A review. J. Saudi Soci. Agric. Sci. 2023, 22, 493–513. [Google Scholar] [CrossRef]
- Kutlu, I.; Gulmezoglu, N. Suitable humic acid application methods to maintain physiological and enzymatic properties of bean plants under salt stress. Gesunde Pflanz. 2023, 75, 1075–1086. [Google Scholar] [CrossRef]
- Li, S.; Zhang, K.; Tian, J.; Chang, K.; Yuan, S.; Zhou, Y.; Zhao, H.; Zhong, F. Fulvic acid mitigates cadmium toxicity-induced damage in cucumber seedlings through the coordinated interaction of antioxidant enzymes, organic acid, and amino acid. Environ. Sci. Pollut. Res. 2023, 30, 28780–28790. [Google Scholar] [CrossRef] [PubMed]
- Abu-Ria, M.E.; Elghareeb, E.M.; Shukry, W.M.; Abo-Hamed, S.A.; Ibraheem, F. Mitigation of drought stress in maize and sorghum by humic acid: Differential growth and physiological responses. BMC Plant Biol. 2024, 24, 514. [Google Scholar] [CrossRef] [PubMed]
- Sah, S.K.; Reddy, K.R.; Li, J. Abscisic acid and abiotic stress tolerance in crop plants. Front. Plant Sci. 2016, 7, 571. [Google Scholar] [CrossRef]
- El Sabagh, A.; Islam, M.S.; Hossain, A.; Iqbal, M.A.; Mubeen, M.; Waleed, M.; Reinato, M.; Battaglia, M.; Ahmed, S.; Rehman, A.; et al. Phytohormones as growth regulators during abiotic stress tolerance in plants. Front. Agron. 2022, 4, 765068. [Google Scholar] [CrossRef]
- Mearaji, H.S.; Ansari, A.; Igdelou, N.K.M.; Lajayer, B.A.; Pessarakli, M. Phytohormones and abiotic stresses: Roles of phytohormones in plants under abiotic stresses. In Handbook of Plant and Crop Physiology; CRC Press: Boca Raton, FL, USA, 2021; pp. 175–213. [Google Scholar]
- Samancioglu, A.; Yildirim, E.; Turan, M.; Kotan, R.; Sahin, U.; Kul, R. Amelioration of drought stress adverse effect and mediating biochemical content of cabbage seedlings by plant growth promoting rhizobacteria. Int. J. Agric. Biol. 2016, 18, 948–956. [Google Scholar] [CrossRef]
- Pavlović, I.; Petřík, I.; Tarkowská, D.; Lepeduš, H.; Vujčić Bok, V.; Radić Brkanac, S.; Novák, O.; Salopek-Sondi, B. Correlations between phytohormones and drought tolerance in selected Brassica crops: Chinese cabbage, white cabbage and kale. Int. J. Mol. Sci. 2018, 19, 2866. [Google Scholar] [CrossRef] [PubMed]
- Ali, O.A. Role of humic substances and compost tea in improvement of endogenous hormones content, flowering and yield and its components of faba bean (Vicia faba L.). Ann. Agric. Sci. Moshtohor 2015, 53, 373–384. [Google Scholar] [CrossRef]
- Dinler, B.S.; Gunduzer, E.; Tekinay, T. Pre-treatment of fulvic acid plays a stimulant role in protection of soybean (Glycine max L.) leaves against heat and salt stress. Acta Biol. Cracov. Bot. 2016, 58, 29–41. [Google Scholar] [CrossRef]
- Chen, Q.; Qu, Z.; Ma, G.; Wang, W.; Dai, J.; Zhang, M.; Wei, Z.; Liu, Z. Humic acid modulates growth, photosynthesis, hormone and osmolytes system of maize under drought conditions. Agric. Water Manag. 2022, 263, 107447. [Google Scholar] [CrossRef]
- Lotfi, R.; Gharavi-Kouchebagh, P.; Khoshvaghti, H. Biochemical and physiological responses of Brassica napus plants to humic acid under water stress. Russ. J. Plant Physiol. 2015, 62, 480–486. [Google Scholar] [CrossRef]






| H2O2 (mmol/kg) | MDA (mmol/kg) | Proline (%) | |
| C | 82.94 ± 8.75 d | 56.01 ± 0.02 d | 0.81 ± 0.14 d |
| FA | 74.77 ± 7.87 d | 51.70 ± 4.68 d | 0.48 ± 0.03 d |
| HA | 58.32 ± 4.58 d | 36.45 ± 2.37 d | 0.66 ± 0.01 d |
| WL | 530.18 ± 26.16 a | 380.16 ± 6.02 a | 11.61 ± 0.11 a |
| WL + FA | 441.54 ± 18.22 b | 314.40 ± 6.22 b | 3.39 ± 0.19 b |
| WL + HA | 232.01 ± 3.24 c | 225.33 ± 6.32 c | 2.04 ± 0.10 c |
| CAT (eu/g) | POD (eu/g) | SOD (eu/g) | |
| C | 22.35 ± 0.35 d | 258.09 ± 4.40 e | 43.63 ± 5.71 e |
| FA | 96.65 ± 2.48 c | 656.43 ± 25.98 de | 172.21 ± 6.36 d |
| HA | 95.83 ± 1.01 c | 1050.58 ± 29.97 d | 187.94 ± 1.56 d |
| WL | 177.01 ± 2.12 b | 3848.12 ± 100.07 b | 262.49 ± 1.97 c |
| WL + FA | 186.51 ± 3.96 ab | 1870.18 ± 50.99 c | 366.99 ± 16.19 b |
| WL + HA | 191.13 ± 6.72 a | 7553.67 ± 250.85 a | 1566.63 ± 24.08 a |
| IAA (ng/mg) | ABA (ng/g) | GA (ng/g) | |
| C | 3.17 ± 0.16 b | 20.11 ± 0.69 d | 4.36 ± 0.12 c |
| FA | 3.48 ± 0.20 a | 19.38 ± 0.55 d | 5.83 ± 0.16 b |
| HA | 3.33 ± 0.16 ab | 16.60 ± 0.84 d | 11.63 ± 0.15 a |
| WL | 0.14 ± 002 e | 283.70 ± 11.69 a | 0.36 ± 0.01 f |
| WL + FA | 1.20 ± 0.03 c | 207.68 ± 16.08 b | 1.37 ± 0.05 e |
| WL + HA | 0.95 ± 0.01 d | 169.85 ± 14.95 c | 2.67 ± 0.13 d |
Disclaimer/Publisher’s Note: The statements, opinions and data contained in all publications are solely those of the individual author(s) and contributor(s) and not of MDPI and/or the editor(s). MDPI and/or the editor(s) disclaim responsibility for any injury to people or property resulting from any ideas, methods, instructions or products referred to in the content. |
© 2026 by the authors. Licensee MDPI, Basel, Switzerland. This article is an open access article distributed under the terms and conditions of the Creative Commons Attribution (CC BY) license.
Share and Cite
Ekinci, M.; Ors Cirik, S.; Yildirim, E.; Turan, M.; Aydin, M.; Yigider, E.; Cangönül, A. Humic Substances Enhance Waterlogging Tolerance in Cabbage Seedling via Antioxidant Activation and Hormonal Reprogramming. Horticulturae 2026, 12, 310. https://doi.org/10.3390/horticulturae12030310
Ekinci M, Ors Cirik S, Yildirim E, Turan M, Aydin M, Yigider E, Cangönül A. Humic Substances Enhance Waterlogging Tolerance in Cabbage Seedling via Antioxidant Activation and Hormonal Reprogramming. Horticulturae. 2026; 12(3):310. https://doi.org/10.3390/horticulturae12030310
Chicago/Turabian StyleEkinci, Melek, Selda Ors Cirik, Ertan Yildirim, Metin Turan, Murat Aydin, Esma Yigider, and Aslı Cangönül. 2026. "Humic Substances Enhance Waterlogging Tolerance in Cabbage Seedling via Antioxidant Activation and Hormonal Reprogramming" Horticulturae 12, no. 3: 310. https://doi.org/10.3390/horticulturae12030310
APA StyleEkinci, M., Ors Cirik, S., Yildirim, E., Turan, M., Aydin, M., Yigider, E., & Cangönül, A. (2026). Humic Substances Enhance Waterlogging Tolerance in Cabbage Seedling via Antioxidant Activation and Hormonal Reprogramming. Horticulturae, 12(3), 310. https://doi.org/10.3390/horticulturae12030310

