Sign in to use this feature.

Years

Between: -

Subjects

remove_circle_outline
remove_circle_outline
remove_circle_outline
remove_circle_outline
remove_circle_outline
remove_circle_outline
remove_circle_outline

Journals

Article Types

Countries / Regions

Search Results (35)

Search Parameters:
Keywords = rotor angle transient stability

Order results
Result details
Results per page
Select all
Export citation of selected articles as:
36 pages, 5965 KB  
Article
Multiple Stability Margin Indexes-Oriented Online Risk Evaluation and Adjustment of Power System Based on Digital Twin
by Bo Zhou, Yunyang Xu, Xinwei Sun, Xi Ye, Yuhong Wang, Huaqing Dai and Shilin Gao
Energies 2025, 18(18), 4804; https://doi.org/10.3390/en18184804 - 9 Sep 2025
Viewed by 528
Abstract
To address the challenges of transient voltage stability in modern power systems with high renewables penetration, this paper proposes a multiple stability margin indexes-oriented online risk evaluation and adjustment framework based on a digital twin platform. The System Voltage Deviation Index (S [...] Read more.
To address the challenges of transient voltage stability in modern power systems with high renewables penetration, this paper proposes a multiple stability margin indexes-oriented online risk evaluation and adjustment framework based on a digital twin platform. The System Voltage Deviation Index (SVDI) is first introduced as a quantitative metric to assess transient voltage stability from time-domain simulation results, capturing the system’s dynamic response under large disturbances. An arbitrary Polynomial Chaos (aPC) expansion combined with Sobol sensitivity analysis is then employed to model the nonlinear relationship between SVDI and uncertain inputs such as wind power, photovoltaic output, and dynamic load variations, enabling accurate identification of key nodes influencing stability. Furthermore, an emergency control optimization model is developed that jointly considers voltage, frequency, and rotor angle stability margins, as well as the economic costs of load shedding, with a trajectory sensitivity-based local linearization technique applied to enhance computational efficiency. The proposed method is validated on a hybrid AC/DC test system (CSEE-VS), and results show that, compared with a traditional control strategy, the optimized approach reduces total load shedding from 322.59 MW to 191.40 MW, decreases economic cost from 229.18 to 178.11, and improves the transient rotor angle stability index from 0.31 to 0.34 and the transient frequency stability index from 0.3162 to 1.511, while maintaining acceptable voltage stability performance. These findings demonstrate that the proposed framework can accurately assess online operational risks, pinpoint vulnerable nodes, and generate cost-effective, stability-guaranteeing control strategies, showing strong potential for practical deployment in renewable-integrated power grids. Full article
Show Figures

Figure 1

27 pages, 11538 KB  
Article
Adaptive Transient Power Angle Control for Virtual Synchronous Generators via Physics-Embedded Reinforcement Learning
by Jiemai Gao, Siyuan Chen, Shixiong Fan, Jun Jason Zhang, Deping Ke, Hao Jun, Kezheng Jiang and David Wenzhong Gao
Electronics 2025, 14(17), 3503; https://doi.org/10.3390/electronics14173503 - 1 Sep 2025
Viewed by 598
Abstract
With the increasing integration of renewable energy sources and power electronic converters, Grid-Forming (GFM) technologies such as Virtual Synchronous Generators (VSGs) have emerged as key enablers of future power systems. However, conventional VSG control strategies with fixed parameters often fail to maintain transient [...] Read more.
With the increasing integration of renewable energy sources and power electronic converters, Grid-Forming (GFM) technologies such as Virtual Synchronous Generators (VSGs) have emerged as key enablers of future power systems. However, conventional VSG control strategies with fixed parameters often fail to maintain transient stability under dynamic grid conditions. This paper proposes a novel adaptive GFM control framework based on physics-informed reinforcement learning, targeting transient power angle stability in systems with high renewable penetration. An adaptive controller, termed the 3N-D controller, is developed to periodically update the virtual inertia and damping coefficients of VSGs based on real-time system observations, enabling anticipatory adjustments to evolving operating conditions. The controller leverages a reinforcement learning architecture embedded with physical priors, which captures the high-order differential relationships between rotor angle dynamics and control variables. This approach enhances generalization, reduces data dependency, and mitigates the risk of local optima. Comprehensive simulations on the IEEE-39 bus system with varying VSG penetration levels validate the proposed method’s effectiveness in improving system stability and control flexibility. The results demonstrate that the physics-embedded GFM strategy can significantly enhance the transient stability and adaptability of future power grids. Full article
Show Figures

Figure 1

32 pages, 7153 KB  
Article
An Explicit Transient Rotor Angle Stability Criterion Involving the Fault Location Factor of Doubly Fed Induction Generator Integrated Power Systems
by Yuanhan Zhong, Gao Qiu, Junyong Liu, Tingjian Liu, Youbo Liu and Wei Wei
Electronics 2025, 14(8), 1526; https://doi.org/10.3390/electronics14081526 - 9 Apr 2025
Viewed by 686
Abstract
Current transient stability analysis of power systems with doubly fed induction generators (DFIGs) draws upon the assumption that nodal electromagnetic power equals to zero during the fault period. The omission of electromagnetic power degrades the fidelity of transient stability analysis and renders the [...] Read more.
Current transient stability analysis of power systems with doubly fed induction generators (DFIGs) draws upon the assumption that nodal electromagnetic power equals to zero during the fault period. The omission of electromagnetic power degrades the fidelity of transient stability analysis and renders the analytical impact of fault location on stability indiscernible. To address this limitation, a DFIG-integrated power system-oriented transient stability mechanism analysis method is proposed involving fault location factors. Firstly, a foundational analysis model is established by integrating a simplified DFIG representation with the improved DC power flow corrected by the fault’s instantaneous short-circuit voltage. Secondly, the non-metallic symmetrical short-circuit fault is equivalently treated as a power injection source, and the faulted electromagnetic power of generators is derived. The proposed equivalence is roughly correct, as its faulted energy integral is validated to approximate ground-truth. Lastly, combining the above analytical formulas and extended equal area criterion (EEAC), a time-domain simulation-free explicit transient stability criterion incorporating fault location factor is settled. Simulation results in a double-generator system with DFIG integration confirm that, compared to existing transient stability criterion, the proposed criterion can expand the stability assessable area by approximately 10% while maintaining accuracy. Full article
Show Figures

Figure 1

18 pages, 5335 KB  
Article
Complexity Reduction for Converter-Driven Stability Analysis in Transmission Systems
by Viswaja Yellisetti and Albert Moser
Electronics 2025, 14(1), 55; https://doi.org/10.3390/electronics14010055 - 26 Dec 2024
Viewed by 995
Abstract
The high penetration of power electronic converters with complex control systems is changing the power system dynamics, introducing new challenges such as converter-driven stability incidents. Traditional stability analysis methods, suitable for classical problems like voltage, frequency, and rotor angle stability in large systems, [...] Read more.
The high penetration of power electronic converters with complex control systems is changing the power system dynamics, introducing new challenges such as converter-driven stability incidents. Traditional stability analysis methods, suitable for classical problems like voltage, frequency, and rotor angle stability in large systems, are insufficient for addressing the fast control dynamics of converters, which involve electromagnetic phenomena. These phenomena require detailed converter and network modeling, which can be performed in both the frequency and time domains, enabling the respective stability analyses to be carried out. However, frequency domain methods, based on small-signal impedances linearized at a single operating point, inherently ignore time domain phenomena like switching events and nonlinear behaviors. In contrast, time domain electromagnetic transient (EMT) simulations are effective for analyzing converter-driven stability but are computationally intensive when applied to large transmission systems with numerous use cases. Therefore, to reduce the simulation complexity in EMT tools, a complexity reduction procedure is proposed in this paper. Leveraging the advantages of the frequency domain, such as faster simulation times and information on wideband frequency characteristics of the system, this procedure utilizes the small-signal impedances and introduces a method for network reduction. The procedure also uses the frequency domain stability analysis method to screen for critical network use cases. Primarily, this procedure is a frequency domain toolchain encompassing frequency domain stability analysis and frequency domain network reduction. The result of the toolchain is a reduced network size and reduced network use cases that can be used for EMT simulations. The procedure is applied to an IEEE 39 bus system, where converter-driven stability is evaluated for two use cases. Furthermore, the network reduction method is tested on a critical use case, demonstrating reductions in network size and computation times without compromising the quality of stability analysis results. Full article
(This article belongs to the Special Issue New Trends in Power Electronics for Microgrids)
Show Figures

Figure 1

15 pages, 2888 KB  
Article
SVC Control Strategy for Transient Stability Improvement of Multimachine Power System
by Anica Šešok and Ivica Pavić
Energies 2024, 17(17), 4224; https://doi.org/10.3390/en17174224 - 23 Aug 2024
Viewed by 1553
Abstract
The increase in renewable energy sources (RESs) in power systems is causing significant changes in their dynamic behavior. To ensure the safe operation of these systems, it is necessary to develop new methods for preserving transient stability that follow the new system dynamics. [...] Read more.
The increase in renewable energy sources (RESs) in power systems is causing significant changes in their dynamic behavior. To ensure the safe operation of these systems, it is necessary to develop new methods for preserving transient stability that follow the new system dynamics. Fast-response devices such as flexible AC transmission systems (FACTSs) can improve the dynamic response of power systems. One of the most frequently used FACTS devices is the Static Var Compensator (SVC), which can improve a system’s transient stability with a proper control strategy. This paper presents a reactive power control strategy for an SVC using synchronized voltage phasor measurements and particle swarm optimization (PSO) to improve the transient stability of a multimachine power system. The PSO algorithm is based on the sensitivity analysis of bus voltage amplitudes and angles to the reactive power of the SVC. It determines the SVC reactive power required for damping active power oscillations of synchronous generators in fault conditions. The sensitivity coefficients can be determined in advance for the characteristic switching conditions of the influential part of the transmission network, and with the application of the PSO algorithm, enable quick and efficient finding of a satisfactory solution. This relatively simple and fast algorithm can be applied in real time. The proposed control strategy is tested on the IEEE 14-bus system using DIgSILENT PowerFactory. The simulation results show that an SVC with the proposed control strategy effectively minimizes the rotor angle oscillations of generators after large disturbances. Full article
Show Figures

Figure 1

22 pages, 7167 KB  
Article
Harmonic Sequence Component Model-Based Small-Signal Stability Analysis in Synchronous Machines during Asymmetrical Faults
by Oscar C. Zevallos, Yandi A. Gallego Landera, Lesyani León Viltre and Jaime Addin Rohten Carrasco
Energies 2024, 17(15), 3634; https://doi.org/10.3390/en17153634 - 24 Jul 2024
Viewed by 1337
Abstract
Power systems are complex and often subject to faults, requiring accurate mathematical models for a thorough analysis. Traditional time-domain models are employed to evaluate the dynamic response of power system elements during transmission system faults. However, only the positive sequence components are considered [...] Read more.
Power systems are complex and often subject to faults, requiring accurate mathematical models for a thorough analysis. Traditional time-domain models are employed to evaluate the dynamic response of power system elements during transmission system faults. However, only the positive sequence components are considered for unbalanced faults, so the small-signal stability analysis is no longer accurate when assuming balanced conditions for asymmetrical faults. The dynamic phasor approach extends traditional models by representing synchronous machines with harmonic sequence components, making it suitable for an unbalanced condition analysis and revealing dynamic couplings not evident in conventional methods. By modeling electrical and mechanical equations with harmonic sequence components, the study implements an eigenvalue sensitivity analysis and participation factor analysis to identify the variable with significant participation in the critical modes and consequently in the dynamic response of synchronous machines during asymmetric faults, thereby control strategies can be proposed to improve system stability. The article validates the dynamic phasor model through simulations of a single-phase short circuit, demonstrating its accuracy and effectiveness in representing the transient and dynamic behavior of synchronous machines, and correctly identifies the harmonic sequence component with significant participation in the critical modes identified by the eigenvalue sensitivity to the rotor angular velocity and rotor angle. Full article
(This article belongs to the Section F: Electrical Engineering)
Show Figures

Figure 1

20 pages, 5791 KB  
Article
The Design and the Control Principle of a Direct Low-Speed PMSM Servo-Drive Operating under a Sign-Changing Load on the Shaft
by Oleksandr Makarchuk and Dariusz Całus
Energies 2024, 17(13), 3134; https://doi.org/10.3390/en17133134 - 26 Jun 2024
Cited by 1 | Viewed by 1996
Abstract
The paper relates to the development of an algorithm applicable for maintaining the rotational speed of low-speed drives using PMSM motors and operating under a sign-changing load. The moment of inertia of rotating parts does not play the role of a mechanical stabilizer [...] Read more.
The paper relates to the development of an algorithm applicable for maintaining the rotational speed of low-speed drives using PMSM motors and operating under a sign-changing load. The moment of inertia of rotating parts does not play the role of a mechanical stabilizer for the speeds discussed in the article. Simulation studies are presented with the aim of developing a rotational speed control algorithm that utilizes only positional feedback and the previously assumed sign-changing load on the shaft. For the purposes of this research, a mathematical model was developed to calculate transient processes in a PMSM machine operating in the conditions of a sign-changing load on the shaft. This model assumes a deterministic control principle adapted to the known nature of the load change. In this model, the mutual influence occurring between the phase fluxes, the electromagnetic torque, the electric currents and the rotor position angle are established on the basis of FEM analysis of a two-dimensional magnetic field using a quasi-stationary approximation. Principles applicable for controlling a direct low-speed servo drive based on a PMSM machine operating with a known variable shaft load using only positional feedback and a predetermined shaft load change law are defined. The proposed regulation method is verified in an experimental manner. For this purpose, an experimental setup was built, which includes a PMSM with a load imitator on a variable sign shaft, an inverter providing sine-shaped power supply to the machine and a digital dual-processor control system. The discussed rotational speed stabilization algorithm was implemented in the form of a program for a microcontroller, which forms a part of the control system. The results of experimental tests confirm the adequacy of mathematical modeling and the effectiveness of the proposed rotational speed stabilization algorithm. Full article
(This article belongs to the Section F1: Electrical Power System)
Show Figures

Figure 1

17 pages, 2684 KB  
Article
Mechanism Analysis of the Effect of the Equivalent Proportional Coefficient of Inertia Control for a Doubly Fed Wind Generator on Frequency Stability in Extreme Environments
by Haopeng Zhang, Xiangyu Zhai, Jiahui Zhang, Xiang Bai and Zening Li
Sustainability 2024, 16(12), 4965; https://doi.org/10.3390/su16124965 - 11 Jun 2024
Cited by 18 | Viewed by 1643
Abstract
With the large-scale access of a doubly fed wind generator (DFWG) with inertia adjustment capability to the polar microgrid, the frequency stability characteristics of the polar microgrid become more complicated. To enhance DWFG frequency stability and ensure the safe and reliable operation of [...] Read more.
With the large-scale access of a doubly fed wind generator (DFWG) with inertia adjustment capability to the polar microgrid, the frequency stability characteristics of the polar microgrid become more complicated. To enhance DWFG frequency stability and ensure the safe and reliable operation of polar microgrids, a DFWG connected to a two-region interconnected polar microgrid is used as the research background for this paper. Firstly, the equivalent model of two regional inertia centers is derived, and the effect of DFWG virtual inertia on the rotor motion equation of the regional inertia center is analyzed when a DFWG is directly connected to the polar microgrid. Then, from the point of view of the transient energy of the system, the influence of the equivalent proportional coefficient of virtual inertia control of the DFWG in two regions on the transient energy during the acceleration and deceleration of the system is studied when the swing direction of the system power angle is different, and the influence mechanism of the swing direction on the frequency stability is further investigated. Finally, the maximum frequency offset is proposed to evaluate the frequency stability of the system, and the two-region system simulation model is built into the PSASP 7.4.1 simulation software to verify the correctness of the proposed theory. Full article
Show Figures

Figure 1

23 pages, 7353 KB  
Article
The Impact of Replacing Synchronous Generators with Renewable-Energy Technologies on the Transient Stability of the Mangystau Power System: An Introduction to Flexible Automatic Dosage of Exposures
by Yerzhan Aisayev, Kazhybek Tergemes, Algazy Zhauyt, Saken Sheryazov and Kairat Bakenov
Energies 2024, 17(10), 2314; https://doi.org/10.3390/en17102314 - 11 May 2024
Cited by 2 | Viewed by 2940
Abstract
Since the creation of the first parallel electrical power systems around the world, the rotor angle stability of synchronously operating generators has been one of the most crucial and challenging problems. In modern electricity networks, including in Kazakhstan, where renewable energy technologies are [...] Read more.
Since the creation of the first parallel electrical power systems around the world, the rotor angle stability of synchronously operating generators has been one of the most crucial and challenging problems. In modern electricity networks, including in Kazakhstan, where renewable energy technologies are rapidly emerging, the issue of stability takes on even greater importance due to the technical shortcomings of inverter-based generation. In this framework, an analysis of rotor angle transient stability was carried out when replacing existing synchronous generators with doubly fed induction generators under a certain pre-emergency mode. A critical proportion of active power generation by DFIG units was identified at which transient stability can still be maintained due to the sufficient stored kinetic energy of the synchronous machines remaining in operation. In addition, two simple solutions were investigated to improve transient stability, such as an increased time of the automatic reclosure operation and the use of special load-shedding automation. Finally, this paper proposes a novel type of flexible smart-grid automation that is capable of monitoring the main operating parameters and issuing control actions depending on inertia, the availability of wind resources, and the load of the system as a whole. For this analysis, a real power system from the Mangystau region in Kazakhstan was considered, and the PowerWorld software 23 was used. Full article
(This article belongs to the Section A: Sustainable Energy)
Show Figures

Figure 1

20 pages, 5623 KB  
Article
Manifold Learning in Electric Power System Transient Stability Analysis
by Petar Sarajcev and Dino Lovric
Energies 2023, 16(23), 7810; https://doi.org/10.3390/en16237810 - 27 Nov 2023
Cited by 1 | Viewed by 1464
Abstract
This paper examines the use of manifold learning in the context of electric power system transient stability analysis. Since wide-area monitoring systems (WAMSs) introduced a big data paradigm into the power system operation, manifold learning can be seen as a means of condensing [...] Read more.
This paper examines the use of manifold learning in the context of electric power system transient stability analysis. Since wide-area monitoring systems (WAMSs) introduced a big data paradigm into the power system operation, manifold learning can be seen as a means of condensing these high-dimensional data into an appropriate low-dimensional representation (i.e., embedding) which preserves as much information as possible. In this paper, we consider several embedding methods (principal component analysis (PCA) and its variants, singular value decomposition, isomap and spectral embedding, locally linear embedding (LLE) and its variants, multidimensional scaling (MDS), and others) and apply them to the dataset derived from the IEEE New England 39-bus power system transient simulations. We found that PCA with a radial basis function kernel is well suited to this type of power system data (where features are instances of three-phase phasor values). We also found that the LLE (including its variants) did not produce a good embedding with this particular kind of data. Furthermore, we found that a support vector machine, trained on top of the embedding produced by several different methods was able to detect power system disturbances from WAMS data. Full article
Show Figures

Figure 1

17 pages, 4540 KB  
Article
Impact Mechanisms of Commutation Failure Caused by a Sending-End AC Fault and Its Recovery Speed on Transient Stability
by Yifeng Lin, Jiawei Hu, Tong Wang and Zengping Wang
Electronics 2023, 12(16), 3439; https://doi.org/10.3390/electronics12163439 - 14 Aug 2023
Cited by 1 | Viewed by 1385
Abstract
A sending-end AC fault may lead to commutation failure (CF) in a line-commutated converter high-voltage direct current (LCC-HVDC) system. In this paper, a theoretical analysis of the impact mechanisms of a CF and its recovery speed on the transient stability of a sending-end [...] Read more.
A sending-end AC fault may lead to commutation failure (CF) in a line-commutated converter high-voltage direct current (LCC-HVDC) system. In this paper, a theoretical analysis of the impact mechanisms of a CF and its recovery speed on the transient stability of a sending-end power system (TSSPS) is performed. Firstly, the models of the sending-end power system and DC power of CF are established; the ramp function is utilized to characterize the DC power recovery process. Secondly, the swing direction of the relative rotor angle caused by a sending-end AC fault is discussed, and the DC power flow method is employed to theoretically analyze the impacts of CF and its recovery speed on TSSPS. Next, the mathematic relations between parameters of the voltage-dependent current order limiter (VDCOL) and DC power recovery speed are further derived. It is concluded that the impacts of CF and its recovery speed on transient stability are related to the swing direction caused by a sending-end AC fault, the inertia of generators, and the location of the rectifier station. Finally, the theoretical analysis is validated by Kundur’s two-area system and IEEE 68-bus-based AC/DC asynchronous interconnection test power systems, respectively. Full article
(This article belongs to the Topic Power System Dynamics and Stability)
Show Figures

Figure 1

23 pages, 5329 KB  
Article
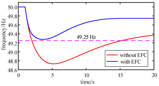
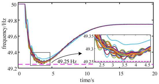
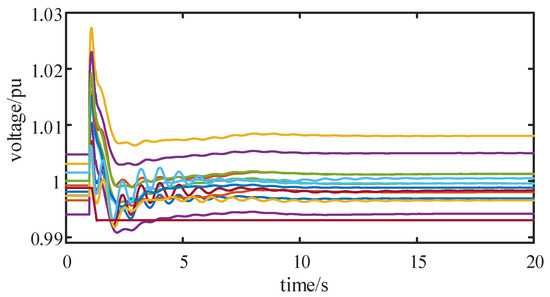
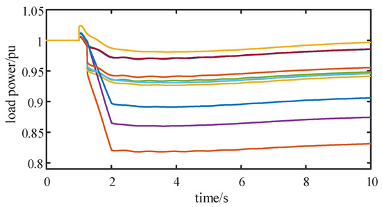
Coordination of Multiple Flexible Resources Considering Virtual Power Plants and Emergency Frequency Control
by Jingrun Xue, Yongji Cao, Xiaohan Shi, Zhen Zhang, Ruicong Ma and Jian Zhang
Appl. Sci. 2023, 13(11), 6390; https://doi.org/10.3390/app13116390 - 23 May 2023
Cited by 4 | Viewed by 1657
Abstract
High-voltage direct current (HVDC) blocking disturbance leads to large power losses in the receiving-end power grid, and the event-driven emergency frequency control (EFC) is an important measure to prevent large frequency deviation. By aggregating controllable distributed energy resources (DERs) on the demand side, [...] Read more.
High-voltage direct current (HVDC) blocking disturbance leads to large power losses in the receiving-end power grid, and the event-driven emergency frequency control (EFC) is an important measure to prevent large frequency deviation. By aggregating controllable distributed energy resources (DERs) on the demand side, a virtual power plant (VPP) could quickly reduce its power and can be a new fast response resource for EFC. Considering both the VPP and the traditional control resources, this paper proposes an optimized EFC strategy coordinating multiple resources for the receiving-end power grid with multi-infeed HVDC. The approximate aggregation model of the VPP response process is constructed, based on which the EFC strategy, aiming at minimizing the total control cost while meeting constraints on rotor angle stability and frequency deviation security, is proposed. The electromechanical transient simulation combined with particle swarm optimization (PSO) is utilized to solve the model, and parallel computation is utilized to accelerate the solving process. The effectiveness of the proposed EFC strategy is verified by a provincial receiving-end power grid with multi-infeed HVDC. The detailed simulation results show that VPP could dramatically reduce the control cost of EFC while maintaining the same stability margin. Full article
(This article belongs to the Section Energy Science and Technology)
Show Figures

Figure 1

20 pages, 4767 KB  
Article
Improvement of Frequency Support for a DFIG Using a Virtual Synchronous Generator Strategy at Large Power Angles
by Zhishuai Hu, Yongfeng Ren, Qingtian Meng, Pingping Yun, Chenzhi Fang and Yu Pan
Energies 2023, 16(2), 914; https://doi.org/10.3390/en16020914 - 13 Jan 2023
Cited by 6 | Viewed by 2276
Abstract
The frequency regulation rate and operation stability of a doubly fed induction generator (DFIG) based on a virtual synchronous generator (VSG) strategy decreases under large-power-angle conditions, which reduces the grid frequency support capacity. This paper proposes the compound adaptive parameter (CAP) and coordinated [...] Read more.
The frequency regulation rate and operation stability of a doubly fed induction generator (DFIG) based on a virtual synchronous generator (VSG) strategy decreases under large-power-angle conditions, which reduces the grid frequency support capacity. This paper proposes the compound adaptive parameter (CAP) and coordinated primary frequency regulation (CPFR) strategies to improve the grid frequency support capacity in terms of multiple dimensions of the transient properties, operation condition range, and regulation duration. Mathematical and small signal models of the DFIG-VSG system are constructed. The effect of large-power-angle conditions on the transient properties under grid frequency perturbations is analyzed based on these models, and the CAP strategy for excitation control and virtual damping is formulated. The constraints of the rotor kinetic energy and the load increase capacity of the grid-side converter are analyzed, and the CPFR strategy is formulated based on this. Finally, the effectiveness of the proposed strategies is verified via simulations of single-machine and wind farm scenarios under grid frequency perturbation. Full article
Show Figures

Figure 1

25 pages, 10761 KB  
Article
Gusts Encountered by Flying Vehicles in Proximity to Buildings
by Abdulghani Mohamed, Matthew Marino, Simon Watkins, Justin Jaworski and Anya Jones
Drones 2023, 7(1), 22; https://doi.org/10.3390/drones7010022 - 28 Dec 2022
Cited by 38 | Viewed by 12901 | Correction
Abstract
There is a growing desire to operate Uncrewed Air Vehicles (UAVs) in urban environments for parcel delivery, and passenger-carrying air taxis for Advanced Air Mobility (AAM). The turbulent flows and gusts around buildings and other urban infrastructure can affect the steadiness and stability [...] Read more.
There is a growing desire to operate Uncrewed Air Vehicles (UAVs) in urban environments for parcel delivery, and passenger-carrying air taxis for Advanced Air Mobility (AAM). The turbulent flows and gusts around buildings and other urban infrastructure can affect the steadiness and stability of such air vehicles by generating a highly transient relative flow field. Our aim is to review existing gust models, then consider gust encounters in the vicinity of buildings as experienced by flight trajectories over the roof of a nominally cuboid building in a suburban atmospheric boundary layer. Simplified models of fixed- and rotary-wing aircraft are used to illustrate the changes in lift and thrust experienced by flight around the building. The analysis showed that fixed-wing aircraft experienced a substantial increase in angle of attack over a relatively short period of time (<1 s) as they fly through the shear layer at a representative forward velocity, which can be well above typical stall angles. Due to the slow flight speeds required for landing and take-off, significant control authority of rotor systems is required to ensure safe operation due to the high disturbance effects caused by localized gusts from buildings and protruding structures. Currently there appears to be negligible certification or regulation for AAM systems to ensure safe operations when traversing building flow fields under windy conditions and it is hoped that the insights provided in this paper will assist with future certification and regulation. Full article
(This article belongs to the Special Issue Urban Air Mobility (UAM))
Show Figures

Figure 1

21 pages, 4790 KB  
Article
A PSO-Based Approach for Optimal Allocation and Sizing of Resistive-Type SFCLs to Enhance the Transient Stability of Power Systems
by Masoud Khatibi, Saeid Jalilzadeh, Arif Hussain and Waseem Haider
Electronics 2022, 11(23), 3980; https://doi.org/10.3390/electronics11233980 - 30 Nov 2022
Cited by 4 | Viewed by 2378
Abstract
Transient stability improvement of power systems in the event of short-circuit faults has always been an important issue in power systems analysis and studies. Resistive-type superconducting fault current limiters (RSFCL), owing to their capability in restricting fault currents, have been often taken into [...] Read more.
Transient stability improvement of power systems in the event of short-circuit faults has always been an important issue in power systems analysis and studies. Resistive-type superconducting fault current limiters (RSFCL), owing to their capability in restricting fault currents, have been often taken into account as an efficient method to improve the transient stability of a power system. Regarding technical constraints as well as economic concerns, optimal allocation and sizing of RSFCLs in a power system play a crucial role in their efficient utilization. This paper aims to continue the authors’ previous work and enhance the transient stability of power systems by proposing an optimization approach for optimal sizing and the allocation of various candidate numbers of RSFCLs, as the most employed type of SFCL and the most efficient one in transient stability improvement. To solve the optimization problem, a PSO-based algorithm is solved in MATLAB through an objective function and related constraints. The efficacy of the proposed algorithm is evaluated by numerical studies on the IEEE 39-Bus New England system in various scenarios through the assessment of critical fault clearing time (CCT) as well as the generators rotor angle deviations as two crucial criteria for the transient stability of power systems. Simulating the optimization results in DIgSILENT Power Factory indicates an evident enhancement of the power system transient stability via employing optimized RSFCLs resulted from the proposed optimization algorithm. Moreover, the level of transient stability enhancement highly depends on the number of optimized RSFCLs employed in the power system. The results of this paper present a helpful guideline for power system planners to select an appropriate stability scheme based on RSFCLs besides other related technical and economic issues. Full article
(This article belongs to the Special Issue Voltage Control and Protection in Power Systems)
Show Figures

Figure 1

Back to TopTop