Next Article in Journal
Efficient Dissemination of Safety Messages in Vehicle Ad Hoc Network Environments
Previous Article in Journal
Preliminary Flutter Stability Assessment of the Double-Deck George Washington Bridge
 
 
Font Type:
Arial Georgia Verdana
Font Size:
Aa Aa Aa
Line Spacing:
Column Width:
Background:
Article

Coordination of Multiple Flexible Resources Considering Virtual Power Plants and Emergency Frequency Control

1
Key Laboratory of Power System Intelligent Dispatch and Control of the Ministry of Education, Shandong University, Jinan 250061, China
2
Academy of Intelligent Innovation, Shandong University, Jinan 250101, China
*
Author to whom correspondence should be addressed.
Appl. Sci. 2023, 13(11), 6390; https://doi.org/10.3390/app13116390
Submission received: 10 April 2023 / Revised: 10 May 2023 / Accepted: 16 May 2023 / Published: 23 May 2023
(This article belongs to the Section Energy Science and Technology)

Abstract

High-voltage direct current (HVDC) blocking disturbance leads to large power losses in the receiving-end power grid, and the event-driven emergency frequency control (EFC) is an important measure to prevent large frequency deviation. By aggregating controllable distributed energy resources (DERs) on the demand side, a virtual power plant (VPP) could quickly reduce its power and can be a new fast response resource for EFC. Considering both the VPP and the traditional control resources, this paper proposes an optimized EFC strategy coordinating multiple resources for the receiving-end power grid with multi-infeed HVDC. The approximate aggregation model of the VPP response process is constructed, based on which the EFC strategy, aiming at minimizing the total control cost while meeting constraints on rotor angle stability and frequency deviation security, is proposed. The electromechanical transient simulation combined with particle swarm optimization (PSO) is utilized to solve the model, and parallel computation is utilized to accelerate the solving process. The effectiveness of the proposed EFC strategy is verified by a provincial receiving-end power grid with multi-infeed HVDC. The detailed simulation results show that VPP could dramatically reduce the control cost of EFC while maintaining the same stability margin.

1. Introduction

When the primary energy is far from the load center, transmitting large amounts of power with minimum losses is necessary. In China, large energy bases such as coal resources, wind and photovoltaic energy resources are mainly distributed in the northwestern provinces, while the load centers are in the eastern coastal areas. In order to transmit large-capacity power to load centers over long distances, several high-voltage direct current (HVDC) transmission lines have been built in China in recent years [1]. The high proportion of HVDC transmission operation power to the total demand of the receiving-end power grid replaces many synchronous generators, leading to the decline of system inertia [2,3]. A disturbance with the same amount of power loss can cause a larger rate of change of frequency and a larger frequency deviation under low inertia conditions [4,5]. In recent years, several HVDC blocking disturbances occurred. For example, in September 2015, a ±800 kV HVDC bipolar blocking disturbance caused the power system frequency to drop to 49.56 Hz in the East China Power Grid [6,7].
To prevent large frequency deviations caused by large power losses, emergency frequency control (EFC) is adopted to prevent the frequency from falling below the under-frequency load-shedding threshold [8]. For a HVDC blocking disturbance, the event-driven EFC can act immediately after disturbance to quickly reduce the active power imbalance and ensure system frequency stability [9]. For the receiving-end power grid with multi-infeed HVDC, EFC measures include HVDC emergency power support, cutting out any pumped-storage pump, and emergency load shedding (ELS) [10]. There are massive distributed energy resources (DERs) on the demand side, such as electric vehicles (EV) and thermostatically controlled loads (TCLs); the latter usually include air conditioners (AC), water heaters (WH), and refrigerators [11,12]. As the proportion of electric energy in the terminal energy consumption increases, the scale of controllable DERs is increasing. Controllable DERs can store electricity or heat, and therefore they can alter their active power for a short time while not affecting the user comfort [13,14]. The controllable DERs can be aggregated and coordinated, controlled through a virtual power plant (VPP), which can provide huge regulation capacity for frequency control [15,16]. If the DER device acts quickly enough, the VPP will have the ability of emergency power regulation and can be a new control resource for EFC [17].
ELS is the most common resource for EFC in the receiving-end power grid. An ELS model is proposed to minimize the total load-shedding cost while meeting constraints on transient rotor angle stability and voltage/frequency deviation security [18]. For a HVDC blocking disturbance, an ELS model is created to minimize the total load-shedding amount [19]. Most of the existing ELS for a HVDC blocking disturbance directly cut off the outlet of the substation, leading to a large area of power outages, and the control cost is high [20]. To reduce the control cost, an EFC with multi-resource coordination has been studied recently. A two-stage EFC scheme is proposed, where the control resources include HVDC modulation, energy storage, and load shedding in both stages and wind farms only for the first stage [21]. A two-stage EFC control for online decision-making is proposed, where the ELS is adopted in the first stage to prevent a large frequency drop, and the coordination of demand response and ELS is adopted in the second stage for frequency recovery while reducing the control cost [22]. A real-time coordinated control method for EFC is proposed, where control resources include emergency demand response, HVDC modulation, and energy storage [23].
Recently, demand-side DERs or VPPs participating in emergency control for frequency stability have been studied. A residential-level fast load-control scheme is proposed, where the starting point and the power deficit of the disturbance event are estimated by the distribution-level phasor measurement [24]. A hierarchical control architecture for distribution network VPP to manage the inverter and deferrable loads is proposed to provide a fast frequency response to the bulk power system, where the resources coordination strategy is solved online after a frequency event occurs [25]. EVs installed in distribution networks are grouped into VPP, and a frequency-dependent absorbed power control scheme for EV clusters is proposed to provide a fast frequency response to the transmission network [26]. The above works mainly focus on one type of DERs for frequency control and cannot be directly utilized to coordinate multiple resources for event-driven EFC. An online coordinated control of emergency demand response and HVDC modulation is proposed, where the emergency demand response aggregation model is simplified as a delayed step function by ignoring the difference in response speed between DER devices [27].
With the diverse device types and the large number of devices in VPP, it is critical to determine the response priority of DERs [28]. Several indicators that need to be considered to build priorities are given, which include load importance, frequency dependence, control cost, energy efficiency, and customer satisfaction [29]. The controllable characteristics of DERs are restricted by user behavior, so the priority index needs to consider user comfort [30]. An OFF-time priority-based control method for fridges to provide secondary frequency control is given, where the fridge with the longer OFF time has the higher priority [31]. A temperature-priority-list method for AC participating in primary frequency regulation is adopted, where the device with a low room temperature will have a high priority to be turned off [32]. A dynamic criteria of EV priority is proposed for load shedding, where the priority parameters include state of charge (SOC), slack time, and completed charging intervals [33]. A priority list considering willingness and charging power for EVs participating in under-frequency load shedding is expressed [34]. The above works mainly focus on presenting quantitative indicators for the priority of single-type DERs.
With the help of the Internet of Things and low-latency communication such as 5G, VPP can realize high-precision condition monitoring and low-latency transmission of control instructions with massive DER devices [35,36,37]. VPP aggregates devices that guarantee user comfort to participate in EFC, reducing the impact of the ELS on residents, so its control cost is lower than the ELS. The response speed and control cost of ELS and VPP are complementary. However, few works have been focused on the coordination of VPP emergency power regulation (VEPR) with the existing control resources for EFC. Moreover, DERs are dispersed, and their communication means can be diverse. Therefore, the difference in communication delay and response speed of different DER devices should be considered when constructing the VPP response process for EFC decision-making. Meanwhile, there are several DERs types in VPP, and the response priority of DERs needs to consider the differences in the flexible duration between different devices.
To further reduce the EFC control cost for the receiving-end power grid and make full use of the massive controllable DERs on the demand side, this paper manages and controls the demand-side DERs in the form of VPP to provide VEPR and proposes an EFC strategy with the coordinating multiple control resources. The main contributions of this paper are three-fold. Firstly, an EFC strategy with multiple resources coordination for dealing with a HVDC blocking disturbance at the receiving-end power grid is proposed to minimize the total control cost while meeting constraints on rotor angle stability and frequency deviation security. Secondly, the approximate aggregation model of the VPP response process is constructed to consider the difference in communication delay and response speed between different DER devices. Finally, a bi-level optimization model is used to realize the EFC strategy. In the upper-level model, the decision table for EFC is made online by the dispatching center, which is solved by electromechanical transient simulation combined with the improved particle swarm optimization (PSO) algorithm. In the lower-level VPP instruction allocation, the dynamic response priority sequence of DERs is constructed based on the improved time margin and state margin of DER devices.
The remainder of this paper is organized as follows. Section 2 introduces the hierarchical management and control architecture of DERs in the form of VPP and the bi-level optimization scheme of EFC. Section 3 describes the EFC strategy with multi-resource coordination in the dispatching center. Section 4 introduces the dynamic response priority formulation and control instruction allocation strategy in the VPP control center. In Section 5, the case study is carried out, and the discussions for practical implementations are given. Finally, conclusions are drawn in Section 6.

2. Multiple Resources Coordination Control Framework for EFC

The number of DER devices is huge, and the regulation capability of individual devices is limited, so they cannot be directly controlled by the grid dispatching center. Fortunately, the form of VPP can aggregate a cluster of limited-capacity and dispersed DERs to participate in bulk grid stability control. There may be several auxiliary services that VPP can provide, in order to realize the decoupling of different control objectives; this paper proposes a hierarchical control architecture to manage DERs, as shown in Figure 1. There are four layers, which are DERs devices, a VPP control center, a VPP cloud control platform, and a grid dispatching center from bottom to top.
When participating in EFC, a VPP is required to fully respond to the allocated capacity within 1 s after receiving the control instruction, which is the same response speed as fast frequency response. For EFC, the communication between the VPP control center and the DERs adopts a low-delay communication technology, such as optical fibers or 5G. To achieve a rapid power decrease, EV can immediately stop charging or reverse discharge, and AC can immediately shut down. To reduce the computational burden of VEPR capacity evaluation, the cloud-side collaboration technique is adopted in this paper. The intelligent terminal unit (ITU) of the DER evaluates the EPR capacity of individual devices based on the current status of the DER device, device constraints, and user comfort settings. The ITU sends the evaluation result to the VPP control center, and then the VPP control center can refresh its EPR capability periodically. The VEPR capacity of all VPPs in the receiving power grid will be aggregated through the VPPs cloud control platform to the grid dispatching center for online EFC decision-making.
The hierarchical management architecture of DERs decouples the VPP regulation capacity aggregation and control instruction allocation between different layers. For the grid dispatching center, the VPPs connected to the transmission bus can be regarded as controllable loads.
The resources for EFC considered in this work include HVDC emergency power support, ELS and VEPR. This work proposes a bi-level optimized EFC caused by HVDC blocking. Figure 2 shows the EFC framework.
Through the aggregation and disaggregation roles of VPP, when massive controllable DERs participate in EFC, the decision complexity can be reduced by hierarchical optimization. The upper-level optimization model is a multiple resources coordination scheme with minimal control cost solved by the grid dispatching center. The participation of VEPR can reduce the impact of ELS on residents’ lives. In the upper-level model, the grid dispatching center needs to know the regulation capacity of all resources and their response process characteristics. The power grid dispatching center updates its decision table according to the latest operation status of the power grid and the support capability of all resources under the stable operation condition. Usually, the update period of the decision table can be 10 min.
The lower-level optimization model is the instruction allocation of each control resource. Since HVDC emergency power support and ELS are mature technologies in the existing stability and control system, this work only presents the instruction allocation of VPP. After receiving the control instruction, the VPP control center quickly determines the DER device that needs to participate according to the DERs dynamic response priority sequence. Under the stable operation condition, the VPP control center updates the dynamic response priority sequence according to the regulation capability and margin information of each DER device.

3. Upper-Level Multiple Resources Coordinated Optimization Modeling and Solving

3.1. Resources Modeling

For the receiving-end power grid with multi-infeed HVDC, after one HVDC line blocking occurs, the remaining HVDC lines can increase the power supply through DC modulation to reduce the active power imbalance of the receiving-end power grid. The overload capacity of a HVDC line is inversely proportional to the duration, and DC modulation also requires a power supply at the sending-end grid to increase their power generation output. So only the long-time overload capacity is considered in this work. The response process characteristic of HVDC emergency power support is shown in Figure 3, and it can be expressed as
P dc , i ( t ) = P dc , i 0 + min ( K dc , i ( t t f t st dc ) , k dc , i P dc , i 0 )
where P dc , 0 is the initial operating power of the HVDC line. K dc , i is the power increase rate. t f is the time when the disturbance occurs; t st dc is the time duration from disturbance occurrence to the starting point of the HVDC power increase, that is, the whole group action time of HVDC line. k dc , i is the maximum increment of the HVDC line power.
ELS can rapidly reduce load power by directly cutting off the outlet or the substation. Therefore, the response process characteristic of ELS can be described by a step function, as shown in Figure 4. The load power of the bus where the ELS station is located can be expressed as
P tl , i ( t ) = { P tl , i 0 , t t f + t st tl + t br tl P tl , i 0 P tl , i , t > t f + t st tl + t br tl
where P tl , 0 is the initial load power of the bus, P tl is the shedding power, t 1 , tl is the time duration from disturbance occurrence to the starting point of circuit breaker action, that is, the whole group action time of ELS, and t br tl is the circuit breaker tripping duration.
Compared with ELS, the control instructions go through more intermediate levels from the grid dispatching center to the DER devices, and the communication delay of the DER device using 4G/5G instead of optical fiber is longer than that of the HVDC and ELS station. On the other hand, for ON/OFF-type DER devices, the load-switch tripping time is larger than that of the high-voltage circuit breaker, and for converter type devices, there is a transition time from charging to discharging state switching. Therefore, the response speed of VEPR is slower than that of ELS. If the number of DER devices in VPP is large, the response of VPP has an obvious transition process due to the difference in communication delay and response speed between DER devices.
Taking a VPP containing switching-type and converter-type devices as an example, the response process of the VPP is shown in Figure 5. DER1 and DER2 are ON/OFF-type devices, DER3 and DER4 are converters with reverse discharge ability. t 2 , i is the response time of the DER device; t 3 , 1 and t 3 , 2 correspond to the tripping completion time of DER1 and DER2 load switches, respectively. t 3 , 3 and t 3 , 4 correspond to the state switching completion time of DER3 and DER4 converters, respectively. For the response process of VPP, t st , 1 vpp is the time duration from disturbance occurrence to the instruction issued by the VPP control center. After t de vpp , the fastest DER device completes the response, which is the starting time of the VPP response process. The moment when the VPP completes the instruction is determined by the slowest DER device, and the time duration from the beginning of the VPP response process to the final full response is t pr vpp .
In actual operation, the sum of t de vpp and t pr vpp consists of four parts: decision time of the VPP control center, communication delay between the VPP control center and the DER devices, action instruction issued by ITU of DER, and the load switch tripping time/converter state switching time. For DER devices in the same VPP, the decision time of the VPP control center is the same. Due to the dispersed locations of DERs and different communication modes, the communication delay of DER devices is different, so a certain probability distribution is used to describe the communication delay difference in this work. For heterogeneous DERs in a VPP, the last two periods can also be described by a certain probability distribution. In this work, the uniform distribution is used to describe the response delay (the sum of the last three parts) of DERs. The power of VPP can be expressed as
P vpp , i ( t ) = { P vpp , i 0 , t t f + t vpp , i be P vpp , i 0 ( t t f t vpp , i be ) P vpp , i / t pr vpp , t f + t vpp , i be < t t f + t vpp , i be + t pr vpp P vpp , i 0 P vpp , i , t > t f + t vpp , i be + t pr vpp
where t vpp , i be = t st , 1 vpp + t de vpp , P tl , 0 is the initial power of VPP, and P vpp , i is the response amount of VEPR.

3.2. Mathematical Model for Multiple Resources Coordinated Optimization

3.2.1. Objective Function

The objective of EFC is to minimize the total control cost of maintaining the frequency stability of the receiving-end power grid and can be expressed as
min F = λ dc i = 1 N dc c dc , i P dc , i + λ tl j = 1 N tl c tl , j P tl , j + λ vpp k = 1 N vpp c vpp , k P vpp , k
where λ dc , λ tl , and λ vpp are the weight coefficients of the HVDC emergency power support, ELS, and VEPR, respectively. The weight coefficients are determined by the dispatcher of the grid dispatching center. P dc , i , P tl , j , and P vpp , k are control amounts of the ith HVDC, jth load shedding, and kth VPP. c dc , i , c tl , j , and c vpp , k are control cost factors of the ith HVDC, jth load shedding, and kth VPP.

3.2.2. Resource Control Cost

The three control resources are implemented in different ways, and their control cost factors are significantly different. In the actual power grid, the control cost factor of DC modulation is the lowest. Since VEPR does not cause a large area blackout, its control cost is usually less than that of the ELS. For HVDC emergency power support, its cost factor can be assumed to be constant.
In actual operation, the ELS is to cut off the line without informing the customers. The larger the load-shedding amount, the greater the resulting loss due to power outages and the impact on the normal production and life, so the cost increases with the increase of load-shedding amount. In this work, the first-order function is used to describe the characteristics of c tl increasing with the increase of the shedding proportion. The cost factor of ELS can be expressed as
c tl , j = b tl 0 , j + b tl , j P tl , j / P L , j
where P L , j is the total load active power before disturbance of the bus where the jth ELS station is located, and b tl , j is the linear growth coefficient of the cost factor.
The control cost factor of VPP is not only related to the response proportion but is also affected by the VEPR evaluation error. Since the VEPR of the VPP is refreshed periodically, the evaluation results will lag behind the actual DER operating state at off-cycle moments. On the other hand, since the VEPR capacity is the maximum power change that VPP can provide, when the response amount of VPP is close to the VEPR capacity, there will be more DER devices approaching their operation status limit, resulting in user discomfort. Therefore, when the response amount is close to VEPR capacity, the control cost of VPP will increase.
The modeling idea of the VPP control cost factor is as follows: when the VPP response proportion is small, the VPP control cost factor will be significantly smaller than the ELS cost factor. As the VPP response proportion increases, the control cost factor first increases slowly, and when the VPP response proportion approaches 100%, the control cost factor increases rapidly and is comparable to the ELS. The control cost factor of VPP can be expressed as
c vpp , k = b vpp 0 , k + b vpp , k P vpp , k / P vpp , k max + max ( 0 , K vpp , k c ( P vpp , k / P vpp , k max k vpp , k c ) ϑ )
where the first part of the expression, b vpp , k , is the constant term of the cost factor; the second part is the linear growth part with the VPP response proportion ( P vpp , k / P vpp , k max ), b tl , j is the growth coefficient; the third part is an additional term that takes into account VEPR evaluation error, k vpp , k c is a constant between 0 and 1, ϑ is an odd number, and K vpp , k c is a constant.
k vpp , k c , ϑ , and K vpp , k c of the third part of the cost factor should be determined by the VPP control center according to the actual VEPR evaluation error and ELS cost factor. For example, when b vpp 0 , k , b vpp , k , and b tl 0 , j are 3, 0.5, and 5, respectively, Figure 6 shows the VPP cost factor curves when [ K vpp , k c ,   k vpp , k c ] are [40, 0.7], [70, 0.7], and [70, 0.8], respectively.
As Figure 6 shows, when the other parameters are given, the larger the k vpp , k c , the larger is the proportion at which the cost factor starts to grow rapidly. The larger K vpp , k c is, the larger the maximum value of c vpp , k is. For example, when K vpp , k c is 40, the maximum value is obviously higher than the value when the response proportion is 0, but it is still less than the value of the ELS cost factor, and when it is 70, the maximum value has slightly exceeded the constant term of the ELS cost factor. Therefore, the VPP control center should reasonably determine the parameter values according to the actual grid operation.

3.2.3. The Grid Security and Stability Constraints

The grid security and stability constraints include the transient frequency nadir, the quasi-steady-state frequency constraints, rotor angle stability constraints, bus voltage constraints, and the power flow constraints of all transmission lines. The grid security and stability constraints can be expressed as
f dn f dn , min
f ss f ss , min
Δ δ o , w Δ δ max , o , w = 1 , , N gen
V s min V s V s max , s = 1 , , N bus
S sp , l S sp , l max , l = 1 , , N line
where f dn , f dn , min are the transient frequency nadir and its security threshold, respectively. f ss , f ss , min are the quasi-steady-state frequency and its security threshold, respectively. Δ δ o , w is the rotor angle between the oth generator and the wth generator, and Δ δ max is the maximum allowable rotor angle difference between any two generators. V s is the sth bus voltage, and V s min , V s max are the lower and upper allowable limits of the sth bus voltage, respectively. S sp , l , S sp , l max are the lth line overload rate and its threshold value, respectively.

3.2.4. Control Resources Amount Constraints

The control amount of HVDC emergency power support, ELS, and VEPR falls into the following ranges:
P dc , i P dc , i 0 + k dc , i P dc , i 0 , i = 1 , , N dc
P tl , j min P tl , j P tl , j max , j = 1 , , N tl
P vpp , k min P vpp , k P vpp , k max , k = 1 , , N vpp
where P tl , j min and P tl , j max are the minimum and maximum response amount of jth ELS station, respectively. P vpp , k min and P vpp , k max are the minimum and maximum response amount of kth VPP, respectively.
To calculate the ELS amount faster, the ELS variables are treated as continuous in this work. However, in the actual power grid, as the ELS trips the outlet or substation, these variables actually consist of a series of discrete values. Therefore, treating them as continuous variables can only obtain the approximate optimal values of the load shedding. In engineering practice, the optimal combination of loads needs to be found to make the shedding amount of the ELS station require the control amount with the minimum excess of shedding. The DER equipment power in VPP is very small. For example, the rated power of slow-charging EV, AC, and WH are usually only a few kW, so it is reasonable to treat the response variables of VPP as continuous values.

3.3. Model Analysis and Solving

3.3.1. Model Analysis

From the objective function and constraints, the upper-level optimization problem is to find the optimal solution in the feasible solution space bounded by the grid status security and stability constraints and the response amount constraints of each control resource.
Due to the complexity and strong nonlinearity of the power grid model, the traditional analytical solution is difficult to solve. The trajectory sensitivity-based algorithm also suffers from convergence because the control factors of ELS and VEPR are nonlinear. Considering that the heuristic algorithms can deal with high-dimensional optimization problems with complex nonlinear constraints and have global convergence, the heuristic algorithm is used to solve the optimized problem. In this work, the electromechanical transient simulation combined with the improved PSO algorithm is used to solve the upper model.

3.3.2. Model Solving

The classical PSO algorithm treats the solution of the optimization problem as a particle in space without mass and volume, and the update of the particle is determined by a combination of inertial motion, self-awareness, and social learning. The particle merit is evaluated according to the adaptation value determined by the objective function of the optimization problem. In this paper, the classical PSO algorithm is improved by using dynamically updated inertia weights. A larger inertia weight at the beginning of the algorithm iteration can improve the global search capability, and a smaller inertia weight at the end of the iteration can improve the local search capability. In the improved PSO algorithm, the inertia weights are updated in each iteration, and if the current position of the ith particle ( x i = ( x i 1 , x i 2 , , x i D ) , D is the particle space dimension) is known, then the particle velocity v i ( n + 1 ) ( v i = ( v i 1 , v i 2 , , v i D ) ) at the next moment is calculated based on the inertia weights ( ω ( n ) ), and thus the new position of the particle at the next moment ( x i ( n + 1 ) ) can be calculated. The update of the particle position can be expressed as
ω ( n ) = ω max n ( ω max ω min ) / n max
v i ( n + 1 ) = ω ( n ) v i ( n ) + α 1 β 1 ( x pbest , i x i ( n ) ) + α 2 β 2 ( x gbest x i ( n ) )
x i ( n + 1 ) = x i ( n ) + η pso v i ( n + 1 )
where ω ( n ) is the calculation formula of dynamic inertia weight. n is the current number of iterations. n max is the maximum number of iterations. ω max and ω min are the maximum and minimum values of dynamic weights, respectively. v i is the velocity of the ith particle in the population. α 1 and α 2 are the acceleration coefficients; α 1 corresponds to self-learning ability and α 2 corresponds to the social learning ability, that is, to learn from the optimal individual in the population. η pso is the weight coefficient of speed update.
In the solving of PSO, the fitness value can be obtained by adding penalty factors to the constraints into the objective function. The value of the penalty factors should be much larger than the estimated optimal value of the objective function. Therefore, the calculation formula of fitness can be expressed as follows,
fitness = F + h   1 f ( f dn ) + h   2 f ( f ss ) + h   3 f ( Δ δ ) + h   4 f ( V min ) + h   5 f ( S sp )
where h   1 h   5 are the penalty factors of each constraint. f ( ) is the penalty term corresponding to the constraints. Taking the transient frequency nadir constraint f ( f dn ) as an example, it can be expressed as
f ( f dn ) = max ( 0 , f dn , min f dn )
The particle positions obtained by the particle swarm initialization and iteration are the control amounts of resources for EFC. The control amounts are input into the electromechanical transient simulation software to obtain power grid status trajectory data. Based on the status trajectories, the fitness and penalty term corresponding to each constraint can be calculated. In each iteration of PSO, it takes very little time to update the particle positions, and most of the computation time is used to obtain the simulation trajectory from electromechanical transient simulation software. The parallel simulation of the electromechanical transient can reduce the time consumption of each iteration of PSO. The electromechanical transient simulation can be parallelized by calling multiple cores on one computer/server or by using several computers/servers simultaneously for each iteration. In this work, the former method is adopted, and the selected electromechanical transient simulation software is STEPS V1.0 [38]. The parallel calculation is carried out by calling the Pool from the multiprocessing library of Python for asynchronous parallel simulation and fitness calculation. The flowchart of the electromechanical transient simulation combined with the improved PSO algorithm is shown in Figure 7.

4. Lower-Level Dynamic Response Priority-Based Response Instruction Allocation in VPP

For EFC considering VEPR, although the aggregation model of VPP response process is adopted in EFC decision-making, the control instructions of VPP need to be allocated to the DER device. Therefore, the overall process of VPP instruction allocation needs to be determined.

4.1. Requirements for VPP Instruction Allocation

There are two ways to implement the control instruction allocation in the VPP. The first method is that after receiving the control amount instruction, the VPP control center adopts the optimization algorithm according to the latest status and emergency regulation capacity of each DER device to obtain the best combinations of DER devices. The second method is that the VPP control center creates the response priority sequence of DERs in advance and selects the DER devices participating in EFC by querying the priority sequence after receiving the instructions. Compared with the time-consuming optimization solution of the first method, the method of querying the priority sequence is faster, so the decision-making of the VPP control center takes less time. Therefore, the second method is adopted in this work.
The response sequence of DERs is determined by the VPP control center based on DERs dynamic priority sequence, so that the VPP can follow the upper control instructions. When users agree that DERs such as EVs and TCLs are managed by VPP, the VPP control center considers these devices to be equally important to users. The following factors need to be considered in constructing the DERs dynamic priority:
(1)
fairness of different types of DER devices
Different device types have different storage energy scales, leading to significant differences in the flexible time length. For example, EV discharge time can reach one hour or even several hours, while the flexible time of household AC is usually only a few minutes. If ignoring the difference in flexible time, the priority of TCLs may always be lower than the EV.
(2)
user comfort
When DER participates in EFC, the status (SOC of EV, indoor temperature of TCLs) may deviate from its normal range. When the state is close to the user’s tolerance limit, user comfort is poor. Therefore, DER with little impact on user comfort should have higher priority.

4.2. Dynamic Response Priority Sequence Construction for DERs

The evaluation index of DERs priority sequence includes time margin.
(1)
Normalized improved time margin t la
The absolute time margin reflects the relationship between the maximum sustainable regulation time and a specific regulation duration T. The regulation duration T is defined as the time period during which the DER device is required to always participate in response without exiting. Additionally, the normalized improved time margin is the negative exponential function of absolute margin. When participating in EFC, EVs will discharge to the grid and TCLs will shut down.
For EV, the improved time margin can be expressed as
t la , EV = exp ( min ( ( S exp min s ( t 0 ) ) E r T η c P c max , 10 ) )
where s ( t 0 ) is the SOC of the battery at time t0. S exp min is the minimum SOC at the departure time set by the user. E r is the battery rated capacity. η c is the charging efficiency. P c max is the maximum charging power.
For ON/OFF-type TCLs (including fixed-frequency AC, fixed frequency RF, and resistance heating-type WH), the improved time margin can be expressed as
t la , TCL = exp ( min ( min ( t on re , t off max ) T T , 10 ) h   la , TCL )
t on re = R C ln ( η AC P AC R + θ in ( t 0 ) θ a η AC P AC R + θ set ( t 0 ) δ / 2 θ a )
t off max = R C ln ( θ a θ in ( t 0 ) θ a θ max )
where θ in ( t 0 ) and θ a are the indoor and ambient temperatures at time t0, respectively. θ set , δ , and θ max are the indoor temperature setpoint, the temperature dead zone, and the maximum allowable temperature set by the user, respectively. P AC , R , C , and η AC are the rated electric power, equivalent thermal resistance, equivalent heat capacity, and energy efficiency ratio of the TCL device, respectively. h   la , TCL is the amplification factor of the remaining duration of TCLs, and h   la , TCL is a constant greater than 1. For different h   la , TCL , the improved time margin curves are shown in Figure 8.
It can be seen from Figure 8 that for EVs with a large maximum sustainable regulation time, the margin curve is flat, and more of the normalized EV time margin falls in the lower part of the vertical axis. For TCLs, the larger h   la , TCL will make more time margins of TCL devices distributed in the lower part of the vertical axis instead of all being concentrated in the upper part of the vertical axis, improving the probability that TCL can participate in EFC.
(2)
Normalized state margin s la
The state margin reflects the relationship between the current state and the limit state set by the user (such as the minimum expected SOC of EV and the maximum indoor temperature of TCLs). The state margin can be expressed as follows,
s la , EV = 1 s ( t 0 + T ) S min S exp min S min
s la , TCL = 1 θ max + δ / 2 θ ( t 0 + T ) θ max θ set ( t 0 ) + δ
Considering that the response time of DER for EFC is generally tens of seconds, and it is usually less than 5 min, to simplify the analysis, the current state is used instead of the state after time T; that is, s ( t 0 + T ) and θ ( t 0 + T ) will become s ( t 0 ) and θ ( t 0 ) , respectively.
The DER priority value after integrating the above indicators can be expressed as
ψ j = φ 1 , i t la , i + φ 2 , i s la , i
where φ 1 , i and φ 2 , i are the weight coefficients of the time margin and state margin, respectively, and i is the device type of the jth DER device.

4.3. VPP Response Process Based on DERs Dynamic Response Priority Sequence

The formulation of the dynamic response priority of DERs and the decision-making process of the VPP control center are:
In the first step, the ITU of DER needs to send its normalized time margin and state margin in addition to its adjustment capability to the VPP control center. For TCLs, h   la , TCL is issued in advance by the VPP control center.
In the second step, the VPP control center assigns weight coefficients according to the improved time margin and state margin of DERs. The priorities of all DER devices are arranged in ascending order to form the dynamic response priority sequence of DERs.
In the third step, after receiving the control instruction from the VPPs cloud control platform, the VPP control center determines the DERs that need to participate in the response according to the principle of “minimum over-cutting”, and then sends the instruction to the corresponding DER equipment.
It is worth noting that the control instruction sent to the DER device contains a logical value characterizing the response to be engaged and a regulation time duration flag. The former tells the ITU that it needs to participate in the response, and the latter helps the ITU adjust DER’s operating state (i.e., ON or OFF state for ON/OFF-type device, power setpoint for converter-type device).

5. Case Study

5.1. Case Description

In this section, a simplified model of a provincial power grid is used as the test system to verify the proposed EFC strategy. The studied provincial power grid consists of 132 buses, 32 generators, 200 transmission lines, three HVDC links, and 65 loads. The operation power of ±660 kV HVDC link is 4 GW, and the other two ±800 kV HVDC links are 8 GW for each one. The load capacity is 58.9 GW. The generation model for the generators in the HVDC sending-end units is the GENCLS model, and all the generation models for the generators in the provincial power grid are modeled with the GENROU model, SEXS exciter model, and TGOV turbine-governor model. All HVDC links models are the CDC4T model. The grid topology is shown in Figure 9.
There are 16 ELS stations in the power grid. The bus number, shedding capacity, and cost factor are shown in Table 1. There are 20 VPPs, and the VPPs contain three device types: EV, AC, and WH. The number of VPP devices is shown in Table 2.
The parameters are as follows: control resources weight coefficients λ dc , λ tl and λ vpp are all 1.0. The units of the cost factors of the control resources are all 100   MW 1 , c dc is 0.5; b vpp 0 , b vpp , K vpp c , k vpp c and ϑ are 3.0, 0.2, 70, 0.7 and 3, respectively. For the grid security and stability constraints, f dn , min is 49.25 Hz, f ss , min is 49.50 Hz, Δ δ max is 180°, S sp , l max is 0.1. K dc is 1000 MW/s, t st dc is 100 ms, k dc is 0.05. The sum of t st tl and t br tl is 200 ms. The sum of t de vpp and t pr vpp is 250 ms, and t pr vpp is 750 ms. PSO parameter setting: ω min and ω max are 0.4, 0.9, respectively; α 1 and α 2 are both 2. The penalty coefficients h   1 h   5 are 10,000, 10,000, 100,000, 10,000, and 10,000, respectively. The relevant parameters in the lower model are set as follows: h   la , TCL is 2; the weight coefficients φ 1 , φ 2 are all 1.0.

5.2. Simulation Results

The population size is set at 60 and the maximum number of iterations is 50. In the initial population of particles, the response proportion interval of HVDC emergency power support is [0.6,1], and the response proportion intervals of ELS and VEPR are all [0,0.6].
A ±800 kV HVDC bipolar blocking is utilized to verify the effectiveness of the proposed EFC strategy. The power deficiency due to the disturbance is 8 GW, which makes up 13.59% of the total grid demand. The amount of all resource responses and their control costs of the EFC scheme obtained by improved PSO are shown in Table 3.
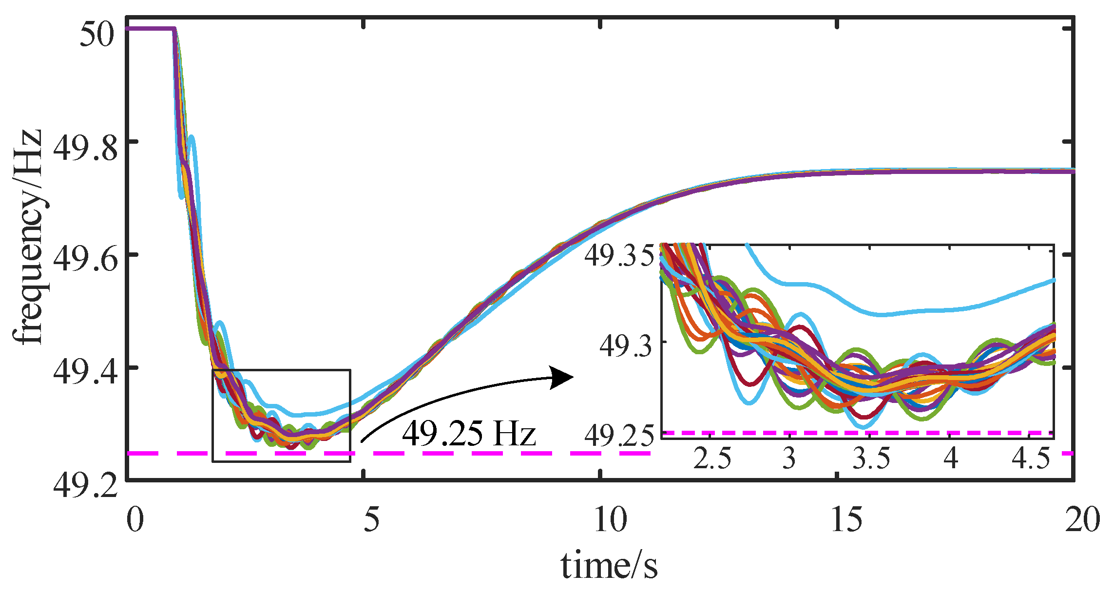
The total control cost of EFC is 79.234. The frequency curves with and without the EFC are shown in Figure 10, and the frequency curves of generator buses are shown in Figure 11.
As shown in Figure 10 and Figure 11, the system frequency will rapidly drop to 49.25 Hz without the EFC strategy, resulting in under-frequency load-shedding action. The proposed EFC strategy can reduce the rate of change of frequency after resources act, and the transient frequency nadir for each bus is higher than the setting under the frequency load-shedding threshold, which is 49.25 Hz. Meanwhile, the quasi-steady frequency of the system with EFC strategy is 49.74 Hz, which is close to the rated frequency of the system, ensuring the frequency security of the receiving-end power grid.
To further check voltage stability and rotor angle stability, bus voltage and rotor angle curves with EFC strategy are shown in Figure 12 and Figure 13, respectively.
As can be seen from Figure 12, since the HVDC converter station absorbs a large amount of reactive power during steady-state operation, the system voltage increases rapidly after HVDC blocking due to excessive reactive power in the grid. With the adjustment of the generator excitation adjustment, the voltage gradually returned to a steady state. It is shown that the voltage deviation is very small during the transient state as well as during the steady state. Figure 13 shows that the receiving-end power grid has angular stability.
Figure 14 shows the active power curves of load buses.
As shown in Figure 14, the load active power of the buses where the ELS stations are located decrease rapidly after the load-shedding action, while the load active power of the buses connected with VPP decrease in a ramp style. The power changes of the rest of the busbars are mainly caused by fluctuations of the system frequency and bus voltage.
Figure 15 shows the response proportion of each ELS station and VPP in the EFC strategy. ELS can act quickly, but its control cost is high, while VEPR has a lower control cost but has an obvious response process. It is impossible, therefore, to qualitatively determine their response proportion, and the EFC optimization model must be built to solve the optimal control amounts.
Two strategies are selected to verify the effectiveness of the proposed EFC strategy in reducing the total control cost. Strategy 1 is a traditional EFC, which only considers HVDC emergency power support and ELS, and the control amount of ELS is based on the principle of average allocation. Strategy 2 considers VEPR, but the control amounts of ELS and VPP are also based on the principle of average allocation. The control amounts of HVDC emergency power support are the same as the proposed EFC strategy. In strategy 1, the total control amount of ELS is at least 1925 MW; that is, the control amount of each ELS is 120.31 MW, and the total control cost is 111.123. In strategy 2, the total control amount of ELS and VPP is at least 2030 MW; that is, the control amount of each ELS and VEPR is 56.39 MW, and the total control cost is 87.033. Figure 16 shows the frequency curves under the three strategies.
As shown in Figure 16, because ELS acts faster than VPP, strategy 1 has the lowest rate of change of frequency at the beginning time, and it requires the least total control amount. Although the total control amounts of strategy 2 and the proposed EFC strategy are greater than that of strategy 1, the lower control cost of the VEPR makes up for the shortage of its slow response speed compared with that of ELS. All three strategies can avoid the transient frequency deviation triggering the under-frequency load shedding, but the participation of VEPR can significantly reduce the total control cost, and the proposed EFC strategy can further reduce the total control cost.
The EFC scheme shows that all of the VPP response proportions are less than 70%, which reduces the influence of a VEPR evaluation error on control instruction following. Table 4 shows the DERs response priority based on absolute time margin and dynamic priority sequence. The regulation duration T is 5 min.
As Table 4 shows, the time between arrival and departure of EV is usually on the hourly scale, while the on-time (i.e., cooling duration for AC and heating duration for WH) for household AC or WH is usually on the minute scale. In the test scenario, if only the absolute time margin is used to construct response priority, it will result in high priority for EV and low priority for AC and WH. When the dynamic priority of DERs is constructed by considering both the improved time margin and state margin, the difference in absolute time margin between EV and TCL is weakened, which improves the priority of AC and WH and improves the fairness between different device types.

5.3. Discussion on Practical Implementations

5.3.1. The Number of Populations and the Maximum Number of Iterations in PSO

Set the population size of the PSO to 10, 20, 30, 40, and 60, respectively. For each population size, the simulation is carried out 100 times. The average values of the fitness results under different iterations are given in Table 5.
Table 5 shows that the larger population size and the higher maximum number of iterations can minimize the fitness at the maximum number of iterations, that is, the minimum total control cost. However, increasing the population size and the number of iterations will increase the optimization solution time. In engineering practice, the population size and the maximum number of iterations should not be too small or too large. The population size can be set to 40 or more, and the maximum number of iterations can be set to 20 or more.

5.3.2. The Computation Time

The solution time of the PSO determines whether it can be used for online decision-making. In each iteration of PSO, the process of evaluating and updating the particles according to the power grid simulation results takes a very short time, and almost all the time is occupied by the electromechanical transient simulation. This work selects a computer (the CPU is 2.90 GHz AMD Ryzen 7 4800H 8-Core 16-Thread processor with 16 GB of RAM) for electromechanical transient simulation, and the simulation duration is 12 s. Each sub-process performs one electromechanical transient simulation. The average time consumption of the simulation is shown in Table 6.
Table 6 shows that due to the limitation of cache capacity, a large number of parallel sub-processes increases the time for each iteration of PSO. In order to be applied to online decision-making, two improvement measures are given in this work. The first method is that in each iteration of PSO, the electromechanical transient simulation is carried out by multiple computers in parallel. For example, if the population size is set to 40 and the maximum iteration number is 20, the solving time of PSO can be less than 4 min when using four computers in parallel, and if the population size is set to 60 and the maximum iteration number is 30, the solving time of PSO can be less than 5 min when using eight computers in parallel. Both the above two computation times meet the requirements of online decision-making. The second method is to utilize a server/personal computer with a higher clock frequency processor. High processor frequency can speed up the electromechanical transient simulation, and combining it with the first method can further shorten the solution time of PSO.

6. Conclusions

A multiple resources coordinated EFC strategy considering VEPR is proposed to deal with a HVDC blocking disturbance at the receiving-end grid. An approximate aggregation model of VPP response process is constructed to reflect the difference in communication delay and response speed between different DER devices. The electromechanical transient simulation is parallelized in each iteration of PSO to speed up the model solving. The DERs dynamic response priority sequence in the VPP is constructed.
The effectiveness of the proposed method is verified by a provincial receiving-end power grid with multi-infeed HVDC. The simulation results show that considering VEPR can reduce the control cost of EFC while satisfying the system frequency constraints. In addition, parallel simulation can speed up the solution so that the algorithm can be used for online decision-making.
In the future, a more accurate VPP response process aggregation model considering grid frequency and bus voltage dynamics will be further studied. Additionally, more resources, such as renewable energy and battery energy storage, will be further considered.

Author Contributions

Conceptualization, Y.C. and X.S.; methodology, J.X. and Z.Z.; software, J.X. and R.M.; writing—original draft preparation, J.X.; writing—review and editing, Y.C. and J.Z.; supervision, X.S. All authors have read and agreed to the published version of the manuscript.

Funding

This research was funded by the National Key R&D Program of China (No. 2021YFB2400800) and the science and technology project of SGCC (No. SGSDDK00WJJS2200092).

Institutional Review Board Statement

Not applicable.

Informed Consent Statement

Not applicable.

Data Availability Statement

Data are available upon reasonable request to the corresponding author.

Conflicts of Interest

The authors declare no conflict of interest.

Nomenclature

EFCemergency frequency control
VPPvirtual power plant
HVDChigh-voltage direct current
DERsdistributed energy resources
ELSemergency load shedding
EVelectric vehicles
TCLsthermostatically controlled loads
ACair conditioners
WHwater heaters
SOCstate of charge
VEPRVPP emergency power regulation
ITUintelligent terminal unit
PSOparticle swarm optimization

References

  1. Shu, Y.; Chen, G.; Yu, Z.; Zhang, J.; Wang, C.; Zheng, C. Characteristic analysis of UHVAC/DC hybrid power grids and construction of power system protection. CSEE J. Power Energy Syst. 2017, 3, 325–333. [Google Scholar] [CrossRef]
  2. Wen, Y.; Chung, C.Y.; Ye, X. Enhancing Frequency Stability of Asynchronous Grids Interconnected with HVDC Links. IEEE Trans. Power Syst. 2018, 33, 1800–1810. [Google Scholar] [CrossRef]
  3. Xu, Q.; Zhang, H.; Cao, Y.; Qin, H.; Gao, Z. Power System State Estimation Approach Considering Transmission Line Temperature. Appl. Sci. 2022, 12, 10171. [Google Scholar] [CrossRef]
  4. Jiang, S.; Wu, C.; Gao, S.; Pan, G.; Wang, S.; Liu, Y.; Zhao, X. Coordinative frequency-constrained unit commitment model for HVDC interconnected AC systems. Int. J. Electr. Power Energy Syst. 2022, 141, 108176. [Google Scholar] [CrossRef]
  5. Radaelli, L.; Martinez, S. Frequency Stability Analysis of a Low Inertia Power System with Interactions among Power Electronics Interfaced Generators with Frequency Response Capabilities. Appl. Sci. 2022, 12, 11126. [Google Scholar] [CrossRef]
  6. Zhang, N.; Zhou, Q.; Hu, H. Minimum Frequency and Voltage Stability Constrained Unit Commitment for AC/DC Transmission Systems. Appl. Sci. 2019, 9, 3412. [Google Scholar] [CrossRef]
  7. Wu, X.; Jiang, W.; Wang, J.; Huang, H.; Zhu, S.; Zhu, X. Research on Analytic Method of Power System Frequency Response Characteristics under Large Power Disturbance. In Proceedings of the International Conference on Power System Technology (POWERCON), Guangzhou, China, 6–8 November 2018; pp. 36–41. [Google Scholar]
  8. Liu, Y.; Song, Y.; Wang, Z.; Shen, C. Optimal Emergency Frequency Control Based on Coordinated Droop in Multi-Infeed Hybrid AC-DC System. IEEE Trans. Power Syst. 2021, 36, 3305–3316. [Google Scholar] [CrossRef]
  9. Hong, Y.-Y.; Hsiao, C.-Y. Event-Based Under-Frequency Load Shedding Scheme in a Standalone Power System. Energies 2021, 14, 5659. [Google Scholar] [CrossRef]
  10. Xie, J.; Sun, W. Distributional Deep Reinforcement Learning-Based Emergency Frequency Control. IEEE Trans. Power Syst. 2022, 37, 2720–2730. [Google Scholar] [CrossRef]
  11. Pedrasa, M.A.A.; Spooner, T.D.; MacGill, I.F. Coordinated Scheduling of Residential Distributed Energy Resources to Optimize Smart Home Energy Services. IEEE Trans. Smart Grid 2010, 1, 134–143. [Google Scholar] [CrossRef]
  12. Zhang, H.; Hu, Z.; Munsing, E.; Moura, S.J.; Song, Y. Data-Driven Chance-Constrained Regulation Capacity Offering for Distributed Energy Resources. IEEE Trans. Smart Grid 2019, 10, 2713–2725. [Google Scholar] [CrossRef]
  13. Yin, J.; Zhao, D. Coordinated Frequency Control Strategy with the Virtual Battery Model of Inverter Air Conditionings. Appl. Sci. 2019, 9, 3052. [Google Scholar] [CrossRef]
  14. Liu, Q.; Fu, G.; Ma, G.; He, J.; Li, W. Research on Packet Control Strategy of Constant-Frequency Air-Conditioning Demand Response Based on Improved Particle Swarm Optimization Algorithm. Energies 2022, 15, 8985. [Google Scholar] [CrossRef]
  15. Subramanya, R.; Yli-Ojanperä, M.; Sierla, S.; Hölttä, T.; Valtakari, J.; Vyatkin, V. A Virtual Power Plant Solution for Aggregating Photovoltaic Systems and Other Distributed Energy Resources for Northern European Primary Frequency Reserves. Energies 2021, 14, 1242. [Google Scholar] [CrossRef]
  16. Obaid, Z.A.; Cipcigan, L.M.; Abrahim, L.; Muhssin, M.T. Frequency control of future power systems: Reviewing and evaluating challenges and new control methods. J. Mod. Power Syst. Clean Energy 2019, 7, 9–25. [Google Scholar] [CrossRef]
  17. Xu, Q.; Cao, Y.; Zhang, H.; Zhang, W.; Terzija, V. Bi-Level Dispatch and Control Architecture for Power System in China Based on Grid-Friendly Virtual Power Plant. Appl. Sci. 2021, 11, 1282. [Google Scholar] [CrossRef]
  18. Xu, X.; Zhang, H.; Li, C.; Liu, Y.; Li, W.; Terzija, V. Optimization of the Event-Driven Emergency Load-Shedding Considering Transient Security and Stability Constraints. IEEE Trans. Power Syst. 2017, 32, 2581–2592. [Google Scholar] [CrossRef]
  19. Liu, M.; Xu, T.; Shi, F.; Wu, Y.; Su, J.; Zhang, G.; Li, K.; Li, C. Optimization of Emergency Load Shedding Following HVDC Blocking of Receiving-End Power Systems Based on PSO. In Proceedings of the 2nd Conference on Energy Internet and Energy System Integration (EI2), Beijing, China, 20–22 October 2018; pp. 1–6. [Google Scholar]
  20. Wang, K.; Kang, L.; Yang, S. A Coordination Optimization Method for Load Shedding Considering Distribution Network Reconfiguration. Energies 2022, 15, 8178. [Google Scholar] [CrossRef]
  21. Shi, Z.; Xu, Y.; Wang, Y.; He, J.; Li, G.; Liu, Z. Coordinating Multiple Resources for Emergency Frequency Control in the Energy Receiving-End Power System with HVDCs. IEEE Trans. Power Syst. 2022, 1–16. [Google Scholar] [CrossRef]
  22. Ju, P.; Jiang, T.; Chung, C.Y.; Gong, Y.; Zhou, H. Incorporating demand response in two-stage frequency emergency control. Int. J. Electr. Power Energy Syst. 2021, 131, 107122. [Google Scholar] [CrossRef]
  23. Wang, L.; Xie, X.; Dong, X.; Liu, Y.; Shen, H. Real-time optimisation of short-term frequency stability controls for a power system with renewables and multi-infeed HVDCs. IET Renew. Power Gener. 2018, 12, 1462–1469. [Google Scholar] [CrossRef]
  24. Yao, W.; You, S.; Wang, W.; Deng, X.; Li, Y.; Zhan, L.; Liu, Y. A Fast Load Control System Based on Mobile Distribution-Level Phasor Measurement Unit. IEEE Trans. Smart Grid 2020, 11, 895–904. [Google Scholar] [CrossRef]
  25. Lundstrom, B.; Patel, S.; Salapaka, M.V. Distribution Feeder-Scale Fast Frequency Response via Optimal Coordination of Net-Load Resources—Part I: Solution Design. IEEE Trans. Smart Grid 2021, 12, 1289–1302. [Google Scholar] [CrossRef]
  26. Sanchez Gorostiza, F.; Gonzalez-Longatt, F. Optimised TSO–DSO interaction in unbalanced networks through frequency-responsive EV clusters in virtual power plants. IET Gener. Transm. Distrib. 2020, 14, 4908–4917. [Google Scholar] [CrossRef]
  27. Wang, L.; Xie, X.; Peng, L.; Hu, Y.; Zhao, Y. Real-time optimisation of emergency demand response and HVDC power modulation to improve short-term frequency stability of the receiving-end power systems. J. Eng. 2019, 2019, 1952–1957. [Google Scholar] [CrossRef]
  28. Rastegar, M.; Fotuhi-Firuzabad, M.; Zareipour, H. Home energy management incorporating operational priority of appliances. Int. J. Electr. Power Energy Syst. 2016, 74, 286–292. [Google Scholar] [CrossRef]
  29. Xiao, J.; He, G.; Fan, S.; Zhang, S.; Wu, Q.; Li, Z. Decentralized transfer of contingency reserve: Framework and methodology. Appl. Energy 2020, 278, 115703. [Google Scholar] [CrossRef]
  30. Fernandes, F.; Morais, H.; Vale, Z.; Ramos, C. Dynamic load management in a smart home to participate in demand response events. Energy Build. 2014, 82, 592–606. [Google Scholar] [CrossRef]
  31. Lakshmanan, V.; Marinelli, M.; Hu, J.; Bindner, H.W. Provision of secondary frequency control via demand response activation on thermostatically controlled loads: Solutions and experiences from Denmark. Appl. Energy 2016, 173, 470–480. [Google Scholar] [CrossRef]
  32. Wu, X.; He, J.; Xu, Y.; Lu, J.; Lu, N.; Wang, X. Hierarchical Control of Residential HVAC Units for Primary Frequency Regulation. IEEE Trans. Smart Grid 2018, 9, 3844–3856. [Google Scholar] [CrossRef]
  33. Sivaneasan, B.; Kumar, K.N.; Tan, K.T.; So, P.L. Preemptive Demand Response Management for Buildings. IEEE Trans. Sustain. Energy 2015, 6, 346–356. [Google Scholar] [CrossRef]
  34. Liu, H.; Pan, H.; Wang, N.; Yousaf, M.Z.; Goh, H.H.; Rahman, S. Robust Under-Frequency Load Shedding With Electric Vehicles Under Wind Power and Commute Uncertainties. IEEE Trans. Smart Grid 2022, 13, 3676–3687. [Google Scholar] [CrossRef]
  35. Pop, C.; Antal, M.; Cioara, T.; Anghel, I.; Salomie, I.; Bertoncini, M. A Fog Computing Enabled Virtual Power Plant Model for Delivery of Frequency Restoration Reserve Services. Sensors 2019, 19, 4688. [Google Scholar] [CrossRef] [PubMed]
  36. Jiang, A.; Wei, H.; Deng, J.; Qin, H. Cloud-Edge Cooperative Model and Closed-Loop Control Strategy for the Price Response of Large-Scale Air Conditioners Considering Data Packet Dropouts. IEEE Trans. Smart Grid 2020, 11, 4201–4211. [Google Scholar] [CrossRef]
  37. Feng, C.; Chen, Q.; Wang, Y.; Ma, J.; Wang, X. Frequency Regulation Service Provision for Virtual Power Plants Through 5G RAN Slicing. IEEE Trans. Smart Grid 2022, 13, 4943–4956. [Google Scholar] [CrossRef]
  38. Li, C.; Wu, Y.; Zhang, H.; Ye, H.; Liu, Y.; Liu, Y. STEPS: A Portable Dynamic Simulation Toolkit for Electrical Power System Studies. IEEE Trans. Power Syst. 2021, 36, 3216–3226. [Google Scholar] [CrossRef]
Figure 1. Hierarchical control architecture of DERs.
Figure 1. Hierarchical control architecture of DERs.
Applsci 13 06390 g001
Figure 2. Schematic diagram of emergency control including VPP.
Figure 2. Schematic diagram of emergency control including VPP.
Applsci 13 06390 g002
Figure 3. Illustration of the HVDC emergency power support.
Figure 3. Illustration of the HVDC emergency power support.
Applsci 13 06390 g003
Figure 4. Illustration of the ELS.
Figure 4. Illustration of the ELS.
Applsci 13 06390 g004
Figure 5. Schematic diagram of emergency power regulation of VPP.
Figure 5. Schematic diagram of emergency power regulation of VPP.
Applsci 13 06390 g005
Figure 6. Cost factor curve of VPP emergency power support.
Figure 6. Cost factor curve of VPP emergency power support.
Applsci 13 06390 g006
Figure 7. Flowchart of EFC optimization model solving.
Figure 7. Flowchart of EFC optimization model solving.
Applsci 13 06390 g007
Figure 8. Improved time margin curves with different remaining time amplification factor.
Figure 8. Improved time margin curves with different remaining time amplification factor.
Applsci 13 06390 g008
Figure 9. The topology of the test power grid.
Figure 9. The topology of the test power grid.
Applsci 13 06390 g009
Figure 10. Dynamic frequency curves of HVDC blocking event with and without EFC strategy.
Figure 10. Dynamic frequency curves of HVDC blocking event with and without EFC strategy.
Applsci 13 06390 g010
Figure 11. Bus frequency curves with EFC strategy.
Figure 11. Bus frequency curves with EFC strategy.
Applsci 13 06390 g011
Figure 12. Voltage curves with EFC strategy.
Figure 12. Voltage curves with EFC strategy.
Applsci 13 06390 g012
Figure 13. Rotor angle curves with EFC strategy.
Figure 13. Rotor angle curves with EFC strategy.
Applsci 13 06390 g013
Figure 14. Active power curves of load buses with EFC strategy.
Figure 14. Active power curves of load buses with EFC strategy.
Applsci 13 06390 g014
Figure 15. Response proportion of load-shedding stations and VPPs.
Figure 15. Response proportion of load-shedding stations and VPPs.
Applsci 13 06390 g015
Figure 16. Grid frequency curves with different control strategies. (a) Grid frequency curves; (b) Grid frequency curves at the beginning time.
Figure 16. Grid frequency curves with different control strategies. (a) Grid frequency curves; (b) Grid frequency curves at the beginning time.
Applsci 13 06390 g016
Table 1. ELS stations and their control test.
Table 1. ELS stations and their control test.
ELS NumberBusShedding
Capacity (MW)
Cost Factor
Constant Term
Cost Factor
Growth Coefficient
1102196.752
2110221.662.4
3112210.352
4117141.35.22.1
5142247.562.4
6143190.85.12
7167306.55.22.1
8169266.352
9175228.25.32.1
10184244.252
11193324.552
12195211.662.4
13197308.862.4
14201280.55.52.2
15205142.052
16208273.852
Table 2. VPPs device number and the operation power and VEPR capability.
Table 2. VPPs device number and the operation power and VEPR capability.
VPP NumberBusDevice Amount (Thousand)Operation
Power (MW)
Power Support
Capacity (MW)
EVACWH
110220403050.5141.4
211030505078.2195.7
311220403031.0127.3
411720502552.1131.7
514215302543.5101.5
6143205025100.9173.2
716720502581.9160.1
816910201531.470.2
91755010070138.9344.0
1018425504039.1144.0
111931595010076.8319.7
12195167307058.0183.9
131971773070114.3248.0
14201183207097.1171.3
15205184204034.4119.0
16208195305090.2209.1
17200200307089.1206.5
18205205204073.4146.1
19212212203072.9148.2
20214214155044.299.4
Table 3. The response amounts of resources in EFC strategy.
Table 3. The response amounts of resources in EFC strategy.
Resource TypeControl ResourcesControl Amount (MW)Control Cost
HVDC1400.002.000
2200.001.000
Emergency
load
shedding
136.051.836
241.772.553
331.151.581
421.741.148
541.792.550
675.403.997
712.460.651
832.641.652
917.090.913
1063.283.246
1127.461.385
1231.681.929
1312.760.769
1419.231.065
1536.211.857
1645.342.305
VPP
emergency
power
support
186.662.706
265.962.023
382.642.586
455.311.706
560.591.890
621.750.658
791.612.853
841.201.284
9205.356.406
1064.051.978
11170.615.300
1244.301.350
1390.272.774
1478.382.423
1529.540.901
1682.432.538
1790.032.779
1876.092.362
1929.440.895
2044.841.386
Table 4. DERs absolute time margin and dynamic priority.
Table 4. DERs absolute time margin and dynamic priority.
Device TypeAbsolute Time
Margin
Improved Time
Margin
State MarginDynamic
Priority Value
Absolute Time
Margin Priority
Dynamic
Priority
EV79.660.006700.006731
EV81.77970.00670.04220.048924
EV103.01450.00670.31940.3261114
EV19.77390.00670.00330.0143
EV10.99140.006700.006751
AC2.16690.11450.10920.2237139
AC4.49180.01120.22060.2318910
AC4.06790.01710.17230.1894106
AC2.03390.13080.17230.30311513
AC3.64590.02610.23870.26481112
WH2.15670.11570.37990.49561415
WH6.16270.00210.20880.210968
WH3.08130.04590.20880.25471211
WH5.2770.00510.18940.194587
WH5.920.00270.14480.147575
Table 5. Fitness with different population size.
Table 5. Fitness with different population size.
Number of
Iterations
Population Size
1020304060
588.27485.34485.67085.39683.250
1087.69585.34484.81883.19083.250
2084.34483.90683.28982.53481.911
3083.56083.49683.28281.76881.174
4083.41383.01382.27880.65879.236
5082.03781.69081.27880.57779.231
Table 6. Computation time under different number of sub-processes.
Table 6. Computation time under different number of sub-processes.
Number of
Sub-Processes
148101620405060
Computation Time(s)6.1427.2739.42910.36314.23020.30836.84344.90450.435
Disclaimer/Publisher’s Note: The statements, opinions and data contained in all publications are solely those of the individual author(s) and contributor(s) and not of MDPI and/or the editor(s). MDPI and/or the editor(s) disclaim responsibility for any injury to people or property resulting from any ideas, methods, instructions or products referred to in the content.

Share and Cite

MDPI and ACS Style

Xue, J.; Cao, Y.; Shi, X.; Zhang, Z.; Ma, R.; Zhang, J. Coordination of Multiple Flexible Resources Considering Virtual Power Plants and Emergency Frequency Control. Appl. Sci. 2023, 13, 6390. https://doi.org/10.3390/app13116390

AMA Style

Xue J, Cao Y, Shi X, Zhang Z, Ma R, Zhang J. Coordination of Multiple Flexible Resources Considering Virtual Power Plants and Emergency Frequency Control. Applied Sciences. 2023; 13(11):6390. https://doi.org/10.3390/app13116390

Chicago/Turabian Style

Xue, Jingrun, Yongji Cao, Xiaohan Shi, Zhen Zhang, Ruicong Ma, and Jian Zhang. 2023. "Coordination of Multiple Flexible Resources Considering Virtual Power Plants and Emergency Frequency Control" Applied Sciences 13, no. 11: 6390. https://doi.org/10.3390/app13116390

APA Style

Xue, J., Cao, Y., Shi, X., Zhang, Z., Ma, R., & Zhang, J. (2023). Coordination of Multiple Flexible Resources Considering Virtual Power Plants and Emergency Frequency Control. Applied Sciences, 13(11), 6390. https://doi.org/10.3390/app13116390

Note that from the first issue of 2016, this journal uses article numbers instead of page numbers. See further details here.

Article Metrics

Back to TopTop