Next Article in Journal
Computational Modeling of a Small-Scale, Solar Concentrating Device Based on a Fresnel-Lens Collector and a Flat Plate Receiver with Cylindrical Channels
Next Article in Special Issue
PIDD2 Control of Large Wind Turbines’ Pitch Angle
Previous Article in Journal
Research on Model Calibration Method of Chiller Plants Based on Error Reverse Correction with Limited Data
Previous Article in Special Issue
Enhanced Dynamic Performance in Hybrid Power System Using a Designed ALTS-PFPNN Controller
 
 
Font Type:
Arial Georgia Verdana
Font Size:
Aa Aa Aa
Line Spacing:
Column Width:
Background:
Article

Improvement of Frequency Support for a DFIG Using a Virtual Synchronous Generator Strategy at Large Power Angles

1
College of Energy and Power Engineering, Inner Mongolia University of Technology, Hohhot 010051, China
2
Inner Mongolia Guotian New Energy Technology Co., Ltd., Hohhot 010051, China
*
Author to whom correspondence should be addressed.
Energies 2023, 16(2), 914; https://doi.org/10.3390/en16020914
Submission received: 20 December 2022 / Revised: 9 January 2023 / Accepted: 11 January 2023 / Published: 13 January 2023

Abstract

The frequency regulation rate and operation stability of a doubly fed induction generator (DFIG) based on a virtual synchronous generator (VSG) strategy decreases under large-power-angle conditions, which reduces the grid frequency support capacity. This paper proposes the compound adaptive parameter (CAP) and coordinated primary frequency regulation (CPFR) strategies to improve the grid frequency support capacity in terms of multiple dimensions of the transient properties, operation condition range, and regulation duration. Mathematical and small signal models of the DFIG-VSG system are constructed. The effect of large-power-angle conditions on the transient properties under grid frequency perturbations is analyzed based on these models, and the CAP strategy for excitation control and virtual damping is formulated. The constraints of the rotor kinetic energy and the load increase capacity of the grid-side converter are analyzed, and the CPFR strategy is formulated based on this. Finally, the effectiveness of the proposed strategies is verified via simulations of single-machine and wind farm scenarios under grid frequency perturbation.

1. Introduction

Because of the increase in the penetration of large-scale wind power in power systems, the grid structure has gradually exhibited renewable energy and power electronic features, thereby reducing the contribution of synchronous generators to power generation [1]. A synchronous generator system has a high rotating kinetic energy and large boiler energy storage; therefore, reducing its contribution weakens the frequency support capacity of the grid and affects the safety of grid operation [2,3].
Improving the grid frequency support capability of wind generators is key to solving this problem, and there are two main existing research areas. The first research area focuses on the method used to achieve grid frequency support. The second research area focuses on energy reserve control for primary frequency regulation (PFR) [4].
Previously, the implementation methods of frequency inertia and frequency regulation based on the current source type have been proposed. The study reported in [5] adjusted the output power reference value based on the frequency change rate to simulate the frequency inertia characteristics. The study in [6] used frequency droop control to adjust the output power reference value to simulate primary frequency regulation (PFR). The study in [7] combined these two methods. These methods use proportional or differential control to regulate the active power reference value to support the grid frequency. Power control typically relies on a voltage or magnetic chain direction based on a phase-locked loop to detect the grid phase. However, the phase-locked loop may lead to negative system damping, resulting in resonance [8].
The studies in [9,10,11] introduced the virtual synchronous generator (VSG) control method, which simulates synchronous generators using synchronous generator rotor motion and excitation equations. The VSG strategy enables the device to operate as a voltage source, supports automatic synchronization with the grid frequency, and does not require the use of phase-locked loops. The VSG strategies in [9,10] were implemented for grid-connected inverters in permanent magnet wind generator and photovoltaic scenarios. The capacitor in the inverter DC bus decouples the VSG from the power source. The study in [11] developed a VSG strategy for a doubly fed induction generator (DFIG) based on rotor excitation control. Therefore, the control of a DFIG under the VSG strategy (DFIG-VSG) is close to that of a synchronous generator. The study in [12] reported an independent flexible link (IFL) strategy for DFIG-VSG, which makes up for the deficiency of the fixed parameters of the VSG strategy and improves the system frequency stability. In the DFIG-VSG, a power transfer model is usually constructed based on the excitation voltage, grid voltage, and stator inductance [13]. The power, grid voltage, and stator inductance determine the power angle for the transfer model. In actual operation scenarios, the power angle is generally large, which leads to active and reactive power coupling. However, the effect on the system properties and corresponding improved strategies at large power angles have not been investigated.
The energy reserve methods of a DFIG for primary frequency regulation are divided into two categories: load shedding operation and additional energy storage devices. The study in [14] developed an operation method with an increased pitch angle, and the energy for PFR was obtained by reducing the pitch angle. The study in [15] developed an improved maximum power point tracking (MPPT) method with increased rotor velocity to realize power reserve control, which has a higher probability density and lower mechanical losses than the pitch angle reserve method. In both methods, the wind turbine was not operated in the MPPT mode, which reduced the economic efficiency of the generator unit.
The studies in [16,17] developed the use of parallel energy storage devices at the AC bus to achieve PFR in cooperation with DFIG. This topology requires an additional set of inverters and step-up transformers, which is complex and costly and more suitable for centralized wind power scenarios. The study in [18] developed a scheme to connect lithium-ion supercapacitors directly to the DC bus, whereas the studies in [19,20,21] formulated a scheme to connect supercapacitors to the DC bus through a DC–DC converter. These schemes are simple and suitable for centralized and decentralized wind power scenarios. However, they use the remaining capacity of the grid-side converter (GSC) to provide frequency regulation power; therefore, the GSC limits the PFR capacity. In terms of the control strategy, the study in [18] proposed a synthetic inertia control (SIC) strategy with DC voltage control to simulate inertia. The study in [19] used differential control to achieve frequency inertia and a linear active disturbance rejection control strategy to improve the DC voltage stability. The study in [20] developed a strategy that uses rotor kinetic energy to realize frequency inertia and energy storage to realize PFR. The study in [21] reported a layered frequency regulation strategy to improve wind energy capture, which dynamically assigned the inertia control task to the DFIG DC capacitor and rotor speed inertia. However, these strategies must fully consider the GSC capacity limitation in PFR operation.
This study aims to improve the grid frequency support capability for DFIG-VSG under large-power-angle conditions. The main contributions of this study are summarized below.
(1)
This study analyzed the factors that lead to large-power-angle conditions and their effects on the frequency response of a DFIG-VSG. The mechanism of this effect was examined from the perspective of the transfer function by constructing a small-signal model.
(2)
A composite adaptive parameter (CAP) strategy, including excitation parameter adaptation and damping parameter adaptation, is proposed to improve the transient frequency response properties of a DFIG-VSG. This strategy enables the adaptation of the control parameters to the power angle state, thereby improving the power response rate and reducing transient disturbances and oscillations.
(3)
A coordinated primary frequency regulation (CPFR) strategy is proposed based on the complementary relationship between the rotor kinetic energy and the GSC surplus capacity to solve the problem of GSC capacity limitation on frequency regulation power. This strategy improves the frequency regulation capacity of a DFIG-VSG while avoiding GSC overload.
The rest of this study is organized as follows. Section 2 presents the structure of the DFIG-VSG system and the causes of large-power-angle conditions. Section 3 constructs a small-signal model and analyzes the effect of large-power-angles on the transient properties. Section 4 develops the CAP and CPFR strategies and introduces the theory. Case studies and simulation results are presented in Section 5. Section 6 concludes this study.

2. DFIG-VSG Wind Power System and Large-Power-Angle Operating Condition

2.1. Mathematical Model and Control Strategy of a DFIG-VSG Wind Power System

The stator of a DFIG connects to the grid and the rotor to the excitation controller, which is similar to those of a SG. This structure is the basis of simulating the mechanical and electrical properties of a SG on a DFIG. The rotor-side converter (RSC) control strategy based on the models of a DFIG and a SG is critical to achieving the VSG operation method for a DFIG.
The stator follows the generator convention In a DFIG model, and the rotor follows the motor convention. The equivalent circuit in a dq synchronously rotating reference frame is shown in Figure 1a.
The magnetic linkage equation is:
Ψ s Ψ r = L ls + L m L m L m L lr + L m I s I r
here, Ψ s and Ψ r are the stator and rotor magnetic linkage, respectively; Is and Ir are the stator and rotor current, respectively; Lls and Llr are the stator and rotor leaky inductance, respectively; Lm is the mutual inductance.
The voltage equation is given by the magnetic linkage derivative calculation.
U s U r = p Ψ s Ψ r + j ω s 0 0 j ( ω s ω r ) Ψ s Ψ r + R s 0 0 R r I s I r
here, Us and Ur are the stator and rotor voltage, respectively; p is derivative calculation; ωs and ωr are the power grid and rotor speeds, respectively; Rs and Rr are the stator and rotor resistance, respectively.
The excitation voltage E is defined as
E = U s | I s = 0 = pL m I r + j ω s L m I r
Therefore, the relation between the excitation voltage and the stator voltage is
E = U s + pL s I s + j ω s L s I s + R s I s
here, L s = L ls + L m is the stator inductance.
The vector relation between the excitation voltage and grid voltage is shown in Figure 1b. From the figure, the d-axis is in the orientation of the excitation voltage; the rotation velocity of E is ωv, and that of Us is ωs; the power angle σ is between vector E and Us.
The stator active/reactive powers are formulated based on a power transfer model.
P s = U s R s 2 + X s 2 ( Ecos ( θ z σ ) U s cos ( θ z ) ) Q s = U s R s 2 + X s 2 ( Esin ( θ z σ ) U s sin ( θ z ) )
here, θz is the impedance angle. Because Rs is far smaller than Xs, θz approximates 90°, and Equation (5) is simplified as
P s = EU s sin ( σ ) X s                     Q s = EU s cos ( σ ) U s 2 X s                    
Ulteriorly, when the power angle is small enough, sin(σ) = σ and cos(σ) = 1. The active power Ps is adjusted by power angle σ and reactive power Qs by excitation voltage E.
The rotor motion equation in a SG is used to control the power angle as
ω v = n p ( P m P g ) ω v D p ( ω v ω s ) + k f ( ω v ω 0 ) × 1 J v dt σ = ( ω v ω s ) dt  
here, Pm is the input mechanical power; Pg is the DFIG unit power; kf is the frequency regulation coefficient; ω0 is the rated velocity; Dp is the virtual damping coefficient; Jv is the virtual moment of inertia.
The excitation PI controller is used to regulate the excitation voltage as
E * = ( k p + k i ʃ ) ( Q s * k u ( U s U 0 ) Q s )
here, E* is the reference value of the excitation voltage; kp and ki are the PI controller parameters; Qs* is the reference value of the stator reactive power; ku is the coefficient for voltage regulation; U0 is the rated stator voltage.
The modulation voltage Ur* for the RSC is formulated based on inner-loop current control and the rotor voltage equation in Equation (2).
U rd * = ( k p 1 + k i 1 ) ( I rd * I rd ) ( ω v n p ω m ) ( L m I sq + L r I rq ) U rq * = ( k p 1 + k i 1 ) ( I rq * I rq ) + ( ω v n p ω Ω ) ( L m I sd + L r I rd )
here, Ir* is the reference value for current control, and it is calculated as
I rq * = E * ω v L m I rd * = 0  
The grid-side converter (GSC) usually operates in the power outer-loop and current inner-loop mode to maintain the DC bus voltage stability [22]. A supercapacitor energy storage system (ESS) is connected to the DC bus through a DC–DC converter, decoupling the power between the rotor and GSC.
Additionally, the improved strategies reported in Section IV cooperate with the conventional VSG strategy. The CAP strategy can adjust the parameters of the excitation PI controller and virtual damping; the CPFR strategy can adjust the operation modes of the VSG, GSC, and ESS. Figure 2 shows the system topology and overall control diagram.

2.2. Cause and Effect of The Large-Power-Angle Conditions

From Equation (6), the power angle and excitation voltage under a stable state are
σ = atan P s Q s + U s 2 / X s E = ( P s X s ) 2 + ( Q s X s + U s 2 ) 2 U s
In practical application scenarios, the rated power of a DFIG is at megawatt level, stator inductance at millihenry level, and stator voltage at kilovolt level. Then the power angle calculated from Equation (11) is large, and the previous approximation for sine and cosine functions does not hold.
The active power regulation per unit power angle is defined to quantify the effect of large-power-angle conditions on frequency regulation capability.
Δ P s Δ σ E 0 = E 0 U s cos ( σ ) X s
The active power regulation per unit power angle for different power-angle conditions is shown in Figure 3.
The power regulation is significant and stable when the power angle is small. In contrast, the power regulation is tiny and nonlinear at large power angles. When grid frequency perturbations occur, the small active power regulation leads to a slower active power increase rate and larger power angle fluctuation, which weakens the grid frequency support capacity and operation stability of a DFIG-VSG.

3. Small Signal Model of DFIG-VSG and Transient Response to Frequency Perturbation

The transfer function for the DFIG-VSG can reveal the theory of the transient response to the grid frequency. The small-signal model of a DFIG-VSG is constructed, considering the presence of nonlinear links in the system under large-power-angle conditions [23,24].

3.1. Small-Signal Model of a DFIG-VSG

The small-signal expression for the power equation in Equation (6) at the steady-state operating point (E0, σ0) is
Δ P s = k 0 k 1 Δ E + E 0 k 0 k 2 Δ σ Δ Q s = k 0 k 2 Δ E E 0 k 0 k 1 Δ σ
here, k 0 = U s / X s , k 1 = sin ( σ 0 ) , k 2 = cos ( σ 0 ) . The rotor motion equation and excitation control are linear, so their small-signal expressions are consistent with Equations (8) and (9).
Because the time constant of the current inner-loop control is much smaller than that of the outer loop, the transfer function of the inner loop approximates to 1. The small-signal model of a DFIG-VSG is construed in Figure 4.
From Figure 4, the grid frequency perturbation Δωg results in the power angle perturbation Δσ, which affects both the active and reactive power feedback. The rotor excitation control adjusts the excitation voltage ΔE according to the reactive power feedback, which further affects the active power feedback. Therefore, the model can be analyzed in two ways.
In terms of the rotor excitation control, the transfer function of the power angle Δσ to the excitation voltage ΔE is
G σ E ( s ) = Δ E ( s ) Δ σ ( s ) = E 0 k 0 k 1 ( k p s + k i ) ( 1 + k 0 k 2 k p ) s + k 0 k 2 k i = E 0 k 1 k 2 ( As + 1 Bs + 1 )
Here,
A = k p k i B = 1 + k 0 k 2 k p k 0 k 2 k i
Because
A B = k 0 k 2 k p 1 + k 0 k 2 k p < 1
the transfer function GσE(s) corresponds to a lag system. Putting Equation (15) into Equation (13), the expression of the active power feedback is calculated as
Δ P s = E 0 k 0 k 1 2 k 2 As + 1 Bs + 1 + E 0 k 0 k 2 Δ σ
In terms of the whole model, the closed-loop transfer function of the grid frequency perturbation Δωg to power angle Δσ is
G ω σ ( s ) = Δ σ ( s ) Δ ω g ( s ) = 1 s 2 + D p J v s + E 0 k 0 n p ω e k 2 + k 1 2 k 2 As + 1 Bs + 1

3.2. Analysis of Transient Properties of a DFIG-VSG under Grid Frequency Perturbations

The root locus and damping ratio of the transfer function Gωσ(s) during the power angle from 5 to 85° are plotted in Figure 5a,b. The operating state of the DFIG-VSG at small power angles can be a benchmark for comparing operating states at different power angles. The figures show that the variation of the transient properties with the power angle has two phases.
When the power angle is small, k1 is small, and k2 is large. Because the coefficient k 1 2 k 2 of As + 1 Bs + 1 in Equation (18) is close to 0, this model is approximately a second-order system. As the power angle increases, only the constant term in the characteristic equation of Gωσ(s) decreases. As a result, the real part of the root remains unchanged, while the absolute value of the imaginary part decreases. The root locus in Figure 5a is consistent with this. The decrease in the imaginary part leads to a slower response rate; the increase in the damping ratio in Figure 5b proves the change.
When the power angle increases to a certain degree, the coefficient k 1 2 k 2 cannot be taken as 0, and the lag component As + 1 Bs + 1 lifts the degree of the characteristic equation to cubic. The changes in the roots of the characteristic equation turn complicated. From Figure 5a, the poles move towards the imaginary axis as the power angle increases. The decrease in the absolute value of the real part leads to a large time constant of the system, which may result in oscillations in the system; the decrease in the damping ratio in Figure 5b proves this.
Analysis of the transfer function, root locus, and damping ratio reveals that the active power regulation rate and system stability of the DFIG-VSG are decreased under larger-power-angle conditions. The lag component is the leading cause of the deteriorated transient properties.

4. Compound Adaptive Parameter Strategy and Coordinated Primary Frequency Regulation Strategy for a DFIG-VSG

The CAP strategy for the PI coefficient of the rotor excitation controller and virtual damping coefficient can improve the transient properties of a DFIG-VSG at large power angles. The CPFR strategy coordinates the primary frequency regulation power of the stator VSG, GSC, and ESS to extend the range and duration of frequency regulation. The CAP and CPFR strategies improve the grid frequency support capacity of a DFIG-VSG under larger-power-angle conditions.

4.1. Adaptive Parameters for a Rotor Excitation Controller

From Section 3.2, reducing the effect of the lag component As + 1 Bs + 1 on the transfer function Gωσ(s) can reduce the order of the system and make the transient response easy to control.
Reducing the time constant of the lag component and making it much smaller than that of the rotor motion system, the lag component can be considered as a proportional component at the time scale of the rotor motion system time constant. The adaptive parameters for the rotor excitation controller are developed in two steps based on this theory.
First, design an adaptive strategy for kp and ki to eliminate the effect of power angle variation on the time constant τl of the lag component.
The formula of the adaptive parameters is
k p = 1 k 2 k p 0 k i = 1 k 2 k i 0
here, kp0 and ki0 are the initial parameters for the rotor excitation PI controller.
The time constant τl is
τ l = 1 B = 1 + k 0 k 2 k p k 0 k 2 k i = 1 + k 0 k p 0 k 0 k i 0
The time constant is decoupled with the power angle.
Second, optimize kp0 and ki0 to achieve the approximation of the lag component to a proportional component.
The constraint of the parameters is
τ i τ l τ σ
here, τi is the time constant of the current inner-loop control; τσ is the time constant of the rotor motion system. The initial parameters are optimized as Equation (21), and the system’s physical parameters determine the time constants τi and τσ.
Under this strategy, the transient response of the lag component is neglected, and the steady state is taken as the response. Therefore, the transfer function of the lag component approximates 1, and the transfer function in Equation (18) can be formulated as
G ω σ ( s ) 1 s 2 + D p J v s + E 0 k 0 n p ω e k 2
The real part of the roots of the characteristic equation remains constant at different power angles. The time constant of the system remains stable.
The root locus and damping ratio for this strategy are plotted in Figure 5c,d. Compared with Figure 5a,b, the poles avoid moving towards the imaginary axis, and the damping ratio improves.

4.2. Adaptive Parameters for Virtual Damping

The order of the system’s transfer function approximates to second-order under the adaptive parameter strategy for the excitation controller, and the damping ratio of the system is
ξ = D p 2 ω e k 2 J v E 0 k 0 n p
Considering the effect of the changes in E0 and k2 on the damping ratio with different power angles, the adaptive virtual damping strategy is formulated as follows.
D p = D p 0 E 0 k 2
here, Dp0 is the initial damping ratio.
The root locus and damping ratio for the compound adaptive parameter strategy are plotted in Figure 5e,f. The absolute values of the real and imaginary parts of the poles increase proportionally with the power angle, improving the response rate of the system; the damping ratio remains stable, which improves the system stability.

4.3. Analysis of Power Angle Properties under the CAP Strategy

The lag component As + 1 Bs + 1 approximates 1 under the CAP strategy. Then, the transfer function GσE(s) in Equation (14) is simplified as
G σ E ( s ) = E 0 k 1 k 2
Plug Δ E = G E σ ( s ) Δ σ into the reactive power formula in Equation (13), and it turns Δ Qs = 0 . Therefore, the stator reactive power Qs steadily keeps at the rated value Qn under frequency perturbation. In this condition, the power equation in Equation (7) is simplified as
P s = ( U s 2 X s + Q n ) tan ( σ ) Q s = Q n
The relations between the excitation voltage E, stator active power Ps and power angle σ for CAP strategy are shown in Figure 6.
Here, L1 corresponds to the function Ps(E, σ), its projection L2 to the function Ps(σ) and its projection L3 to the function E(σ). L2 shows that the stator active power varies with the power angle as a tangent function.
The power angle properties improve in two aspects with the CAP strategy.
  • The amount and rate of the power regulation with a tangential power-angle property are larger and faster than those with a sinusoidal one.
  • The reactive power remains robust when the power angle changes with the grid frequency perturbation.

4.4. Coordinated Primary Frequency Regulation Strategy for a DFIG-VSG

The CAP strategy improves the transient properties of a DFIG-VSG at grid frequency perturbations. To further improve the frequency support capability during the perturbations, the CPFR strategy is developed.
The rotor kinetic energy is the primary power reserve of a DFIG-VSG in frequency regulation. At high wind speeds, the rotor kinetic energy is abundant, and the stator and GSC power are almost at their rated values. The GSC power increases with the stator power during the frequency regulation operation, which causes the GSC to overload. At low wind speeds, the rotor velocity is nearly at its minimum, and little additional kinetic energy is released for frequency regulation. The analysis of the restriction is critical for developing the CPFR strategy.
The wind turbine control strategy determines the relation between wind speed and rotor velocity [13]. The stator and rotor active power is
P s = 1 1 s ω P g P r = s ω 1 s ω P g
here, sω is the slip rate; Pg is the generator unit power.
The capacity of the GSC for load-increase Sgsc is defined as
S gsc = P gscN P r
here, SgscN is the GSC rated capacity.
The effective rotor kinetic energy for frequency regulation is
E k = 0 . 5 J V ( ω r 2 ω min 2 )
From Equations (27)–(29), the relations between Sgsc, Ek, and rotor velocity are shown in Figure 7.
From Figure 7, the frequency regulation power is constrained by the GSC capacity for loading increase at high wind speeds and the rotor kinetic energy at low wind speeds. To remove these constraints, the CPFR strategy based on complementary properties is designed in Figure 8.
The CPFR strategy assigns operating methods for the stator VSG, GSC, and ES based on wind speed conditions and stages in frequency perturbation.
When grid frequency perturbations occur, the CPFR strategy assigns operating modes by different wind speeds. At high wind speeds, the stator VSG operates in both frequency inertial and PFR modes, GSC switches to constant power control, and ESS is used to maintain the DC bus voltage stability. At low wind speeds, the stator VSG operates in frequency inertial mode, GSC in PFR mode, and ESS in DC voltage control mode. The CPFR strategy eliminates the overload of the GSC at high wind speeds and remedies the insufficient rotor kinetic energy at low wind speeds.
When the grid frequency is restored, the stator VSG is in velocity recovery mode, GSC is in compensation control for stator load-shedding, and ESS remains in DC voltage control. The GSC compensation control reduces power loss during rotor velocity recovery.
When the grid frequency is normal, the GSC switches to DC voltage control, and the ESS is in state of charge (SOC) control.

5. Simulation Verification

To verify the improvement in the grid frequency support capacity for large-power-angle conditions using CAP and CPFR strategies, we constructed a single DFIG-VSG model and an integrated wind farm connected to an IEEE 9-node grid in MATLAB/Simulink 2020b. We formulated contrasting scenarios with different wind speeds and control strategies. The DFIG-VSG operation scenarios in Section 5.1 and Section 5.2 verify the validity and feasibility of the CAP strategy, and scenarios in Section 5.3 and Section 5.4 verify those of the CPFR strategy. Furthermore, grid-connected wind farm scenarios in Section 5.5 and Section 5.6 verify the improvement in the frequency support capability with the proposed strategy. Table 1. lists the parameters of the system.

5.1. Inertial Operation of a DFIG-VSG at a Low Wind Speed

The active power and power angle are low at low wind speeds. Therefore, the operation at low wind speeds demonstrates the properties of a DFIG-VSG at low power angles. In this scenario, the grid frequency drops by 0.5 Hz from 0.5 to 1.5 s, and the primary frequency regulation is disabled. Figure 9 shows the resulting waveforms for the FPC and APC strategies.
The grid frequency fs in (a) dropped to 49.5 Hz at 0.5 s; The accumulation of positive frequency difference increased the power angle σ in (b). The stator active power Ps in (d) increased with the power angle, and the maximum increase value was 0.42 MW. The excitation voltage E in (c) was adjusted with σ to maintain the stator reactive power Qs in (e) stability. When the grid frequency recovered at 1.5 s, the variation rules for these variables were opposite to those at 0.5 s.
At low power angles, the transient properties of the DFIG-VSG system are approximately the same for both the fixed parameter control (FPC) and CAP strategies.

5.2. Inertial Operation of a DFIG-VSG at the Rated Wind Speed

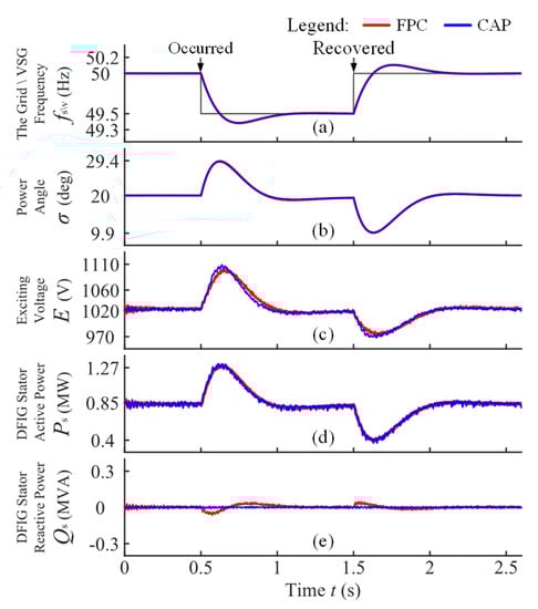
This scenario demonstrates the operation properties of a DFIG-VSG at large power angles. The conditions are the same as those in Section 5.1, except for the wind speed. Figure 10 shows the resulting waves for the FPC and CAP strategies.
The variation rules of the variables are similar to those in Section 5.1. However, the transient processes are different. Compared with the transient properties of the FPC strategy, the advantages of the CAP strategy are twofold. First, the system responds quicker to grid frequency perturbation. The virtual synchronous frequency fv in (a) traced the grid frequency quicker, and the stator power Ps in (d) reached the peak 70 ms in advance. Secondly, the transient fluctuations of the system are smaller. The power angle increment in (b) is reduced by 3.5°. Transient fluctuations in the power angle, excitation voltage, active power, and reactive power were eliminated.
At large power angles, the CAP strategy achieves a faster active power response and lower transient fluctuations, which improves the transient properties of the DFIG-VSG during grid frequency participation.

5.3. Grid Frequency Regulation Operation of a DFIG-VSG at a Low Wind Speed

The rotor velocity approaches its minimum at low wind speeds. Therefore, the DFIG-VSG cannot support the grid frequency without an energy storage device. In this scenario, the grid frequency drops by 0.5 Hz from 1 to 16 s, and the CAP strategy is enabled. Figure 11 shows the resulting waves with and without the CPFR strategy.
The primary frequency regulation of the stator VSG is disabled in this scenario with or without the CPFR strategy. Thus, the power angle σ in (b), excitation voltage E in (c), and stator active power Ps in (d) were similar to those in Section 5.1.
The GSC operation is a feature of the CPFR strategy. The GSC active power Pgsc in (e) increased to 0.18 MW from −0.22 MW during the grid frequency drop. The power of ESS Pess in (f) was 0.4 MW, which balanced with the active power increase of the GSC. The SOC of supercapacitors in (i) gradually decreased with frequency regulation until the grid frequency was restored.
When the CPFR strategy was implemented, the maximum increase of the generator unit power Pg in (g) was 0.9 MW, and the primary frequency regulation power of the unit was 0.4 MW. The CPFR strategy improved the grid frequency support capacity of a DFIG-VSG at low wind speeds.

5.4. Grid Frequency Regulation Operation of a DFIG-VSG at the Rated Wind Speed

The conditions are the same as those in Section 5.3, except for the wind speed. Figure 12 shows the resulting waves with and without the CPFR strategy.
The primary frequency regulation of the stator VSG was enabled in this scenario, with and without the CPFR strategy. Therefore, the power angle σ in (b), excitation voltage E in (c), stator active power Ps in (d), and rotor velocity nr in (h) were the same in these contrasting waveforms.
The GSC operation is a feature of the CPFR strategy. When a frequency sag occurred, the GSC active power Pgsc in (e) was kept at 0.6 MW and overload was avoided. As the rotor kinetic energy was released, the rotor velocity and rotor active power decreased. The energy storage device supported Pgsc to remain stable. When the grid frequency was restored, rotor velocity control resulted in a reduction in Ps. The GSC compensated for part of the power reduction, which reduced the power reduction of the generator unit. The rotor velocity nr reduced to 1360 r/min with the frequency regulation operation, and the SOC of the ESS in (i) decreased by 46.5%.
When the CPFR strategy was implemented, the generator unit power Pg in (g) steadily increased by 0.4 MW for frequency regulation during grid frequency sag, and the minimum value of Pg increased by 1 MW during rotor velocity recovery. The CPFR strategy eliminates the overload in the GSC and power reduction of the generator unit in frequency regulation, which improves the grid frequency support capacity at high wind speeds.

5.5. Frequency Regulation Operation of a Wind Farm at a Low Wind Speed

To validate the effectiveness of the proposed strategies in a grid-connected wind farm scenario, we constructed a wind farm integrated with 90 wind generator units connected to an IEEE 9-node power grid; the topology is shown in Figure 13. The rated power of SG G1 and G2 is 500 MW. G1 operates for grid frequency and voltage regulation, and its frequency regulation coefficient is 20 (50 MW/0.25 Hz). G2 operates at the rated state. The loads L1, L2, and L3 are 200 MW, 200 MW, and 400 MW, respectively. The perturbation load Ld is 60 MW.
At the low wind speed, the active power of the wind farm is 54 MW, and the wind power penetration rate is 6%. The perturbation load starts at 6 s. Figure 14 shows the resulting waves with and without the proposed strategies.
Compared to the conventional strategy, the wind farm active power Pwind in (b) increased by 30 MW at maximum in the proposed CAP and CPFR strategies, accounting for 57% of the wind farm power before the frequency failure. The lowest grid frequency in (a) increased from 49.76 Hz to 49.87 Hz, and the frequency drop was reduced by 50%. Charts (c–g) show the operation waveforms of a DFIG-VSG unit. The increased power in the wind farm is from energy storage devices.
The CAP and CPFR strategies improve the grid frequency support capacity of a wind farm at low wind speeds and low wind power penetration.

5.6. Frequency Regulation Operation of a Wind Farm at the Rated Wind Speed

At the rated wind speed, the active power of the wind farm is 310 MW, and the wind power penetration rate is 34%. The perturbation load starts at 6 s. Figure 15 shows the resulting waves with and without the proposed strategies.
Compared to the conventional strategy, the frequency regulation power in (b) was higher and more stable in the proposed CAP and CPFR strategies, and the minimum power of the wind farm improved by 30 MW during rotor velocity recovery. Therefore, the grid frequency in (a) recovered more quickly, and the secondary grid frequency drop was smaller. Charts (c–g) show the operation waveforms of a DFIG unit.
The CAP and CPFR strategies improve the grid frequency support capacity of wind farms at high wind speeds and high wind power penetration.

6. Conclusions

This study aims to improve the grid frequency support capacity of a DFIG-VSG at large power angles. Based on the analysis of the impact of large power angles on the grid frequency support, the CAP and CPFR strategies are proposed, corresponding to frequency inertial response and primary frequency regulation, separately. Simulations for single generator and wind farm scenarios under the proposed and conventional strategies validate the effectiveness. The main findings of this study are summarized below.
(1)
The impact of the lag link in the rotor excitation controller on the stator active power of a DFIG-VSG increases at large power angles, which turns the power-angle properties into a nonlinear form and changes the transfer function with the power angle. These changes reduce the active power response rate and system stability, thus reducing the grid frequency support capacity.
(2)
The CAP strategy adjusts the rotor excitation controller and virtual damping parameters based on the power angle, eliminating the transfer function change. As a result, the frequency inertia response of the DFIG-VSG maintains a stable and optimized state at different power angles.
(3)
The CPFR strategy dynamically allocates the GSC power to assist the DFIG-VSG in frequency regulation. It extends the operating range for primary frequency regulation and improves the stability of the regulation power. Moreover, the proposed strategy can also constrain the power drop during rotor velocity recovery and overload of the GSC at the start of frequency perturbation.
The proposed strategy is suitable for improving the grid frequency support capability of a DFIG in both single generator and centralized wind farm scenarios. The impact of the proposed strategies on the voltage disturbance response and analysis of the economy need further study.

Author Contributions

Conceptualization, Y.R. and Z.H.; methodology, Z.H.; software, Z.H. and Q.M.; validation, P.Y. and Z.H.; formal analysis, C.F.; investigation, Y.R.; resources, P.Y.; data curation, Z.H.; writing—original draft preparation, Z.H.; writing—review and editing, Z.H.; visualization, Y.P.; supervision, Y.R.; project administration, Y.R.; funding acquisition, Y.R. All authors have read and agreed to the published version of the manuscript.

Funding

This research was funded by the National Natural Science Foundation of China, grant number 51967016 and 51567020; Key R&D and Achievements Transformation Projects in Inner Mongolia; Natural Science Foundation of Inner Mongolia.

Data Availability Statement

The data presented in this study are available on request from the corresponding author. The data are not publicly available due to privacy.

Conflicts of Interest

The authors declare no conflict of interest.

References

  1. Vargas, S.A.; Esteves, G.R.T.; Maçaira, P.M.; Bastos, B.Q.; Oliveira, F.L.C.; Souza, R.C. Wind power generation: A review and a research agenda. J. Clean. Prod. 2019, 218, 850–870. [Google Scholar] [CrossRef]
  2. Ratnam, K.S.; Palanisamy, K.; Yang, G. Future low-inertia power systems: Requirements, issues, and solutions—A review. Renew. Sustain. Energy Rev. 2020, 124, 109773. [Google Scholar] [CrossRef]
  3. Manaz, M.A.M.; Lu, C.N. Design of Resonance Damper for Wind Energy Conversion System Providing Frequency Support Service to Low Inertia Power Systems. IEEE Trans. Power Syst. 2020, 35, 4297–4306. [Google Scholar] [CrossRef]
  4. Sun, M.; Sun, Y.; Chen, L.; Zou, Z.; Min, Y.; Liu, R.; Xu, F.; Wu, Y. Novel Temporary Frequency Support Control Strategy of Wind Turbine Generator Considering Coordination with Synchronous Generator. IEEE Trans. Sustain. Energy 2022, 13, 1011–1020. [Google Scholar] [CrossRef]
  5. Kerdphol, T.; Rahman, F.; Mitani, Y. Virtual Inertia Control Application to Enhance Frequency Stability of Interconnected Power Systems with High Renewable Energy Penetration. Energies 2018, 11, 981. [Google Scholar] [CrossRef]
  6. Guggilam, S.S.; Zhao, C.; Dall’Anese, E.; Chen, Y.C.; Dhople, S.V. Optimizing Power–Frequency Droop Characteristics of Distributed Energy Resources. IEEE Trans. Power Syst. 2018, 33, 3076–3086. [Google Scholar] [CrossRef]
  7. Tian, X.; Wang, W.; Chi, Y.; Li, Y.; Liu, C. Virtual inertia optimisation control of DFIG and assessment of equivalent inertia time constant of power grid. IET Renew. Power Gener. 2018, 12, 1733–1740. [Google Scholar] [CrossRef]
  8. Zhou, Y.; Hu, J.; He, W. Synchronization Mechanism between Power-Synchronized VS and PLL-Controlled CS and the Resulting Oscillations. IEEE Trans. Power Syst. 2022, 37, 4129–4132. [Google Scholar] [CrossRef]
  9. Deng, J.; Wang, J.; Li, S.; Zhang, H.; Peng, S.; Wang, T. Adaptive Damping Design of PMSG Integrated Power System with Virtual Synchronous Generator Control. Energies 2020, 13, 2037. [Google Scholar] [CrossRef]
  10. Zhang, X.; Hu, Y.; Mao, W.; Zhao, T.; Wang, M.; Liu, F.; Cao, R. A Grid-Supporting Strategy for Cascaded H-Bridge PV Converter Using VSG Algorithm with Modular Active Power Reserve. IEEE Trans. Ind. Electron. 2021, 68, 186–197. [Google Scholar] [CrossRef]
  11. Huang, L.; Xin, H.; Zhang, L.; Wang, Z.; Wu, K.; Wang, H. Synchronization and Frequency Regulation of DFIG-Based Wind Turbine Generators with Synchronized Control. IEEE Trans. Energy Convers. 2017, 32, 1251–1262. [Google Scholar] [CrossRef]
  12. Liu, Y.; Wang, H.; Wang, X.; Guo, G.; Jing, H. Control Strategy and Corresponding Parameter Analysis of a Virtual Synchronous Generator Considering Frequency Stability of Wind Power Grid-Connected System. Electronics 2022, 11, 2806. [Google Scholar] [CrossRef]
  13. Shao, H.; Cai, X.; Zhou, D.; Li, Z.; Zheng, D.; Cao, Y.; Wang, Y.; Rao, F. Equivalent Modeling and Comprehensive Evaluation of Inertia Emulation Control Strategy for DFIG Wind Turbine Generator. IEEE Access 2019, 7, 64798–64811. [Google Scholar] [CrossRef]
  14. Prasad, R.; Padhy, N.P. Synergistic Frequency Regulation Control Mechanism for DFIG Wind Turbines with Optimal Pitch Dynamics. IEEE Trans. Power Syst. 2020, 35, 3181–3191. [Google Scholar] [CrossRef]
  15. Wang, S.; Tomsovic, K. A Novel Active Power Control Framework for Wind Turbine Generators to Improve Frequency Response. IEEE Trans. Power Syst. 2018, 33, 6579–6589. [Google Scholar] [CrossRef]
  16. Ma, D.; Li, W. Wind-Storage Combined Virtual Inertial Control Based on Quantization and Regulation Decoupling of Active Power Increments. Energies 2022, 15, 5184. [Google Scholar] [CrossRef]
  17. Li, Y.; He, L.; Liu, F.; Tan, Y.; Cao, Y.; Luo, L. A dynamic coordinated control strategy of WTG-ES combined system for short-term frequency support. Renew. Energy 2018, 119, 1–11. [Google Scholar] [CrossRef]
  18. Zhu, J.; Hu, J.; Hung, W.; Wang, C.; Zhang, X.; Bu, S.; Li, Q.; Urdal, H.; Booth, C.D. Synthetic Inertia Control Strategy for Doubly Fed Induction Generator Wind Turbine Generators Using Lithium-Ion Supercapacitors. IEEE Trans. Energy Convers. 2018, 33, 773–783. [Google Scholar] [CrossRef]
  19. Sun, D.; Long, H.; Zhou, K.; Lv, Y.; Zheng, J.; Chen, Q. Research on SCESS-DFIG DC Bus Voltage Fluctuation Suppression Strategy for Frequency Inertia Regulation of Power Grid. IEEE Access 2020, 8, 173933–173948. [Google Scholar] [CrossRef]
  20. Yan, X.; Sun, X. Inertia and Droop Frequency Control Strategy of Doubly-Fed Induction Generator Based on Rotor Kinetic Energy and Supercapacitor. Energies 2020, 13, 3697. [Google Scholar] [CrossRef]
  21. Chen, C.; Su, Y.; Yang, T.; Huang, Z. Virtual inertia coordination control strategy of DFIG-based wind turbine for improved grid frequency response ability. Electr. Power Syst. Res. 2023, 216, 1–13. [Google Scholar] [CrossRef]
  22. Qian, P.; Feng, B.; Liu, H.; Tian, X.; Si, Y.; Zhang, D. Review on configuration and control methods of tidal current turbines. Renew. Sustain. Energy Rev. 2019, 108, 125–139. [Google Scholar] [CrossRef]
  23. Wu, H.; Ruan, X.; Yang, D.; Chen, X.; Zhao, W.; Lv, Z.; Zhong, Q.-C. Small-Signal Modeling and Parameters Design for Virtual Synchronous Generators. IEEE Trans. Ind. Electron. 2016, 63, 4292–4303. [Google Scholar] [CrossRef]
  24. Mauricio, J.M.; Leon, A.E. Improving Small-Signal Stability of Power Systems with Significant Converter-Interfaced Generation. IEEE Trans. Power Syst. 2020, 35, 2904–2914. [Google Scholar] [CrossRef]
Figure 1. (a) Equivalent circuit of a DFIG in dq reference frame; (b) Voltage vector diagram.
Figure 1. (a) Equivalent circuit of a DFIG in dq reference frame; (b) Voltage vector diagram.
Energies 16 00914 g001
Figure 2. Topology and overall control diagram of the system.
Figure 2. Topology and overall control diagram of the system.
Energies 16 00914 g002
Figure 3. Active power regulation per unit power angle for different power-angle conditions.
Figure 3. Active power regulation per unit power angle for different power-angle conditions.
Energies 16 00914 g003
Figure 4. Small-signal model of a DFIG-VSG.
Figure 4. Small-signal model of a DFIG-VSG.
Energies 16 00914 g004
Figure 5. Comparison of the root locus and damping ratio for different strategies: (a,b) Root locus and damping ratio under the conventional VSG strategy; (c,d) Root locus and damping ratio under parameter adapting strategy for excitation controller; (e,f) Root locus and damping ratio under CAP strategy.
Figure 5. Comparison of the root locus and damping ratio for different strategies: (a,b) Root locus and damping ratio under the conventional VSG strategy; (c,d) Root locus and damping ratio under parameter adapting strategy for excitation controller; (e,f) Root locus and damping ratio under CAP strategy.
Energies 16 00914 g005
Figure 6. The relations of excitation voltage, stator active power, and power angle.
Figure 6. The relations of excitation voltage, stator active power, and power angle.
Energies 16 00914 g006
Figure 7. Load-increase capacity of GSC and effective rotor kinetic energy at different rotor velocities.
Figure 7. Load-increase capacity of GSC and effective rotor kinetic energy at different rotor velocities.
Energies 16 00914 g007
Figure 8. Coordinated primary frequency regulation strategy for a DFIG-VSG.
Figure 8. Coordinated primary frequency regulation strategy for a DFIG-VSG.
Energies 16 00914 g008
Figure 9. Inertial operational waveforms of a DFIG-VSG at a low wind speed: (ae) The frequency, power angle, exciting voltage, stator active power and stator reactive power of the DFIG-VSG.
Figure 9. Inertial operational waveforms of a DFIG-VSG at a low wind speed: (ae) The frequency, power angle, exciting voltage, stator active power and stator reactive power of the DFIG-VSG.
Energies 16 00914 g009
Figure 10. Inertial operational waveforms of a DFIG-VSG at the rated wind speed: (ae) The frequency, power angle, exciting voltage, stator active power and stator reactive power of the DFIG-VSG.
Figure 10. Inertial operational waveforms of a DFIG-VSG at the rated wind speed: (ae) The frequency, power angle, exciting voltage, stator active power and stator reactive power of the DFIG-VSG.
Energies 16 00914 g010
Figure 11. Frequency regulation operation waveforms of a DFIG-VSG at a low wind speed: (ac) The frequency, power angle and exciting voltage of the DFIG-VSG; (dg) The stator power, GSC power, ESS power and generator unit power; (h) The rotor velocity; (i) SOC of the super capacitor; (j) DC link voltage.
Figure 11. Frequency regulation operation waveforms of a DFIG-VSG at a low wind speed: (ac) The frequency, power angle and exciting voltage of the DFIG-VSG; (dg) The stator power, GSC power, ESS power and generator unit power; (h) The rotor velocity; (i) SOC of the super capacitor; (j) DC link voltage.
Energies 16 00914 g011
Figure 12. Frequency regulation operation waveforms of a DFIG-VSG at the rated wind speed: (ac) The frequency, power angle and exciting voltage of the DFIG-VSG; (dg) The stator power, GSC power, ESS power and generator unit power; (h) The rotor velocity; (i) SOC of the super capacitor; (j) DC link voltage.
Figure 12. Frequency regulation operation waveforms of a DFIG-VSG at the rated wind speed: (ac) The frequency, power angle and exciting voltage of the DFIG-VSG; (dg) The stator power, GSC power, ESS power and generator unit power; (h) The rotor velocity; (i) SOC of the super capacitor; (j) DC link voltage.
Energies 16 00914 g012
Figure 13. Topology of the grid-connected wind farm scenario.
Figure 13. Topology of the grid-connected wind farm scenario.
Energies 16 00914 g013
Figure 14. Frequency regulated operation waveforms of a wind farm at a low wind speed: (a) The grid frequency; (b) The wind farm power; (cg) The stator power, GSC power, generator unit power, ESS power, rotor velocity and ESS SOC of the DFIG-VSG system.
Figure 14. Frequency regulated operation waveforms of a wind farm at a low wind speed: (a) The grid frequency; (b) The wind farm power; (cg) The stator power, GSC power, generator unit power, ESS power, rotor velocity and ESS SOC of the DFIG-VSG system.
Energies 16 00914 g014
Figure 15. Frequency regulated operation waveforms of a wind farm at the rated wind speed: (a) The grid frequency; (b) The wind farm power; (cg) The stator power, GSC power, generator unit power, ESS power, rotor velocity and ESS SOC of the DFIG-VSG system.
Figure 15. Frequency regulated operation waveforms of a wind farm at the rated wind speed: (a) The grid frequency; (b) The wind farm power; (cg) The stator power, GSC power, generator unit power, ESS power, rotor velocity and ESS SOC of the DFIG-VSG system.
Energies 16 00914 g015
Table 1. Key Parameters of the DFIG-VSG System.
Table 1. Key Parameters of the DFIG-VSG System.
Parameter and DesignationValue
Rated voltage Us 950 V
Rated frequency fs50 Hz
Generator unit rated power Pg3.4 MW
Stator and rotor leakage inductance Lls/Llr0.06 mH/0.07 mH
Mutual inductance Lm1.2 mH
Converter DC voltage udc1600 V
Supercapacitor unit capacitance and voltage50 F/1100 V
Initial SOC of the supercapacitor unit78.8%
Number of pole pairs np2
Rated rotor speed rω1782 r/min
Mechanical rotational inertia JΩ750 Kg·m2
Virtual rotational inertia JV150 Kg·m2
Frequency regulation coefficient kf0.43 MW/0.25 Hz
Rotor excitation PI coefficients kp0 / ki00.002/0.012
Virtual damping coefficient Dp083
Disclaimer/Publisher’s Note: The statements, opinions and data contained in all publications are solely those of the individual author(s) and contributor(s) and not of MDPI and/or the editor(s). MDPI and/or the editor(s) disclaim responsibility for any injury to people or property resulting from any ideas, methods, instructions or products referred to in the content.

Share and Cite

MDPI and ACS Style

Hu, Z.; Ren, Y.; Meng, Q.; Yun, P.; Fang, C.; Pan, Y. Improvement of Frequency Support for a DFIG Using a Virtual Synchronous Generator Strategy at Large Power Angles. Energies 2023, 16, 914. https://doi.org/10.3390/en16020914

AMA Style

Hu Z, Ren Y, Meng Q, Yun P, Fang C, Pan Y. Improvement of Frequency Support for a DFIG Using a Virtual Synchronous Generator Strategy at Large Power Angles. Energies. 2023; 16(2):914. https://doi.org/10.3390/en16020914

Chicago/Turabian Style

Hu, Zhishuai, Yongfeng Ren, Qingtian Meng, Pingping Yun, Chenzhi Fang, and Yu Pan. 2023. "Improvement of Frequency Support for a DFIG Using a Virtual Synchronous Generator Strategy at Large Power Angles" Energies 16, no. 2: 914. https://doi.org/10.3390/en16020914

APA Style

Hu, Z., Ren, Y., Meng, Q., Yun, P., Fang, C., & Pan, Y. (2023). Improvement of Frequency Support for a DFIG Using a Virtual Synchronous Generator Strategy at Large Power Angles. Energies, 16(2), 914. https://doi.org/10.3390/en16020914

Note that from the first issue of 2016, this journal uses article numbers instead of page numbers. See further details here.

Article Metrics

Back to TopTop