Sign in to use this feature.

Years

Between: -

Subjects

remove_circle_outline
remove_circle_outline
remove_circle_outline
remove_circle_outline
remove_circle_outline
remove_circle_outline
remove_circle_outline
remove_circle_outline
remove_circle_outline

Journals

Article Types

Countries / Regions

remove_circle_outline
remove_circle_outline
remove_circle_outline

Search Results (283)

Search Parameters:
Keywords = rolling friction coefficient

Order results
Result details
Results per page
Select all
Export citation of selected articles as:
23 pages, 2829 KB  
Article
Calibration and Experimental Determination of Parameters for the Discrete Element Model of Shells
by Tong Wang, Xin Du, Shufa Chen, Qixin Sun, Yue Jiang and Hengjie Dong
Appl. Mech. 2026, 7(1), 6; https://doi.org/10.3390/applmech7010006 - 14 Jan 2026
Viewed by 181
Abstract
This study conducts systematic experimental and numerical investigations to address the parameter calibration issue in the discrete element model of seashells, aiming to establish a high-fidelity numerical model that accurately characterizes their macroscopic mechanical behavior, thereby providing a basis for optimizing parameters of [...] Read more.
This study conducts systematic experimental and numerical investigations to address the parameter calibration issue in the discrete element model of seashells, aiming to establish a high-fidelity numerical model that accurately characterizes their macroscopic mechanical behavior, thereby providing a basis for optimizing parameters of seashell crushing equipment. Firstly, intrinsic parameters of seashells were determined through physical experiments: density of 2.2 kg/m3, Poisson’s ratio of 0.26, shear modulus of 1.57 × 108 Pa, and elastic modulus of 6.5 × 1010 Pa. Subsequently, contact parameters between seashells and between seashells and 304 stainless steel, including static friction coefficient, rolling friction coefficient, and coefficient of restitution, were obtained via the inclined plane method and impact tests. The reliability of these contact parameters was validated by the angle of repose test, with a relative error of 5.1% between simulation and measured results. Based on this, using ultimate load as the response indicator, the PlackettBurman experimental design was employed to identify normal stiffness per unit area and tangential stiffness per unit area as the primary influencing parameters. The Bonding model parameters were then precisely calibrated through the steepest ascent test and design, resulting in an optimal parameter set. The error between simulation results and physical experiments was only 3.8%, demonstrating the high reliability and accuracy of the established model and parameter calibration methodology. Full article
Show Figures

Figure 1

21 pages, 6702 KB  
Article
Modeling of Oil-Film Traction Behavior and Lubricant Selection for Aeroengine Mainshaft Ball Bearings
by Kaiwen Deng, Xinlin Qing, Florian Pape and Yishou Wang
Lubricants 2026, 14(1), 33; https://doi.org/10.3390/lubricants14010033 - 10 Jan 2026
Viewed by 404
Abstract
The traction behavior of lubricant films forms the foundation of dynamic modeling for aeroengine mainshaft ball bearings. Its accuracy directly determines the reliability of predicted dynamic responses and the available design safety margins. Existing traction models produce artificial friction in the zero slip [...] Read more.
The traction behavior of lubricant films forms the foundation of dynamic modeling for aeroengine mainshaft ball bearings. Its accuracy directly determines the reliability of predicted dynamic responses and the available design safety margins. Existing traction models produce artificial friction in the zero slip region and exhibit strong sensitivity to ball size effects, which leads to significant deviations from experimental observations. These limitations make them unsuitable for high-fidelity analyses of aeroengine mainshaft bearings. In this study, a self-developed high-speed traction test rig was used to systematically measure the traction–slip responses of three aviation lubricants, including the newly developed 4102 (7 cSt) and the inservice 4050 (5 cSt) and 4010 (3 cSt). The tests covered a wide range of operating conditions, including maximum Hertzian pressures of 1.0 to 1.5 GPa, oil supply temperatures of 25 to 120 °C, entrainment speeds of 25 to 40 m/s, and slide–roll ratios (SRR) of 0 to 0.3. The evolution of lubricant traction characteristics was examined in detail. Based on the experimental data, a four-parameter and three-coefficient traction model was proposed. This model eliminates the non-physical traction outputs at zero slip observed in previous formulations. When embedded into the bearing dynamic simulations, the maximum deviation between the predicted friction torque and the measured values is only 3.79%. On the basis of typical operating conditions of aeroengine bearings, lubricant selection guidelines were established. Under combined high-speed, light-load, and high-temperature conditions, the high-viscosity lubricant 4102 is preferred because it suppresses cage sliding and enhances film stiffness. When the cage slip ratio is below 15% and lubrication is sufficient, the low-viscosity lubricant 4010 is recommended, followed by 4050, in order to reduce frictional heating. This study provides a theoretical basis for high-accuracy dynamic design and lubricant selection for aeroengine ball bearings. Full article
Show Figures

Figure 1

20 pages, 2092 KB  
Article
Calibration of Snow Particle Contact Parameters for Simulation Analysis of Membrane Structure Snow Removal Robot
by Jiangtao Dong, Fuxiang Zhang, Fengshan Huang and Xiaofei Man
Appl. Sci. 2026, 16(2), 610; https://doi.org/10.3390/app16020610 - 7 Jan 2026
Viewed by 177
Abstract
To enhance the accuracy of discrete element method (DEM) simulation for the snow removal process performed by autonomous robots on membrane structures, this study calibrated the key contact parameters of snow particles used in the simulation. Through literature research, the intrinsic parameters and [...] Read more.
To enhance the accuracy of discrete element method (DEM) simulation for the snow removal process performed by autonomous robots on membrane structures, this study calibrated the key contact parameters of snow particles used in the simulation. Through literature research, the intrinsic parameters and contact parameter ranges for snow particles and membrane structures were determined. A discrete element model of snow particles was established, and the Hertz–Mindlin with Johnson–Kendall–Robert contact model was selected to simulate the formation process of the repose angle. Using the actual repose angle of snow particles as the target, four significant factors were identified through the P-B experiment, and other factors were set at the intermediate level. Through the steepest slope climbing experiment and response surface design, second-order response equations of the four significant factors were obtained. The optimal parameter combination was calculated as follows: the surface energy of snow particles was 0.23 J/m2; the restitution coefficient, static friction coefficient, and rolling friction coefficient of snow–snow were 0.141, 0.05, and 0.03; and the restitution coefficient, static friction coefficient, and rolling friction coefficient of snow–membrane were 0.2, 0.18, and 0.03. The simulated repose angle was 40.62°, and the relative error with the actual repose angle was 0.32%. These calibration results are reliable and can provide a reliable simulation basis and essential data support for the optimal design of a snow removal robot and the dynamic simulation of the operation process. Full article
(This article belongs to the Special Issue Advances in Robotics and Autonomous Systems)
Show Figures

Figure 1

20 pages, 6329 KB  
Article
Physical Characterization of Cumin Seeds and Development of a Discrete Element Simulation Model
by Hongmei Wang, Peiyu Chen, Changqi Wang, Weiguo Chen, Jiale Ma, Liangyang Lu and Yongcheng Zhang
AgriEngineering 2026, 8(1), 19; https://doi.org/10.3390/agriengineering8010019 - 5 Jan 2026
Viewed by 277
Abstract
The low level of mechanization in the production process of cumin seeds is one of the primary factors limiting their yield and economic efficiency. To enhance the mechanization of cumin seed production, this study focused on cumin seeds as the research subject. Physical [...] Read more.
The low level of mechanization in the production process of cumin seeds is one of the primary factors limiting their yield and economic efficiency. To enhance the mechanization of cumin seed production, this study focused on cumin seeds as the research subject. Physical parameters of cumin seeds were determined through physical experiments; based on these parameters, a discrete element model of cumin seeds was established, and the shear modulus was calibrated using angle of repose tests. The established model was used to simulate the seeding process of a seed drill, the model’s accuracy was verified by analyzing the seed trajectory, movement velocity, seeding quality, and the dynamic angle of repose of seeds inside the drill. Results indicated that the collision recovery coefficient, static friction coefficient, and rolling friction coefficient between cumin seeds and ABS plastic, stainless steel plates, and other cumin seeds were 0.3, 0.35, and 0.21; 0.49, 0.39, 0.24; and 0.24, 0.38, 0.18, respectively. Calibration via simulated cylinder accumulation tests yielded a deviation of 0.28% between the simulated accumulation angle and the physical accumulation angle at a shear modulus of 100 MPa; the simulated seed trajectory during dispensing closely matched physical dispensing tests. The average deviation in particle drop velocity within the bridge channel region was 4.23%, with a maximum deviation of 6.07%; the average deviation in dynamic packing angle from start to finish for the particle group was 2.84%, with a maximum deviation of 4.18%; and the average mass discharged from the 14 simulated seed nozzles was 0.0446 g, compared to 0.043 g in physical tests, with a deviation of 3.72%. These results demonstrate the high accuracy and reliability of the established cumin discrete element model and its parameters, providing technical support for the design and optimization of full-process mechanical cumin production systems. Full article
Show Figures

Figure 1

22 pages, 4620 KB  
Article
Effect of Ultrasonic Surface Rolling Step Size on the Wear and Corrosion Behavior of Shot-Peened Cr8 Steel
by Chen Liang, Huan Yan, Yujing Yin, Honglei Hu and Lei Li
Metals 2026, 16(1), 51; https://doi.org/10.3390/met16010051 - 31 Dec 2025
Viewed by 248
Abstract
Cr8 steel should be Steel containing ~8 wt.% of chromium is widely used in demanding die applications due to its excellent wear resistance; however, conventional shot peening, while enhancing strength, inevitably increases surface roughness, thereby compromising overall performance. To address this limitation, this [...] Read more.
Cr8 steel should be Steel containing ~8 wt.% of chromium is widely used in demanding die applications due to its excellent wear resistance; however, conventional shot peening, while enhancing strength, inevitably increases surface roughness, thereby compromising overall performance. To address this limitation, this study systematically investigates the influence of ultrasonic surface rolling (USR) step size—comparing 0.06 mm and 0.12 mm—on mitigating surface degradation and improving surface integrity. Friction wear and electrochemical corrosion tests demonstrate that USR effectively reduces surface roughness and enhances microhardness. The 0.06 mm step size achieves superior results, yielding the lowest surface roughness (0.8317 μm), highest microhardness (647.47 HV), lowest friction coefficient (0.655), and optimal corrosion resistance (minimum corrosion rate reduction: 3.472 µA·cm−2, corresponding to an inhibition efficiency of 37.05%). These performance improvements are attributed to the synergistic effects of surface smoothing and work hardening, resulting from more uniform processing achieved under a smaller step size. Consequently, a 0.06 mm step size is determined to be optimal, establishing the integrated shot peening–USR process as a highly effective strategy for enhancing surface properties and extending the service life of critical Cr8 steel components in industrial applications. Full article
Show Figures

Figure 1

29 pages, 5968 KB  
Article
Lubrication Characteristics and Thermal Behavior of Non-Orthogonal Face Gear Pairs in Point Contact
by Xiaomeng Chu, Faqiang Chen and Jiangjun Wang
Lubricants 2026, 14(1), 9; https://doi.org/10.3390/lubricants14010009 - 24 Dec 2025
Viewed by 444
Abstract
The thermal elastohydrodynamic lubrication problem of non-orthogonal surface gear pairs under point contact conditions was studied. Firstly, a mathematical model is established through a comprehensive contact and lubrication analysis. On this basis, the Reynolds equation, energy equation, film thickness equation, viscosity-pressure–viscosity-temperature relationship, and [...] Read more.
The thermal elastohydrodynamic lubrication problem of non-orthogonal surface gear pairs under point contact conditions was studied. Firstly, a mathematical model is established through a comprehensive contact and lubrication analysis. On this basis, the Reynolds equation, energy equation, film thickness equation, viscosity-pressure–viscosity-temperature relationship, and density equation are coupled and solved, and the finite difference method is adopted for numerical solution. The distribution characteristics of oil film pressure, oil film thickness, and temperature rise at different meshing points were systematically analyzed. The results show that during the meshing cycle, the maximum pressure of the oil film at the meshing point first increases and then decreases, while the minimum oil film thickness is the opposite. Near the point S3, the meshing state is close to pure rolling, with the lowest friction coefficient and temperature rise. Furthermore, the heat absorbed by the lubricating oil film through forced convection accounts for only approximately 1% of the total frictional heat, indicating that at the moment of gear meshing contact and in the microscopic region, frictional heat is mainly dissipated through heat conduction. Full article
Show Figures

Figure 1

24 pages, 10537 KB  
Article
Study on Ultrasonic Rolling Enhancement of TC4 and Its Tribological Characteristics Under Seawater Lubrication
by Shuaihui Wang, Xianshuai Ma, Donglin Li, Yong Tang, Feng Zhao, Yan Lu and Xiaoqiang Wang
Lubricants 2026, 14(1), 2; https://doi.org/10.3390/lubricants14010002 - 20 Dec 2025
Viewed by 389
Abstract
To enhance the abrasion resistance of TC4 titanium alloy and meet the demand for wear-resistant and corrosion-resistant friction pair materials for water-hydraulic components of marine equipment, the tribological properties of the material subsequent to ultrasonic rolling extrusion surface strengthening under seawater-lubricated conditions were [...] Read more.
To enhance the abrasion resistance of TC4 titanium alloy and meet the demand for wear-resistant and corrosion-resistant friction pair materials for water-hydraulic components of marine equipment, the tribological properties of the material subsequent to ultrasonic rolling extrusion surface strengthening under seawater-lubricated conditions were investigated. The process of ultrasonic rolling machining was simulated and analyzed by the finite element method. The influence of process parameters on surface residual stress and surface roughness of TC4 was studied, and the appropriate range of process parameters was determined. The effects of key process parameters such as rolling times, static pressure, amplitude, and rotational speed on the surface properties of TC4 were investigated by the single-factor test method. Based on the response surface methodology, a prediction model of surface hardness and roughness of TC4 was constructed, and the process parameters were optimized and analyzed. The friction coefficient, wear amount, and wear rate of TC4 and CFRPEEK under seawater lubrication before and after strengthening were studied by wear tests. The wear morphologies of the specimens prior to and subsequent to strengthening were analyzed, and the friction and wear mechanisms were explored in depth. The results indicate that ultrasonic rolling extrusion surface strengthening process facilitates grain refinement in the surface layer of TC4, enhances surface hardness, and optimizes surface roughness, thereby improving its wear resistance. This is of guiding significance to the design and use of hydraulic components in seawater and has a promoting effect on the development of marine equipment. Full article
(This article belongs to the Special Issue Mechanical Tribology and Surface Technology, 2nd Edition)
Show Figures

Figure 1

13 pages, 6633 KB  
Article
Composite Oxidation Mechanism of Cu/Cu Contact Pairs During Current-Carrying Rolling in O2-N2-H2O Vapor Mixture
by Jianhua Cheng, Fei Li, Yuhang Li, Haihong Wu, Bohan Li, Chenfei Song, Zhibin Fu and Yongzhen Zhang
Materials 2025, 18(24), 5693; https://doi.org/10.3390/ma18245693 - 18 Dec 2025
Viewed by 357
Abstract
Oxidation is a critical factor contributing to material wear and the degradation of conductive performance during current-carrying tribological processes. The present study investigated the composite oxidation mechanisms that occurred during current-carrying rolling in mixed atmospheres containing O2 and H2O vapor. [...] Read more.
Oxidation is a critical factor contributing to material wear and the degradation of conductive performance during current-carrying tribological processes. The present study investigated the composite oxidation mechanisms that occurred during current-carrying rolling in mixed atmospheres containing O2 and H2O vapor. The results obtained in a dry N2/O2 mixture, humid N2, and humid N2/O2 mixture indicated that the oxidation mechanisms on current-carrying rolling surfaces involved thermal oxidation, tribo-oxidation, and anodic oxidation. XPS analysis confirmed that the primary oxidation product was CuO. Conductive atomic force microscopy (C-AFM) revealed that surface oxidation caused a significant reduction in conductive α-spots, leading to an increase in contact resistance. Contact resistance exhibited a quasi-linear relationship with the surface CuO content. Contact angle measurements and adhesion tests showed that the enhanced hydrophilicity of the oxidized surface and the resulting high adhesion contributed to an increase in the macroscopic friction coefficient. In humid N2/O2 with 50% relative humidity (RH), the friction coefficient rapidly exceeded 0.8 when the O2 content surpassed 25%. Wear morphology analysis demonstrated that this abrupt increase in the friction coefficient induced fatigue wear on the surface. Overall, the present study elucidated the composite oxidation mechanisms during current-carrying rolling and clarified the pathways through which oxidation affected current-carrying tribological performance. These findings may contribute to improved failure analysis and the safe, reliable operation of electrical contact pairs. Full article
(This article belongs to the Section Materials Chemistry)
Show Figures

Figure 1

14 pages, 1443 KB  
Article
The Coupling Influence of Load and Temperature on Boundary Friction of Fullerene Ball Nano-Additives
by Yu Rong, Xinran Geng, Chongyun Sun, Hailong Hu, Shuo Li, Zhichao Chen and Wenquan Lv
Lubricants 2025, 13(12), 547; https://doi.org/10.3390/lubricants13120547 - 16 Dec 2025
Viewed by 450
Abstract
This study employs molecular dynamics simulations to investigate the frictional behavior of fullerene nano-additives on Fe-C alloy surfaces under varying loads and temperatures, focusing on boundary lubrication conditions. The results show that the x-direction friction force exhibits minimal sensitivity to normal pressure [...] Read more.
This study employs molecular dynamics simulations to investigate the frictional behavior of fullerene nano-additives on Fe-C alloy surfaces under varying loads and temperatures, focusing on boundary lubrication conditions. The results show that the x-direction friction force exhibits minimal sensitivity to normal pressure due to the high rigidity of fullerene molecules, which limits variations in real contact area and atomic interactions. In contrast, temperature has a significant effect: as it rises, enhanced atomic vibrations and thermal activation lower energy barriers for sliding. The coefficient of friction (COF) consistently decreases with both increasing load and temperature, driven by the mechanism of thermally activated motion. Although partial rotational motion from sliding to rolling friction was not explicitly observed in the simulations, the study remains within the sliding-dominated regime, highlighting the importance of temperature over load in controlling friction. A linear relationship between lnCOF and 1/kBT yields an average activation energy of ~0.03 eV, supporting a thermally activated friction mechanism. By introducing a composite parameter that combines load and temperature effects, the study provides a predictive framework for modeling friction behavior under thermo-mechanical coupling. These findings enhance the understanding of the friction-reducing capabilities of fullerene additives and offer a foundation for designing advanced nano-lubricants in boundary lubrication systems. Full article
(This article belongs to the Special Issue Tribological Behavior of Nanolubricants: Do We Know Enough?)
Show Figures

Graphical abstract

24 pages, 4686 KB  
Article
Parameter Calibration and Experimentation of the Discrete Element Model for Mixed Seeds of Vetch (Vicia villosa) and Oat (Avena sativa) in a Pneumatic Seed Drilling System
by Yu Fu, Dewei Wang, Xufeng Wang, Long Wang, Jianliang Hu, Xingguang Chi and Mao Ji
Appl. Sci. 2025, 15(24), 13048; https://doi.org/10.3390/app152413048 - 11 Dec 2025
Viewed by 281
Abstract
This paper focuses on mixed seeds of Vicia villosa and Avena sativa, with their discrete element model and contact parameters being systematically calibrated and validated to provide reliable theoretical support for the structural design and parameter optimization of the air-assisted seed delivery [...] Read more.
This paper focuses on mixed seeds of Vicia villosa and Avena sativa, with their discrete element model and contact parameters being systematically calibrated and validated to provide reliable theoretical support for the structural design and parameter optimization of the air-assisted seed delivery system. The physical properties of both seed types, including triaxial dimensions, density, moisture content, Poisson’s ratio, and shear modulus, were first measured. The Hertz–Mindlin (no slip) contact model and the multi-sphere aggregation method were employed to construct the discrete element models of Vicia villosa and Avena sativa, with preliminary calibration of the intrinsic model parameters. Poisson’s ratio, elastic modulus, collision restitution coefficient, static friction coefficient, and rolling friction coefficient between the seeds and PLA plastic plate were determined through uniaxial compression, free fall, inclined sliding, and inclined rolling tests. Each test was repeated five times, and the calibration criterion for contact parameters was based on minimizing the relative error between simulation and experimental results. Based on this, experiments on the packing angle of mixed seeds, steepest slope, and a three-factor quadratic rotational orthogonal combination were conducted. The inter-seed collision restitution coefficient, static friction coefficient, and rolling friction coefficient were set as the experimental factors. A total of 23 treatments were designed with repetitions at the center point, and a regression model was established for the relative error of the packing angle with respect to each factor. Based on the measured packing angle of 28.01° for the mixed seeds, the optimal contact parameter combination for the mixed seed pile was determined to be: inter-seed collision restitution coefficient of 0.312, static friction coefficient of 0.328, and rolling friction coefficient of 0.032. The relative error between the simulated packing angle and the measured value was 1.32%. The calibrated inter-seed contact parameters were further coupled into the EDEM–Fluent gas–solid two-phase flow model. Simulations and bench verification tests were carried out under nine treatment combinations, corresponding to three fan speeds (20, 25, and 30 m·s−1) and three total transport efficiencies (12.5, 17.5, and 22.5 g·s−1), with the consistency coefficient of seed distribution in each row being the main evaluation variable. The results showed that the deviation in the consistency coefficient of seed distribution between the simulation and experimental measurements ranged from 1.24% to 3.94%. This indicates that the calibrated discrete element model for mixed seeds and the EDEM–Fluent coupled simulation can effectively reproduce the air-assisted seed delivery process under the conditions of Vicia villosa and Avena sativa mixed sowing, providing reliable parameters and methodological support for the structural design of seeders and DEM-CFD coupled simulations in legume–grass mixed sowing systems. Full article
(This article belongs to the Section Agricultural Science and Technology)
Show Figures

Figure 1

21 pages, 9211 KB  
Article
Influence of Nano-Lubricants on Edge Cracking and Surface Quality of Rolled Mg/Al Composite Foils
by Guang Feng, Ning Wang, Zhongxiang Li, Shaoyong Du and Zhaopeng Li
Lubricants 2025, 13(12), 518; https://doi.org/10.3390/lubricants13120518 - 29 Nov 2025
Viewed by 375
Abstract
This study systematically investigates the effect and mechanism of a TiO2 nano-lubricant on edge cracking and surface quality during the rolling of Mg/Al composite foils. Initial friction and wear tests identified an optimal nano-lubricant concentration of 3.0 wt.%, at which the system [...] Read more.
This study systematically investigates the effect and mechanism of a TiO2 nano-lubricant on edge cracking and surface quality during the rolling of Mg/Al composite foils. Initial friction and wear tests identified an optimal nano-lubricant concentration of 3.0 wt.%, at which the system achieved a minimum average coefficient of friction of 0.067. Subsequent rolling tests using this concentration showed that the nano-lubricant reduced rolling force by 5.39–7.54% compared to dry conditions. It also significantly suppressed the initiation and propagation of edge cracks. Furthermore, the surface roughness parameters Ra and Rz were reduced by 16.5% to 24.0%, and the height profile fluctuation range was reduced by 33% to 45%, resulting in a smoother and more uniform surface morphology. The analysis of the underlying mechanism indicates that the superior performance originates from the synergistic effects of the rolling effect, the mending effect, the polishing effect, and the protective film effect. This work establishes that the use of a 3.0 wt.% TiO2 nano-lubricant is a viable strategy for fabricating high-quality Mg/Al composite foils with minimal defects. It thereby offers both theoretical and practical guidance for the advanced rolling of bimetallic composites. Full article
Show Figures

Figure 1

15 pages, 3771 KB  
Article
Development of a Simulation System with Integrated In Situ Monitoring Capabilities for the Lubrication State of Rolling Elements in Space Control Moment Gyro Bearings
by Zhaoliang Dou, Zhuangzhuang Du, Saihang Zhou, Gang Zhou, Shaohua Zhang, Lu Gao, Ye Yang and Fengbin Liu
Lubricants 2025, 13(12), 514; https://doi.org/10.3390/lubricants13120514 - 25 Nov 2025
Viewed by 418
Abstract
As a core actuator for attitude control in spacecraft, the lubrication state of the bearing rolling elements in the Control Moment Gyro (CMG) critically determines the operational lifetime and control accuracy of the overall assembly. The complex motion patterns and unique spatial environment [...] Read more.
As a core actuator for attitude control in spacecraft, the lubrication state of the bearing rolling elements in the Control Moment Gyro (CMG) critically determines the operational lifetime and control accuracy of the overall assembly. The complex motion patterns and unique spatial environment pose significant challenges to developing effective ground-based simulation and lubrication assessment methods. To address this, a simulation system with integrated in situ monitoring capabilities for the lubrication state of rolling elements in space CMG bearings was developed in this study. By integrating a friction force sensor, optical microscope, Raman spectrometer, and gas analyzer, the system permits the in situ, real-time monitoring of key parameters—including friction force, surface morphology evolution, tribochemical characteristics, lubricant consumption, and gas generation—while simulating rolling element motion and lubrication in a vacuum. Experimental results confirm that the system achieves a stable vacuum of 10−3 Pa within 15 min, with control accuracies for both rotational speed and loading force better than 1%. It effectively distinguishes tribological performance under different material conditions and achieves a repeatability standard deviation of the friction coefficient below 0.001, with reliable data from the in situ monitoring module. This system provides a reliable platform for investigating CMG bearing lubrication and predicting service life in vacuum. Full article
(This article belongs to the Special Issue Space Tribology)
Show Figures

Figure 1

15 pages, 8951 KB  
Article
Construction of a Gradient Nanostructure for Enhanced Surface Properties in 38CrMoAl Steel via Ultrasonic Severe Surface Rolling
by Jing Han, Yongzheng Zha, Tao Zhang, Haiyong Shi, Xingyue Zhang, Chao Cao, Di Huang, Jiapeng Sun, Bin Zhang and Jiyun Zhao
Materials 2025, 18(23), 5308; https://doi.org/10.3390/ma18235308 - 25 Nov 2025
Cited by 1 | Viewed by 478
Abstract
Fabrication of gradient nanostructure on metal surfaces is recognized as an effective approach for enhancing mechanical and surface properties, as well as serving as a pretreatment for subsequent surface engineering. Unfortunately, their fabrication on high-strength and low-ductility metal surface poses a significant challenge [...] Read more.
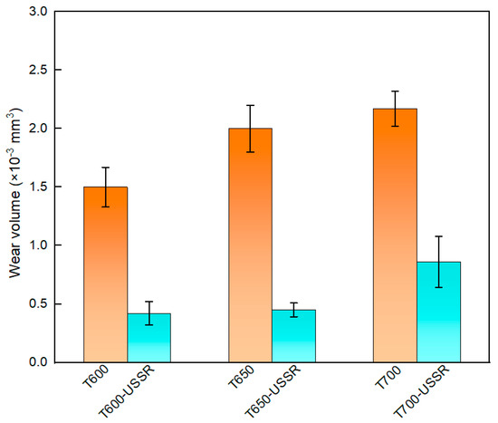
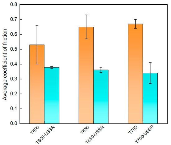
Fabrication of gradient nanostructure on metal surfaces is recognized as an effective approach for enhancing mechanical and surface properties, as well as serving as a pretreatment for subsequent surface engineering. Unfortunately, their fabrication on high-strength and low-ductility metal surface poses a significant challenge due to the prevalent issue of process-induced surface damage. In this study, we report the successful fabrication of a gradient nanostructured surface layer with low roughness (Ra ~ 0.17 μm) on high-strength 38CrMoAl steel through an optimized ultrasonic severe surface rolling (USSR) processing. By systematically varying the tempering temperature of quenched-and-tempered samples, the strength and ductility of the 38CoMoAl steel are tailored to facilitate gradient nanostructure formation. Microstructural analysis via advanced electron microscopy reveals the gradient nanostructure features progressively coarser martensite/ferrite grains and decreasing dislocation density along the depth. As the tempering temperature increases from 600 °C to 700 °C, the yield strength of 38CrMoAl steel decreases from 915 ± 16 MPa to 815 ± 16 MPa, while the elongation increases from 18.7 ± 0.6 to 27.3 ± 1.2%, resulting in an increase in the thickness of the gradient nanostructured surface layer from 300 μm to 400 μm. Following USSR processing, samples tempered at 600 °C, 650 °C, and 700 °C exhibit significant enhancements in surface hardness by 7.3%, 22.7%, and 21.5%, respectively, along with substantial reduction in wear volume by 73%, 78%, and 60%. USSR processing also leads to a reduction in coefficient of friction. This work provides valuable insights into the fabrication of high-quality gradient nanostructures on high-strength, low-ductility metallic materials. Full article
(This article belongs to the Section Metals and Alloys)
Show Figures

Figure 1

12 pages, 827 KB  
Article
Enhancing the Superelevation Runoff Method in Circular Arcs for Mountainous Terrain Alignments
by Antonios E. Trakakis, Vassilios Matragos, Konstantinos Apostoleris, Kiriakos Amiridis, Stergios Mavromatis, Nikiforos Stamatiadis and Basil Psarianos
Infrastructures 2025, 10(12), 319; https://doi.org/10.3390/infrastructures10120319 - 24 Nov 2025
Viewed by 333
Abstract
Despite the recognized importance of spiral curve implementation in highway design, several design manuals permit spiral omission depending on the geometric layout and the performance characteristics of road users. A critical safety issue associated with these methodologies arises from the potential exceedance of [...] Read more.
Despite the recognized importance of spiral curve implementation in highway design, several design manuals permit spiral omission depending on the geometric layout and the performance characteristics of road users. A critical safety issue associated with these methodologies arises from the potential exceedance of the maximum allowable side friction coefficient and the design utilization factor on a circular arc, particularly under wet pavement conditions. The present study aims to address a gap in geometric design manuals and the international literature by optimizing the superelevation design of the runoff section in the tangent-to-curve transition for circular arcs in mountainous terrain with a maximum design superelevation rate of up to 5%. The proposed methodology is supported by an analysis based on fundamental vehicle dynamics equilibrium equations, aiming to resolve concerns among practitioners regarding the elimination of superelevation rate transitions within the circular arc itself, with particular focus on the evaluation of the utilization factor and the applicability in icy conditions. The comparative evaluation of the demanded utilization factors resulting from this method and those defined by existing guidelines, along with the safety levels it maintains under icy conditions (i.e., compound slope up to 10%), encourages its immediate implementation in circular arcs with a design superelevation rate up to 5%, as well as further investigation into the potential application of this method in circular arcs with a design superelevation rate greater than 5% in mountainous and rolling terrains. Full article
Show Figures

Figure 1

20 pages, 6848 KB  
Article
Microstructure and Tribological Properties of Fe40Mn19Cr20Ni20Mo1 High-Entropy Alloy Composite-Infiltrated by Aluminum–Nitrogen
by Zelin Huang, Xiangrong Zhang, Huijun Yang, Xi Jin, Min Zhang and Junwei Qiao
Lubricants 2025, 13(12), 509; https://doi.org/10.3390/lubricants13120509 - 21 Nov 2025
Viewed by 557
Abstract
In the manufacturing sector, energy loss often stems mainly from wear. By improving the surface characteristics of alloys, we can substantially cut down on this kind of loss, which in turn boosts the efficiency of energy use. In this study, Fe40Mn [...] Read more.
In the manufacturing sector, energy loss often stems mainly from wear. By improving the surface characteristics of alloys, we can substantially cut down on this kind of loss, which in turn boosts the efficiency of energy use. In this study, Fe40Mn19Cr20Ni20Mo1 high-entropy alloy (HEA) with a face-centered cubic (FCC) structure was subjected to aluminum–nitrogen co-infiltration treatment via pack aluminizing and plasma nitriding, forming an aluminum–nitrogen co-infiltrated layer with a thickness of approximately 17 μm. An analysis was carried out on the microstructure, growth dynamics, and tribological behavior of the Al-N co-infiltrated layer across a broad temperature spectrum. The results showed that the surface hardness of the samples treated by aluminizing and Al-N co-infiltration reached 592 HV and 993 HV, respectively, which were significantly higher than that of the hot-rolled alloy (178 HV). The Al-N co-infiltrated HEA exhibited a low and stable friction coefficient as well as wear rate over a wide temperature range (20–500 °C), which was attributed to the formation of the Al-N co-infiltrated layer composed of AlN, CrN, and FeN phases. This study demonstrates that Al-N co-infiltration treatment is an effective surface modification technique, which can significantly enhance the hardness and tribological properties of high-entropy alloys over a wide temperature range. Full article
Show Figures

Figure 1

Back to TopTop