Sign in to use this feature.

Years

Between: -

Subjects

remove_circle_outline
remove_circle_outline
remove_circle_outline
remove_circle_outline
remove_circle_outline
remove_circle_outline
remove_circle_outline
remove_circle_outline

Journals

Article Types

Countries / Regions

Search Results (25)

Search Parameters:
Keywords = rockrose

Order results
Result details
Results per page
Select all
Export citation of selected articles as:
19 pages, 22244 KB  
Article
Salicylic Acid Mitigates Lead-Induced Stress in the Endangered Shrub Cistus heterophyllus subsp. carthaginensis
by Antonio López-Orenes, María A. Ferrer and Antonio A. Calderón
Agronomy 2025, 15(12), 2792; https://doi.org/10.3390/agronomy15122792 - 3 Dec 2025
Viewed by 373
Abstract
Lead (Pb) contamination severely threatens plant health and biodiversity, particularly in mining-affected ecosystems. The phytohormone, salicylic acid (SA), plays a crucial role in regulating plant stress responses. Here, the effect of SA supplementation on the in vitro response of Cistus heterophyllus subsp. carthaginensis [...] Read more.
Lead (Pb) contamination severely threatens plant health and biodiversity, particularly in mining-affected ecosystems. The phytohormone, salicylic acid (SA), plays a crucial role in regulating plant stress responses. Here, the effect of SA supplementation on the in vitro response of Cistus heterophyllus subsp. carthaginensis, a critically endangered Mediterranean shrub, to Pb stress (50 μM Pb(NO3)2) was evaluated. SA dose pretreatment (100 μM) was selected based on phenolic accumulation in leaf tissues. Physiological and biochemical parameters—including mineral content, photosynthetic performance, total phenolics, and antioxidant activity—were quantitatively analyzed. SA pretreatment markedly reduced Pb accumulation (25%) while promoting Fe (73%), K (29%), and Mn (15%) uptake. It also alleviated Pb-induced photosynthetic impairment, preserved chloroplast integrity, increased chlorophyll content, and reduced the accumulation of lipid peroxidation products. Furthermore, SA promoted the accumulation of phenolic compounds—such as flavonoids, (+)-catechin, gallic acid, and hydroxycinnamic acid derivatives—in Pb-treated shoots, resulting in increased antioxidant capacity, as reflected by DPPH and FRAP assays, and protection against lipid autooxidation. However, no differential effect of SA pretreatment on DNA protection against oxidative damage was observed. Overall, SA acted as an effective priming agent, maintaining mineral homeostasis, photosynthetic stability, and antioxidant defense under Pb stress. These findings highlight its potential for enhancing plant resilience to Pb toxicity and for supporting the conservation and reintroduction of C. heterophyllus in contaminated habitats. Full article
(This article belongs to the Section Plant-Crop Biology and Biochemistry)
Show Figures

Figure 1

36 pages, 8056 KB  
Review
Cistus ladanifer L.: Essential Oils, Volatiles, By-Products, and Their Biological Properties
by Custódia Gago, Boulanouar Bakchiche, Tahar Djekhioua and Maria da Graça Miguel
Molecules 2025, 30(22), 4425; https://doi.org/10.3390/molecules30224425 - 16 Nov 2025
Viewed by 701
Abstract
Cistus ladanifer L., commonly known as gum rockrose, is a Mediterranean shrub of growing interest due to its valuable essential oils (EOs) and labdanum resin. This review synthesizes current knowledge on the chemical composition and biological activities of EOs and hydrolates from C. [...] Read more.
Cistus ladanifer L., commonly known as gum rockrose, is a Mediterranean shrub of growing interest due to its valuable essential oils (EOs) and labdanum resin. This review synthesizes current knowledge on the chemical composition and biological activities of EOs and hydrolates from C. ladanifer across Mediterranean regions, with particular emphasis on Spain, Portugal, Morocco, and France. α-Pinene, viridiflorol, and camphene were found to be the major constituents in the EOs with antioxidant and antimicrobial properties. Additionally, the identified biological properties have prompted studies exploring innovative strategies such as nanoparticle encapsulation, the development of bioactive films, and the incorporation of EOs into food and pharmaceutical packaging. By-products from EO distillation, including lignocellulosic residues, the extraction of phenolic-rich compounds, and hydrolates, have shown potential for value-added applications. Altogether, C. ladanifer represents a versatile species with possible applications in cosmetics, pharmaceutical development, and the food industry. Full article
Show Figures

Graphical abstract

13 pages, 7776 KB  
Communication
Moisture Content Vegetation Seasonal Variability Based on a Multiscale Remote Sensing Approach
by Filippe L. M. Santos, Gonçalo Rodrigues, Miguel Potes, Flavio T. Couto, Maria João Costa, Susana Dias, Maria José Monteiro, Nuno de Almeida Ribeiro and Rui Salgado
Remote Sens. 2024, 16(23), 4434; https://doi.org/10.3390/rs16234434 - 27 Nov 2024
Cited by 2 | Viewed by 1830
Abstract
Water content is one of the most critical characteristics in plant physiological development. Therefore, this information is a crucial factor in determining the water stress conditions of vegetation, which is essential for assessing the wildfire risk and land management decision-making. Remote sensing can [...] Read more.
Water content is one of the most critical characteristics in plant physiological development. Therefore, this information is a crucial factor in determining the water stress conditions of vegetation, which is essential for assessing the wildfire risk and land management decision-making. Remote sensing can be vital for obtaining information over large, limited access areas with global coverage. This is important since conventional techniques for collecting vegetation water content are expensive, time-consuming, and spatially limited. This work aims to evaluate the vegetation live fuel moisture content (LFMC) seasonal variability using a multiscale remote sensing approach, particularly on rockroses, the Cistus ladanifer species, a Western Mediterranean basin native species with wide spatial distribution, over the Herdade da Mitra at the University of Évora, Portugal. This work used four dataset sources, collected monthly between June 2022 and July 2023: (i) Vegetation samples used to calculate the LFMC; (ii) Vegetation reflectance spectral signature using the portable spectroradiometer FieldSpec HandHeld-2 (HH2); (iii) Multispectral optical imagery obtained from the Multispectral Instrument (MSI) sensor onboard the Sentinel-2 satellite; and (iv) Multispectral optical imagery derived from a camera onboard an Unmanned Aerial Vehicle Phantom 4 Multispectral (P4M). Several temporal analyses were performed based on datasets from different sensors and on their intercomparison. Furthermore, the Random Forest (RF) classifier, a machine learning model, was used to estimate the LFMC considering each sensor approach. MSI sensor presented the best results (R2 = 0.94) due to the presence of bands on the Short-Wave Infrared Imagery region. However, despite having information only in the Visible and Near Infrared spectral regions, the HH2 presents promising results (R2 = 0.86). This suggests that by combining these spectral regions with a RF classifier, it is possible to effectively estimate the LFMC. This work shows how different spatial scales, from remote sensing observations, affect the LFMC estimation through machine learning techniques. Full article
Show Figures

Figure 1

13 pages, 1177 KB  
Article
An In Vitro Study on the Antioxidant Properties of Cistus incanus Extracts
by Małgorzata Olszowy-Tomczyk and Dorota Wianowska
Agriculture 2024, 14(9), 1559; https://doi.org/10.3390/agriculture14091559 - 9 Sep 2024
Cited by 1 | Viewed by 3538
Abstract
This paper concerns the evaluation of the antioxidant activity (AA) of extracts obtained from cistus herbs grown in Albania and Turkey. The extracts were prepared in a Soxhlet apparatus, as well as by the maceration and infusion methods, similar to the home method [...] Read more.
This paper concerns the evaluation of the antioxidant activity (AA) of extracts obtained from cistus herbs grown in Albania and Turkey. The extracts were prepared in a Soxhlet apparatus, as well as by the maceration and infusion methods, similar to the home method of preparing herbal teas. AA was determined using the DPPH (2,2′-diphenyl-1-picrylhydrazyl), ABTS (2,2′-azino-bis(3-ethylbenzothiazoline-6-sulfonic acid), FRAP (ferric reducing antioxidant power) and β-carotene methods. It was proven that the AA of extracts depends not only on the extraction technique and AA assessment method but also on the place of plant cultivation. The smallest activity was determined using the β-carotene bleaching method, while the highest values were obtained using the FRAP method. On the other hand, the ABTS method showed a greater activity of the Albanian herb prepared using the Soxhlet technique. In addition, the antioxidant properties of extracts were compared with those of rutin standard solutions, showing that this characteristic component of cistus is not the only one that determines AA of extracts. As a result, the rutin content is not an indicator of the antioxidant properties of extracts. The other polyphenolic compounds, although occurring at lower concentration levels compared to rutin, modify the resultant AA of extracts. These studies confirmed the biological activity of cistus as a valuable source of polyphenolic compounds in the human diet. Full article
(This article belongs to the Special Issue Natural Products: Phytochemical Extraction, Analysis and Application)
Show Figures

Figure 1

17 pages, 2409 KB  
Article
Effects of Different Media and Their Strengths in In Vitro Culture of Three Different Cistus creticus L. Populations and Their Genetic Assessment Using Simple Sequence Repeat Molecular Markers
by Kostas Ioannidis and Polyxeni Koropouli
Horticulturae 2024, 10(1), 104; https://doi.org/10.3390/horticulturae10010104 - 22 Jan 2024
Cited by 5 | Viewed by 2587
Abstract
Cistus creticus L. (rockrose), a species of ecological and medicinal significance, constitutes a valuable component of the Mediterranean ecosystem. The present study investigated the effect of the inorganic salt concentration of Murashige and Skoog medium (MS), woody plant medium (WPM), and Driver and [...] Read more.
Cistus creticus L. (rockrose), a species of ecological and medicinal significance, constitutes a valuable component of the Mediterranean ecosystem. The present study investigated the effect of the inorganic salt concentration of Murashige and Skoog medium (MS), woody plant medium (WPM), and Driver and Kuniyaki Walnut medium (DKW) at several strengths (1/8×, 1/4×, 1/2×, 1×, and 2×) on the in vitro growth and organogenesis of rockrose. Significant interactions were observed throughout the experiments between pairs of plant origins, medium types, and strengths, and we also examined the extent to which they affected the studied traits was examined. The types of nutrient medium affected all studied traits except shoot and root percentages. The maximum growth percentage (143.49%) was gained using full-strength WPM. The best performance in shoot percentage was obtained using MS (100%) at several strengths along with 1× WPM (100%). The topmost rooting percentage values (98.61%) were obtained using 1× WPM and 1/2× DKW. The highest number of shoots and roots were observed using full-strength MS (9.39) and half-strength WPM (6.49), respectively. The maximum values for shoot and root length were achieved using 1/2× MS (0.78 cm) and 1/8× WPM (1.55 cm), respectively. The origin of the plant material did not influence any studied trait. Moreover, the genetic relations among the populations used in the in vitro culture were assessed using simple sequence repeats (SSR) markers. Twenty-eight alleles were identified across all five STR loci. The different and effective alleles per locus were 5.60 and 4.72, respectively. The average observed and expected heterozygosity was estimated at 0.52 and 0.72, respectively. Shannon’s information index and the inbreeding coefficient (F) were assessed at 1.48 and 0.30, respectively, revealing a narrow genetic base and high genetic similarity among origins, suggesting that they belong to the same population. Full article
(This article belongs to the Special Issue Seed Germination and Micropropagation of Ornamental Plants)
Show Figures

Figure 1

17 pages, 5607 KB  
Article
The Influence of the Long-Term Outdoor Storage of Rockrose (Cistus laurifolius L.) Shrub Biomass on Biofuel’s Quality, Pre-Treatment and Combustion Processes
by Raquel Bados, Irene Mediavilla, Eduardo Tolosana, Elena Borjabad, Raquel Ramos, Miguel José Fernández, Paloma Pérez and Luis Saúl Esteban
Biology 2023, 12(11), 1451; https://doi.org/10.3390/biology12111451 - 19 Nov 2023
Cited by 6 | Viewed by 2187
Abstract
Biomass storage is an essential requirement in the supply chain of bio-refineries and power plants. This research aims to evaluate the influence of long-term outdoor storage (1 year) of baled rockrose (Cistus laurifolius L.) shrub biomass on biofuel’s quality, pre-treatment processes and [...] Read more.
Biomass storage is an essential requirement in the supply chain of bio-refineries and power plants. This research aims to evaluate the influence of long-term outdoor storage (1 year) of baled rockrose (Cistus laurifolius L.) shrub biomass on biofuel’s quality, pre-treatment processes and on combustion emissions in an industrial boiler. The raw material was obtained from different rockrose shrublands in north central Spain. A total of 233 tWM (tones of wet matter) of biomass were used to produce biofuels (30 mm of milled biomass and Ø 8 mm pellets) in the pre-treatment pilot plants at CEDER-CIEMAT. The combustion tests were conducted in an industrial moving grate boiler with a thermal power of 50 MWth, in a 17 MWe power plant. Outdoor storage improved some biofuel quality parameters, mainly the reduction in ash content, which allowed 30 mm of milled material to be classified as class I1 (ISO 17225-9:2022) and pellets as class I3 (ISO 17225-2-2021). No significant differences were observed in the total specific mass flow and energy consumption in the pre-treatment processes. The combustion tests had similar results, with the emissions being below the limits established in the directive (EU) 2015/2193. The results obtained indicated that the 1-year outdoor storage of rockrose-baled biomass, under Mediterranean conditions, was feasible for its subsequent use as biofuel. Full article
(This article belongs to the Section Biotechnology)
Show Figures

Figure 1

9 pages, 258 KB  
Communication
A Pilot Study on the Glucose-Lowering Effects of a Nutritional Supplement in People with Prediabetes
by Thrasyvoulos Bemplidakis, Ioanna Eleftheriadou, Ourania Kosta, Konstantinos Tentolouris, Ioanna Anastasiou, Christina Agelaki, Dimitrios Lamprinos, Anastasia Papaioannou, Ioanna Kolovou, Vasiliki Kouka, Magdalini Bristianou, Leonidas Lanaras and Nikolaos Tentolouris
Diabetology 2023, 4(4), 418-426; https://doi.org/10.3390/diabetology4040035 - 29 Sep 2023
Viewed by 6164
Abstract
Background and Objectives: Prediabetes is associated with a high risk of developing diabetes and cardiovascular disease. Early treatment with exercise and dietary interventions can reduce the progression of prediabetes to diabetes or even lead to a return of glucose levels to normal. The [...] Read more.
Background and Objectives: Prediabetes is associated with a high risk of developing diabetes and cardiovascular disease. Early treatment with exercise and dietary interventions can reduce the progression of prediabetes to diabetes or even lead to a return of glucose levels to normal. The aim of the study was to evaluate the effect of a dietary supplement with Portulaca oleracea and titrated Cistus creticus extract on the glycemic profile of people with prediabetes. Materials and Methods: Participants were assigned to a dietary supplement with Portulaca oleracea and titrated Cistus creticus extract, along with vitamins and minerals, received once daily for 90 days. Demographics and medical history were obtained, and a complete clinical examination, measurement of somatometric characteristics, and laboratory parameters were performed at baseline. The measurement of somatometric characteristics and laboratory tests were repeated at the end of the study. Results: A total of 26 people with prediabetes participated, 11 females and 15 males. There was a tendency for a decrease in HbA1c after intervention [baseline: 5.9 (5.7–6.1)%; at the end of the study: 5.7 (5.7–6.0)%, p = 0.062] and a significant decrease in fasting glucose levels (from 110.8 ± 7.0 mg/dL to 103.9 ± 10.3, p = 0.005). Fasting insulin and homeostasis model assessment of insulin resistance (HOMA-IR) decreased significantly [baseline fasting insulin: 20.7 (9.3–34.20) μU/mL; at the end of the study: 15.1 (8.6–19.0) μU/mL, p = 0.028; baseline HOMA-IR: 3.6 (2.5–8.9); at the end of the study: 3.5 (2.0–4.6), p = 0.035]. Significant reductions were observed in alkaline phosphatase and uric acid levels. No significant change was observed in body weight, body mass index, or waist circumference after the intervention. No treatment-emergent adverse events were observed, and all participants completed the study. Conclusions: The dietary supplement from Portulaca oleracea and titrated Cistus creticus extract, along with vitamins and minerals, may improve the metabolic profile of people with prediabetes. Full article
(This article belongs to the Special Issue Exclusive Papers Collection of Editorial Board Members in Diabetology)
13 pages, 2615 KB  
Article
Development of a Fuel Model for Cistus spp. and Testing Its Fire Behavior Prediction Performance
by Miltiadis Athanasiou, Aristotelis Martinis, Evangelia Korakaki and Evangelia V. Avramidou
Fire 2023, 6(7), 247; https://doi.org/10.3390/fire6070247 - 25 Jun 2023
Cited by 3 | Viewed by 2210
Abstract
This paper presents the development of a fuel model that can describe fuel situations in areas dominated by Cistus spp. (rockrose) in Greece. In order to obtain the necessary fuel data, thirty (30) 1 m2 plots were destructively sampled in phryganic areas [...] Read more.
This paper presents the development of a fuel model that can describe fuel situations in areas dominated by Cistus spp. (rockrose) in Greece. In order to obtain the necessary fuel data, thirty (30) 1 m2 plots were destructively sampled in phryganic areas dominated by Cistus creticus, Cistus parviflorus, and Cistus salvifolius in western Greece. To develop the fuel model for Cistus spp., field measurements were supplemented with published parameter values for Cistus salvifolius. The resulting fuel model (with a height of 9.44 cm) is suitable for describing Cistus spp.-dominated phryganic areas of relatively low vegetation height in southeastern Europe. Once developed, the fuel model was inputted into the BehavePlus system to produce surface fire rate of spread predictions (ROSpred, m·min−1), which were then compared to 21 surface fire ROS field observations (ROSobs) obtained from wildfires or prescribed burns in areas covered by Cistus spp. It was found that the ROS for the Cistus spp. fuel model significantly underpredicted the actual ROS. A statistically significant linear regression equation was developed to mathematically describe the relationship between the predicted and observed ROS. This equation can be used to adjust BehavePlus predictions to more accurately reflect the real-world fire behavior for this fuel type. Full article
Show Figures

Figure 1

14 pages, 1821 KB  
Article
Effects of Shrub Encroachment on Carbon Assimilation and Growth of Mediterranean Cork Oak Trees Depend on Shrub Cover Density
by Raquel Lobo-do-Vale, Simon Haberstroh, Christiane Werner, Carla Nogueira, Miguel Nuno Bugalho and Maria Conceição Caldeira
Forests 2023, 14(5), 960; https://doi.org/10.3390/f14050960 - 6 May 2023
Cited by 2 | Viewed by 2159
Abstract
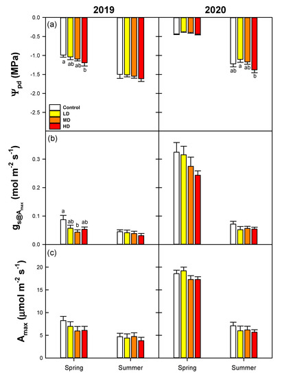
Mediterranean ecosystems are threatened by climate change and shrub encroachment. An increase in shrub cover can intensify the competition for water, aggravating the impacts of drought on ecosystem functioning. The effects of shrubs can be positive or negative, depending on the shrub species [...] Read more.
Mediterranean ecosystems are threatened by climate change and shrub encroachment. An increase in shrub cover can intensify the competition for water, aggravating the impacts of drought on ecosystem functioning. The effects of shrubs can be positive or negative, depending on the shrub species and density. We used a Mediterranean cork oak (Quercus suber) woodland to investigate the effects of increasing gum rockrose (Cistus ladanifer) cover on leaf carbon assimilation (Amax) and tree growth. The experiment consisted of a gradient of shrub cover, with four treatments: control, LD, MD, and HD, with 0%, 25%, 45%, and maximum shrub cover (>90%), respectively. Increasing shrub cover significantly decreased Amax in trees from HD (−15%) compared to control treatment, with intermediate effects on trees from LD (−5%) and MD (−12%). There was a large variability in tree growth, resulting in no significant effects of shrub cover, despite higher trunk diameter relative increments in LD (+40%), and lower in MD (−17%) and HD (−32%) compared to the control. The results indicate that a dense shrub cover (>90%) affected cork oak carbon assimilation and growth, while a low-to-medium shrub cover (≤45%) only induced mild intermediate effects. This information is important for the effective management of shrub density to improve the health and productivity of cork oak woodlands. Full article
(This article belongs to the Section Forest Ecology and Management)
Show Figures

Figure 1

13 pages, 905 KB  
Article
Antifungal Effect of Autochthonous Aromatic Plant Extracts on Two Mycotoxigenic Strains of Aspergillus flavus
by Francisco Ramiro Boy, Rocío Casquete, Iris Gudiño, Almudena V. Merchán, Belén Peromingo and María José Benito
Foods 2023, 12(9), 1821; https://doi.org/10.3390/foods12091821 - 27 Apr 2023
Cited by 5 | Viewed by 2249
Abstract
This study identified the compounds obtained from four native Dehesa plants, which were holm oak, elm, blackberry and white rockrose, and evaluated their ability to inhibit the growth and production of aflatoxins B1 and B2 of two strains of mycotoxigenic Aspergillus [...] Read more.
This study identified the compounds obtained from four native Dehesa plants, which were holm oak, elm, blackberry and white rockrose, and evaluated their ability to inhibit the growth and production of aflatoxins B1 and B2 of two strains of mycotoxigenic Aspergillus flavus. For this purpose, phenolic compounds present in the leaves and flowers of the plants were extracted and identified, and subsequently, the effect on the growth of A. flavus, aflatoxin production and the expression of a gene related to its synthesis were studied. Cistus albidus was the plant with the highest concentration of phenolic compounds, followed by Quercus ilex. Phenolic acids and flavonoids were mainly identified, and there was great variability among plant extracts in terms of the type and quantity of compounds. Concentrated and diluted extracts were used for each individual plant. The influence on mold growth was not very significant for any of the extracts. However, those obtained from plants of the genus Quercus ilex, followed by Ulmus sp., were very useful for inhibiting the production of aflatoxin B1 and B2 produced by the two strains of A. flavus. Expression studies of the gene involved in the aflatoxin synthesis pathway did not prove to be effective. The results indicated that using these new natural antifungal compounds from the Dehesa for aflatoxin production inhibition would be desirable, promoting respect for the environment by avoiding the use of chemical fungicides. However, further studies are needed to determine whether the specific phenolic compounds responsible for the antifungal activity of Quercus ilex and Ulmus sp. produce the antifungal activity in pure form, as well as to verify the action mechanism of these compounds. Full article
(This article belongs to the Section Food Security and Sustainability)
Show Figures

Figure 1

14 pages, 1161 KB  
Article
Shrub Invasion Overrides the Effect of Imposed Drought on the Photosynthetic Capacity and Physiological Responses of Mediterranean Cork Oak Trees
by Raquel Lobo-do-Vale, Teresa Rafael, Simon Haberstroh, Christiane Werner and Maria Conceição Caldeira
Plants 2023, 12(8), 1636; https://doi.org/10.3390/plants12081636 - 13 Apr 2023
Cited by 6 | Viewed by 2059
Abstract
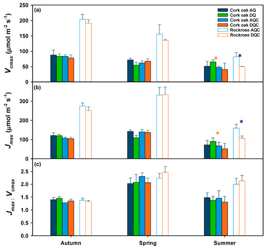
Mediterranean ecosystems face threats from both climate change and shrub invasion. As shrub cover increases, competition for water intensifies, exacerbating the negative effects of drought on ecosystem functioning. However, research into the combined effects of drought and shrub invasion on tree carbon assimilation [...] Read more.
Mediterranean ecosystems face threats from both climate change and shrub invasion. As shrub cover increases, competition for water intensifies, exacerbating the negative effects of drought on ecosystem functioning. However, research into the combined effects of drought and shrub invasion on tree carbon assimilation has been limited. We used a Mediterranean cork oak (Quercus suber) woodland to investigate the effects of drought and shrub invasion by gum rockrose (Cistus ladanifer) on cork oak carbon assimilation and photosynthetic capacity. We established a factorial experiment of imposed drought (ambient and rain exclusion) and shrub invasion (invaded and non-invaded) and measured leaf water potential, stomatal conductance and photosynthesis as well as photosynthetic capacity in cork oak and gum rockrose over one year. We observed distinct detrimental effects of gum rockrose shrub invasion on the physiological responses of cork oak trees throughout the study period. Despite the imposed drought, the impact of shrub invasion was more pronounced, resulting in significant photosynthetic capacity reduction of 57% during summer. Stomatal and non-stomatal limitations were observed under moderate drought in both species. Our findings provide significant knowledge on the impact of gum rockrose invasion on the functioning of cork oak and can be used to improve the representation of photosynthesis in terrestrial biosphere models. Full article
(This article belongs to the Section Plant Ecology)
Show Figures

Figure 1

13 pages, 982 KB  
Article
Rockrose Land Management: Contribution of Periodic Harvesting to Increase Value and to Control Cistus ladanifer L. Shrublands
by David Franco Frazão, José Carlos Gonçalves, Amélia M. Silva and Fernanda Delgado
Forests 2023, 14(3), 638; https://doi.org/10.3390/f14030638 - 21 Mar 2023
Cited by 1 | Viewed by 2950
Abstract
Cistus ladanifer L. (Cistaceae) occupies extensive areas as a dominant species (shrublands) or is associated to other major forest typologies in the Iberian Peninsula. Cistus ladanifer shrublands are mostly present in oligotrophic lands with little valorisation and management and as they develop over [...] Read more.
Cistus ladanifer L. (Cistaceae) occupies extensive areas as a dominant species (shrublands) or is associated to other major forest typologies in the Iberian Peninsula. Cistus ladanifer shrublands are mostly present in oligotrophic lands with little valorisation and management and as they develop over the years (up to 20-years-old) they promote the ignition and perpetuation of fire. To contribute to the proper management and valorisation of such systems, a 5-year-old dense shrubland was evaluated for its labdanum resin, seeds, and biomass productivity using different non-destructive harvest periodicities (annual and biennial) and seasons (early, mid-, and late summer), in a two-year case-study. Annual harvest modality maximized labdanum resin productivity (reaching 230 ± 50 kg∙ha−1∙2 years−1 at late summer) and photosynthetic biomass productivity. In contrast, a biennial harvest yielded significant amounts of more diversified products. It maximized seeds productivity (reaching 75 ± 41 kg∙ha−1∙2 years−1 independently of the summer season) and lignified biomass. However, it also reached a labdanum resin productivity of 134 ± 20 kg∙ha−1∙2 yearrs−1 at late summer and a photosynthetic biomass productivity around two times lower than the annual harvest. In this study, we propose two modalities of periodic harvest to be considered as proper long cycle management practices of rockrose lands. It intends to minimize fire risks, break the vegetation auto-succession mechanism, and increase profit from non-productive lands based on three direct outputs with a myriad of applications and valorisation pathways. Full article
Show Figures

Figure 1

25 pages, 7310 KB  
Article
Proposal of a Gas Sensor-Based Device for Detecting Adulteration in Essential Oil of Cistus ladanifer
by Sandra Viciano-Tudela, Sandra Sendra, Lorena Parra, Jose M. Jimenez and Jaime Lloret
Sustainability 2023, 15(4), 3357; https://doi.org/10.3390/su15043357 - 12 Feb 2023
Cited by 28 | Viewed by 4468
Abstract
Essential oils are a valuable raw material for several industries. Low-cost methods cannot detect its adulteration; specialised equipment is required. In this paper, we proposed the use of gas sensors to detect the adulteration process in the essential oil of Cistus ladanifer. [...] Read more.
Essential oils are a valuable raw material for several industries. Low-cost methods cannot detect its adulteration; specialised equipment is required. In this paper, we proposed the use of gas sensors to detect the adulteration process in the essential oil of Cistus ladanifer. Gas sensors are used in a measuring chamber to measure pure and adulterated oils. We compare the suitability of the tested sensors for detecting adulterated oil and the required measuring time. A total of five samples are determined, with a measuring time of 12 h. Each gas sensor is configured to be sensitive to different compounds. Even though sensors are not specific to detect the volatile organic compounds (VOCs) present in the essential oil, our objective is to evaluate if these VOCs might interact with the sensors as an interferent. Results indicate that various gas sensors sensitive to the same chemical compound offered different values. It might indicate that the interaction of VOCs is different among the tested sensors or that the location of the sensors and the heterogeneous distribution of VOCs along the measurement chamber impact the data. Regarding the performed analyses, we can affirm that identifying the adulterated essential oil is possible using the generated data. Moreover, the results suggest that most of the data, even for different compounds and sensors, are highly correlated, allowing a reduction in the studied variables. According to the high correlation, data are reduced, and 100% of correct classification can be obtained even when only the MQ3 and MQ8 are used. Full article
(This article belongs to the Special Issue Green Technology and Sustainable Development)
Show Figures

Figure 1

24 pages, 2242 KB  
Review
Cistus ladanifer as a Potential Feedstock for Biorefineries: A Review
by Júnia Alves-Ferreira, Luís C. Duarte, Maria C. Fernandes, Helena Pereira and Florbela Carvalheiro
Energies 2023, 16(1), 391; https://doi.org/10.3390/en16010391 - 29 Dec 2022
Cited by 4 | Viewed by 4756
Abstract
Cistus ladanifer (rockrose) is a widespread shrub species in the Mediterranean region well known due to its production of labdanum gum, especially in the hot season. Its leaves and branches can be subjected to different extraction and distillation processes to produce various types [...] Read more.
Cistus ladanifer (rockrose) is a widespread shrub species in the Mediterranean region well known due to its production of labdanum gum, especially in the hot season. Its leaves and branches can be subjected to different extraction and distillation processes to produce various types of extracts. The natural extracts of C. ladanifer have several applications, especially in the perfumery and cosmetics sector. C. ladanifer extracts, in addition to presenting interesting odoriferous properties, are also known for their bioactive properties, such as antioxidant and antimicrobial. Use of this species in animal feed or phytostabilisation of mining areas has also been successfully applied. On the other hand, the lignin and polysaccharides that are the major fractions from Cistus residues can be relevant sources of high-value products in a biorefinery framework. Recently, it has been reported that the residues obtained from the essential oil industry can sustain production of significant amounts of other marketable products, namely phenolic compounds, oligomeric and monomeric sugars, lignin, and lactic acid. All these applications show the potential of C. ladanifer as a raw material to be fully valued in a biorefinery context, contributing to important revenues and generating an associated marketable biobased product portfolio. Full article
(This article belongs to the Section A4: Bio-Energy)
Show Figures

Figure 1

18 pages, 2916 KB  
Article
Changes in Vitellogenin (Vg) and Stress Protein (HSP 70) in Honey Bee (Apis mellifera anatoliaca) Groups under Different Diets Linked with Physico-Chemical, Antioxidant and Fatty and Amino Acid Profiles
by Aybike Sarioğlu-Bozkurt, Erkan Topal, Nazmiye Güneş, Engin Üçeş, Mihaiela Cornea-Cipcigan, İlknur Coşkun, Lucian Cuibus and Rodica Mărgăoan
Insects 2022, 13(11), 985; https://doi.org/10.3390/insects13110985 - 26 Oct 2022
Cited by 19 | Viewed by 5186
Abstract
Honey bee colonies are often subjected to diseases, nutrition quality, temperature and other stresses depending on environmental and climatic conditions. As a result of malnutrition, the level of Vg protein decreases, leading to overwintering losses. The Vg values must be high for a [...] Read more.
Honey bee colonies are often subjected to diseases, nutrition quality, temperature and other stresses depending on environmental and climatic conditions. As a result of malnutrition, the level of Vg protein decreases, leading to overwintering losses. The Vg values must be high for a successful wintering, especially before wintering. If good nutrition is not reached, the long winter period may cause an increase in colony losses. Supplementary feeding is essential for colony sustainability when floral resources are insufficient, as in recent years with the emerging climate changes. Furthermore, quality food sources or nutrients are significant for maintaining honey bee health and longevity. This study examined the changes in HSP 70 and Vg proteins in 6 groups of 48 colonies fed with five different nutrients. The fatty acids that are present in the highest amount in Cistus creticus (Pink rock-rose), Papaver somniferum (Opium poppy) and mixed pollen samples were linoleic, palmitic and cis-9-oleic acids. The highest values in proline, lysine and glutamic acid were determined in C. creticus pollen. Regarding the P. somniferum pollen, the highest values were observed in lysine, proline, glutamic and aspartic acids. The highest values in lysine, proline, leucine and aspartic acid were noticed in mixed pollen. The effect of different feeding on Vg protein in nurse and forager bee samples was higher in the mixed pollen group in the fall period. In nurse bees, the mixed pollen group was followed by Cistus creticus pollen > Papaver somniferum pollen > sugar syrup > commercial bee cake > control group, respectively (p < 0.05). In forager bees, the order was mixed pollen, P. somniferum pollen, C. creticus pollen, commercial bee cake, sugar syrup and control. In the early spring period, the Vg levels were high in the mixed pollen group in the nurse bees and the commercial bee cake group in the forager bees. In the fall period, the HSP 70 value of the forager and nurse bees was the lowest in the C. creticus group (p < 0.05). In early spring, the active period of flora, a statistical difference was found between the treatment groups. Full article
(This article belongs to the Special Issue Losses of Honey Bee Colonies across the World)
Show Figures

Figure 1

Back to TopTop