Abstract
This paper concerns the evaluation of the antioxidant activity (AA) of extracts obtained from cistus herbs grown in Albania and Turkey. The extracts were prepared in a Soxhlet apparatus, as well as by the maceration and infusion methods, similar to the home method of preparing herbal teas. AA was determined using the DPPH (2,2′-diphenyl-1-picrylhydrazyl), ABTS (2,2′-azino-bis(3-ethylbenzothiazoline-6-sulfonic acid), FRAP (ferric reducing antioxidant power) and β-carotene methods. It was proven that the AA of extracts depends not only on the extraction technique and AA assessment method but also on the place of plant cultivation. The smallest activity was determined using the β-carotene bleaching method, while the highest values were obtained using the FRAP method. On the other hand, the ABTS method showed a greater activity of the Albanian herb prepared using the Soxhlet technique. In addition, the antioxidant properties of extracts were compared with those of rutin standard solutions, showing that this characteristic component of cistus is not the only one that determines AA of extracts. As a result, the rutin content is not an indicator of the antioxidant properties of extracts. The other polyphenolic compounds, although occurring at lower concentration levels compared to rutin, modify the resultant AA of extracts. These studies confirmed the biological activity of cistus as a valuable source of polyphenolic compounds in the human diet.
1. Introduction
Life appeared on the Earth about 5 billion years ago []. Initially, it developed in water, but gradually, organisms gained new features that enabled them to live on land. One of these features was the ability to breathe aerobically [,]. Unfortunately, the price that humans pay for the possibility to use oxygen is living among a large amount of reactive oxygen species (ROSs) []. The effect of ROSs on the body is ambivalent: in physiological concentrations, they are responsible for the proper course of many processes in the body, and they have a positive effect on its functioning, while in higher concentrations, they show pathological effects. The negative effects of ROSs in cells include, among others, the damage of nucleic acids, lipid peroxidation (especially phospholipids that are components of cell membranes) and protein oxidation. Changes in the structure of cellular components prevent their proper functioning which can have serious consequences for the body, leading to many dangerous diseases (cancers, respiratory diseases, neurodegenerative diseases, digestive system diseases) [,]. Compounds generally referred to as antioxidants help in the fight against ROSs [,]. It is therefore not surprising that currently, research aimed at searching for new sources of effective and safe antioxidants for humans is leading in the world. Hence, there is a growing interest in antioxidants of plant origin []. Among them, herbs that have been used for centuries to produce various types of medicinal infusion applied not only in folk medicine but also in classical medicine are very popular [,,].
Cistus incanus L. (rockrose) is a plant with many extraordinary medicinal properties known in many parts of the world since ancient times [,,,]. For example, in the Middle East, Africa and the Canary Islands, it has been used as an infusion since the 4th century BC. In Andalusia, to emphasize health-promoting properties, it has long been called “the tears of Christ”. As a result, at present, owing to its established position as a medicinal herb, it has gained so much popularity that it is one of the most commonly used herbs. This plant is a rich source of polyphenols, including flavonoids (such as rutin, myricetin, quercetin and catechins) and polyphenolic acids (such as, for example, gallic or protocatechuic acids). In addition, it contains other organic acids (such as ascorbic acid, quinic acid, succinic acid, syringic acid or salicylic acid), alkaloids, nicotinamide and nicotinic acid, as well as essential oils [,]. All these compounds give it strong anti-inflammatory properties. As a result, cistus is valued for its ability to support the immune system. It is also believed to have antiviral and antibacterial properties and help fight infections [,]. The regular consumption of cistus leaf infusions can help fight colds, flu and inflammation. Moreover, currently, cistus preparations (especially Cistus incanus) are recommended by the European Food Safety Authority (EFSA) as natural products that provide humans with compounds with beneficial health-promoting effects, including compounds with antioxidant properties [].
Considering the above, the main aim of the research presented in this paper was to determine the antioxidant properties of extracts obtained from the Cistus incanus herb of various geographical origins. The studies used popular spectrophotometric methods, in which different types of antioxidant activity were determined. In the ABTS and DPPH methods, the ability to scavenge colour radicals is determined. In the FRAP method, the ability to reduce metal ions is tested, while in the β-carotene bleaching method, the ability to protect the model molecule (β-carotene) from oxidation is determined. Additionally, it was decided to examine the influence of the sample preparation method on the content of active ingredients and, consequently, on the antioxidant properties of the extract. This is particularly important because research is being carried out all over the world aimed at developing not only an appropriate method for determining active substances from various materials but also an effective method for their isolation. In addition to the above-mentioned goals, it was also decided to examine how the antioxidant properties of the extract are influenced by one of its main components, namely rutin. For this purpose, the antioxidant properties of both different extracts and solutions of rutin were studied. In order to find out whether rutin is responsible for the properties of the extract, its solutions contained the same amount of rutin as in a given extract. Relating the antioxidant properties of the whole extract to the properties of one of the main components of the extract is a novelty in a seemingly well-known topic concerning cistus research.
2. Materials and Methods
2.1. Chemicals and Materials
β-carotene, 2,2′-azinobis(3-ethylbenzothiazoline-6-sulfonic acid) diammonium salt (ABTS), 2,2′-Diphenyl-1-picrylhydrazyl (DPPH), 2,4,6-tri(2-pyridyl)-s-triazine (TPTZ), potassium persulfate (di-potassium peroxdisulfate), quercetin 3-O-rutinoside (rutin) and Tween 20 were purchased from Sigma Aldrich (Poznań, Poland). Acetic acid, acetonitrile (Super Gradient), chloroform, hydrochloric acid (HCl) 37%, iron (III) chloride hexahydrate (FeCl3·6H2O), linoleic acid, methanol, ortho phosphoric acid and sodium acetate were provided by the Polish Chemical Plant POCh (Gliwice, Poland). Water was purified using a Milli-Q system from Millipore (Millipore, Bedford, MA, USA).
The leaves of Cistus incanus L. were purchased from a local store (Lublin, Poland) with the assurance that they came from different geographical regions. Cistus grown in Albania and Turkey was used in this study. In the first case, these were coarsely ground leaves in a loose form (not enclosed in sachets) (designated as I). In the second case, these were express sachets (designated as II) and ground leaves in a loose form (designated as III). According to the manufacturer’s declaration on the packaging, in each case, the package contained only dried and ground cistus herbs. A sufficiently large representative sample of the plant material (approx. 250 g) was ground and sieved to obtain a homogeneous portion of material with a particle diameter of approximately 0.4 mm. In the case of sachets, in order to obtain the herb itself, the sachets were cut open with scissors, and the plant material was poured out and combined. Then, after thoroughly mixing the obtained herb, precisely weighed portions of the material were used for extractions.
2.2. Preparation of Extracts
In order to prepare solutions for testing antioxidant properties, the plant material was pre-treated. Various solid–liquid extraction methods were used for this purpose.
2.2.1. Extraction in the Soxhlet Apparatus
Exhaustive extractions in the Soxhlet apparatus were performed using a 10.0 g portion of the material. Accurately weighed samples were transferred to a paper thimble. The loaded thimble was introduced into a 100 mL Soxhlet extractor and pre-moistened with methanol. A total of 70 mL of methanol was used for extraction. Extractions were performed for 1 h, including the time measured from the first siphoning of the extract. After cooling the apparatus to room temperature, the obtained extract was filtered and quantitatively transferred to a 100 mL volumetric flask, which was then filled to the full volume with methanol. The obtained extracts were diluted and subjected to chromatographic (HPLC) analysis. The final concentration used for this study was 5 mg/mL (taking into account the initial mass of the herb used for this study and subsequent dilutions).
2.2.2. Maceration
A total of 10 g of ground cistus was poured with 70 mL of water. The whole sample was closed tightly and left for a day. After this time, the extract was filtered into a clear solution and quantitatively transferred to a 100 mL volumetric flask, which was then filled to its volume with water. The obtained extracts were diluted and analyzed by HPLC.
2.2.3. Infusion
The samples of powdered cistus herb (10 g) were extracted with 70 mL of water at 70 °C for one hour. Extractions were conducted in tightly closed vessels. In the next step, the sample was filtered to separate the plant remains from the solution. The extracts were transferred into a 100 mL volumetric flask and filled up to its volume with water. The obtained extracts were diluted and analyzed.
2.3. Chromatographic Analysis
Chromatographic measurements were performed using a Dionex DX600 liquid chromatograph (Dionex Corp., Sunnyvale, CA, USA) composed of a chromatograph enclosure (LC20) with a PEEK automated injection valve equipped with a 25 µL sample loop; a gradient pump (GP50); an absorbance detector (AD25) and a photodiode array detector (PDA100). The whole chromatographic system was under the control of the PeakNet6 data acquisition system. All separations were performed at 35 °C using a Prodigy ODS-2 column (5 µm, 250 × 4.6 mm ID, Phenomenex, Torrance, CA, USA) and a pre-column from the same company. A mixture of acetonitrile (solvent B) and Milli-Q deionized water (solvent A) was used as the mobile phase. Each component of the mobile phase contained trifluoroacetic acid (0.2% v/v). In all chromatographic separations, a mobile phase flow of 1 mL/min was used. Analyses were performed using gradient elution. Chromatographic separations were started by eluting the substances for 15 min with a constant composition of the mobile phase of 85% A and 15% B (v/v); then, a linear increase in solvent B was used for 40 min to reach its final value of 65% (increase B = 2%/minutes). Detection was set at 254 nm. During the course of each run, the absorbance spectra from PDA100 (in the range 190–650 nm) were collected continuously. Qualitative analysis was performed by comparing the retention times and absorption spectra of the standards with the substances analyzed in the extracts. A calibration curve for the rutin standard solutions was made in the concentration range from 0.0025 to 0.5 mg/mL. Each extract was HPLC-analyzed three times.
2.4. Antioxidant Activity Determination
The antioxidant properties of cistus extracts were determined using the following research methods: ABTS, DPPH, FRAP and the β-carotene method. The spectrophotometric absorbance was measured by a UV Probe-2550 Spectrophotometer (Shimadzu, Kyoto, Japan). Before each measurement, all extracts were diluted in the same way so that the final extract concentration was 5 mg/mL (taking into account the initial mass of the herb used for this study and subsequent dilutions). The concentration range of rutin solutions used in this study was calculated based on the rutin content in the plant material, taking into account that the subsequent dilutions of extracts (the same dilutions as the extract) ranged from 6.6 to 43.05 μg/mL.
2.4.1. DPPH Method
Changes in the absorbance of the DPPH radical (DPPH●) measured at a wavelength of 516 nm, generated as a result of its reaction with the examined extracts, were determined according to a slightly modified procedure described in []. For this purpose, 2900 µL of a methanolic solution of the DPPH radical (A0 = 0.7 ± 0.05) was mixed with 100 µL of the examined extract or rutin solution. To zero the spectrophotometer, 2900 μL of methanol and 100 μL methanol or water were used. The percent inhibition (%I) was calculated at 60 min of reaction from the following equation:
where A60 and A0 are the absorbance values of DPPH● at times 0 and 60, respectively. Finally, the antioxidant properties were expressed in mg of Trolox per 1 g of plant. To determine this value, the dependence curves of % inhibition as a function of Trolox concentration were used. Since methanol extracts (from Soxhlet) and water extracts (infusion and maceration) were tested, calibration curves for Trolox were prepared based on these two solvents.
2.4.2. ABTS Method
Another method used to determine the antioxidant properties of the examined extracts was the method with 2,2′-azinobis(3-ethylbenzenothiazoline-6-sulfonate) (ABTS) in which the antioxidant properties were determined based on changes in the colour of the green cation radical (ABTS+●) []. In this method, a cation radical was generated during the 12 h oxidation reaction of ABTS potassium persulfate (K2S2O8). This reaction was conducted without the access of light at room temperature. Before each measurement, the obtained radical was diluted in methanol to an absorbance of approximately 0.7 AU, which was monitored at a wavelength of 744 nm. Changes in the colour of measurement solutions (from green to complete discolouration for strong antioxidants) were determined for the solutions containing 2900 μL of solution ABTS+● and 100 μL of extract or rutin solution. The percent inhibition (%I) was calculated at 60 min of reaction from the Equation (1): where A60 and A0 are the absorbance values of ABTS+● at times 0 and 60, respectively. Finally, the antioxidant properties were expressed in mg of Trolox per 1 g, as described above.
2.4.3. β-Carotene Bleaching Assay
Changes in the absorbance of β-carotene in the water emulsion were monitored at a wavelength of 470 nm, characteristic of the system of double bonds in its structure []. To prepare an emulsion of β-carotene in water, a mixture containing 25 μL of linoleic acid, 185 μL of Tween 20 (200 mg) and 5 mL of a β-carotene solution in chloroform (0.5 mg β-carotene in 1 mL of chloroform) was used. The whole sample was placed in a vacuum evaporator for chloroform evaporation. The residue was dispersed in 100 mL of distilled water and saturated with oxygen (F = 100 mL/min) for 30 min. Then, the whole content was shaken vigorously. Changes in the colour of β-carotene (from yellow to completely discoloured) were determined for the solutions containing 2900 μL of β-carotene emulsion solution in water and 100 μL of extract or rutin solution. The measurement was made at a temperature of 45 °C. A blank sample was an emulsion without β-carotene. The observed changes in absorbance in the tested samples were referred to a control sample composed of 2900 μL of β-carotene emulsion solution in water and 100 μL of water. The extract samples and the control sample were monitored during measurements in parallel. The first absorbance measurement (after mixing the components) was taken as a reading at the 0th minute of the reaction. Subsequent measurement readings were taken at regular intervals (every 10 min) until the orange colour disappeared in the control sample (up to approximately 180 min). The antioxidant properties were expressed as the % inhibition of oxidation of the tested sample relative to the control, I(%), which was calculated from the equation given below:
where DRC—the degradation rate of β-carotene in the control sample (DRC = [ln(A0/At)]/t); DRS—the degradation rate of β-carotene in the sample with the extract (DRS = [ln(A0/At)]/t); A0—the absorbance at the 0th minute; At—the absorbance at a specific time (e.g., 10, 20, … up to 180 min); t—the time.
The antioxidant properties were expressed in mg Trolox/g. To determine this value, the dependence curves of % inhibition as a function of Trolox concentration were used. For this aim, calibration curves for the aqueous and methanolic Trolox solutions were prepared.
2.4.4. FRAP Method
In the ferric reducing antioxidant power (FRAP) method, antioxidant properties are determined based on the ability of the antioxidant to reduce iron (III) ions. The FRAP test solution (FRAP reagent) was prepared by mixing the FeCl3·6H2O solution (final concentration of Fe(III) ions was 20 mM), the TPTZ solution in 40 mM HCl (final TPTZ concentration was 10 mM) and the acetate buffer solution with pH = 3.6 at a volume ratio of individual ingredients of 1:1:10.
The FRAP reagent was prepared daily just before the measurement. The essence of the method is the ability of the antioxidant to transfer an electron to the colourless Fe(III)-TPTZ complex. As a result of iron reduction, a dark blue complex is formed, and the colour of the measured solution changes. In this method, the greater the increase in absorbance, the stronger the antioxidant properties. In the experiments, absorbance was measured for the solutions containing 2900 μL of the FRAP test solution and 100 μL of extract or the rutin solution at a wavelength of 593 nm. Before the measurement, the FRAP test solution and the extract were incubated for an hour at 37 °C. A mixture containing 2900 μL of the FRAP test solution and 100 μL of water was used to zero the spectrophotometer []. The antioxidant properties were expressed in mg Trolox/g, as described above.
2.5. Determination of Polyphenolic Compounds
The total concentration of polyphenol compounds was determined using the Folin–Ciocalteu method with some modifications []. For this purpose, a portion of the extract sample (100 μL) was mixed with 1580 μL of water and 100 μL of Folin–Ciocalteu reagent. After 5 min, 300 μL of 20% w/v aqueous sodium carbonate solution was added to the mixture. The absorbance was measured at 765 nm after two hours of incubation. The results were expressed as mg of gallic acid (GAE) per gram of dry plant material. For this purpose, a calibration curve was prepared for gallic acid in the concentration range of 5–1000 mg/L. The samples were measured in triplicate.
2.6. Statistical Analysis
The extraction with each solvent and technique was repeated three times for each material. The antioxidant property measurements are presented as the mean values from five independent measurements ± standard deviation (SD). The one-way analysis of variance (ANOVA) and the Fisher coefficient (F) value were used to assess the effect of experimental factors on activity. In the studies, it was assumed that when the tabulated F value (Ftab) is smaller than the calculated F (Fcal), this indicates that the results are statistically significant. The significance of each Fisher coefficient was also confirmed using the p parameter. When the compared results differed at the significance level of p = 0.05, the values were considered significantly different. Excel (Microsoft Excel 2010) was used to perform the statistical analysis.
3. Results and Discussion
3.1. The Influence of the Sample Preparation Method on the Content of Active Ingredients
As mentioned in the Section 1, Cistus incanus is a valuable plant with many beneficial properties. It owes these properties to the secondary metabolites it contains, among which the group of polyphenolic compounds deserves special attention. Table 1 summarizes the total polyphenol content, determined by the Folin–Ciocalteu method, for three tested cistus samples grown in Albania and Turkey. Exemplary HPLC chromatograms of the tested plant extracts are shown in Figure 1.

Table 1.
The total phenolic content [mg of gallic acid/g plant] in the examined extracts.

Figure 1.
Exemplary chromatograms of the extract obtained in the Soxhlet apparatus with the marked rutin peak (labelled as *).
The data presented in Table 1 were obtained for the extracts prepared for the same ratio of the plant mass to the extractant volume by a one-day maceration of the herb at room temperature, one-hour infusion and one-hour extraction in the Soxhlet apparatus. The macerate and infusion were obtained in an aqueous medium. In turn, methanol was used in the Soxhlet method. The temperature of the water that was poured over the herb when obtaining the infusion was approximately 70 °C and was similar to that of methanol in the thimble of the Soxhlet apparatus. The macerate and infusion were obtained after a single contact of the herb with the extractant in the so-called single-cycle extraction. In turn, in the Soxhlet apparatus, continuous extraction was conducted in six extraction cycles, i.e., six gravity transfers of the extract. In the table, Roman numerals indicate the type of cistus. Thus, number I corresponds to the herb grown in Albania. Numbers II and III correspond to cistus from Turkey, where II is the herb from the disposable express sachets, and III is the herb in bulk.
As can be seen from the presented data, the content of phenolic compounds in the extracts obtained is variable. It depends not only on the type of plant and extraction method but also on the solvent used for isolation.
The type of solvent mainly determines the selectivity of the process, in accordance with the basic principle of “like dissolves like”. In this study, polar liquids were used for extraction, i.e., water and methyl alcohol (instead of ethanol, which is expensive due to excise duty), to refer the experimental conditions to aqueous and alcoholic beverages consumed by humans. Chromatographic analysis revealed that one of the main polar components of the extract is rutin (see Figure 1), the peak of which is marked with an asterisk in each of the chromatograms. Table 2 summarizes the chromatographically determined rutin content in the extracts.

Table 2.
The chromatographically determined rutin content [mg/g plant] in the examined extracts.
As shown by the data presented in Table 2, the rutin content in the extracts tested is variable and ranges from 1.32 to 8.61 mg/g. For comparison, the literature data on the content of this compound in different varieties of rockrose give its amount as ranging from 0.188 mg/g to even 14.70 mg/g [,,,]. According to the results presented in this paper, the Albanian rockrose contains the largest amount of rutin. Nevertheless, similarly to polyphenols, the rutin content in the extracts, apart from the place of cultivation, is differentiated by the method of extract preparation. As a result, significant differences in its amount are observed even for the same plant material. It turns out that a higher extraction temperature promotes the release of a larger amount of this compound valuable for health.
A higher temperature increases the solubility of a substance in a given liquid. However, in the case of the extraction of active ingredients from solids (plants), another effect of higher temperature is observed, namely the weakening of the interactions of the analyte with the plant matrix, favouring a more effective release of compounds. It should also be remembered that a higher temperature increases the diffusion coefficient and mass transport [], which in total translates into the often-observed positive effect of temperature on yield. It is also worth noting that the change in the amount of polyphenols in extracts correlates with the change in the amount of rutin.
3.2. Assessment of Antioxidant Properties—Influence of Extraction Conditions and Methods of Assessing Properties
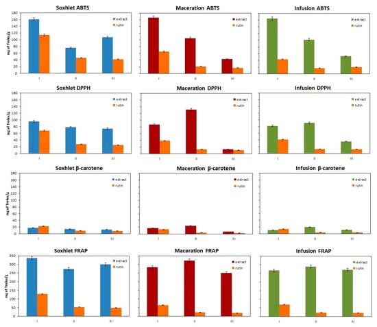
The antioxidant properties of cistus extracts determined by four different spectroscopic methods, i.e., ABTS, DPPH, β-carotene bleaching and FRAP, are shown in Figure 2. As mentioned above, these data were obtained for the extracts prepared for the same ratio of the plant mass to the extractant volume by a one-day maceration of the herb at room temperature (see red bars in Figure 2), one-hour infusion (green bars in the figure) and one-hour extraction in the Soxhlet apparatus (blue bars). In the figure, as before, Roman numerals indicate the type of cistus. As a reminder, “I” is a cistus grown in Albania, “II” is a cistus from Turkey in the form of disposable express sachets and “III” is the bulk herb also from Turkey.

Figure 2.
A summary of the antioxidant properties of cistus extracts obtained by extraction in the Soxhlet apparatus (blue bars), maceration (red bars) and infusion (green bars) using different plant materials (I or II or III) and methods for assessing antioxidant properties (ABTS, DPPH, β-carotene and FRAP). For comparison, orange bars represent the antioxidant properties of rutin solution with the same concentration as in the extract. The same letters indicate data that are not statistically different (Fcal < Ftab and p > 0.05).
A comparison of the data from Figure 2 with those presented in Table 1 allows us to state that the change in the antioxidant properties of extracts is consistent with the content of polyphenolic compounds, and greater antioxidant properties are observed where there are more polyphenolic compounds. Moreover, as can be seen from the presented data, in relation to the factors changing the polyphenol content, the antioxidant properties are also differentiated by the method used for assessing the activity. The influence of all these parameters on the antioxidant activity of cistus extracts is discussed below. It is worth adding, however, that other researchers of cistus properties have also reached similar conclusions [,]. For example, in the first of the cited papers, a relationship between antioxidant properties and the method of activity assessment and the place of cultivation of cistus was observed. Nevertheless, in contrast to our results, showing a different activity of extracts from different plants regardless of the method, in the cited work, an almost identical activity of cistuses of different origin (Turkey, Albania or Greece) was observed when the DPPH method was used, and it was completely different when the ABTS or FRAP method was used. In turn, in [], it was shown that the antioxidant properties of the same plant material are influenced by the method of extract preparation for testing.
Regarding the influence of the method used to assess antioxidant activity in our study, the smallest activity was determined by the β-carotene bleaching method, while the highest values were obtained by the FRAP method. It should be noted here that the methods used in this research determine different types of antioxidant properties. In the ABTS and DPPH methods, the ability to neutralize coloured radicals is tested. In the FRAP method, the ability to reduce metal ions is tested, while in the β-carotene bleaching method, the ability to protect model linoleic acid molecules against oxidation is determined. Therefore, the observed differences can result from the different selectivity of each method. In the light of the above, the cistus herb is characterized by its great ability to reduce metal ions. Yet, the influence of different sensitivities of activity assessment by each method and the reaction environment (for example, using different solvents) of the measurement system is also important []. Nevertheless, regardless of the measurement method, the same trends are visible: higher antioxidant properties are observed in the case of cistus I for all extracts, in the case of cistus II for the macerate and in the case of cistus III for the extract obtained in the Soxhlet apparatus. This indicates that, in addition to the method of preparing the extract and the activity assessment method, the antioxidant activity is also influenced by the quality of the plant raw material and its origin. The research discussed in [] showed that the infusions obtained from rockroses grown in Turkey, Albania and Greece were characterized by different antioxidant properties as a result of different extract compositions. In [], it was reported that cistus plant extracts from Turkey and Albania exhibit stronger metal reduction capabilities (demonstrated by the FRAP method) than extracts obtained for a sample from Cyprus. In turn, in [], it was shown that the highest electron transfer capacity (reducing capacity) is characteristic of samples from Turkey, lower in samples from Greece and the lowest in samples from Albania. It is worth emphasizing that in each of the cited papers, their authors explained that higher antioxidant properties result from the total content of polyphenols, which depends on genetic and environmental factors, as well as on the country of origin of the plant. Generally, the following can be summarized: differences in the contents of biologically active compounds in the extracts and, therefore, differences in biological properties can result from different genotypes, specifically different chemotypes, cultivation conditions, geographical and ecophysiological factors, the date of collection and the method of storing the collected material.
Extraction conditions generally differentiate the biological properties of extracts, and this is visible in the case of the data presented in Figure 2. Among many factors that can change extraction efficiency, the influence of the type of extractant and extraction temperature should be mentioned again. A comparison of the data presented in Figure 2 shows that changing the type of extractant, even such a small one, modifies the antioxidant activity of cistus extracts. In general, alcoholic extracts are slightly more active. This conclusion is confirmed by the results of the studies presented in [,,,], in which the antioxidant properties of 55% (v/v) methanol and aqueous extracts were compared, and it was found that alcohol extracts have better antioxidant properties. Water infusions had a 2.5 times lower activity in the DPPH and ABTS methods than analogous extracts prepared on the basis of 55% methanol solution. Also, in [], it was proven that the antioxidant properties of cistus extracts depend on the solvent used, and in general, according to the authors, polar extracts have better antioxidant properties. The influence of the type of extractant on the antioxidant activity of cistus species using 60% (v/v) or 100% methanol was also studied in []. In all the cited papers, it was proven that the solvent affects the isolation of active ingredients. In our experiments, better results were obtained for extracts prepared with pure methanol. Regardless of the literature data, different results undoubtedly prove the complexity of the phenomenon. Nevertheless, the influence of the solvent on the assessment of the antioxidant properties of cistus extracts is unquestionable, and different observations may result from different materials used in the research (the same type of cistus but collected, stored or cultivated differently) [,,].
As mentioned, higher temperatures should increase the efficiency of compound extraction, resulting in extracts with better biological properties. However, when comparing the antioxidant properties of the extracts from Figure 2, it can be noticed that the rule—the higher the extraction temperature, the greater the antioxidant properties of the extract—does not always apply. In some cases, better antioxidant properties (see macerate II for the DPPH and FRAP methods) or antioxidant properties comparable to the techniques using an elevated temperature (Soxhlet and infusion) are obtained, as in the case of the extracts prepared at room temperature (compare cistuses I and II in Figure 1). In [], it was observed that the effects of temperature on the antioxidant properties of polyphenolic extracts from onion husks can be different. Temperature can increase the efficiency of isolation of polyphenolic compounds and thus increase the examined antioxidant properties, as well as cause a decrease in these properties, which can be associated with the degradation or transformation of polyphenolic compounds at higher temperatures.
To sum up, changing the type of extractant and temperature conditions causes different selectivity and extraction efficiency and modifies the biological effect.
3.3. Comparison of Antioxidant Properties of Cistus Extracts with Antioxidant Properties of Rutin Solution
As noted above (see Table 1), the cistus herb is a rich source of polyphenol compounds. The chromatographic analysis showed that one of them is rutin (quercetin rutoside). Rutin is a compound that has a number of pharmacological activities. These include vasoprotective, anticancer, neuroprotective, cardioprotective and antioxidant effects [,]. Taking into account the last of the above-mentioned activities, it was decided to compare the antioxidant activity of rockrose extracts with the properties of rutin standard solution. In this study, rutin standard solutions with the same concentration as in the tested extract were used. For comparison, Figure 2 shows, in addition to the antioxidant activity of cistus extracts, the activity of rutin standard solutions. The results are given in pairs, in each of them the first bar represents the antioxidant activity of the extract, and the orange bar corresponds to the antioxidant activity of rutin solution with the same concentration as in the extract.
As can be seen from the presented data, the heights of the bars corresponding to the antioxidant activities of individual extracts and the activity of rutin solutions are not the same. This indicates that not only rutin but also other extract components are responsible for its antioxidant properties. Additionally, it is not always observed that more rutin in the extract, greater its antioxidant properties. This is confirmed by the results obtained for the cistus I extracts and evaluated by the ABTS method. The aforementioned extracts, regardless of their preparation method, show almost identical antioxidant properties, and each of them is characterized by different rutin contents. The results obtained for the macerates and infusions in the DPPH, β-carotene and FRAP methods also confirm this statement. In these methods, the macerate and infusion of cistus II show better antioxidant properties than the macerates and infusions of cistus I and III, even though the former contains a smaller amount of rutin. These observations can be explained by the fact that plant extracts are complex mixtures of many ingredients, in which some ingredients influence the properties of others. Therefore, the resulting effect of such a mixture can be additive, antagonistic or synergistic [,]. It is difficult to explain clearly and predict what the final effect of such a mixture will be. Based on the research, it can be concluded that the main ingredient does not always determine the properties of the entire mixture.
4. Conclusions
The results presented and discussed in this study confirmed the antioxidant properties of cistus extracts. It was shown that these properties depend on many factors (place of cultivation, applied methods and conditions of obtaining the extracts, method of assessing antioxidant activity). The smallest activity was determined using the β-carotene bleaching method, while the highest values were obtained using the FRAP method. Regardless of the measurement method used, in the case of cistus from Albania, great antioxidant properties were observed for all tested extracts. Among the extracts for cistus from Turkey, the greatest properties were demonstrated by the macerate (in the case of cistus in the form of instant tea) and the extract obtained in the Soxhlet apparatus (in the case of cistus in the form of loose herb). A comparison of the antioxidant properties of extracts with the properties of rutin standard solutions used in the amounts corresponding to its content in individual extracts confirmed that it is not the only compound responsible for the biological activity of extracts. As a result, in the experiments, no relationship was observed to indicate that the more rutin, the better the properties of the extract are.
This study confirms that Cistus incanus, having antioxidant properties, is characterized by health-promoting properties. This is especially important in times of constant human exposure to oxidative stress and its negative consequences for living organisms.
Author Contributions
Conceptualization and methodology, M.O.-T.; writing—original draft preparation, M.O.-T.; writing—review and editing, D.W.; supervision, D.W. All authors have read and agreed to the published version of the manuscript.
Funding
This research received no external funding.
Institutional Review Board Statement
Not applicable.
Data Availability Statement
Data are contained within the article.
Acknowledgments
The authors would like to thank the Institute of Chemical Sciences of the Maria Curie-Skłodowska University in Lublin for creating the research infrastructure, without which this research would not be possible.
Conflicts of Interest
The authors declare no conflicts of interest.
References
- Oschmann, W.; Grasshof, M.; Gudo, M. The early evolution of the planet earth and the origin of life. Paleobiodivers. Paleoenviron. 2002, 82, 284–294. [Google Scholar] [CrossRef]
- Leisegang, K. Life under aerobic conditions. In Oxidants, Antioxidants and Impact of the Oxidative Status in Male Reproduction, 1st ed.; Henkel, R., Samanta, L., Agarwal, A., Eds.; Academic Press: Cambridge, MA, USA, 2019; pp. 3–8. [Google Scholar] [CrossRef]
- Hsia, C.C.W.; Schmitz, A.; Lambertz, M.; Perry, S.F.; Maina, J.N. Evolution of air breathing: Oxygen homeostasis and the transitions from water to land and sky. Compr. Physiol. 2013, 3, 849–915. [Google Scholar] [CrossRef]
- Szechyńska-Hebda, M.; Ghalami, R.Z.; Kamran, M.; Van Breusegem, F.; Karpiński, S. To Be or Not to Be? Are Reactive Oxygen Species, Antioxidants, and Stress Signalling Universal Determinants of Life or Death? Cells 2022, 11, 4105. [Google Scholar] [CrossRef]
- Jang, S.; Lian, G. ROS and diseases: Role in metabolism and energy supply. Mol. Cell Biochem. 2021, 467, 1–12. [Google Scholar] [CrossRef]
- Juan, C.A.; Pérez de la Lastra, J.M.; Plou, F.J.; Pérez-Lebeñ, E. The chemistry of reactive oxygen species (ROS) revisited: Outlining their role in biological macromolecules (DNA, lipids and proteins) and induced pathologies. Int. J. Mol. Sci. 2021, 22, 4642. [Google Scholar] [CrossRef]
- Zehiroglu, C.; Sarikaya, S.B.O. The importance of antioxidants and place in today’s scientific and technological studies. J. Food Sci. Technol. 2019, 56, 4757–4774. [Google Scholar] [CrossRef] [PubMed]
- Flieger, J.; Flieger, W.; Baj, J.; Maciejewski, R. Antioxidants: Classification, natural sources, activity/capacity measurements, and usefulness for the synthesis of nanoparticles. Materials 2021, 14, 4135. [Google Scholar] [CrossRef] [PubMed]
- Lourenço, S.C.; Moldão-Martinsand, M.; Alves, V.D. Antioxidants of natural plant origins: From sources to food industry applications. Molecules 2019, 24, 4132. [Google Scholar] [CrossRef]
- Embuscado, M.E. Spices and herbs: Natural sources of antioxidants—A mini review. J. Funct. Foods 2015, 18, 811–819. [Google Scholar] [CrossRef]
- Sello, T. The value of herbs and their medicinal properties. J. Pharmacogn. Nat. Prod. 2023, 9, 231. [Google Scholar] [CrossRef]
- Herrera, T.; Iriondo-DeHond, A.; Uribarri, J.; del Castillo, M.D. Beneficial Herbs and Spices. In Nutrition, Fitness, and Mindfulness, 1st ed.; Uribarri, J., Vassalotti, V.A., Eds.; Springer Nature: Cham, Switzerland, 2020; pp. 65–85. [Google Scholar] [CrossRef]
- Viapiana, A.; Konopacka, A.; Waleron, K.; Wesołowski, M. Cistus incanus L. commercial products as a good source of polyphenols in human diet. Ind. Crops Prod. 2017, 107, 297–304. [Google Scholar] [CrossRef]
- Pielorz, S.; Fecka, I.; Bernacka, K.; Mazurek, S. Qunatitative determination of polyphenols and flavonoids in Cistus x incanus on the basis of IR, NIR and Raman spectra. Molecules 2023, 28, 161. [Google Scholar] [CrossRef]
- Guzmán, B.; Vargas, P. Systematics, character evolution, and biogeography of Cistus L. (Cistaceae) based on ITS, trnL-trnF, and matK sequences. Mol. Phylogenet. Evol. 2005, 7, 644–660. [Google Scholar] [CrossRef] [PubMed]
- Kubica, P.; Ekiert, H.; Ekiert, R.J.; Szopa, A. Species of the genus Cistus sp.—Taxonomy, distribution, chemical composition, therapeutic applications and biotechnological studies. Post Fitoter. 2016, 3, 179–188. [Google Scholar]
- Jeszka-Skowron, M.; Zgoła-Grześkowiak, A.; Frankowski, R. Cistus incanus a promising herbal tea rich in bioactive compounds: LC-MS/MS determination of catechins, flavonols, phenolic acids and alkaloids-A comparison with Camelia sinensis, Rooibos and Hoan Ngoc herbal tea. J. Food Compos. Anal. 2018, 74, 71–81. [Google Scholar] [CrossRef]
- Starzec, A.; Włodarczyk, M.; Kunachowicz, D.; Dryś, A.; Kepinska, M.; Fecka, I. Polyphenol profile of Cistus x incanus L. and its relevance to antioxidant effect and α-glucosidase inhibition. Antioxidants 2023, 12, 553. [Google Scholar] [CrossRef]
- Stępień, A.; Aebisher, D.; Bartusik-Aebisher, D. Biological properties of Cistus species. Eur. J. Clin. Exp. Med. 2018, 16, 127–132. [Google Scholar] [CrossRef]
- Zalegh, I.; Akssira, M.; Bourhia, M.; Mellouki, F.; Rhallabi, N.; Salamatullah, A.M.; Alkaltham, M.S.; Alyahya, H.K.; Mhand, R.A. A Review on Cistus sp.: Phytochemical and Antimicrobial Activities. Plants 2021, 10, 1214. [Google Scholar] [CrossRef]
- Agostoni, C.; Bresson, J.L.; Fairweather-Tait, S.; Flynn, A.; Golly, I.; Korhonen, H.; Lagiou, P.; Løvik, M.; Marchelli, R.; Martin, A.; et al. Scientific opinion on the substantiation of health claims related to various food(S)/food constituent(s) and protection of cells from premature aging, antioxidant activity, antioxidant content and antioxidant properties, and protection of DNA, proteins and lipids from oxidative damage pursuant to article 13(1) of regulation (EC) no 1924/2006. EFSA J. 2010, 8, 1489. [Google Scholar]
- Brand-Williams, W.; Cuvelier, M.E.; Berset, C. Use of a free radical method to evaluate antioxidant activity. LWT–Food Sci. Technol. 1995, 28, 25–30. [Google Scholar] [CrossRef]
- Olszowy-Tomczyk, M.; Wianowska, D. Influence of selected factors on antioxidant properties of chlorogenic acid and kaempferol as well as their binary mixtures. Appl. Sci. 2023, 13, 11138. [Google Scholar] [CrossRef]
- El-Zahar, K.M.; Al-Jamaan, M.E.; Al-Mutairi, F.R.; Al-Hudiab, A.M.; Al-Einzi, M.S.; Mohamed, A.A.Z. Antioxidant, antibacterial, and antifungal activities of the ethanolic extract obtained from Berberis vulgaris roots and leaves. Molecules 2022, 27, 6114. [Google Scholar] [CrossRef] [PubMed]
- Spiegel, M.; Kapusta, K.; Kołodziejczyk, W.; Saloni, J.; Zbikowska, B.; Hill, G.A.; Sroka, Z. Antioxidant activity of selected phenolic acids—Ferric Reducing Antioxidant Power Assay and QSAR analysis of the structural features. Molecules 2020, 25, 3088. [Google Scholar] [CrossRef] [PubMed]
- Singleton, V.L.; Orthofer, R.; Lamuela-Ravantos, R.M. Analysis of total phenols and other oxidation substrates and antioxidants by means of Folin-Ciocalteu reagent. Methods Enzymol. 1999, 299, 152–178. [Google Scholar] [CrossRef]
- Kuchta, A.; Konopacka, A.; Waleron, K.; Viapiana, A.; Wesołowski, M.; Dąbkowski, K.; Ćwiklińska, A.; Mickiewicz, A.; Śledzińska, A.; Wieczorek, E.; et al. The effect of Cistus incanus herbal tea supplementation on oxidative stress markers and lipid profile in healthy adults. Cardiol. J. 2021, 28, 534–542. [Google Scholar] [CrossRef]
- Dimcheva, V.; Kaloyanov, N.; Karsheva, M. The polyphenol composition of Cistus incanus L., Trachystemon orientalis L. and Melissa officinalis L. infusions by HPLC-DAD method. Open J. Anal. Bioanal. Chem. 2019, 3, 31–38. [Google Scholar] [CrossRef]
- Wianowska, D.; Olszowy-Tomczyk, M.; Garbaczewska, S. A Central composite design in increasing the quercetin content in the aqueous onion waste isolates with antifungal and antioxidant properties. Eur. Food Res. Technol. 2022, 248, 497. [Google Scholar] [CrossRef]
- Olszowy-Tomczyk, M.; Wianowska, D. Comparison of the antioxidant properties of extracts obtained from walnut husks as well as the influence of juglone on their evaluation. Appl. Sci. 2024, 14, 2972. [Google Scholar] [CrossRef]
- Benamari, O.; Labhar, A.; Ahidar, N.; Salhi, A.; Ahari, M.; Elyoussfi, A.; Benyoub, B.; Amhamdi, H. Investigation of the antioxidant and anti-Inflammatory capacities of different extracts from Cistus ladanifer L. Leaves in the Ait Ammart Region (Northern Morocco). Ecol. Eng. Environ. Technol. 2024, 25, 178–184. [Google Scholar] [CrossRef]
- Bernacka, K.; Bednarska, K.; Starzec, A.; Mazurek, S.; Fecka, I. Antioxidant and antiglycation effects of Cistus incanus water infusion, its phenolic components, and respective metabolites. Molecules 2022, 27, 2432. [Google Scholar] [CrossRef]
- Gaweł-Bęben, K.; Kukula-Koch, W.; Hoian, U.; Czop, M.; Strzępek-Gomółka, M.; Antosiewicz, B. Characterization of Cistus incanus L. and Cistus ladanifer L. extracts as potential multifunctional antioxidant ingredients for skin protecting cosmetics. Antioxidants 2020, 9, 202. [Google Scholar] [CrossRef] [PubMed]
- Ganeshpurkara, A.; Saluja, A.K. The pharmacological potential of rutin. Saudi Pharm. J. 2017, 25, 149–164. [Google Scholar] [CrossRef] [PubMed]
- Prasad, R.; Prasad, S. A review on the chemistry and biological properties of rutin, a promising nutraceutical agent. Asian J. Pharm. Sci. 2019, 5, 1–20. [Google Scholar] [CrossRef]
- Olszowy-Tomczyk, M. Synergistic, antagonistic and additive antioxidant effects in the binary mixtures. Phytochem. Rev. 2020, 19, 63–103. [Google Scholar] [CrossRef]
- Olszowy-Tomczyk, M.; Wianowska, D. Antioxidant properties of selected flavonoids in binary mixtures—Considerations on myricetin, kaempferol and quercetin. Int. J. Mol. Sci. 2023, 24, 10070. [Google Scholar] [CrossRef] [PubMed]
Disclaimer/Publisher’s Note: The statements, opinions and data contained in all publications are solely those of the individual author(s) and contributor(s) and not of MDPI and/or the editor(s). MDPI and/or the editor(s) disclaim responsibility for any injury to people or property resulting from any ideas, methods, instructions or products referred to in the content. |
© 2024 by the authors. Licensee MDPI, Basel, Switzerland. This article is an open access article distributed under the terms and conditions of the Creative Commons Attribution (CC BY) license (https://creativecommons.org/licenses/by/4.0/).