Sign in to use this feature.

Years

Between: -

Subjects

remove_circle_outline
remove_circle_outline
remove_circle_outline
remove_circle_outline
remove_circle_outline
remove_circle_outline
remove_circle_outline
remove_circle_outline

Journals

Article Types

Countries / Regions

Search Results (49)

Search Parameters:
Keywords = rock avalanche

Order results
Result details
Results per page
Select all
Export citation of selected articles as:
21 pages, 12613 KB  
Article
The Evolution and Impact of Glacier and Ice-Rock Avalanches in the Tibetan Plateau with Sentinel-2 Time-Series Images
by Duo Chu, Linshan Liu and Zhaofeng Wang
GeoHazards 2026, 7(1), 10; https://doi.org/10.3390/geohazards7010010 - 9 Jan 2026
Viewed by 279
Abstract
Catastrophic mass flows originating from the high mountain cryosphere often cause cascading hazards. With increasing human activities in the alpine region and the sensitivity of the cryosphere to climate warming, cryospheric hazards are becoming more frequent in the mountain regions. Monitoring the evolution [...] Read more.
Catastrophic mass flows originating from the high mountain cryosphere often cause cascading hazards. With increasing human activities in the alpine region and the sensitivity of the cryosphere to climate warming, cryospheric hazards are becoming more frequent in the mountain regions. Monitoring the evolution and impact of the glaciers and ice-rock avalanches and hazard consequences in the mountain regions is crucial to understand nature and drivers of mass flow process in order to prevent and mitigate potential hazard risks. In this study, the glacier and ice-rock avalanches that occurred in the Tibetan Plateau (TP) were investigated based on the Sentinel-2 satellite data and in situ observations, and the main driving forces and impacts on the regional environment, landscape, and geomorphological conditions were also analyzed. The results showed that the avalanche deposit of Arutso glacier No. 53 completely melted away in 2 years, while the deposit of Arutso glacier No. 50 melted in 7 years. Four large-scale ice-rock avalanches in the Sedongpu basin not only had significant impacts on the river flow, landscape, and geomorphologic shape in the basin, but also caused serious disasters in the region and beyond. These glacier and ice-rock avalanches were caused by temperature anomaly, heavy precipitation, climate warming, and seismic activity, etc., which act on the specific glacier properties in the high mountain regions. The study highlights scientific advances should support and benefit the remote and vulnerable mountain communities to make mountain regions safer. Full article
Show Figures

Figure 1

28 pages, 5460 KB  
Article
Assessment of Potential Landslide Scenarios Using Morphometry, Geomorphological Constraints, and Run-Out Analysis: A Case Study from Central Apennines (Italy)
by Giorgio Paglia, Giovanni Santucci, Marcello Buccolini and Enrico Miccadei
Land 2025, 14(11), 2109; https://doi.org/10.3390/land14112109 - 23 Oct 2025
Viewed by 743
Abstract
Landslides are among the most damaging natural hazards, posing significant threats to human lives and infrastructures, especially in mountainous regions such as the Central Apennines (Italy). This study focuses on the Mt. Marsicano catchment (2245 m a.s.l.), characterized by peculiar morphometric features and [...] Read more.
Landslides are among the most damaging natural hazards, posing significant threats to human lives and infrastructures, especially in mountainous regions such as the Central Apennines (Italy). This study focuses on the Mt. Marsicano catchment (2245 m a.s.l.), characterized by peculiar morphometric features and geomorphological constraints that highlight the possibility of potential landslide scenarios. The methodological approach led to the identification of potential landslide propagation patterns. The RAMMS::DEBRIS FLOW module was used to model two potential landslide scenarios: a debris flow-like movement with a volume of 2.03 × 104 m3 and a rock avalanche-like movement with a volume of 1.2 × 106 m3. Findings from the latter scenario suggested river obstruction and potential lake formation upstream. Triggering mechanisms were partially explored, linking the debris flow scenario to heavy rainfall events (>50 mm/day) and the rock avalanche scenario to earthquakes with Mw > 5.0. Despite the absence of occurred landslides for back-calculation analysis and modeling based on geomorphic evidence rather than calibrating to a specific local past event, the study provides preliminary clues about the combination between morphometric analysis and geomorphological constraints in hypothesizing potential landslide scenarios. It provides a foundation for anticipating future landslide impacts in mountainous areas with limited historical data, offering valuable geomorphological insights for preventive hazard assessment and mitigation strategies in similar environments. Full article
Show Figures

Figure 1

21 pages, 24540 KB  
Article
Analysis of Dynamic Response Characteristics and Failure Pattern of Rock Slopes Containing X-Joints and Underlying Weak Interlayers
by He Meng, Yanjun Shang, Liyun Zhou, Yangfan Li, Xuetao Yi and Qingsen Meng
Appl. Sci. 2025, 15(18), 10209; https://doi.org/10.3390/app151810209 - 19 Sep 2025
Viewed by 633
Abstract
Under the complex geological structural stress of the Western Himalayan syntaxis, the widespread distribution of hard and brittle rocks (such as sandstone and limestone) makes them prone to the formation of conjugate joints, also known as X-joints. These joints create weak structural planes [...] Read more.
Under the complex geological structural stress of the Western Himalayan syntaxis, the widespread distribution of hard and brittle rocks (such as sandstone and limestone) makes them prone to the formation of conjugate joints, also known as X-joints. These joints create weak structural planes in the slope rock mass, and when combined with weak interlayers within the slope, they result in a complex dynamic response and hazard situation in this region, which is further exacerbated by frequent seismic activity. This poses a serious threat to the planning, construction, and safe operation of the Belt and Road Initiative. To study the slope vibration response and instability mechanisms under these conditions, we conducted a shaking table test using the Iymek avalanche as a case study and performed Hilbert–Huang Transform (HHT) analysis. We also compared the results of the shaking table test on slope models without X-joints but containing weak interlayers. The findings show that the presence of X-joints leads to an earlier onset of plastic failure in the slope. During the failure development, X-joints cause stress concentration and the diversification of stress redistribution paths, delaying energy release. Ultimately, the avalanche failure mode in the X-joint slopes is more dispersed compared to the landslide failure mode in the model without X-joints. At the toe of the slope beneath the weak interlayer, low-frequency seismic waves can cause a significant amplification of acceleration, and the weak interlayer is often the shear outlets of the slope. These findings provide new insights into the seismic failure evolution of jointed slopes with weak interlayers and offer practical references for seismic hazard mitigation in mountainous infrastructure. Full article
Show Figures

Figure 1

22 pages, 4299 KB  
Article
Climate Change in Southeast Tibet and Its Potential Impacts on Cryospheric Disasters
by Congxi Fang, Jinlei Chen, Lijun Su, Zongji Yang and Tao Yang
Atmosphere 2025, 16(5), 547; https://doi.org/10.3390/atmos16050547 - 5 May 2025
Cited by 1 | Viewed by 1392
Abstract
Southeast Tibet is characterized by extensive alpine glaciers and deep valleys, making it highly prone to cryospheric disasters such as avalanches, ice/ice–rock avalanches, glacial lake outburst floods, debris flows, and barrier lakes, which pose severe threats to infrastructure and human safety. Understanding how [...] Read more.
Southeast Tibet is characterized by extensive alpine glaciers and deep valleys, making it highly prone to cryospheric disasters such as avalanches, ice/ice–rock avalanches, glacial lake outburst floods, debris flows, and barrier lakes, which pose severe threats to infrastructure and human safety. Understanding how cryospheric disasters respond to climate warming remains a critical challenge. Using 3.3 km resolution meteorological downscaling data, this study analyzes the spatiotemporal evolution of multiple climate indicators from 1979 to 2022 and assesses their impacts on cryospheric disaster occurrence. The results reveal a significant warming trend across Southeast Tibet, with faster warming in glacier-covered regions. Precipitation generally decreases, though the semi-arid northwest experiences localized increases. Snowfall declines, with the steepest decrease observed around the lower reaches of the Yarlung Zangbo River. In the moisture corridor of the lower reaches of the Yarlung Zangbo River, warming intensifies freeze–thaw cycles, combined with high baseline extreme daily precipitation, which increases the likelihood of glacial disaster chains. In northwestern Southeast Tibet, accelerated glacier melting due to warming, coupled with increasing extreme precipitation, heightens glacial disaster probabilities. While long-term snowfall decline may reduce avalanches, high baseline extreme snowfall suggests short-term threats remain. Finally, this study establishes meteorological indicators for predicting changes in cryospheric disaster risks under climate change. Full article
(This article belongs to the Special Issue Climate Change in the Cryosphere and Its Impacts)
Show Figures

Figure 1

19 pages, 12502 KB  
Article
Quantifying Spatiotemporal Changes in Supraglacial Debris Cover in Eastern Pamir from 1994 to 2024 Based on the Google Earth Engine
by Hehe Liu, Zhen Zhang, Shiyin Liu, Fuming Xie, Jing Ding, Guolong Li and Haoran Su
Remote Sens. 2025, 17(1), 144; https://doi.org/10.3390/rs17010144 - 3 Jan 2025
Cited by 5 | Viewed by 1915
Abstract
Supraglacial debris cover considerably influences sub-debris ablation patterns and the surface morphology of glaciers by modulating the land–atmosphere energy exchange. Understanding its spatial distribution and temporal variations is crucial for analyzing melting processes and managing downstream disaster mitigation efforts. In recent years, the [...] Read more.
Supraglacial debris cover considerably influences sub-debris ablation patterns and the surface morphology of glaciers by modulating the land–atmosphere energy exchange. Understanding its spatial distribution and temporal variations is crucial for analyzing melting processes and managing downstream disaster mitigation efforts. In recent years, the overall slightly positive mass balance or stable state of eastern Pamir glaciers has been referred to as the “Pamir-Karakoram anomaly”. It is important to note that spatial heterogeneity in glacier change has drawn widespread research attention. However, research on the spatiotemporal changes in the debris cover in this region is completely nonexistent, which has led to an inadequate understanding of debris-covered glacier variations. To address this research gap, this study employed Landsat remote sensing images within the Google Earth Engine platform, leveraging the Random Forest algorithm to classify the supraglacial debris cover. The classification algorithm integrates spectral features from Landsat images and derived indices (NDVI, NDSI, NDWI, and BAND RATIO), supplemented by auxiliary factors such as slope and aspect. By extracting the supraglacial debris cover from 1994 to 2024, this study systematically analyzed the spatiotemporal variations and investigated the underlying drivers of debris cover changes from the perspective of mass conservation. By 2024, the area of supraglacial debris in eastern Pamir reached 258.08 ± 20.65 km2, accounting for 18.5 ± 1.55% of the total glacier area. It was observed that the Kungey Mountain region demonstrated the largest debris cover rate. Between 1994 and 2024, while the total glacier area decreased by −2.57 ± 0.70%, the debris-covered areas expanded upward at a rate of +1.64 ± 0.10% yr−1. The expansion of debris cover is driven by several factors in the context of global warming. The rising temperature resulted in permafrost degradation, slope destabilization, and intensified weathering on supply slopes, thereby augmenting the debris supply. Additionally, the steep supply slope in the study area facilitates the rapid deposition of collapsed debris onto glacier surfaces, with frequent avalanche events accelerating the mobilization of rock fragments. Full article
(This article belongs to the Special Issue Earth Observation of Glacier and Snow Cover Mapping in Cold Regions)
Show Figures

Graphical abstract

15 pages, 8027 KB  
Article
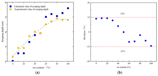
Influence of Ice Fragments on the Scraping Effect of Rock–Ice Avalanches: Insights from Physical Model Experiments
by Ziyi Lin, Zhouyi Li, Shuang Luo, Miao Huo and Ping Yang
Appl. Sci. 2024, 14(24), 11473; https://doi.org/10.3390/app142411473 - 10 Dec 2024
Cited by 1 | Viewed by 1810
Abstract
Research on the scraping effects of rock–ice avalanches remains relatively limited. This study investigates the evolution of rock–ice avalanches with varying ice content and initial accumulation forms during motion, scraping, and deposition using laboratory physical model experiments. Changes in pre- scraping velocity, scraping [...] Read more.
Research on the scraping effects of rock–ice avalanches remains relatively limited. This study investigates the evolution of rock–ice avalanches with varying ice content and initial accumulation forms during motion, scraping, and deposition using laboratory physical model experiments. Changes in pre- scraping velocity, scraping length, scraping depth, maximum deposition length, and deposition thickness were analyzed as functions of ice content. The analysis revealed the influence of ice content and initial accumulation on scraping effects, as well as on motion and deposition characteristics. The experimental results indicate that, compared to typical debris flows (without ice), the presence of ice significantly enhances the mobility, deposition features, and scraping effects of rock–ice avalanches. Through analysis, it is shown that the low friction of ice debris enhances the kinetic energy of ice-rock debris flows, thereby increasing the energy required for scraping. Full article
Show Figures

Figure 1

18 pages, 16746 KB  
Article
Estimation Model of Rockfall Trajectory Lateral Dispersion on Slopes with Loose Granular Cushion Layer Based on Three-Dimensional Discrete Element Method Simulations
by Tingbin Qian, Wei Luo, Baojing Zheng, Yixin Feng and Desheng Yin
Processes 2024, 12(12), 2788; https://doi.org/10.3390/pr12122788 - 6 Dec 2024
Viewed by 1558
Abstract
Rockfall is a typical successive hazard with a high incidence rate following primary geological disasters such as landslides, rock avalanches, and debris flows. The lateral dispersion of rockfall is significantly affected by the loose granular cushion layer deposited on slopes. This paper aims [...] Read more.
Rockfall is a typical successive hazard with a high incidence rate following primary geological disasters such as landslides, rock avalanches, and debris flows. The lateral dispersion of rockfall is significantly affected by the loose granular cushion layer deposited on slopes. This paper aims to develop a quick estimation model for this effect based on the 3D-DEM (discrete element method) numerical simulations. The DEM model employs particles with different bonding properties to create a modeling double-layer granular slope. The present model is also verified by comparing the data from the antecedent large-scale outdoor rockfall experiment with the numerical simulations. Accordingly, the influences of four factors: the initial horizontal release velocity, the size of the rock mass, the granular cushion thickness, and the slope angle on the lateral dispersion of the rockfall trajectory are analyzed, and the underlying physical mechanism is discussed thoroughly. Ultimately, we identify a nondimensional parameter that demonstrates a strong correlation with the evolution of the lateral dispersion ratio of the rockfall trajectory. Based on this insight, we propose an estimation model for predicting the lateral dispersion of the rockfall trajectory. This model can assist engineering and construction personnel in rapidly determining the lateral dispersion range of the rockfall. Full article
(This article belongs to the Section Particle Processes)
Show Figures

Figure 1

18 pages, 13403 KB  
Article
Failure Mechanism and Risk Assessment of Multi-Level Cliff in Jiaohua Perilous Rock Mass
by Xingxing Zhao, Zhenwei Dai, Bolin Huang, Anle Zhang, Weibing Qin, Shi Cheng, Nan Zhang and Qihui Xiong
Sustainability 2024, 16(23), 10714; https://doi.org/10.3390/su162310714 - 6 Dec 2024
Viewed by 1307
Abstract
Perilous rock mass disasters are typical forms of collapse disasters. Perilous rock masses are widely distributed in mountainous areas around the world and often pose a great threat to residents and line engineering. The correct evaluation of the stability and disaster-causing ability of [...] Read more.
Perilous rock mass disasters are typical forms of collapse disasters. Perilous rock masses are widely distributed in mountainous areas around the world and often pose a great threat to residents and line engineering. The correct evaluation of the stability and disaster-causing ability of perilous rock is important for the guarantee of sustainable development for human beings living in mountainous areas. The dynamic disaster effects of perilous rock collapse have always been a hot topic in the field of engineering geological disaster research. This study takes typical #WY8 and #WY47 perilous rock masses in a zone called the Jiaohua rock perilous rock zone in Chongqing, China, as a case study. The Jiaohua perilous rock mass is located in the Kaizhou District of the Three Gorges Reservoir area in China, which is mainly distributed in a ‘long strip’. The initial deformation and collapse of the perilous rock zone occurred in September 2004, and many local collapses have occurred since. In this study, the basic characteristics of the perilous rock belt of Jiaohua rock were first analyzed, and the failure mechanism of the perilous rock mass of Jiaohua rock was then summarized. Then, a numerical model of the perilous rock mass was established by DAN-W, and the disaster process of perilous rock collapse was analyzed. According to the characteristics of perilous rock and cliffs, considering the collapse partition, the collapse path of debris flow can be divided into three sections: the collapse section, slip section, and accumulation section. The calculation results show that the maximum velocity of the front edge of the #WY8 debris flow is 27.26 m/s, the maximum velocity of the trailing edge is 16.71 m/s, the maximum sliding distance is 437 m, and the impact force of the debris flow on the building is up to 52.29 kPa. The maximum velocity of the front edge of the #WY47 debris flow is 31.05 m/s, the maximum velocity of the trailing edge is 21.99 m/s, the maximum sliding distance is 194.31 m, and the impact force of the debris flow on the building is 241.15 kPa. Civil buildings within the scope of collapse are at risk of being completely destroyed. The research results of this study provide a certain theoretical basis for disaster prevention and mitigation work in the hidden danger area of rock avalanche disasters in the Three Gorges Reservoir area. Full article
Show Figures

Figure 1

19 pages, 59559 KB  
Article
Characteristics of Rock Avalanche Deposit in Wangjiapo, Ludian Based on UAV Aerial Image Recognition
by Zhenhua Han, Luqing Zhang, Jian Zhou, Song Wang, Juanjuan Sun, Ruirui Li and Fuyou Huang
Remote Sens. 2024, 16(20), 3786; https://doi.org/10.3390/rs16203786 - 11 Oct 2024
Cited by 1 | Viewed by 1763
Abstract
Rock avalanche disasters in alpine and gorge regions are frequent and large in scale and cause severe damage. The movement of a rock avalanche is complex and has not been fully studied. The deposits of a rock avalanche can provide valuable insights into [...] Read more.
Rock avalanche disasters in alpine and gorge regions are frequent and large in scale and cause severe damage. The movement of a rock avalanche is complex and has not been fully studied. The deposits of a rock avalanche can provide valuable insights into its movement process, which is crucial in understanding the rock fragmentation mechanism and predicting disaster-affected areas. Taking the Wangjiapo rock avalanche in Yunnan Province of China as an example, the size, shape and distribution characteristics of the deposit were analyzed based on field surveys, unmanned aerial vehicle (UAV) photography and image recognition technology. Initially, 3062 deposited rock blocks were manually measured in the field. Subsequently, the Particles/Pores and Cracks Analysis System (PCAS) was employed to identify 11,357 rock blocks with an area greater than 0.1 m2 from UAV orthophotos. By comparing the characteristics of the rock blocks obtained through image recognition and manual measurement, the statistical analysis of UAV aerial imagery combined with PACS proved feasible in studying the Wangjiapo rock avalanche. The results showed that the rock block movement was accompanied by fragmentation and sorting processes; furthermore, the roundness increased with the migration distance. Small blocks were more prevalent at the foot of the slope, while irregularly shaped, large blocks dominated in source areas. The movement of huge blocks was characterized by significant potential energy-driven features and inertia advantages, allowing them to travel farther than smaller blocks, and they tended to be concentrated in the central area of the deposit. Additionally, affected by the cementation degree of breccia and the topography, the blocks in the eastern and western deposit areas exhibited different fragmentation and deposition characteristics. Full article
Show Figures

Figure 1

19 pages, 5611 KB  
Article
Mapping of Supra-Glacial Debris Cover in the Greater Caucasus: A Semi-Automated Multi-Sensor Approach
by Levan G. Tielidze, George Iacob and Iulian Horia Holobâcă
Geosciences 2024, 14(7), 178; https://doi.org/10.3390/geosciences14070178 - 27 Jun 2024
Cited by 9 | Viewed by 3386
Abstract
Supra-glacial debris cover is important for the control of surface ice melt and glacier retreat in mountain regions. Despite the progress in techniques based on various satellite imagery, the mapping of debris-covered glacier boundaries over large regions remains a challenging task. Previous studies [...] Read more.
Supra-glacial debris cover is important for the control of surface ice melt and glacier retreat in mountain regions. Despite the progress in techniques based on various satellite imagery, the mapping of debris-covered glacier boundaries over large regions remains a challenging task. Previous studies of the debris-covered glaciers in the Greater Caucasus have only focused on limited areas. In this study, using the Sentinel 1–2 imagery (2020), DebCovG-carto toolbox, and existing glacier inventory (2020), we produced the first detailed assessment of supra-glacial debris cover for individual glaciers in the entire Greater Caucasus. Our study shows that in 2020, 10.3 ± 5.6% of the glacier surface in this mountain region was covered by debris. A comparison of sub-regions such as the Elbrus Massif and other individual glaciers from the central Greater Caucasus shows an increasing trend of supra-glacial debris cover from 2014 to 2020. The total area of supra-glacial debris cover expanded from ~4.6% to ~5.8% for Elbrus and from ~9.5% to ~13.9% for the glaciers of the central Greater Caucasus during the same period. Supra-glacial debris cover also expanded upward on these glaciers between 2014 and 2020. A recent increase in rock-ice avalanche activity in combination with increased air temperature and decreased precipitation in the Greater Caucasus may be responsible for this upward migration and expanded area of supra-glacial debris cover. This study provides valuable insights into the spatial distribution, temporal evolution, and factors influencing supra-glacial debris cover in the Greater Caucasus. The findings contribute to our understanding of glacier dynamics and highlight the importance of continuous monitoring and assessment of supra-glacial debris cover in the context of climate change and glacier retreat. We recommend using the DebCovG-carto toolbox for regional assessment of supra-glacial debris coverage in other mountain regions as well. Full article
(This article belongs to the Section Cryosphere)
Show Figures

Figure 1

20 pages, 13244 KB  
Article
Numerical Analysis of the Dynamic Response of Concrete Bridge Piers under the Impact of Rock Debris Flow
by Mai-Li Cheng
Buildings 2024, 14(6), 1504; https://doi.org/10.3390/buildings14061504 - 23 May 2024
Cited by 3 | Viewed by 1726
Abstract
The impact and damage caused by debris flow on concrete bridges have become a typical disaster scenario. However, the impact disaster mechanism of debris flow on bridge structures remains unclear. This study focused on investigating the impact mechanism of debris avalanches on concrete [...] Read more.
The impact and damage caused by debris flow on concrete bridges have become a typical disaster scenario. However, the impact disaster mechanism of debris flow on bridge structures remains unclear. This study focused on investigating the impact mechanism of debris avalanches on concrete bridge piers. By employing the discrete element numerical simulation method to examine the effect of debris on concrete bridge piers, the analysis explored the influence of three significant factors: the pier’s section shape, the impact distance, and the slope angle of the sliding chute. The discussions included the accumulation pattern of rock debris, the impact force on the pier, and the shear force and bending moment at the pier’s bottom, as well as the displacement and velocity response laws at the pier’s top. The results demonstrate that rectangularly shaped piers have a high efficiency in obstructing debris, leading to higher impact forces and internal forces on piers. Arched-shaped piers exhibit a short-duration, high-peak instantaneous impact from debris. Increasing the impact distance of the piers can significantly reduce the impact force of debris. The accumulation height of debris, pier impact force, and the pier’s bottom internal forces decrease and then increase with the increase in slope angles, with a 45° slope angle being the critical point for the transition of debris impact on piers. The results can provide references for the disaster prevention design of concrete bridge structures in hazardous mountainous areas. Full article
(This article belongs to the Section Building Structures)
Show Figures

Figure 1

44 pages, 25578 KB  
Review
Remote Sensing and Modeling of the Cryosphere in High Mountain Asia: A Multidisciplinary Review
by Qinghua Ye, Yuzhe Wang, Lin Liu, Linan Guo, Xueqin Zhang, Liyun Dai, Limin Zhai, Yafan Hu, Nauman Ali, Xinhui Ji, Youhua Ran, Yubao Qiu, Lijuan Shi, Tao Che, Ninglian Wang, Xin Li and Liping Zhu
Remote Sens. 2024, 16(10), 1709; https://doi.org/10.3390/rs16101709 - 11 May 2024
Cited by 14 | Viewed by 7142
Abstract
Over the past decades, the cryosphere has changed significantly in High Mountain Asia (HMA), leading to multiple natural hazards such as rock–ice avalanches, glacier collapse, debris flows, landslides, and glacial lake outburst floods (GLOFs). Monitoring cryosphere change and evaluating its hydrological effects are [...] Read more.
Over the past decades, the cryosphere has changed significantly in High Mountain Asia (HMA), leading to multiple natural hazards such as rock–ice avalanches, glacier collapse, debris flows, landslides, and glacial lake outburst floods (GLOFs). Monitoring cryosphere change and evaluating its hydrological effects are essential for studying climate change, the hydrological cycle, water resource management, and natural disaster mitigation and prevention. However, knowledge gaps, data uncertainties, and other substantial challenges limit comprehensive research in climate–cryosphere–hydrology–hazard systems. To address this, we provide an up-to-date, comprehensive, multidisciplinary review of remote sensing techniques in cryosphere studies, demonstrating primary methodologies for delineating glaciers and measuring geodetic glacier mass balance change, glacier thickness, glacier motion or ice velocity, snow extent and water equivalent, frozen ground or frozen soil, lake ice, and glacier-related hazards. The principal results and data achievements are summarized, including URL links for available products and related data platforms. We then describe the main challenges for cryosphere monitoring using satellite-based datasets. Among these challenges, the most significant limitations in accurate data inversion from remotely sensed data are attributed to the high uncertainties and inconsistent estimations due to rough terrain, the various techniques employed, data variability across the same regions (e.g., glacier mass balance change, snow depth retrieval, and the active layer thickness of frozen ground), and poor-quality optical images due to cloudy weather. The paucity of ground observations and validations with few long-term, continuous datasets also limits the utilization of satellite-based cryosphere studies and large-scale hydrological models. Lastly, we address potential breakthroughs in future studies, i.e., (1) outlining debris-covered glacier margins explicitly involving glacier areas in rough mountain shadows, (2) developing highly accurate snow depth retrieval methods by establishing a microwave emission model of snowpack in mountainous regions, (3) advancing techniques for subsurface complex freeze–thaw process observations from space, (4) filling knowledge gaps on scattering mechanisms varying with surface features (e.g., lake ice thickness and varying snow features on lake ice), and (5) improving and cross-verifying the data retrieval accuracy by combining different remote sensing techniques and physical models using machine learning methods and assimilation of multiple high-temporal-resolution datasets from multiple platforms. This comprehensive, multidisciplinary review highlights cryospheric studies incorporating spaceborne observations and hydrological models from diversified techniques/methodologies (e.g., multi-spectral optical data with thermal bands, SAR, InSAR, passive microwave, and altimetry), providing a valuable reference for what scientists have achieved in cryosphere change research and its hydrological effects on the Third Pole. Full article
(This article belongs to the Section Remote Sensing in Geology, Geomorphology and Hydrology)
Show Figures

Figure 1

22 pages, 20025 KB  
Article
Distribution and Stabilization Mechanisms of Stable Landslide Dams
by Liang Song, Yunsheng Wang, Yuchao Zhao, Zhuolin Xiao, Zhuo Feng, Shicheng Liu and Tao Tang
Sustainability 2024, 16(9), 3646; https://doi.org/10.3390/su16093646 - 26 Apr 2024
Cited by 1 | Viewed by 2585
Abstract
Landslide dams, especially stable landslide dams, have been recognised as important contributors to regional geomorphological evolution. The eastern edge of the Tibetan Plateau provides good conditions for the formation of stable landslide dams. To identify stable landslide dams on the eastern margin of [...] Read more.
Landslide dams, especially stable landslide dams, have been recognised as important contributors to regional geomorphological evolution. The eastern edge of the Tibetan Plateau provides good conditions for the formation of stable landslide dams. To identify stable landslide dams on the eastern margin of the Tibetan Plateau, the Google Earth Engine (GEE) was first used to map water surfaces in the study area. Then, stable landslide dams were identified using high-precision remote sensing images provided by Google Earth. A field investigation and a sampling of typical stable landslide dams were also adopted to characterise the landslide dams. The results show that 101 stable landslide dams are present in the study area, covering an area of 27.75 × 104 km2. There are four types of stable landslide dams, as follows: (1) landslides, (2) rock avalanches, (3) moraines, and (4) debris flows. The morphological parameters of a dam, which include dam height, dam width, dam volume, and catchment area, can be fitted with different relationship curves, with respect to the number of landslide dams. The source areas of landslide dams are generally located in the upper-middle and upper sections of adjacent mountains. The stability of a landslide dam is mainly controlled by the structure of the dam and the relationship between the dam volume and catchment area. Structurally, large rocks with large particle sizes are difficult to activate using river water and the large gaps between the rocks provide sufficient channels for the flow of river water. In regard to the relationship between the dam volume and catchment area, a river with a small catchment area in the study area is commonly blocked by a large dam volume. This study provides a unique opportunity to study the spatial distribution and clarify the factors influencing the stability of stable landslide dams. Full article
Show Figures

Figure 1

16 pages, 7776 KB  
Article
Effect of Rockfall Spatial Representation on the Accuracy and Reliability of Susceptibility Models (The Case of the Haouz Dorsale Calcaire, Morocco)
by Youssef El Miloudi, Younes El Kharim, Ali Bounab and Rachid El Hamdouni
Land 2024, 13(2), 176; https://doi.org/10.3390/land13020176 - 2 Feb 2024
Cited by 6 | Viewed by 2007
Abstract
Rockfalls can cause loss of life and material damage. In Northern Morocco, rockfalls and rock avalanche-deposits are frequent, especially in the Dorsale Calcaire morpho-structural unit, which is mostly formed by Jurassic limestone and dolostone formations. In this study, we focus exclusively on its [...] Read more.
Rockfalls can cause loss of life and material damage. In Northern Morocco, rockfalls and rock avalanche-deposits are frequent, especially in the Dorsale Calcaire morpho-structural unit, which is mostly formed by Jurassic limestone and dolostone formations. In this study, we focus exclusively on its northern segment, conventionally known as “the Haouz subunit”. First, a rockfall inventory was conducted. Then, two datasets were prepared: one covering exclusively the source area and the other representing the entirety of the mass movements (source + propagation area). Two algorithms were then used to build rockfall susceptibility models (RSMs). The first one (Logistic Regression: LR) yielded the most unreliable results, where the RSM derived from the source area dataset significantly outperformed the one based on the entirety of the rockfall affected area, despite the lack of significant visual differences between both models. However, the RSMs produced using Artificial Neural Networks (ANNs) were more or less similar in terms of accuracy, despite the source area model being more conservative. This result is unexpected given the fact that previous studies proved the robustness of the LR algorithm and the sensitivity of ANN models. However, we believe that the non-linear correlation between the spatial distribution of the rockfall propagation area and that of the conditioning factors used to compute the models explains why modeling rockfalls in particular differs from other types of landslides. Full article
Show Figures

Figure 1

4 pages, 176 KB  
Editorial
Machine Learning Modeling for Spatial-Temporal Prediction of Geohazard
by Junwei Ma and Jie Dou
Sensors 2023, 23(22), 9262; https://doi.org/10.3390/s23229262 - 18 Nov 2023
Cited by 1 | Viewed by 2231
Abstract
Geohazards, such as landslides, rock avalanches, debris flow, ground fissures, and ground subsidence, pose significant threats to people’s lives and property [...] Full article
Back to TopTop