Next Article in Journal
Moving Healthcare AI Support Systems for Visually Detectable Diseases to Constrained Devices
Previous Article in Journal
Optimization of the Monte Carlo Simulation to Improve the Calibration Uncertainty of Volume Meters for Hydrocarbons Custody Transfer
 
 
Font Type:
Arial Georgia Verdana
Font Size:
Aa Aa Aa
Line Spacing:
Column Width:
Background:
Article

Influence of Ice Fragments on the Scraping Effect of Rock–Ice Avalanches: Insights from Physical Model Experiments

College of Water Conservancy and Hydropower Engineering, Sichuan Agricultural University, Ya’an 625014, China
*
Author to whom correspondence should be addressed.
Appl. Sci. 2024, 14(24), 11473; https://doi.org/10.3390/app142411473
Submission received: 13 October 2024 / Revised: 6 December 2024 / Accepted: 6 December 2024 / Published: 10 December 2024

Abstract

Research on the scraping effects of rock–ice avalanches remains relatively limited. This study investigates the evolution of rock–ice avalanches with varying ice content and initial accumulation forms during motion, scraping, and deposition using laboratory physical model experiments. Changes in pre- scraping velocity, scraping length, scraping depth, maximum deposition length, and deposition thickness were analyzed as functions of ice content. The analysis revealed the influence of ice content and initial accumulation on scraping effects, as well as on motion and deposition characteristics. The experimental results indicate that, compared to typical debris flows (without ice), the presence of ice significantly enhances the mobility, deposition features, and scraping effects of rock–ice avalanches. Through analysis, it is shown that the low friction of ice debris enhances the kinetic energy of ice-rock debris flows, thereby increasing the energy required for scraping.

1. Introduction

Rock–ice avalanches are high-velocity, long-runout flows that occur on alpine slopes when glaciers collapse due to gravity. This process involves the conversion of potential energy into kinetic energy, leading to the disintegration of the glacier and the scraping of underlying loose materials. These avalanches possess highly complex internal structures and exhibit unique movement characteristics [1,2]. In recent years, the intensification of global warming has accelerated glacier melt, posing a significant threat to glaciers in regions such as Tibet and Qinghai [3,4]. Consequently, the frequency of rock–ice avalanche events has been rising. Table 1 provides a summary of typical rock–ice avalanche disaster events. It reveals that rock–ice avalanches are not only characterized by large volumes, high velocities, and long travel distances but also by their significant destructive potential.
Research on rock–ice avalanches mainly focuses on two aspects: their motion characteristics and impact characteristics. Compared to ordinary debris flows, rock–ice avalanches exhibit greater mobility and travel longer distances [2]. Additionally, some researchers have used numerical simulations to show that the travel distance of rock–ice debris flows is 30% greater than that of ordinary debris flows [5]. In indoor model experiments, researchers have conducted chute tests to investigate the impact of ice debris on the motion and impact characteristics of rock–ice avalanches. The results show that the presence of ice debris enhances both the motion and impact characteristics of rock–ice avalanches [6,7,8]. However, during the motion of debris flows, the scraping effect is a key stage in the amplification of the disaster process [9], and rock–ice avalanches are no exception. For example, on 14 December 1991, a mixture of 12 × 106 m3 of rock–ice debris fell from the summit of Mount Cook within two minutes, traveling 7.5 km at an average speed of 60 m/s. During this process, a large amount of ice debris was scraped, and the volume of the accumulated mass reached 60 × 106 to 80 × 106 m3, resulting in a 10-m lowering of the summit elevation [10]. To date, however, no in-depth studies have been conducted on thescraping effect in rock–ice avalanches.
Table 1. Typical ice-rock avalanche events.
Table 1. Typical ice-rock avalanche events.
TimeRegion NameVolume/(m3)Velocity/(m/s)Travel Distances/(km)Disaster Situation
3 July 1902The Kolka-Karmadon Glacier in the Russian Caucasus region75~110 × 1065012 It resulted in 36 deaths [11].
10 January 1962The Andes Mountains in Peru50~100 × 106 4715It destroyed villages, roads, and bridges, causing 4000 fatalities [2,12].
31 May 1970The Andes Mountains in Peru13 × 10678-It caused over 18,000 fatalities among villagers [2,12].
20 September 2002The Kolka-Karmadon Glacier in the Russian Caucasus region.100~140 × 106 -19 It affected an area of 12.5 km2, resulting in 140 fatalities [11,13].
7 February 2021Chamoli region, Indiaabout 26.9 × 106 6011The event resulted in at least 200 deaths or missing persons, along with the destruction of two hydroelectric stations [14,15].
9 April 2000Zhamu Nonggou in Yigong Township, Bomê County, Nyingchi Prefecture, Tibet, China.300 × 106 37~398 It blocked the Yigong Zangbu River, forming a dam that posed a severe threat to downstream safety [16,17].
October 2018Sedongpu Gully of Yarlung Tsangpo River in China30~66 × 1062010It affected 16,600 people. The downstream Mêdog Yarang hydropower station experienced turbine flooding, resulting in a power outage [18,19,20].
Given that rock–ice avalanches exhibit scraping processes similar to those of debris flows, existing studies on the scraping effects of avalanches, mudflows, and debris flows offer valuable insights for understanding the scraping effect in rock–ice avalanches. Early studies primarily focused on analyzing the shoveling process itself. For instance, Dufresne et al. examined how substrate materials, thickness, and track shape influence the shoveling effect by studying the sliding behavior of coal ash particles of various sizes on different substrates [21]. Subsequent research involved a series of indoor physical model experiments that investigated the effects of substrate thickness, sliding material properties, and particle mass on the scraping effect. These experiments, conducted using flumes and chutes, revealed that reducing substrate thickness, increasing debris flow mass, and enlarging particle sizes significantly enhance the scraping effect [22,23,24]. Additionally, studies on the scraping mechanisms of rockfalls and avalanches have shown that these mechanisms involve impact erosion, abrasion, liquefaction, and plowing. Analysis from the perspective of particle interactions indicates that liquefaction and plowing effects are most pronounced at the front of the avalanche [25].
Studies on rock–ice avalanches, a typical geological hazard in cold regions, have predominantly focused on the fundamental study of the mobility and impact forces of ice debris. However, investigations into the effect of ice debris on the scraping process during avalanche motion remain in the early stages. To address this gap, the present study aims to investigate the impact and characteristics of the scraping effect in rock–ice avalanches through controlled chute experiments utilizing high-speed cameras. Specifically, the study analyzes how variations in ice content and initial deposition morphology influence the scraping effect while also assessing the applicability of scraping depth calculation models using experimental data. This work provides a theoretical foundation for understanding the motion dynamics in the initial stages of rock–ice avalanches and contributes to the development of mechanisms underlying thescraping effect.

2. Physical Model Experiments

2.1. Experimental Apparatus

Rock–ice avalanches occur in high-altitude, cold mountain regions, where they typically have long return periods but short durations, making direct field observations challenging. To address this, and drawing on prior laboratory studies of debris flows and mudslides [23,26], the present study uses flume experiments coupled with high-speed imaging to replicate the shear-scraping phenomena during the motion of rock–ice avalanches, with a focus on understanding the impact of ice debris. The experimental setup was optimized according to the specific conditions of the study. The primary modification involved adjusting the slope of the chute to ensure that the rock–ice avalanche reaches a sufficiently high speed while allowing the basal material to accumulate smoothly in the chute prior to being scraped. The setup consists of both an upper and a lower chute, with adjustable slopes for each, enabling precise control over the experimental conditions. The experimental design did not aim to strictly replicate the characteristics of any specific rock–ice avalanche event. Instead, it focused on investigating how ice debris affects the impact and shear-scraping processes within the flow. The material composition of the experimental model was selected to closely match that of real-world rock–ice avalanches, ensuring that the densities of both ice and rock were consistent with natural conditions (λρ = 1). Other similarity factors were not considered critical to the investigation of shear-scraping effects. Previous studies on the flow dynamics and impact forces of rock–ice avalanches have similarly emphasized the importance of matching material composition [8,27,28].
This experimental setup consists of four main components: the upper flume, lower flume, accumulation plate, and data monitoring system, as shown in Figure 1. Measuring 1.5 m × 0.36 m × 0.3 m (length × width × height), the upper flume’s slope can be adjusted between 0° and 60° by altering the position of the connecting section. At the top of the upper flume is a material hopper, which is 0.3 m in length, whose door is manually operated to release materials. The effective distance from the hopper door to the junction between the upper and lower flumes is 1.2 m. With dimensions of 1 m × 0.36 m × 0.3 m (length × width × height), the lower flume also allows slope adjustment, ranging from 0° to 35°. It is designed to accommodate the accumulation of scraped material, with horizontal and vertical scale rulers affixed to its sidewalls for recording scraping features. To ensure accurate tracking of the avalanche movement and scraping process, the sidewalls of both the upper and lower flumes are constructed from transparent polycarbonate (PC) panels, while the base is made from hardwood. Situated at the end of the lower flume, the accumulation plate measures 2.3 m × 1.2 m and is constructed from standard board material.
For data monitoring, the system includes a regular camera (Camera 1) and a high-speed camera (FASTCAM MiniX50 Photron, Tokyo, Japan, Camera 2). Camera 1 captures the accumulation of material after the rock–ice avalanche impacts and scrapes the base, while Camera 2 records the avalanche’s movement prior to scraping. This allows for the calculation of flow velocity and offers a dynamic view of the scraping process.

2.2. Experimental Materials and Plans

Natural rock–ice avalanches are characterized by a wide variety of particle sizes and irregular, non-fixed shapes. In laboratory experiments, however, ice blocks are typically produced using standardized molds, which enhances production efficiency and allows for better control over particle size and shape. To ensure that the particle size difference between the ice and rock fragments does not significantly affect the results, rock fragments are selected to match the size range of the ice blocks. In addition, the influence of the flume’s side walls on particle flow and boundary effects is considered. Furthermore, the influence of the side walls of the flume on the particle flow boundary effects should be considered. When the ratio of the flume width to the average particle diameter exceeds 20 times, the impact of the boundary effects on the flow can be considered negligible [29,30]. In line with these considerations, the ice blocks and rock fragments used in the experiments were prepared as shown in Figure 2. The particle densities were measured using the drainage method. Ice blocks, each with dimensions of 2 cm × 2 cm × 2 cm, had a density of 920 kg/m3. The rock fragments, selected for their particle size range of 10–20 mm and average size of 15.8 mm, had a density of 2982.59 kg/m3 and a total mass of 15 kg. The gravel layer at the flume’s base, with a particle size range of 5–10 mm and an average size of 5.9 mm, had a density of 2765.97 kg/m3 and a mass of 10 kg.
The ice content of the rock–ice mixture was controlled by mass percentage. Therefore, prior to each experiment, the two materials needed to be stacked in specific mass ratios according to the experimental conditions.
The slope of the upper flume was set at 35°, while that of the lower flume remained at 20°, both of which were maintained consistently throughout the experiments. Drawing on preliminary trials and previous studies on rock–ice avalanches [27], two key factors—ice content and initial deposition configuration—were selected to examine the influence of ice particles on the scraping effect in rock–ice avalanches. The rock–ice mixture was thoroughly mixed, with the initial mass kept constant at 15 kg. Ice content varied from 0% to 100%, with 10% intervals; the 0% (pure gravel) and 100% (pure ice) groups served as controls, resulting in a total of 11 experimental groups. This design allowed for the investigation of ice content’s impact on the scraping effect. Three initial deposition configurations were tested: ice on top of rock, rock on top of ice, and a mixed deposition. For each configuration, ice content ranged from 30% to 70%, with 10% increments, to assess the effect of initial deposition arrangement on the scouring behavior. Detailed deposition methods are shown in Figure 3, with experimental conditions provided in Table 2.
The equivalent friction angles and repose angles between the particles and the base, as well as between the particles and the side walls of the flume, were determined under various experimental conditions using the methods of friction angle measurement [31] and repose angle measurement [32].
In the experimental setup, high-speed camera 2 was configured with a sampling rate of 1000 fps and a data acquisition frequency of 500 Hz, while camera 1 was set to a frame rate of 60 fps and a resolution of 4K. To ensure the accuracy of the results, several preparatory steps were taken before each trial: First, the flume slope was carefully checked to ensure it met the experimental requirements. Next, both the flume and accumulation plate were cleaned using ice-cold water at 0 °C and thoroughly cooled. Afterward, any residual moisture was removed with paper towels, ensuring clean and dry surfaces. Additionally, the cameras were repositioned and tested to confirm they could clearly capture the entire experimental process. The experiments were conducted indoors, with test conditions maintained between −3 °C and −1 °C. The laboratory environment, which was spacious and well-ventilated, had a temperature similar to that of the outdoors. Given that each experimental run was relatively brief, any potential effects from ice melting into liquid water were deemed negligible.

3. Results and Analysis

3.1. Influence of Ice Content on the Scraping Effect

To quantitatively characterize the scraping patterns, the scraping characteristics of rock–ice avalanches were assessed by analyzing horizontal and vertical measurements from the adhesive scales on the side panels of the lower chute following the scraping process. The scraping length is defined as the horizontal distance from the 0 mark on the horizontal scale (indicating the initial highest accumulation point of the base material) to the highest point of the base material accumulation after the scraping event. The maximum scraping depth is determined by subtracting the thickness at the lowest point of the base material post- scraping from the initial accumulation thickness (8 cm). Conversely, the minimum scraping depth is calculated by subtracting the thickness at the highest point of the base material from the initial thickness. The methodology for measuring these scraping characteristics is depicted in Figure 4.
When the ice content is below 70%, both the scraping length and depth increase progressively with higher ice content. The scraping length peaks at an ice content between 70% and 80%, after which it begins to decrease as the ice content continues to rise. The presence of ice notably enhances the scraping length, increasing it by up to approximately 2.12 times, and the maximum craping depth, by up to approximately 0.63 times (Figure 5). The relationship between scraping characteristics and ice content demonstrates that a certain proportion of ice enhances the scraping effect of rock–ice avalanches on the base material, with the most pronounced effect observed at 70% ice content.
By comparing the scraping effects of the three initial accumulation forms, it is evident that the mixed accumulation form produces the most significant effect, whereas the “ice on top of stones” form results in the weakest effect (Figure 6a,b). Analysis of the scraping process in rock–ice avalanches indicates that the initial accumulation forms significantly influence the scraping effect by affecting the behavior of the leading material in the debris flow. In the stones on top of ice initial accumulation form, ice particles initially rush toward the base material during scraping. These lighter ice particles rapidly accumulate in front of the base material, obstructing the subsequent debris flow particles from scraping the base and causing them to accumulate on the chute. Conversely, in the ice on top of stones initial accumulation form, gravel particles first impact the base material, while the ice particles follow and flow over the debris flow’s top layer. Consequently, most ice particles bypass the scraping zone and move directly toward the deposition plate, resulting in a weakerscraping effect. The mixed initial accumulation form effectively mitigates these issues, leading to the most significant scraping effect.

3.2. Impact of Ice Content on Deposition Characteristics

Under identical initial accumulation forms, debris flows with varying ice contents display distinct accumulation patterns after scraping the same base material. As the ice content increases, the deposition length on the flat panel lengthens and the accumulation area expands (Figure 7). This trend indicates that higher ice content enhances the rock–ice avalanches capacity to cover a larger area and achieve greater accumulation lengths following the scraping process.
The maximum deposition length and thickness of rock–ice avalanches increase progressively with ice content. For the pure ice group (100% ice content), the maximum deposition length is approximately 4.15 times greater than that of the pure rock group (0% ice content). The increase in deposition thickness is even more pronounced, with the pure ice group exhibiting an 8.2-fold increase compared to the pure rock group (Figure 8).
Analysis of these results indicates that during the scraping process, a portion of the rock–ice mixture scrapes the base material and continues to move, eventually depositing on the plate. The rock–ice mixture located above the scraping zone bypasses this area and accumulates directly on the plate. Given that ice has a lower density than rock, and the total mass remains constant, a higher ice content leads to a larger relative volume of ice in the initiating material. Consequently, as ice content increases, the volume of the mixture that flows directly to the plate also increases, resulting in a progressive rise in both maximum deposition length and thickness.
Observations of the deposition plate revealed that the deposition primarily consists of ice blocks. During retrieval, it was noted that the upper layer of the deposited material is composed mainly of ice blocks, while the lower layer contains some particles from the scraped base material and rock particles from the initial mixture. A distinct particle segregation phenomenon was observed, with particles separating based on size, density, and shape during the flow process [26]. This segregation effect results in the deposition patterns shown in the figure, demonstrating how the lower density of ice compared to rock influences particle distribution during the sscraping process.

4. Discussion

4.1. Analysis of the Scraping Process

Figure 9 shows images of the scraping process captured by high-speed cameras during the experiment. Analysis of these images, detailed in the microscopic view of the scraping process (Figure 10), reveals that the scraping dynamics of rock–ice avalanches align with those observed in typical debris flows [27]. Initially, the debris flow moves toward the stable and loose base material on the plate under the influence of gravity. When the leading edge of the debris flow makes contact with the base material, the lower layer of particles applies a shoveling force, displacing the base material. Concurrently, the upper layer of particles exerts a shearing force, inducing shear failure in the base material. As the debris flow progresses, the rear particles continue to displace the base material, while the upper particles push against the already-sheared base material, causing further shear displacement. Ultimately, the debris flow, now mixed with fragmented base material particles, continues to slide down the chute under gravity until it achieves a stable deposition.

4.2. Assessment of Scraping Depth in Rock–Ice Avalanches

The measured base friction angles and flow depth were applied to the frictional model in the shear constitutive model [33,34] to describe the scraping effect of debris flows. This approach was used to assess the applicability of the model for calculating the scouring depth of rock–ice avalanches. The sliding force generated by the debris flow is computed using the following equation:
S = W d cos β tan φ
The shear resistance of the deposited soil layer is determined by the Mohr-Coulomb criterion:
τ = σ tan φ = W cos β tan φ
The scraping depth of the debris flow is then calculated using:
Z b = γ d Z d ( tan φ tan φ ) γ b tan φ
where β is the angle between the sliding surface and the horizontal plane, γ d is the bulk density of the debris flow, γ b is the bulk density of the deposited material, Z d is the thickness of the debris flow, φ is the internal friction angle of the deposited soil, φ is the equivalent friction angle between the debris flow and the substrate. The gravitational calculation formula is: W d = γ d Z d .
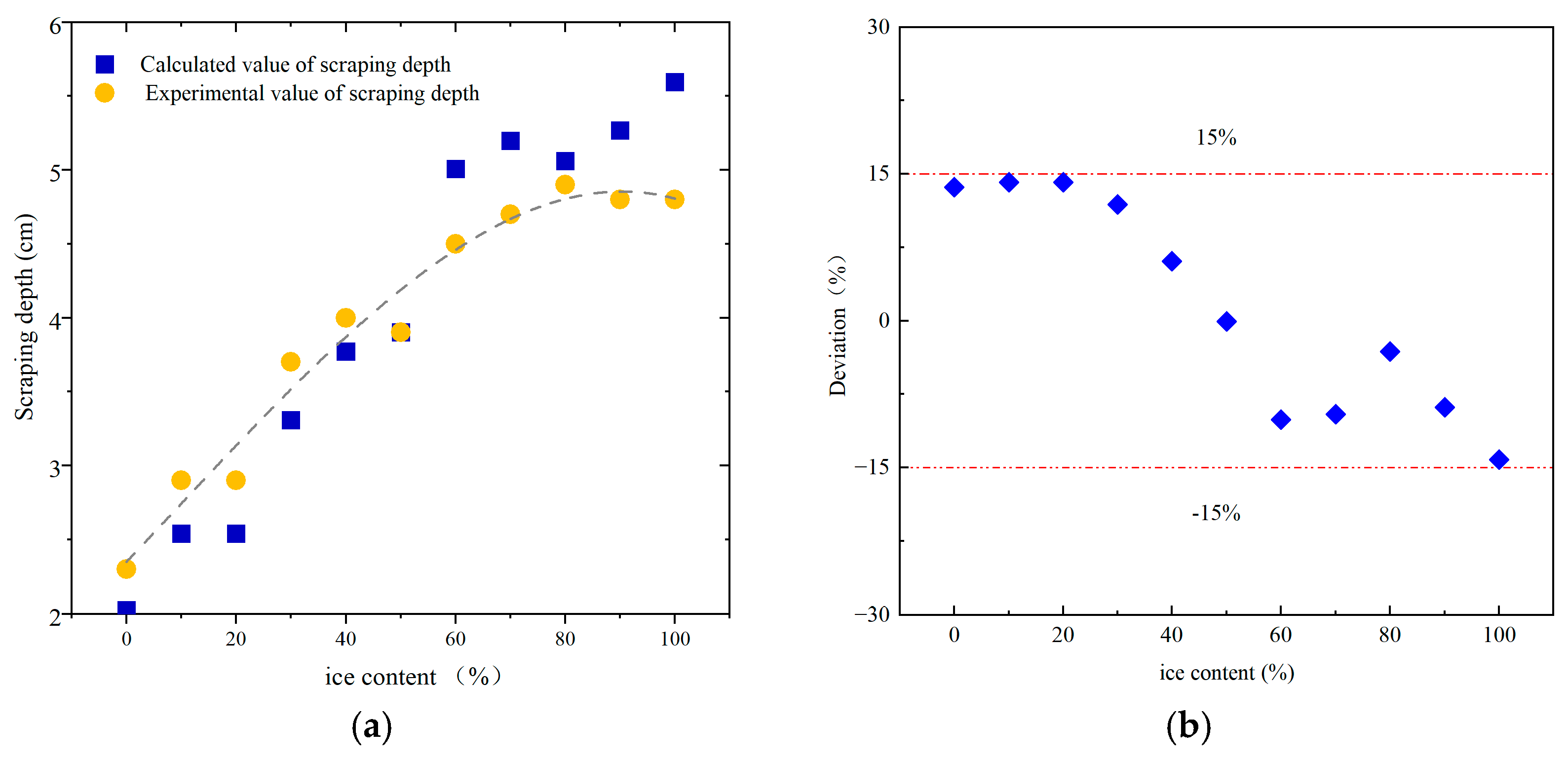
While the calculated scraping g depths show a deviation within ±15% of the experimental values, analysis of Figure 11a reveals that when the ice content is below 80%, both experimental and calculated scouring depths exhibit a clear increasing trend as ice content rises. However, when the ice content exceeds 80%, the calculated scraping depth continues to increase, while the experimental scouring depth starts to decrease. A comparison with existing research on rock–ice avalanches indicates that the influence of ice content on the dynamics and impact characteristics of rock–ice avalanches reaches a certain threshold [7,27]. The present experiments, however, do not provide a definitive explanation for this phenomenon. As such, the current model shows considerable limitations in its application to the scraping effect of rock–ice avalanches. Future studies should focus on investigating the underlying causes of this behavior and refining the model to improve its accuracy in predicting the scraping effect.

4.3. Mechanism of Amplified Scraping Effect in Ice-Rock Debris Flows

As debris particles transition from the initiation zone to the scraping zone, a progressive elongation of the mixed particles is observed. In this physical model experiment, the velocity of the leading particles in the debris flow was determined by analyzing frames in reverse, using them as reference points to estimate the pre-scraping velocity. Upon entering the scraping zone, particles begin to accumulate above the scraping area. When the accumulation reaches a certain thickness, it influences the velocity of the leading particles. Therefore, the velocity measurement should be conducted at a location preceding the scraping zone. As depicted in Figure 11a, the flow velocity was quantified by calculating the average speed 30 cm before the scraping zone using high-speed camera footage. Figure 11b presents the correlation between the pre-scraping velocity and ice content.
As shown in Figure 12b, the pre-scraping velocity of rock–ice avalanches increases progressively with higher ice content. Among the three initial accumulation forms, the mixed configuration yields the highest pre-scraping velocity. Upon opening the material bin valve, the particles at the base of all accumulations begin to move first. In the ice on rock configuration, the rocks initiate movement first, followed by the overlying ice. Due to the higher friction coefficient between the rocks and the base compared to the ice, this configuration exhibits the lowest pre-scraping velocity. In contrast, in the stones on top of ice configuration, the gravel exerts pressure on the underlying ice particles, enhancing gravitational acceleration and consequently increasing the movement speed. As a result, the stones on ice configuration achieves the highest pre-scraping velocity.
The equivalent friction angle between the particles and the base decreases as ice content increases, while the flow depth of the debris flow correspondingly increases (Table 2). This suggests that the presence of ice reduces friction between the debris flow and the base, enhancing flow depth and other dynamic characteristics, thereby intensifyingscraping effect (Equation (3)).
Several studies have investigated the factors contributing to the enhanced motion characteristics of rock–ice avalanches. According to the friction-reduction mechanism in these flows, ice particles, being low-friction materials [35], not only reduce friction through their role as a component within the debris but also act as an ice layer that decreases friction with the underlying surface. Furthermore, drum tests have similarly demonstrated that the low-friction properties of ice reduce the resistance between particles and between particles and the substrate [36], thereby enhancing the mobility of the rock–ice avalanche.
T The physical model experiment, designed to maintain consistent gravitational potential energy in rock–ice avalanches, provided insights into the energy dynamics during both the movement and the scraping processes Specifically, the low-friction characteristics of ice reduce both the resistance of the debris flow on the chute and the inter-particle friction, thereby decreasing frictional energy dissipation. As a result, a greater proportion of gravitational potential energy is converted into kinetic energy, increasing the energy available for scraping and thus intensifying the scraping effect (Figure 13).

5. Conclusions

This study employed a chute test apparatus to investigate the effects of ice content and initial deposition configuration on the scraping effect of rock–ice avalanches. The following conclusions were drawn:
The scraping effects (in terms of scraping length and depth) of rock–ice avalanches generally increase with higher ice content. The mixed accumulation form exhibits significantly stronger scraping effects compared to the ice on top of stones and stones on top of ice forms.
During the shoveling–scraping process, the leading particles of the rock–ice avalanches primarily induce shear failure in the stable substrate. As the flow progresses, subsequent particles gradually push the sheared substrate material forward, resulting in shear displacement and the characteristic scraping features.
The low friction characteristics of ice particles, along with the presence of meltwater, significantly enhance the mobility of rock–ice avalanches. This, in turn, increases the kinetic energy prior to the scraping event, leading to a gradual amplification of the energy converted into scraping, thereby intensifying the scraping effect.

6. Outlook

This study, based on physical model experiments, provides valuable insights into the effects of ice content and initial deposition configurations on the motion, scouring, and deposition processes of rock–ice avalanches. While notable progress has been made, several aspects remain underexplored and warrant further investigation in future research.
This study offers a preliminary assessment of the scraping effect of rock–ice avalanches; however, the precise mechanisms by which increased ice content induces peak scraping effects, as well as the influence of meltwater during high-velocity motion on the scraping process, have not been fully explored. Future work should address these gaps by developing more accurate numerical models, integrated with observational data, to better understand the dynamic mechanical and energy transformations during the scrapping process of rock–ice avalanches. A more in-depth exploration of these aspects will help clarify the underlying physical mechanisms. Furthermore, future studies should focus on enhancing the practical applicability of the experimental results to real-world rock–ice avalanche events.
The role of ice in the early-stage dynamics of rock–ice avalanches provides crucial scientific insights for the development of effective disaster prevention strategies. Subsequent research should expand the investigation of the rock–ice avalanche disaster chain, particularly regarding accumulation patterns and spatial distribution. Quantitative hazard assessments should integrate factors such as regional climate, topography, and snow-ice conditions. Additionally, early warning systems for potential rock–ice avalanche disasters should be developed using technologies such as remote sensing, drones, satellites, and ground-based sensor networks. Engineering measures, such as multifunctional snow barriers, stabilization of ice layers, and terrain modification, should be implemented to mitigate the occurrence of rock–ice avalanches. The successful application of these measures will enhance disaster prevention and mitigation capabilities, reduce associated risks, safeguard lives and property, and support regional sustainable development.

Author Contributions

Z.L. (Ziyi Lin), Z.L. (Zhouyi Li), S.L., M.H. and P.Y. contributed to the conception and design of the study. Z.L. (Ziyi Lin) led the data collection and analysis. Z.L. (Zhouyi Li) and S.L. assisted in data interpretation and provided critical revisions to the manuscript. M.H. contributed to the methodology development and helped with the literature review. P.Y. supervised the entire project, provided guidance throughout the research process, and contributed significantly to the manuscript writing and final approval. All authors have read and agreed to the published version of the manuscript.

Funding

Natural Science Foundation of Sichuan Province (2022NSFSC1123) and China Scholarship Council NO. 202206915017.

Institutional Review Board Statement

Not applicable.

Informed Consent Statement

Not applicable.

Data Availability Statement

The data generated and analyzed during this study are available on request from the corresponding author. The data are not publicly available due to ongoing research and analysis.

Acknowledgments

We would like to express our heartfelt gratitude to College of Water Conservancy and Hydropower Engineering, Sichuan Agricultural University, for providing the resources, facilities, and academic environment that greatly supported the completion of this study.

Conflicts of Interest

The authors declare no conflict of interest.

References

  1. Zhang, M.; Yin, Y.; Wu, S.; Zhang, Y. Development status and prospects of studies on kinem atics of long runout rock abalanches. J. Eng. Geol. 2010, 18, 805–817. [Google Scholar]
  2. Evans, S.G.; Bishop, N.F.; Smoll, L.F.; Murillo, P.V.; Delaney, K.B.; Oliver-Smith, A. A Re-Examination of the Mechanism and Human Impact of Catastrophic Mass Flows Originating on Nevado Huascarán. Cordillera Blanca, Peru in 1962 and 1970. Eng. Geol. 2009, 108, 96–118. [Google Scholar] [CrossRef]
  3. Huss, M.; Hock, R. Global-scale hydrological response to future glacier mass loss. Nat. Clim. Change 2018, 8, 135–140. [Google Scholar] [CrossRef]
  4. Zhang, Y.; Kang, S. Melting glaciers threaten ice core science on the Tibetan Plateau. Nat. Geosci. 2023, 16, 656–657. [Google Scholar] [CrossRef]
  5. Bottino, G.; Chiarle, M.; Joly, A.; Mortara, G. Modelling Rock Avalanches and Their Relation to Permafrost Degradation in Glacial Environments. Permafr. Periglac. Process. 2002, 13, 283–288. [Google Scholar] [CrossRef]
  6. Yang, Q.; Su, Z.; Chen, L.; Huang, L. Flume tests on influence of ice to mobility of rock-ice avalanches. J. Eng. Geol. 2015, 23, 1117–1126. [Google Scholar] [CrossRef]
  7. Yang, Q.; Su, Z.; Cheng, Q.; Ren, Y.; Cai, F. High mobility of rock-ice avalanches: Insights from small flume tests of gravel-ice mixtures. Eng. Geol. 2019, 260, 105260. [Google Scholar] [CrossRef]
  8. Ren, Y.; Yang, Q.; Cheng, Q.; Cai, F.; Su, Z. Solid-liquid interaction caused by minor wetting in gravel-ice mixtures: A key factor for the mobility of rock-ice avalanches. Eng. Geol. 2021, 286, 106072. [Google Scholar] [CrossRef]
  9. Shen, Y.; Chen, S.; Zhang, L.; Ma, P.; Tian, S.; Ma, W. High-altitude initiation, dynamic collapse and phase transformation of mountain snow-ice melt geological disaster chain. J. Glaciol. Geocryol. 2022, 44, 643–656. [Google Scholar] [CrossRef]
  10. McSaveney, M.J. Recent rockfalls and rock avalanches in Mount Cook National Park, New Zealand. In Catastrophic Landslides: Effects, Occurrence, and Mechanisms; Evans, S.G., Degraff, J.V., Eds.; Geological Society of America: Boulder, CO, USA, 2001; Volume 15. [Google Scholar]
  11. Sosio, R. Chapter 7—Rock–Snow–Ice Avalanches. Landslide Hazards. Risks Disasters 2015, 1, 191–240. [Google Scholar] [CrossRef]
  12. Plafker, P.; Ericksen, G.E. Chapter 8—Nevados Huascarán Avalanches, Peru. Dev. Geotech. Eng. 1978, 14, 277–314. [Google Scholar] [CrossRef]
  13. Huggel, C.; Zgraggen-Oswald, S.; Haeberli, W.; Kääb, A.; Polkvoj, A.; Galushkin, I.; Evans, S.G. The 2002 Rock/Ice Avalanche at Kolka/Karmadon, Russian Caucasus: Assessment of Extraordinary Avalanche Formation and Mobility, and Application of QuickBird Satellite Imagery. Nat. Hazards Earth Syst. Sci. 2005, 5, 173–187. [Google Scholar] [CrossRef]
  14. Shugar, D.H.; Jacquemart, M.; Shean, D.; Bhushan, S.; Upadhyay, K.; Sattar, A.; Schwanghart, W.; McBride, S.; Van Wyk de Vries, M.; Mergili, M.; et al. A massive rock and ice avalanche caused the 2021 disaster at Chamoli, Indian Himalaya. Science 2021, 373, 300–306. [Google Scholar] [CrossRef] [PubMed]
  15. Yin, Y.; Li, B.; Zhang, T.; Wang, M.; Wan, J.; Liu, X.; Gao, Y.; Zhu, S. The February 7 of 2021 glacier-rock avalanche and the outburst flooding disaster chain in Chamoli, India. Chin. J. Geol. Hazard Control 2021, 32, 1–8. [Google Scholar] [CrossRef]
  16. Hu, M.; Cheng, J.; Wang, F. Experimental study on formation of Yigong long-distance high-speed landslide. Chin. J. Rock Mech. Eng. 2009, 28, 138–143. [Google Scholar] [CrossRef]
  17. Xing, A.; Xu, N.; Song, X. Numerical simulation of lake water down-stream flooding due to sudden break age of Yigong land slide dam in Tibet. J. Eng. Geol. 2010, 18, 78–83. [Google Scholar]
  18. Hu, K.; Zhang, X.; You, Y.; Hu, X.; Liu, W.; Li, Y. Landslides and Dammed Lakes Triggered by the 2017 Ms6.9 Milin Earthquake in the Tsangpo Gorge. Landslides 2019, 16, 993–1001. [Google Scholar] [CrossRef]
  19. Liu, C.; Lv, J.; Tong, L.; Chen, H.; Liu, Q.; Xiao, R.; Tu, J. Research on glacial/rock fall-landslide-debris flows in Sedongpu basin along Yarlung Zangbo River in Tibet. Geol. China 2019, 46, 219–234. [Google Scholar] [CrossRef]
  20. Li, K.; Zhang, M.; Xing, A. Numerical runout modeling and dynamic analysis of the ice avalanche-debris flow in Sedongpu Basin along Yarlung Zangbo River in Tibet. Chin. J. Geol. Hazard Control 2021, 32, 18–27. [Google Scholar] [CrossRef]
  21. Dufresne, A.; Davies, T.; McSaveney, M.J. Influence of Runout-Path Material on Emplacement of the Round Top Rock Avalanche, New Zealand. Earth Surf. Process. Landf. 2010, 35, 190–201. [Google Scholar] [CrossRef]
  22. Iverson, R.M. Elementary theory of bed-sediment entrainment by debris flows and avalanches. J. Geophys. Res. Earth Surf. 2012, 117, 1–17. [Google Scholar] [CrossRef]
  23. Zhou, J.; Cui, P.; Hao, M. Comprehensive Analyses of the Initiation and Entrainment Processes of the 2000 Yigong Catastrophic Landslide in Tibet, China. Landslides 2016, 13, 39–54. [Google Scholar] [CrossRef]
  24. Liu, H.; Zhao, H.; Frattini, P.; Crosta, G.B.; Blasio FV, D.; Wan, Y.; Zhu, X. Mobility and erosion of granular flows travelling on an erodible substrate: Insights from the small-scale flume experiments. Eng. Geol. 2023, 326, 107316. [Google Scholar] [CrossRef]
  25. Gauer, P.; Issler, D.; Lied, K.; Kristensen, K.; Iwe, H.; Lied, E.; Rammer, L.; Schreiber, H. On full-scale avalanche measurements at the Ryggfonn test site, Norway. Cold Reg. Sci. Technol. 2007, 49, 39–53. [Google Scholar] [CrossRef]
  26. Barbolini, M.; Biancardi, A.; Cappabianca, F.; Natale, L.; Pagliardi, M. Laboratory study of erosion processes in snow avalanches. Cold Reg. Sci. Technol. 2005, 43, 1–9. [Google Scholar] [CrossRef]
  27. Liu, Y.; Jiang, Y.; Li, X.; Liang, H.; Ning, P.; Zhu, Y. Experimental study the impact mechanism of ice-rock debris flow. Chin. J. Rock Mech. Eng. 2023, 42, 4073–4081. [Google Scholar] [CrossRef]
  28. Wang, C.; Cui, Y.; Song, D.; Nie, J.; Hu, B. Effect of ice content on the interaction between rock–ice avalanche and rigid barrier: Physical and numerical modelling. Comput. Geotech. 2022, 150, 104924. [Google Scholar] [CrossRef]
  29. El Cheikh, K.; Djelal, C.; Vanhove, Y.; Pizette, P.; Rémond, S. Experimental and Numerical Study of Granular Medium-Rough Wall Interface Friction. Adv. Powder Technol. 2018, 29, 130–141. [Google Scholar] [CrossRef]
  30. Valentino, R.; Barla, G.; Montrasio, L. Experimental Analysis and Micromechanical Modelling of Dry Granular Flow and Impacts in Laboratory Flume Tests. Rock Mech. Rock Eng. 2008, 41, 153–177. [Google Scholar] [CrossRef]
  31. McDougall, S.; Hungr, O. Dynamic modelling of entrainment in rapid landslides. Can. Geotech. J. 2005, 42, 1437–1448. [Google Scholar] [CrossRef]
  32. Carrigy, M.A. Experiments on the Angles of Repose of Granular Materials. Sedimentology 1970, 14, 147–158. [Google Scholar] [CrossRef]
  33. Liang, D.; Falconer, R.A.; Lin, B. Comparison between TVD-MacCormack and ADI-type solvers of the shallow water equations. Adv. Water Resour. 2006, 29, 1833–1845. [Google Scholar] [CrossRef]
  34. Wu, J.; Lin, J.; Chen, C. Dynamic discrete analysis of an earthquake-induced large-scale landslide. Int. J. Rock Mech. Min. Sci. 2009, 46, 397–407. [Google Scholar] [CrossRef]
  35. Yang, Q.; Zhen, Y.; Su, Z.; Chen, J.; Ren, Y.; Hou, B. Review on Rock-Ice Avalanches. Earth Sci. 2022, 47, 935–949. [Google Scholar] [CrossRef]
  36. Dong, Z.; Su, L.; Hu, B.; Miao, S. Friction behaviors and flow resistances of rock-ice avalanches. Cold Reg. Sci. Technol. 2024, 220, 104130. [Google Scholar] [CrossRef]
Figure 1. Schematic diagram of the physical model test apparatus (Unit: mm).
Figure 1. Schematic diagram of the physical model test apparatus (Unit: mm).
Applsci 14 11473 g001
Figure 2. Experimental material schematic diagram: (a) the ice cubes are 2 cm× 2 cm× 2 cm; (b) the gravel size is 5–10 mm each; (c) the gravel size is 10–20 mm each.
Figure 2. Experimental material schematic diagram: (a) the ice cubes are 2 cm× 2 cm× 2 cm; (b) the gravel size is 5–10 mm each; (c) the gravel size is 10–20 mm each.
Applsci 14 11473 g002
Figure 3. Schematic diagram of the rock–ice avalanche initiation: (a) Initial accumulation form: uniform mixing; (b) Initial accumulation form: ice on top of stones; (c) Initial accumulation form: stones on top of ice.
Figure 3. Schematic diagram of the rock–ice avalanche initiation: (a) Initial accumulation form: uniform mixing; (b) Initial accumulation form: ice on top of stones; (c) Initial accumulation form: stones on top of ice.
Applsci 14 11473 g003
Figure 4. Schematic diagram of substrate accumulation: (a) before scraping; (b) after scraping.
Figure 4. Schematic diagram of substrate accumulation: (a) before scraping; (b) after scraping.
Applsci 14 11473 g004
Figure 5. Effect of Ice Content on Scraping Effect: (a) relationship between maximum scraping depth and ice content; (b) relationship between scraping length and ice content.
Figure 5. Effect of Ice Content on Scraping Effect: (a) relationship between maximum scraping depth and ice content; (b) relationship between scraping length and ice content.
Applsci 14 11473 g005
Figure 6. Schematic diagram of the relationship between scraping characteristics and three initial ice accumulation forms under varying ice contents: (a) relationship between scraping length and initial ice accumulation form; (b) relationship between maximum scraping depth and initial ice accumulation form.
Figure 6. Schematic diagram of the relationship between scraping characteristics and three initial ice accumulation forms under varying ice contents: (a) relationship between scraping length and initial ice accumulation form; (b) relationship between maximum scraping depth and initial ice accumulation form.
Applsci 14 11473 g006
Figure 7. Final accumulation patterns.
Figure 7. Final accumulation patterns.
Applsci 14 11473 g007
Figure 8. Variation of accumulation characteristics with ice content; (a) variation of maximum deposition length with ice content; (b) variation of deposition thickness with ice content.
Figure 8. Variation of accumulation characteristics with ice content; (a) variation of maximum deposition length with ice content; (b) variation of deposition thickness with ice content.
Applsci 14 11473 g008
Figure 9. Scraping process of rock–ice avalanches (Note: This figure illustrates the scraping process under Condition M-2-6).
Figure 9. Scraping process of rock–ice avalanches (Note: This figure illustrates the scraping process under Condition M-2-6).
Applsci 14 11473 g009
Figure 10. Microscopic stages of the scraping process: (a) Before the scraping of rock-ice avalanches; (b) The early stage of scraping in rock-ice avalanches; (c) The mid-stage of scraping in rock-ice avalanches; (d) After the scraping of rock-ice avalanches.
Figure 10. Microscopic stages of the scraping process: (a) Before the scraping of rock-ice avalanches; (b) The early stage of scraping in rock-ice avalanches; (c) The mid-stage of scraping in rock-ice avalanches; (d) After the scraping of rock-ice avalanches.
Applsci 14 11473 g010
Figure 11. Comparison of the calculated and experimental values of the maximum scraping depth at different ice contents: (a) maximum scraping depth: calculated vs. experimental values; (b) error between calculated and experimental values of the maximum scraping depth.
Figure 11. Comparison of the calculated and experimental values of the maximum scraping depth at different ice contents: (a) maximum scraping depth: calculated vs. experimental values; (b) error between calculated and experimental values of the maximum scraping depth.
Applsci 14 11473 g011
Figure 12. Extraction of flow parameters. ((a) Illustration of flow velocity extraction; (b) relationship between pre-scraping velocity and ice content).
Figure 12. Extraction of flow parameters. ((a) Illustration of flow velocity extraction; (b) relationship between pre-scraping velocity and ice content).
Applsci 14 11473 g012
Figure 13. Diagram of energy changes.
Figure 13. Diagram of energy changes.
Applsci 14 11473 g013
Table 2. Conditions of chute experiment.
Table 2. Conditions of chute experiment.
Condition NameInitial Ice Accumulation FormIce Content/(%)Particle-to-Chute Bed Friction Angle/(°)Particle-to-Chute Sidewall Friction Angle/(°)Angle of Repose/(°)Flow Depth
/(m)
M-0Uniform Accumulation023.524.433.20.037
M-1Uniform Accumulation102224.1330.042
M-2Uniform Accumulation2022.525.832.20.042
M-3Uniform Accumulation3021.522.434.40.053
M-4Uniform Accumulation4020.521.626.90.058
M-5Uniform Accumulation502025.729.50.059
M-6Uniform Accumulation6019.524.631.20.075
M-7Uniform Accumulation7018.520.828.70.075
M-8Uniform Accumulation8018.523.225.70.073
M-9Uniform Accumulation901720.223.30.073
M-10Uniform Accumulation10016.519.327.60.077
IB-3Stones on Top of Ice302118.526.90.059
IB-4Stones on Top of Ice402019.528.30.065
IB-5Stones on Top of Ice502018.928.10.072
IB-6Stones on Top of Ice6018.521.126.20.067
IB-7Stones on Top of Ice7018.519.225.60.087
GB-3Ice on Top of Stones3024.523.127.70.054
GB-4Ice on Top of Stones402524.124.80.054
GB-5Ice on Top of Stones5025.523.2260.066
GB-6Ice on Top of Stones602522.524.10.063
GB-7Ice on Top of Stones7026.523.621.40.067
Note: The conditions in the table are labeled as follows: “M” represents uniform mixing, “IB” denotes ice on top and rock at the bottom, and “GB” indicates ice at the bottom and rock on top. The numbers represent the ice content by mass. For example, M-2 refers to a condition where the ice mass content is 20% and is uniformly mixed with gravel.
Disclaimer/Publisher’s Note: The statements, opinions and data contained in all publications are solely those of the individual author(s) and contributor(s) and not of MDPI and/or the editor(s). MDPI and/or the editor(s) disclaim responsibility for any injury to people or property resulting from any ideas, methods, instructions or products referred to in the content.

Share and Cite

MDPI and ACS Style

Lin, Z.; Li, Z.; Luo, S.; Huo, M.; Yang, P. Influence of Ice Fragments on the Scraping Effect of Rock–Ice Avalanches: Insights from Physical Model Experiments. Appl. Sci. 2024, 14, 11473. https://doi.org/10.3390/app142411473

AMA Style

Lin Z, Li Z, Luo S, Huo M, Yang P. Influence of Ice Fragments on the Scraping Effect of Rock–Ice Avalanches: Insights from Physical Model Experiments. Applied Sciences. 2024; 14(24):11473. https://doi.org/10.3390/app142411473

Chicago/Turabian Style

Lin, Ziyi, Zhouyi Li, Shuang Luo, Miao Huo, and Ping Yang. 2024. "Influence of Ice Fragments on the Scraping Effect of Rock–Ice Avalanches: Insights from Physical Model Experiments" Applied Sciences 14, no. 24: 11473. https://doi.org/10.3390/app142411473

APA Style

Lin, Z., Li, Z., Luo, S., Huo, M., & Yang, P. (2024). Influence of Ice Fragments on the Scraping Effect of Rock–Ice Avalanches: Insights from Physical Model Experiments. Applied Sciences, 14(24), 11473. https://doi.org/10.3390/app142411473

Note that from the first issue of 2016, this journal uses article numbers instead of page numbers. See further details here.

Article Metrics

Back to TopTop