Sign in to use this feature.

Years

Between: -

Subjects

remove_circle_outline
remove_circle_outline
remove_circle_outline
remove_circle_outline
remove_circle_outline
remove_circle_outline
remove_circle_outline
remove_circle_outline

Journals

Article Types

Countries / Regions

Search Results (14)

Search Parameters:
Keywords = riparian buffer strip

Order results
Result details
Results per page
Select all
Export citation of selected articles as:
19 pages, 4940 KB  
Article
Unraveling Seasonal Dynamics of Dissolved Organic Matter in Agricultural Ditches Using UV-Vis Absorption and Excitation–Emission Matrix (EEM) Fluorescence Spectroscopy
by Keyan Li, Jinfeng Ge, Qiaozhuan Hu, Wenrui Yao, Xiaoli Fu, Chao Ma and Yulin Qi
Chemosensors 2025, 13(9), 346; https://doi.org/10.3390/chemosensors13090346 - 10 Sep 2025
Cited by 1 | Viewed by 1224
Abstract
Seasonal dynamics of dissolved organic matter (DOM) in agricultural ditches significantly impact carbon cycling and water quality in connected rivers. This study aimed to characterize seasonal variations in DOM composition and dynamics within hierarchical agricultural ditch systems in Tianjin, northern China. Surface water [...] Read more.
Seasonal dynamics of dissolved organic matter (DOM) in agricultural ditches significantly impact carbon cycling and water quality in connected rivers. This study aimed to characterize seasonal variations in DOM composition and dynamics within hierarchical agricultural ditch systems in Tianjin, northern China. Surface water samples were collected from river channels, main ditches, branch ditches, lateral ditches, and field ditches during wet (June 2021) and dry (December 2021) seasons. DOM characteristics were analyzed using dissolved organic carbon (DOC) quantification, ultraviolet-visible (UV-Vis) absorption spectroscopy, and three-dimensional excitation–emission matrix spectroscopy (3D-EEMs) coupled with parallel factor analysis (PARAFAC). The concentration of DOC in ditch surface water exhibited significant seasonal variations, with significantly higher levels observed during the wet season (Huangzhuang: 6.72 ± 0.7 mg/L; Weixing: 13.15 ± 3.1 mg/L) compared to the dry season (Huangzhuang: 5.93 ± 0.3 mg/L; Weixing: 9.35 ± 2.6 mg/L). Both UV-Vis spectral and EEM-PARAFAC analysis revealed that DOM in ditch systems was predominantly composed of fulvic-like and tryptophan-like components, representing the portion of organic matter in water bodies that is highly biologically active, highly mobile, relatively “fresh”, or “not fully humified”. PARAFAC identified microbial humic-like (C1: wet season 40.36%, dry season 34.42%) and protein-like (C3: wet season 40.3%, dry season 49.87%) components as dominant. DOM sources were influenced by dual inputs from terrestrial and autochthonous origins during the wet season, while primarily deriving from autochthonous sources in the dry season. This study elucidates the advances of spectroscopic techniques in deciphering the composition, sources, and influencing factors of DOM in aquatic systems. The findings support implementing riparian buffer strips and optimized fertilizer management to mitigate seasonal peaks of bioavailable DOM in agricultural ditch systems. Full article
(This article belongs to the Special Issue Spectroscopic Techniques for Chemical Analysis)
Show Figures

Figure 1

10 pages, 1130 KB  
Article
The Comprehensive Reduction Capacity of Five Riparian Vegetation Buffer Strips for Primary Pollutants in Surface Runoff
by Yanxin Hu, Lin Gao, Chuanming Ma, Hao Wang and Chi Zhou
Appl. Sci. 2023, 13(6), 3898; https://doi.org/10.3390/app13063898 - 19 Mar 2023
Cited by 11 | Viewed by 3870
Abstract
Most studies on the effects of plants on reducing pollutants in surface runoff focus on the elimination of a single pollutant by a single plant species. We take into account the fact that natural riparian herbaceous vegetation buffer strips remove multiple pollutants at [...] Read more.
Most studies on the effects of plants on reducing pollutants in surface runoff focus on the elimination of a single pollutant by a single plant species. We take into account the fact that natural riparian herbaceous vegetation buffer strips remove multiple pollutants at the same time, and vegetation species need to be selected according to actual conditions. In an indoor simulation, processed soil samples were taken, and collected rainwater was used to prepare standard solutions for simulating surface runoff, which includes five primary water pollutants: total suspended solids (TSS), total nitrogen (TN), total phosphorus (TP), ammonia nitrogen (NH3-N), and chemical oxygen demand (COD). Pollutant concentrations were measured after the experiments. We found that the reduction capacity of vegetation buffer strips differs due to the differentiation of biological structure and growth characteristics. Dichondra repens Forst and Cynodon dactylon (Linn.) Pers had high biomass, and their vegetation was creeping on the ground with well-developed roots, showing a strong comprehensive ability to reduce pollutants. The comprehensive reduction capability of five vegetation buffer strips for pollutants is ranked as follows: Dichondra repens Forst > Cynodon dactylon (Linn.) Pers > Zoysia matrella > Festuca elata Keng ex E. Alexeev > Lolium perenne. Full article
Show Figures

Figure 1

11 pages, 1920 KB  
Article
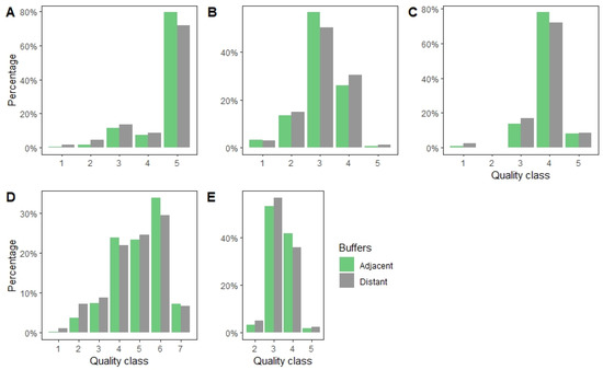
Provision of Ecosystem Services in Riparian Hemiboreal Forest Fixed-Width Buffers
by Mārcis Saklaurs, Zane Lībiete, Jānis Donis, Māra Kitenberga, Didzis Elferts, Edgars Jūrmalis and Āris Jansons
Forests 2022, 13(6), 928; https://doi.org/10.3390/f13060928 - 13 Jun 2022
Cited by 9 | Viewed by 2782
Abstract
The importance of riparian forest protection is widely acknowledged. However, scientific discussions are still ongoing as to the most suitable and effective protection activities for these forests. The quality of the provision of different ecosystem services in protected riparian forest buffers could provide [...] Read more.
The importance of riparian forest protection is widely acknowledged. However, scientific discussions are still ongoing as to the most suitable and effective protection activities for these forests. The quality of the provision of different ecosystem services in protected riparian forest buffers could provide an insight into the impact of protection regulations. Cultural ecosystem services in riparian forests have an important social-ecological context, especially with the growing interest in recreation activities in forests. The aim of our study was to compare provision of different ecosystem services in riparian forest buffers located both adjacent to (0–50 m) and distant from (51–200 m) the stream. In our study, four small-to-medium-sized rivers in Latvia were used. In total, six different indicators of ecosystem services were estimated, based on data from the National Forest Inventory and the European Soil Data Centre. Bayesian ordinal regression was employed to assess the differences between the two buffer strips. Our results showed that the majority of assessed ecosystem service indicators (Recreation potential of the forest ecosystem, Visual quality of the forest landscape, Potential for the presence of medicinal plants and Potential for the presence of nectar plants) were of higher quality in the adjacent (0–50 m) buffer. Only one indicator (Flora with phytoremediation potential) had significantly higher values in the distant buffer strips (estimate 0.24, CI: [0.11, 0.38]). The observed distribution of quality classes showed that, only for the indicator Potential of medicinal plants, the highest quality class was the most common (>60%), for other indicators dominated average quality class estimations. The obtained results suggested that the current protection status that riparian forest buffers have facilitated maintain the provision of several cultural and regulation & maintenance ecosystem services. Full article
(This article belongs to the Section Forest Ecology and Management)
Show Figures

Figure 1

14 pages, 3258 KB  
Article
Assessment of BMPs by Estimating Hydrologic and Water Quality Outputs Using SWAT in Yazoo River Watershed
by Vivek Venishetty and Prem B. Parajuli
Agriculture 2022, 12(4), 477; https://doi.org/10.3390/agriculture12040477 - 29 Mar 2022
Cited by 26 | Viewed by 4312
Abstract
Water quality is a global concern; it is due to point and non-point source pollution. Non-point sources for pollution are mainly runoff from Agricultural and forest. To decrease nutrient inputs, management practices are implemented. Using Soil and Water Assessment Tool, water quality parameters [...] Read more.
Water quality is a global concern; it is due to point and non-point source pollution. Non-point sources for pollution are mainly runoff from Agricultural and forest. To decrease nutrient inputs, management practices are implemented. Using Soil and Water Assessment Tool, water quality parameters can be quantified. Yazoo River Watershed is the largest watershed in Mississippi, which have impact on surface water quality due to large scale agriculture and forest lands. Model has been calibrated and validated for streamflow, sediment, Total Nitrogen (TN), Total Phosphorus (TP) for the USGS gauge stations in the watershed. Model efficiency was assessed with Coefficient of Determination (R2) and Nash-Sutcliffe Efficiency index (NSE). Best Management Practices (BMPs) were implemented throughout the watershed to simulate the impact of BMPs on streamflow, sediment, and nutrient yields. Vegetative Filter Strips (VFS), Riparian Buffer, combination of VFS and Riparian buffer and Cover Crops (CC) were tested for assessing the effective BMP in improving water quality. VFS, Riparian buffer and both (VFS + riparian) have no effect on streamflow, but they were able to decrease sediment, TN, and TP yields. Scenario with both VFS and Riparian buffer had the highest reduction capability as per varying width (5, 10, 15, and 20 m). For CC, Rye grass, Winter Barley and Winter Wheat (WW) were used, of which Rye grass had highest, 5.3% reduction in streamflow. WW has the highest Total Nitrogen reduction that is of 25.4%. CC also has significant reduction ranged between 10% to 11% for TP. This research would assist the Agricultural community to apply appropriate Management practices to improve water quality. Full article
(This article belongs to the Topic Water Management in the Era of Climatic Change)
Show Figures

Figure 1

16 pages, 3052 KB  
Article
Seasonal Changes in Phosphorus in Soils and Vegetation of Vegetated Filter Strips in Cold Climate Agricultural Systems
by Kristen A. Kieta, Philip N. Owens, Jason A. Vanrobaeys and David A. Lobb
Agriculture 2022, 12(2), 233; https://doi.org/10.3390/agriculture12020233 - 6 Feb 2022
Cited by 7 | Viewed by 3176
Abstract
Vegetated filter strips (VFS) are a best management practice, designed to reduce sediment and nutrient runoff to surface waters in agricultural landscapes. In cold climates, phosphorus (P) can be released from VFS vegetation when it undergoes freeze–thaw cycles, making their utility in these [...] Read more.
Vegetated filter strips (VFS) are a best management practice, designed to reduce sediment and nutrient runoff to surface waters in agricultural landscapes. In cold climates, phosphorus (P) can be released from VFS vegetation when it undergoes freeze–thaw cycles, making their utility in these regions an area needing further study. Research in Manitoba, Canada, investigated temporal changes in soil P concentrations and potential P loss from VFS from 2015 to 2017. Soil, harvestable vegetation, and residue samples were collected within VFS and control strips, and soils were analysed for Olsen P and Total P (TP). Harvestable vegetation and residue samples were analysed for TP. Results showed increases in Olsen P each spring and reductions each fall in soils at all sites. There was substantial loss of TP from the harvestable vegetation samples at all sites from November 2016 to May 2017, but residues in the VFS and control sites had a lower loss of TP over the same period. Vegetation was shown to release P over the winter into surface soils, and harvestable vegetation released significantly more P than residue, potentially leading to P loss from soils through surface runoff or leaching. Thus, harvesting vegetation may be a suitable VFS management strategy in cold climates. Full article
(This article belongs to the Special Issue Optimizing Nutrient Management in Cold Climate Agroecosystems)
Show Figures

Figure 1

17 pages, 6782 KB  
Article
Forested Riparian Buffers Change the Taxonomic and Functional Composition of Stream Invertebrate Communities in Agricultural Catchments
by Jasmina Sargac, Richard K. Johnson, Francis J. Burdon, Amélie Truchy, Geta Rîşnoveanu, Peter Goethals and Brendan G. McKie
Water 2021, 13(8), 1028; https://doi.org/10.3390/w13081028 - 9 Apr 2021
Cited by 28 | Viewed by 7329
Abstract
Riparian zones form the interface between stream and terrestrial ecosystems and play a key role through their vegetation structure in determining stream biodiversity, ecosystem functioning and regulating human impacts, such as warming, nutrient enrichment and sedimentation. We assessed how differing riparian vegetation types [...] Read more.
Riparian zones form the interface between stream and terrestrial ecosystems and play a key role through their vegetation structure in determining stream biodiversity, ecosystem functioning and regulating human impacts, such as warming, nutrient enrichment and sedimentation. We assessed how differing riparian vegetation types influence the structural and functional composition (based on species traits) of stream invertebrate communities in agricultural catchments. We characterized riparian and stream habitat conditions and sampled stream invertebrate communities in 10 independent site pairs, each comprising one “unbuffered” reach lacking woody riparian vegetation and a second downstream reach with a woody riparian buffer. Forested riparian buffers were associated with greater shading, increased gravel content in stream substrates and faster flow velocities. We detected changes in invertebrate taxonomic composition in response to buffer presence, with an increase in sensitive Ephemeroptera, Plecoptera and Trichoptera (EPT) taxa and increases in key invertebrate species traits, including species with preference for gravel substrates and aerial active dispersal as adults. Riparian vegetation independently explained most variation in taxa composition, whereas riparian and instream habitat together explained most variation in functional composition. Our results highlight how changes in stream invertebrate trait distributions may indirectly reflect differences in riparian habitat, with implications for stream health and cross-ecosystem connectivity. Full article
(This article belongs to the Special Issue Ecosystem Functioning in Rivers and Riparian Zones)
Show Figures

Figure 1

16 pages, 4278 KB  
Article
The Long-Term Effects of Land Use and Climate Changes on the Hydro-Morphology of the Reno River Catchment (Northern Italy)
by Donatella Pavanelli, Claudio Cavazza, Stevo Lavrnić and Attilio Toscano
Water 2019, 11(9), 1831; https://doi.org/10.3390/w11091831 - 3 Sep 2019
Cited by 14 | Viewed by 4766
Abstract
Anthropogenic activities, and in particular land use/land cover (LULC) changes, have a considerable effect on rivers’ flow rates and their morphologies. A representative example of those changes and resulting impacts on the fluvial environment is the Reno Mountain Basin (RMB), located in Northern [...] Read more.
Anthropogenic activities, and in particular land use/land cover (LULC) changes, have a considerable effect on rivers’ flow rates and their morphologies. A representative example of those changes and resulting impacts on the fluvial environment is the Reno Mountain Basin (RMB), located in Northern Italy. Characterized by forest exploitation and agricultural production until World War II, today the RMB consists predominantly of meadows, forests and uncultivated land, as a result of agricultural land abandonment. This study focuses on the changes of the Reno river’s morphology since the 1950s, with an objective of analyzing the factors that caused and influenced those changes. The factors considered were LULC changes, the Reno river flow rate and suspended sediment yield, and local climate data (precipitation and temperature). It was concluded that LUCL changes caused some important modifications in the riparian corridor, riverbed size, and river flow rate. A 40–80% reduction in the river bed area was observed, vegetation developed in the riparian buffer strips, and the river channel changed from braided to a single channel. The main causes identified are reductions in the river flow rate and suspended sediment yield (−36% and −38%, respectively), while climate change did not have a significant effect. Full article
Show Figures

Graphical abstract

18 pages, 5476 KB  
Article
A Regression Model of Stream Water Quality Based on Interactions between Landscape Composition and Riparian Buffer Width in Small Catchments
by Teresa Cristina Tarlé Pissarra, Carlos Alberto Valera, Renata Cristina Araújo Costa, Hygor Evangelista Siqueira, Marcílio Vieira Martins Filho, Renato Farias do Valle Júnior, Luís Filipe Sanches Fernandes and Fernando António Leal Pacheco
Water 2019, 11(9), 1757; https://doi.org/10.3390/w11091757 - 23 Aug 2019
Cited by 33 | Viewed by 5613
Abstract
Riparian vegetation represents a protective barrier between human activities installed in catchments and capable of generating and exporting large amounts of contaminants, and stream water that is expected to keep quality overtime. This study explored the combined effect of landscape composition and buffer [...] Read more.
Riparian vegetation represents a protective barrier between human activities installed in catchments and capable of generating and exporting large amounts of contaminants, and stream water that is expected to keep quality overtime. This study explored the combined effect of landscape composition and buffer strip width (L) on stream water quality. The landscape composition was assessed by the forest (F) to agriculture (A) ratio (F/A), and the water quality by an index (IWQ) expressed as a function of physico-chemical parameters. The combined effect (F/A × L) was quantified by a multiple regression model with an interaction term. The study was carried out in eight catchments of Uberaba River Basin Environmental Protection Area, located in the state of Minas Gerais, Brazil, and characterized by very different F/A and L values. The results related to improved water quality (larger IWQ values) with increasing values of F/A and L, which were not surprising given the abundant similar reports widespread in the scientific literature. But the effect of F/A × L on IWQ was enlightening. The interaction between F/A and L reduced the range of L values required to sustain IWQ at a fair level by some 40%, which is remarkable. The interaction was related to the spatial distribution of infiltration capacity within the studied catchments. The high F/A catchments should comprise a larger number of infiltration patches, allowing a dominance of subsurface flow widespread within the soil layer, a condition that improves the probability of soil water to cross and interact with a buffer strip before reaching the stream. Conversely, the low F/A catchments are prone to the generation of an overland flow network, because the absence of permanent vegetation substantially reduces the number of infiltration patches. The overland flow network channelizes runoff and conveys the surface water into specific confluence points within the stream, reducing or even hampering an interaction with a buffer strip. Notwithstanding the interaction, the calculated L ranges (45–175 m) are much larger than the maximum width imposed by the Brazilian Forest Code (30 m), a result that deserves reflection. Full article
Show Figures

Figure 1

17 pages, 2595 KB  
Article
Identifying Surface Runoff Pathways for Cost-Effective Mitigation of Pollutant Inputs to Drinking Water Reservoir
by Jolanta Dąbrowska, Paweł B. Dąbek and Iwona Lejcuś
Water 2018, 10(10), 1300; https://doi.org/10.3390/w10101300 - 21 Sep 2018
Cited by 24 | Viewed by 4863
Abstract
Surface runoff (overland flow) is the main element of the water cycle and is also crucial in the delivery of phosphorus and nitrogen from catchments to water bodies. Watercourses and reservoirs in agricultural catchments are particularly vulnerable to the delivery of biogenic compounds [...] Read more.
Surface runoff (overland flow) is the main element of the water cycle and is also crucial in the delivery of phosphorus and nitrogen from catchments to water bodies. Watercourses and reservoirs in agricultural catchments are particularly vulnerable to the delivery of biogenic compounds via surface runoff. Forested riparian buffers are considered effective in reducing nutrients and sediment loads in runoff from agricultural areas. Regrettably, the concentration of surface runoff may significantly limit the buffering capacity of vegetation strips, as channelised overland flow tends to avoid buffers without making optimal use of their ability to retain nutrients and sediment. The aim of the undertaken research was to delineate surface runoff pathways from surrounding areas to a drinking water reservoir as well as to identify potential concentration spots of overland flow. The research was conducted for the Dobromierz drinking water reservoir (GPS N: 50°54′27″, E: 16°14′37″). The reservoir is situated in a submountain catchment, where rainfall is an important factor taking part in driving diffuse P and N loads from land to water. Presented GIS-based method using high resolution Digital Terrain Model obtained from Light Detection and Ranging (LiDAR) allowed to determine areas with a tendency for high accumulation (concentration) of overland flow in the direct catchment of the reservoir. As main surface runoff areas, three sites each exceeding 100 ha were designated. The analysis of spatial data also allowed to establish the risk of agricultural diffuse pollution transfer via channelised overland flow to the reservoir from individual accumulation areas. It was found that in the forested part of the catchment (serving as a riparian buffer) there is no visible tendency for concentration of surface runoff, but simultaneously the vegetation strip does not prevent the transfer of runoff waters from agricultural areas through the privileged pathways of concentrated flow. Full article
(This article belongs to the Section Water Quality and Contamination)
Show Figures

Figure 1

16 pages, 3105 KB  
Article
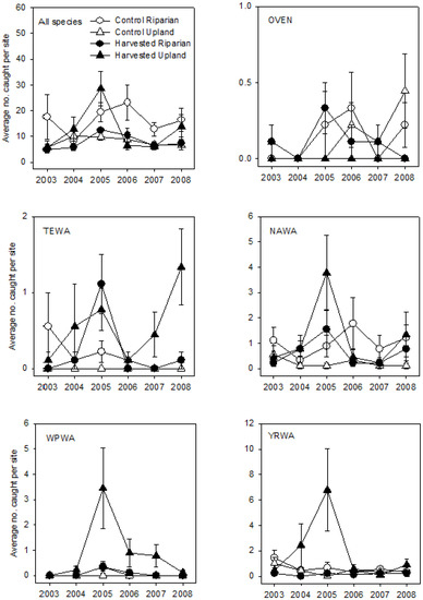
Riparian Partial Harvesting and Upland Clear Cutting Alter Bird Communities in a Boreal Mixedwood Forest
by Stephen B. Holmes, Ken A. McIlwrick, David P. Kreutzweiser and Lisa A. Venier
Forests 2017, 8(5), 141; https://doi.org/10.3390/f8050141 - 25 Apr 2017
Cited by 4 | Viewed by 4491
Abstract
Forested buffer strips are typically prescribed around water bodies during forest harvesting operations to minimize effects on aquatic communities and to maintain fish and wildlife habitat. It has been argued that the systematic application of these buffer strips in the boreal forest results [...] Read more.
Forested buffer strips are typically prescribed around water bodies during forest harvesting operations to minimize effects on aquatic communities and to maintain fish and wildlife habitat. It has been argued that the systematic application of these buffer strips in the boreal forest results in the creation of an unnatural distribution of linear patterns of older-growth forest which is not consistent with the current emulating natural disturbance paradigm. We conducted a multi-year, temporally and spatially controlled, manipulative experiment to investigate the short-term impacts of an alternative practice of riparian partial harvesting and upland clear cutting on breeding and migrating forest birds. Effects on breeding bird community composition were assessed using a modified point counting method. Effects of harvesting on habitat utilization during fall migration were assessed by mist-netting. Breeding bird communities changed significantly post-harvest, but riparian communities diverged less from the pre-harvest condition than upland communities. Populations of early successional/edge species increased post-harvest and forest dependent species declined. Population declines tended to be smaller in the riparian partial cuts than in the upland clear cuts. Capture rates and movement patterns of fall migrants were unaffected by riparian partial harvesting, but catches of Tennessee Warbler (Oreothlypis peregrina), Nashville Warbler (Oreothlypis ruficapilla), Palm Warbler (Setophaga palmarum) and Yellow-rumped Warbler (Setophaga coronata) increased in upland clear cuts. Our results suggest that partial harvesting in riparian reserves may be a viable management option that accommodates the needs of forest dependent birds. Full article
Show Figures

Figure 1

14 pages, 4822 KB  
Article
Finite Element Simulation of Total Nitrogen Transport in Riparian Buffer in an Agricultural Watershed
by Xiaosheng Lin, Jie Tang, Zhaoyang Li and Haiyi Li
Sustainability 2016, 8(3), 288; https://doi.org/10.3390/su8030288 - 22 Mar 2016
Cited by 7 | Viewed by 5588
Abstract
Riparian buffers can influence water quality in downstream lakes or rivers by buffering non-point source pollution in upstream agricultural fields. With increasing nitrogen (N) pollution in small agricultural watersheds, a major function of riparian buffers is to retain N in the soil. A [...] Read more.
Riparian buffers can influence water quality in downstream lakes or rivers by buffering non-point source pollution in upstream agricultural fields. With increasing nitrogen (N) pollution in small agricultural watersheds, a major function of riparian buffers is to retain N in the soil. A series of field experiments were conducted to monitor pollutant transport in riparian buffers of small watersheds, while numerical model-based analysis is scarce. In this study, we set up a field experiment to monitor the retention rates of total N in different widths of buffer strips and used a finite element model (HYDRUS 2D/3D) to simulate the total N transport in the riparian buffer of an agricultural non-point source polluted area in the Liaohe River basin. The field experiment retention rates for total N were 19.4%, 26.6%, 29.5%, and 42.9% in 1,3,4, and 6m-wide buffer strips, respectively. Throughout the simulation period, the concentration of total N of the 1mwide buffer strip reached a maximum of 1.27 mg/cm3 at 30 min, decreasing before leveling off. The concentration of total N about the 3mwide buffer strip consistently increased, with a maximum of 1.05 mg/cm3 observed at 60 min. Under rainfall infiltration, the buffer strips of different widths showed a retention effect on total N transport, and the optimum effect was simulated in the 6mwide buffer strip. A comparison between measured and simulated data revealed that finite element simulation could simulate N transport in the soil of riparian buffer strips. Full article
Show Figures

Figure 1

22 pages, 236 KB  
Article
Economic Analysis of Climate Change Best Management Practices in Vermont Agriculture
by Alexander P. Helling, David S. Conner, Sarah N. Heiss and Linda S. Berlin
Agriculture 2015, 5(3), 879-900; https://doi.org/10.3390/agriculture5030879 - 18 Sep 2015
Cited by 11 | Viewed by 8255
Abstract
Climate change impacts local agricultural systems in detectable and distinguishable ways from large-scale shifts in water, land, and weather patterns to regionally specific distributions of weeds, pests, and diseases. Best management practices for adapting to and mitigating the effects of climate change include [...] Read more.
Climate change impacts local agricultural systems in detectable and distinguishable ways from large-scale shifts in water, land, and weather patterns to regionally specific distributions of weeds, pests, and diseases. Best management practices for adapting to and mitigating the effects of climate change include modifications to farm production through adjusted intensity and product types and changing land use through crop siting and tillage practices. Farmer perceptions of risk and profitability of best management practices are key determinants of adoption, which traditional incentive programs like the Environmental Quality Incentive Program attempt to address by providing financial and technical support. To ensure that payments offered through these programs that maximize adoption, regional incentive payments must be based upon locally established costs. This paper focuses on the cost of implementing and maintaining climate change specific best management practices (CCBMPs) for twelve diverse farms in Vermont. Specifically, three CCBMPs for Vermont are examined: cover cropping, management intensive rotational grazing (MIRG), and riparian buffer strips. Results show the average cost for cover cropping is $129.24/acre, MIRG is $79.82/acre, and a tree based riparian buffer strip cost $807.33/acre. We conclude that existing incentive payments for cover cropping and MIRG are below costs, likely resulting in under-adoption. Full article
(This article belongs to the Special Issue Sustainable Agriculture)
18 pages, 613 KB  
Review
Ecosystem Effects from Nutrient and Pesticide Pollutants: Catchment Care as a Solution
by Kathleen H Bowmer
Resources 2013, 2(3), 439-456; https://doi.org/10.3390/resources2030439 - 23 Sep 2013
Cited by 15 | Viewed by 10133
Abstract
Agricultural chemicals include fertilisers (nitrogen and phosphorus) and biocides (herbicides, fungicides and insecticides). Environmental impacts in surface waters include algal blooms and disruption to ecological function. Strategies for protection of rivers from eutrophication include improved agricultural land management, conservation farming methods, recycling or [...] Read more.
Agricultural chemicals include fertilisers (nitrogen and phosphorus) and biocides (herbicides, fungicides and insecticides). Environmental impacts in surface waters include algal blooms and disruption to ecological function. Strategies for protection of rivers from eutrophication include improved agricultural land management, conservation farming methods, recycling or retention of drainage and runoff water, and use of buffer strips and riparian vegetation for filtration. Reduction in pesticide use has been achieved by improved application technologies, precision farming, adoption of organic farming, and use of biological control methods. Australian river health audits show widespread deterioration, and protection using the “Polluter Pays Principle” is attractive. However, who should pay for environmental assessment, for adoption of new technologies or change in land use, and how will this be determined? Unfortunately, as demonstrated in two case studies on algal blooms and cotton pesticides, the links between pollutant source and environmental impact remain poorly understood, and the complexity of assessing environmental benefit of agricultural changes makes sheeting home the costs of pollution sources difficult. Alternatives to imposition of penalties include catchment-based targets and guidelines, benchmarking, and adoption of best management practice with an emphasis on incentives and encouragement. Many strategies for risk reduction in agricultural cropping systems are available for inclusion in a “Catchment Care” approach. Full article
(This article belongs to the Special Issue Ecosystem Service Valuation, Its Measurement and Uses)
Show Figures

Figure 1

24 pages, 2846 KB  
Article
Mature Hybrid Poplar Riparian Buffers along Farm Streams Produce High Yields in Response to Soil Fertility Assessed Using Three Methods
by Julien Fortier, Benoit Truax, Daniel Gagnon and France Lambert
Sustainability 2013, 5(5), 1893-1916; https://doi.org/10.3390/su5051893 - 29 Apr 2013
Cited by 26 | Viewed by 9610
Abstract
This study had three main objectives: (1) to evaluate the aboveground biomass and volume yield of three unrelated hybrid poplar clones in 9 year-old riparian buffer strips located on four farms of southern Québec, Canada; (2) to compare yield data at 9 years [...] Read more.
This study had three main objectives: (1) to evaluate the aboveground biomass and volume yield of three unrelated hybrid poplar clones in 9 year-old riparian buffer strips located on four farms of southern Québec, Canada; (2) to compare yield data at 9 years with previous data (at 6 years); (3) to evaluate how soil fertility, measured using three different soil testing methods (soil nutrient stocks, soil nutrient concentrations, soil nutrient supply rates), is related to yield. Across the four sites, hybrid poplar productivity after 9 years ranged from 116 to 450 m3ha−1, for stem wood volume, and from 51 to 193 megagrams per hectare (Mg ha−1), for woody dry biomass. High volume and woody dry biomass yields (26.3 to 49.9 m3ha−1yr-1, and 11.4 to 21.4 Mg ha−1yr-1) were observed at the three most productive sites. From year 6 to 9, relatively high yield increases (8.9−15.1 m3ha−1yr−1) were observed at all sites, but the productivity gap between the less fertile site and the three other sites was widened. Clone MxB-915311 was the most productive across the four sites, while clone DxN-3570 was the least productive. However, at the most productive site, clone MxB-915311 experienced severe stem and branch breakages. Independently of the soil testing method used, available soil P was always the first soil factor explaining volume yield. Full article
(This article belongs to the Special Issue Sustainable Agroforestry)
Show Figures

Figure 1

Back to TopTop