Sign in to use this feature.

Years

Between: -

Subjects

remove_circle_outline
remove_circle_outline
remove_circle_outline
remove_circle_outline
remove_circle_outline
remove_circle_outline
remove_circle_outline
remove_circle_outline
remove_circle_outline

Journals

remove_circle_outline
remove_circle_outline
remove_circle_outline
remove_circle_outline
remove_circle_outline
remove_circle_outline
remove_circle_outline
remove_circle_outline
remove_circle_outline
remove_circle_outline
remove_circle_outline
remove_circle_outline
remove_circle_outline
remove_circle_outline
remove_circle_outline
remove_circle_outline
remove_circle_outline
remove_circle_outline

Article Types

Countries / Regions

remove_circle_outline
remove_circle_outline
remove_circle_outline
remove_circle_outline
remove_circle_outline
remove_circle_outline
remove_circle_outline

Search Results (4,311)

Search Parameters:
Keywords = rheological study

Order results
Result details
Results per page
Select all
Export citation of selected articles as:
24 pages, 4210 KB  
Article
Influence of Mineral Fillers on the Curing Process and Thermal Degradation of Polyethylene Glycol Maleate–Acrylic Acid-Based Systems
by Gulsym Burkeyeva, Anna Kovaleva, Danagul Muslimova, David Havlicek, Abylaikhan Bolatbay, Yelena Minayeva, Aiman Omasheva, Elmira Zhakupbekova and Margarita Nurmaganbetova
Polymers 2025, 17(19), 2675; https://doi.org/10.3390/polym17192675 - 3 Oct 2025
Abstract
For the first time, the kinetics of isothermal curing and thermal degradation of polyethylene glycol maleate (pEGM)–based systems and their composites with mineral fillers were investigated in the presence of a benzoyl peroxide/N,N-Dimethylaniline redox-initiating system. DSC analysis revealed that the curing process at [...] Read more.
For the first time, the kinetics of isothermal curing and thermal degradation of polyethylene glycol maleate (pEGM)–based systems and their composites with mineral fillers were investigated in the presence of a benzoyl peroxide/N,N-Dimethylaniline redox-initiating system. DSC analysis revealed that the curing process at 20 °C can be described by the modified Kamal autocatalytic model; the critical degree of conversion (αc) decreases with increasing content of the unsaturated polyester pEGM and in the presence of fillers. In particular, for unfilled systems, αc was 0.77 for pEGM45 and 0.60 for pEGM60. TGA results demonstrated that higher pEGM content and the incorporation of fillers lead to increased thermal stability and residual mass, along with a reduction in the maximum decomposition rate (dTGₘₐₓ). Calculations using the Kissinger–Akahira–Sunose and Friedman methods also confirmed an increase in the activation energy of thermal degradation (Ea): EKAS was 419 kJ/mol for pEGM45 and 470 kJ/mol for pEGM60, with the highest values observed for pEGM60 systems with fillers (496 kJ/mol for SiO2 and 514 kJ/mol for CaCO3). Rheological studies employing three-interval thixotropy tests revealed the onset of thixotropic behavior upon filler addition and an increase in structure recovery after deformation of up to 56%. These findings underscore the potential of pEGM-based systems for low-temperature curing and for the design of composite materials with improved thermal resistance. Full article
(This article belongs to the Section Polymer Analysis and Characterization)
Show Figures

Figure 1

15 pages, 4895 KB  
Article
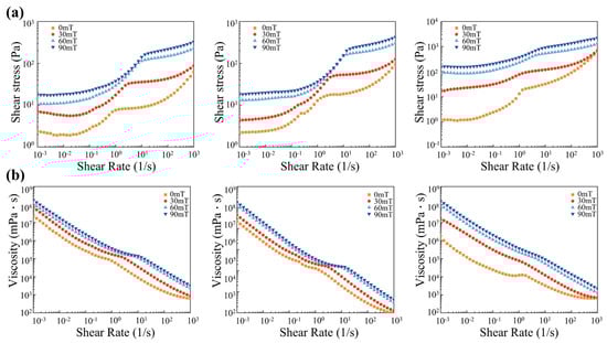
Magnetic Thixotropic Fluid for Direct-Ink-Writing 3D Printing: Rheological Study and Printing Performance
by Zhenkun Li, Tian Liu, Hongchao Cui, Jiahao Dong, Zijian Geng, Chengyao Deng, Shengjie Zhang, Yin Sun and Heng Zhou
Colloids Interfaces 2025, 9(5), 66; https://doi.org/10.3390/colloids9050066 - 2 Oct 2025
Abstract
Yield stress and thixotropy are critical rheological properties for enabling successful 3D printing of magnetic colloidal systems. However, conventional magnetic colloids, typically composed of a single dispersed phase, exhibit insufficient rheological tunability for reliable 3D printing. In this study, we developed a novel [...] Read more.
Yield stress and thixotropy are critical rheological properties for enabling successful 3D printing of magnetic colloidal systems. However, conventional magnetic colloids, typically composed of a single dispersed phase, exhibit insufficient rheological tunability for reliable 3D printing. In this study, we developed a novel magnetic colloidal system comprising a carrier liquid, magnetic nanoparticles, and organic modified bentonite. A direct-ink-writing 3D-printing platform was specifically designed and optimized for thixotropic materials, incorporating three distinct extruder head configurations. Through an in-depth rheological investigation and printing trials, quantitative analysis revealed that the printability of magnetic colloids is significantly affected by multiple factors, including magnetic field strength, pre-shear conditions, and printing speed. Furthermore, we successfully fabricated 3D architectures through the precise coordination of deposition paths and magnetic field modulation. This work offers initial support for the material’s future applications in soft robotics, in vivo therapeutic systems, and targeted drug delivery platforms. Full article
Show Figures

Graphical abstract

12 pages, 1596 KB  
Article
Impact on the Rheological Properties and Amino Acid Compositions of the Industrial Evaporation of Waste Vinasse in the Production of Nutritional Supplements for Livestock
by Nayeli Gutiérrez-Casiano, Cesar Antonio Ortíz-Sánchez, Karla Díaz-Castellanos, Luis Antonio Velázquez-Herrera, Solmaría Mandi Pérez-Guzmán and Eduardo Hernández-Aguilar
Waste 2025, 3(4), 34; https://doi.org/10.3390/waste3040034 - 2 Oct 2025
Abstract
Vinasse a byproduct of ethanol manufacturing, is a challenge for ethanol producers which possesses a high organic content that presents a considerable environmental threat. This complicates its management and treatment utilizing standard technologies like anaerobic digestion. This residue contains a substantial quantity of [...] Read more.
Vinasse a byproduct of ethanol manufacturing, is a challenge for ethanol producers which possesses a high organic content that presents a considerable environmental threat. This complicates its management and treatment utilizing standard technologies like anaerobic digestion. This residue contains a substantial quantity of dead and lysed yeast cells, which can function as a protein source for livestock’s nutritional needs. The application of multi-effect evaporation enhances the characteristics of this residue by increasing protein concentration, reducing volume, and minimizing water content. This study examines the impact of the five-effect evaporation procedure on vinasse waste, focusing on its rheological properties and the concentrations of proteins, amino acids, RNA, and DNA. This study aims to assess the thermal impacts linked to the evaporation process. The findings of the one-way statistical analysis demonstrate that the five evaporation effects are relevant in the utilization of waste as feed for livestock. The substance has a viscosity of 0.933 Pa s, comprising 6.3 g/100 g of crude protein, 4.08 g/100 g of amino acids, 0.1158 g/L of DNA, and 0.1031 g/L of RNA. Full article
Show Figures

Figure 1

36 pages, 4146 KB  
Article
Assessment of a Functional Yogurt Enriched with Anthocyanin-Loaded Nanoliposomes: Sensory Evaluation and Physicochemical Stability During Cold Storage
by Miguel Ángel Robles-García, Carmen Lizette Del-Toro-Sánchez, Linthia Jovana Tapia-Beiza, Melesio Gutiérrez-Lomelí, María Guadalupe Avila-Novoa, Ariadna Thalía Bernal-Mercado, Francisco Javier Reynoso-Marín, Fridha Viridiana Villalpando-Vargas, Alejandra Vázquez-Aguilar, Ernesto Ramírez-Briones and Ricardo Iván González-Vega
Int. J. Mol. Sci. 2025, 26(19), 9637; https://doi.org/10.3390/ijms26199637 - 2 Oct 2025
Abstract
In the development of functional foods with therapeutic value, nanoliposomal carriers offer a promising strategy for enhancing the stability and efficacy of bioactive compounds in dairy matrices. This study evaluated the sensory acceptance and physicochemical stability of yogurt enriched with anthocyanin-loaded nanoliposomes during [...] Read more.
In the development of functional foods with therapeutic value, nanoliposomal carriers offer a promising strategy for enhancing the stability and efficacy of bioactive compounds in dairy matrices. This study evaluated the sensory acceptance and physicochemical stability of yogurt enriched with anthocyanin-loaded nanoliposomes during 21 days of refrigerated storage, assessing the impact of nanoencapsulation on compound preservation and quality. Nanoliposomes were synthesized using ultrasonic film dispersion and characterized for antioxidant and erythroprotective activities. Antioxidant capacity was assessed through DPPH, ABTS, and FRAP assays, while erythroprotective effects were evaluated via oxidative hemolysis using human erythrocytes of different ABO/RhD phenotypes. These were incorporated into artisanal yogurt, followed by physicochemical, microbiological, rheological, and sensory analyses. Anthocyanins showed strong antioxidant capacity, especially in ABTS (93.24%), DPPH (21.34%), and FRAP (1023.24 µM TE/g D.W.), reflecting their radical scavenging and reducing power. They also exhibited high erythroprotective activity, with greater antihemolytic effects in O RhD− blood and enhanced photoprotection against UVA in O RhD+ blood. Yogurt enriched with nanoliposomes showed improved color stability, reduced syneresis, and favorable rheological and sensory characteristics. These findings support nanoliposomes as molecular delivery systems in functional dairy matrices with potential nutraceutical applications targeting oxidative stress. Further work should explore molecular mechanisms and validate health-promoting effects. Full article
(This article belongs to the Special Issue Molecular Research in Nanotechnology for Natural Products)
Show Figures

Graphical abstract

15 pages, 1556 KB  
Article
Physicochemical Characterization of Soluble and Insoluble Fibers from Berry Pomaces
by Jolita Jagelavičiūtė, Simona Šimkutė, Aurelija Kairė, Gabrielė Kaminskytė, Loreta Bašinskienė and Dalia Čižeikienė
Gels 2025, 11(10), 796; https://doi.org/10.3390/gels11100796 - 2 Oct 2025
Abstract
Berry pomace is a valuable source of dietary fiber (DF) with promising applications in functional food development. This study aimed to evaluate and compare the technological and rheological properties of soluble (SDF) and insoluble (IDF) fiber fractions isolated from cranberry, black currant, lingonberry, [...] Read more.
Berry pomace is a valuable source of dietary fiber (DF) with promising applications in functional food development. This study aimed to evaluate and compare the technological and rheological properties of soluble (SDF) and insoluble (IDF) fiber fractions isolated from cranberry, black currant, lingonberry, and sea buckthorn pomace. SDF fractions demonstrated higher water solubility and lower swelling capacity, compared with IDF fractions. Meanwhile, water and oil retention capacities depended on fiber type and the sources of pomace. Fractionation notably affected color parameters, with SDFs generally being lighter. Rheological analysis revealed pseudoplastic, shear-thinning behavior in all SDF samples, with viscosity dependent on both pH and shear rate. In particular, the black currant SDF demonstrated higher yield stress compared to other SDFs, suggesting enhanced resistance to deformation and superior structural stability under low shear conditions. The consistency coefficient varied across samples, indicating differences in gel-forming potential. These findings highlight the importance of berry source and fiber fraction in determining functionality. The distinct hydration, binding, and rheological properties suggest that both SDF and IDF from berry pomace can be strategically applied as thickeners, stabilizers, or texture enhancers in food systems. This study supports the valorization of berry by-products as sustainable and functional ingredients in the formulation of fiber-enriched foods. Full article
(This article belongs to the Special Issue Food Hydrogels: Synthesis, Characterization and Applications)
Show Figures

Figure 1

24 pages, 4277 KB  
Article
Effect of Gellan Gum on the Properties of Collagen-HPMC Freeze-Dried Hydrogels for Mucosal Administration
by Ioana Luca, Mădălina Georgiana Albu Kaya, Raluca Țuțuianu, Cristina Elena Dinu-Pîrvu, Maria Minodora Marin, Lăcrămioara Popa, Irina Titorencu, Valentina Anuța and Mihaela Violeta Ghica
Gels 2025, 11(10), 793; https://doi.org/10.3390/gels11100793 - 2 Oct 2025
Abstract
Mucosal drug delivery is gaining attention for its ability to provide localized treatment with reduced systemic side effects. The vaginal route has been proven effective for managing gynecological conditions, though it poses certain limitations. Biopolymers can help overcome these challenges by enhancing therapeutic [...] Read more.
Mucosal drug delivery is gaining attention for its ability to provide localized treatment with reduced systemic side effects. The vaginal route has been proven effective for managing gynecological conditions, though it poses certain limitations. Biopolymers can help overcome these challenges by enhancing therapeutic efficiency and offering beneficial properties. This study aimed to develop and evaluate hydrogels and their freeze-dried forms (wafers) based on collagen, hydroxypropyl methylcellulose, and gellan gum. Initially, a collagen gel was obtained by extraction from calfskin, which was brought to a concentration of 1% and a physiological pH with 1 M sodium hydroxide solution. This gel was combined with either 2% hydroxypropyl methylcellulose gel, 1.2% gellan gum gel, or both, in different proportions. Thus, five mixed hydrogels were obtained, which, along with the three individual gels (controls), were lyophilized to obtain wafers. Furthermore, the hydrogels were assessed for rheological behavior, while the collagen structural integrity in the presence of the other biopolymers was evaluated using circular dichroism and FT-IR spectroscopy. The wafers were characterized for morphology, wettability, swelling capacity, enzymatic degradation resistance, and in vitro biocompatibility. All hydrogels exhibited non-Newtonian, pseudoplastic behavior and showed collagen structure preservation. The wafers’ characterization showed that gellan gum enhanced the hydrophilicity and enzymatic stability of the samples. In addition, the extracts from the tested samples maintained cell viability and did not affect actin cytoskeleton morphology, indicating a lack of cytotoxic effects. This study emphasizes the importance of evaluating both the physicochemical properties and biocompatibility of biopolymeric supports as a key preliminary step in the development of vaginal drug delivery platforms with biomedical applications in the management of gynecological conditions. Full article
(This article belongs to the Special Issue Advances in Functional Hydrogels and Their Applications)
Show Figures

Figure 1

19 pages, 3101 KB  
Article
Structural and Dynamic Properties of Chemically Crosslinked Mammalian and Fish Gelatin Hydrogels
by Vladislav Abramov, Ivan V. Lunev, Ilnaz T. Rakipov, Alena A. Nikiforova, Mariia A. Kazantseva, Olga S. Zueva and Yuriy F. Zuev
Appl. Biosci. 2025, 4(4), 45; https://doi.org/10.3390/applbiosci4040045 - 2 Oct 2025
Abstract
Gelatin is a collagen-derived biopolymer widely used in food, pharmaceutical and biomedical applications due to its biocompatibility and gelling ability. However, gelatin hydrogels suffer from unstable mechanical strength, limited thermal resistance and susceptibility to microbial contamination. The main aim of the present study [...] Read more.
Gelatin is a collagen-derived biopolymer widely used in food, pharmaceutical and biomedical applications due to its biocompatibility and gelling ability. However, gelatin hydrogels suffer from unstable mechanical strength, limited thermal resistance and susceptibility to microbial contamination. The main aim of the present study is to investigate the influence of gelatin cryostructuring followed by photo-induced menadione sodium bisulfite (MSB) chemical crosslinking on the structural and functional characteristics of mammalian and fish gelatin hydrogels. The integration of scanning electron microscopy, dielectric spectroscopy and rheological experiments provides a comprehensive view of the of molecular, morphological and mechanical properties of gelatin hydrogels under photo-induced chemical crosslinking. The SEM results revealed that crosslinked hydrogels are characterized by enlarged pores compared to non-crosslinked systems. For mammalian gelatin, multiple pores with thin partitions are formed, giving a dense and stable polymer network. For fish gelatin, large oval pores with thickened partitions are formed, preserving a less stable ordered architecture. Rheological data show strong reinforcement of the elastic and thermal stability of mammalian gelatin. The crosslinked mammalian system maintains the gel state at higher temperatures. Fish gelatin exhibits reduced elasticity retention even after crosslinking because of a different amino acid composition. Dielectric results show that crosslinking increases the portion of bound water in hydrogels considerably, but for fish gelatin, bound water is more mobile, which may explain weaker mechanical properties. Full article
Show Figures

Figure 1

20 pages, 3117 KB  
Article
Physicochemical and Rheological Properties of Floury Rice Powder with Different Particle Sizes: Effects on Gluten-Free Sponge Cake Qualities
by Hyebin Jeon, Jungae Lee, Tae Gyu Nam, Hyunwook Choi and Hyun-Seok Kim
Gels 2025, 11(10), 789; https://doi.org/10.3390/gels11100789 - 1 Oct 2025
Abstract
This study investigated the physicochemical and rheological properties of floury rice powder (FRP) with different particle sizes and their effects on the quality characteristics of gluten-free butter sponge cake. Soft rice grain (Baromi2 variety) was dry-milled and sieved into four fractions: FR1 (60 [...] Read more.
This study investigated the physicochemical and rheological properties of floury rice powder (FRP) with different particle sizes and their effects on the quality characteristics of gluten-free butter sponge cake. Soft rice grain (Baromi2 variety) was dry-milled and sieved into four fractions: FR1 (60 mesh overs), FR2 (60–80 mesh), FR3 (80–100 mesh), and FR4 (100 mesh throughs). FRP fractions were analyzed for chemical composition, swelling power, solubility, gelatinization, pasting viscosity, and viscoelastic property. Gluten-free cakes made using a whole-egg foam method were evaluated for morphological structure, baking loss, moisture, specific volume and firmness. With decreasing FRP particle size, there were increasing trends in solubility, pasting viscosity, resistance to deformation, viscoelastic attributes (G′ and G″), and gel rigidity. FR3 and FR4 cakes exhibited flat and puffy loaves compared to FR1 and FR2 cakes with loaf collapses. The finer FRP enhanced the morphological balances of the cakes. Increasing trends in specific volume and firmness were observed as FRP particle size decreased. These results paralleled the solubility, pasting, rheological, and gelling properties of FRP itself. Overall, the results suggest that the rheological and gelling properties of FRP may play a role in determining the quality of gluten-free sponge cakes. In addition, FRP with a particle size of 80–100 mesh appears most appropriate for gluten-free sponge cake. Full article
Show Figures

Figure 1

21 pages, 2132 KB  
Article
Optimized Ion-Sensitive Hydrogels Based on Gellan Gum and Arabinogalactan for the Treatment of Dry Eye Disease
by Valentina Paganini, Silvia Tampucci, Sofia Gisella Brignone, Mariacristina Di Gangi, Daniela Monti, Susi Burgalassi and Patrizia Chetoni
Gels 2025, 11(10), 787; https://doi.org/10.3390/gels11100787 - 1 Oct 2025
Abstract
Dry eye disease (DED) is a multifactorial condition characterized by insufficient tear film stability and ocular discomfort. Conventional artificial tears offer limited efficacy due to short precorneal residence time. This study aimed to develop and optimize ion-sensitive in situ gelling formulations based on [...] Read more.
Dry eye disease (DED) is a multifactorial condition characterized by insufficient tear film stability and ocular discomfort. Conventional artificial tears offer limited efficacy due to short precorneal residence time. This study aimed to develop and optimize ion-sensitive in situ gelling formulations based on low-acyl gellan gum (GG) and arabinogalactan (AG) to enhance retention and therapeutic efficacy in DED. Various buffer systems were screened to identify optimal gelation conditions upon interaction with artificial tear fluid (ATF). Formulations were characterized by pH, osmolality, wettability, thermal behavior, viscosity, and viscoelastic properties. A Design of Experiments (DoE) approach was employed to understand the influence of GG and AG concentrations on rheological behavior. The selected formulation, GG(0.1%)/AG(0.2%), demonstrated a significant viscosity increase upon ATF dilution, suitable viscoelastic properties, enhanced mucoadhesion compared to hyaluronic acid, improved ferning patterns, no cytotoxic effects, and stability over time. In vivo studies in rabbits confirmed prolonged precorneal retention of the fluorescently labeled formulation. These results suggest that the GG/AG-based hydrogel is a promising strategy for improving the performance of artificial tears in DED treatment. Full article
(This article belongs to the Special Issue Novel Gels for Topical Applications)
Show Figures

Figure 1

18 pages, 1676 KB  
Article
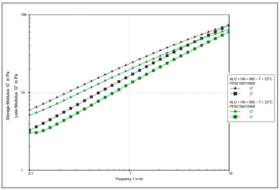
Hyaluronan-Based Hydrogel Hybrid Insulin Carriers—Preformulation Studies
by Aneta Ostróżka-Cieślik
Polymers 2025, 17(19), 2661; https://doi.org/10.3390/polym17192661 - 1 Oct 2025
Abstract
This paper proposes hybrid hydrogel insulin carriers based on alginate-hyaluronan (ALG/HA) and hydroxypropyl methylcellulose-hyaluronan (HPMC/HA) for topical application. The inclusion of insulin in a modern dressing can help restore metabolic balance and proper cell signaling in diseased tissue. Preformulation studies of the developed [...] Read more.
This paper proposes hybrid hydrogel insulin carriers based on alginate-hyaluronan (ALG/HA) and hydroxypropyl methylcellulose-hyaluronan (HPMC/HA) for topical application. The inclusion of insulin in a modern dressing can help restore metabolic balance and proper cell signaling in diseased tissue. Preformulation studies of the developed preparations were conducted, including analysis of the in vitro pharmaceutical availability of insulin, rotational and oscillatory rheology tests, and texture profile analysis. It was found that the developed insulin formulations provide an acceptable compromise between rheological and textural properties and ease of application, while ensuring prolonged release of the active substance. The results obtained provide a basis for further preclinical and clinical studies. Full article
Show Figures

Figure 1

20 pages, 3358 KB  
Article
Regulation of Oil Penetration, Lipid Oxidation, and Flavor Characteristics in Batter-Coated Fried Fish Cubes: The Functional Implications of Hydrocolloids
by Yujie Li, Yueqi Wang, Yanyan Wu, Hengli Bai, Yongqiang Zhao, Huan Xiang and Jun Li
Gels 2025, 11(10), 781; https://doi.org/10.3390/gels11100781 - 30 Sep 2025
Abstract
This study elucidates the mechanisms through which hydrocolloids inhibit oil penetration and improve the sensory quality of batter-coated fried fish cubes. Specifically, guar gum (GuG), linseed gum (LG), acacia senegal gum (AS), and gellan gum (GeG) were individually incorporated into the batter coating [...] Read more.
This study elucidates the mechanisms through which hydrocolloids inhibit oil penetration and improve the sensory quality of batter-coated fried fish cubes. Specifically, guar gum (GuG), linseed gum (LG), acacia senegal gum (AS), and gellan gum (GeG) were individually incorporated into the batter coating system at an addition level of 0.1%. The results indicated that the 0.1% LG-supplemented group significantly increased batter viscosity by 74.9% compared to the control, which in turn improved batter pickup by 26.1% and frying yield by 8.1%. Rheological analysis revealed that hydrocolloid-incorporated batters exhibited markedly higher storage modulus and loss modulus compared to the control group, with a lower loss tangent. Experimental results indicated that hydrocolloids effectively reduced oil absorption and mitigated the rate of lipid oxidation in fried fish cubes while promoting the release of key flavor compounds. Notably, fried fish cubes coated with GuG, when fried at 170 °C, not only reduced oil absorption but also facilitated the formation of critical flavor compounds. These findings provide a theoretical foundation for optimizing fried food processing and flavor control. Full article
(This article belongs to the Special Issue Food Gels: Structure and Properties (2nd Edition))
Show Figures

Graphical abstract

17 pages, 987 KB  
Article
Bioemulsifier Produced by Aspergillus niger UCP 1064 Isolated from Caatinga Soil as a Promising Molecule for Scaled-Up Pharmaceutical Applications
by Uiara Maria de Barros Lira Lins, Rosileide Fontenele da Silva Andrade and Galba Maria de Campos-Takaki
Fermentation 2025, 11(10), 562; https://doi.org/10.3390/fermentation11100562 - 29 Sep 2025
Abstract
This study presents the production, characterization, and potential pharmaceutical application of a bioemulsifier synthesized by Aspergillus niger UCP 1064 by submerged fermentation using agro-industrial residues (cassava wastewater and soluble starch). The compound exhibited a high emulsification index (EI24 > 88%) against hydrophobic [...] Read more.
This study presents the production, characterization, and potential pharmaceutical application of a bioemulsifier synthesized by Aspergillus niger UCP 1064 by submerged fermentation using agro-industrial residues (cassava wastewater and soluble starch). The compound exhibited a high emulsification index (EI24 > 88%) against hydrophobic substrates, effectively reduced surface tension, and remained stable across a wide range of pH (2–12), temperatures (5–100 °C), and salinity levels (0–20% NaCl). Microscopic analysis confirmed the formation of stable oil-in-water (O/W) emulsions, while biochemical tests identified the compound as a glycolipoprotein. Rheological assays demonstrated a significant reduction in oil viscosity, enhancing fluidity. Through factorial design and response surface methodology, production conditions were optimized, achieving yields of up to 3.18 g/L. A theoretical scale-up indicated technical feasibility for pharmaceutical applications; however, challenges such as process reproducibility, sterility, and regulatory compliance persist. These findings highlight the bioemulsifier’s potential as a sustainable and biocompatible alternative for drug delivery systems. Full article
(This article belongs to the Special Issue Scale-Up Challenges in Microbial Fermentation)
Show Figures

Figure 1

22 pages, 5277 KB  
Article
Colloidal Properties of Clays from Ventzia Basin Enhanced with Chemical Additives and Subjected to Dynamic Thermal Aging Suitable for Water-Based Drilling Fluids
by Dimitriοs Papadimitriou, Ernestos-Nikolas Sarris, Andreas Georgakopoulos and Nikolaos Kantiranis
Colloids Interfaces 2025, 9(5), 65; https://doi.org/10.3390/colloids9050065 - 28 Sep 2025
Abstract
This work examines the colloidal properties of clays sampled from two different locations in Ventzia basin processed as low-density solid additives for water-based drilling fluid applications. The obtained samples were mechanically processed to reach a size less than 2 cm. The material was [...] Read more.
This work examines the colloidal properties of clays sampled from two different locations in Ventzia basin processed as low-density solid additives for water-based drilling fluid applications. The obtained samples were mechanically processed to reach a size less than 2 cm. The material was then activated with 3 wt% soda ash without oven drying, keeping the moisture in environmental conditions to simulate industrial activation conditions. After laying for one month curing time, samples were oven dried at 60 °C and further ground to <120 μm. Two groups of samples were created mixing clays from Ventzia basin and additives. The first group contained clay, xanthan gum and sodium polyacrylate (PAA), while the second group contained clay, xanthan gum and sodium hexametaphosphate (SHMP). Standard tests were performed for the rheological behavior and filtration properties prior to and after dynamic thermal aging. Results obtained were compared with commercial clays from Milos and Wyoming used in drilling fluid systems, after thermally deteriorating also their properties. The obtained results revealed that the enhanced clays under study maintain excellent thermal stability. Notably, the top-performing formulation met the critical American Petroleum Institute (API) benchmark for filtrate loss (<15 mL) and exhibited a robust rheological profile at temperatures up to 105 °C, demonstrating its suitability for water-based fluid (WBF) applications. Full article
(This article belongs to the Special Issue Colloids and Interfaces in Mineral Processing)
Show Figures

Figure 1

24 pages, 5112 KB  
Article
Thermally Stable Collagen from Black Carp (Mylopharyngodon piceus) Swim Bladder: Preparation, Structure, Rheological, and Functional Properties
by Lichi Wei, Yushuang Li, Cong Ke, Junde Chen and Jing Zhang
Foods 2025, 14(19), 3359; https://doi.org/10.3390/foods14193359 - 28 Sep 2025
Abstract
Fish-derived collagen can reduce the risk of disease transmission and has no religious or cultural restrictions. However, it has limited applications due to its poor thermal stability. In this study, black carp swim bladder collagen (BBC), classified as a type I collagen, was [...] Read more.
Fish-derived collagen can reduce the risk of disease transmission and has no religious or cultural restrictions. However, it has limited applications due to its poor thermal stability. In this study, black carp swim bladder collagen (BBC), classified as a type I collagen, was extracted. Amino acid composition analysis revealed that BBC had a higher proline hydroxylation rate of 39.57%. Fourier transform infrared spectroscopy revealed that BBC exhibited a complete triple-helix structure. The fractional viscosity curve and differential scanning calorimetry curves revealed that the thermal denaturation temperature (Td) and the melting temperature (Tm) were 30.85 °C and 107.19 °C, respectively. The dynamic rheological analysis showed that as the concentration increased from 5 mg/mL to 20 mg/mL at 0.01 Hz, the storage modulus increased from 0.979 Pa to 84.2 Pa. When the temperature exceeded the Td, the BBC solution exhibited viscous behaviour as the frequency increased. The steady-shear analysis showed that the BBC was a shear-thinning fluid. Functional properties analysis revealed that BBC exhibited better emulsification properties, foaming properties, water absorption capacity and oil absorption capacity than land-derived collagen, making it suitable for emulsifiers, bubbling beverages, and frozen meat preservation. Additionally, BBC promoted the growth of MT3C3-E1 cells and maintained the normal morphology of the cells. These results showed that BBC is a promising substitute for terrestrial collagen in functional foods, cosmetics, and biofunctional materials. Full article
Show Figures

Figure 1

26 pages, 4161 KB  
Article
Effect of Organic Acid Selection on the Physicochemical Properties, Bioadhesion, and Stability of Chitosan Hydrogels
by Muhammet Davut Arpa, Ümit Can Erim, Ebrar Elif Kesmen Salik, Sevde Nur Biltekin Kaleli and Ismail Erol
Gels 2025, 11(10), 778; https://doi.org/10.3390/gels11100778 - 28 Sep 2025
Abstract
Chitosan is a promising biopolymer for drug delivery due to its biocompatibility, biodegradability, and low toxicity. However, its limited dispersibility in water restricts applications, which can be improved through organic acid salts. This study examined how acetic, lactic, glutamic, and citric acids influence [...] Read more.
Chitosan is a promising biopolymer for drug delivery due to its biocompatibility, biodegradability, and low toxicity. However, its limited dispersibility in water restricts applications, which can be improved through organic acid salts. This study examined how acetic, lactic, glutamic, and citric acids influence the physicochemical, rheological, swelling, bioadhesive, stability, and cytotoxicity properties of chitosan hydrogels. Gels were prepared using varying chitosan-to-acid molar ratios (1:1; 1:1.2 for citrate) and characterized by NMR, FTIR, TGA, and XRD. Despite identical chitosan concentrations (2%, 3%, 3.5%), gels displayed distinct viscosity, swelling, and adhesion profiles depending on the acid. Lactate gels exhibited the most favorable overall performance, combining high viscosity (1555–6665 mPa·s), structural stability, and strong bioadhesion. Citrate gels showed the lowest viscosity (825–3550 mPa·s), cell viability, and stability but the highest bioadhesiveness, likely due to multivalent ionic interactions. Short-term stability tests revealed that low pH accelerated chitosan degradation, leading to viscosity loss up to ~90–95% within 30 days, particularly in citrate hydrogels. Cytotoxicity tests confirmed high biocompatibility, with all formulations maintaining cell viability above 80%. Overall, the findings highlight that organic acid selection is a critical determinant of chitosan gel behavior, offering guidance for tailoring safe, stable, and bioadhesive drug delivery systems. Full article
(This article belongs to the Special Issue Advances in Chitin- and Chitosan-Based Hydrogels (2nd Edition))
Show Figures

Figure 1

Back to TopTop