Regulation of Oil Penetration, Lipid Oxidation, and Flavor Characteristics in Batter-Coated Fried Fish Cubes: The Functional Implications of Hydrocolloids
Abstract
1. Introduction
2. Results and Discussion
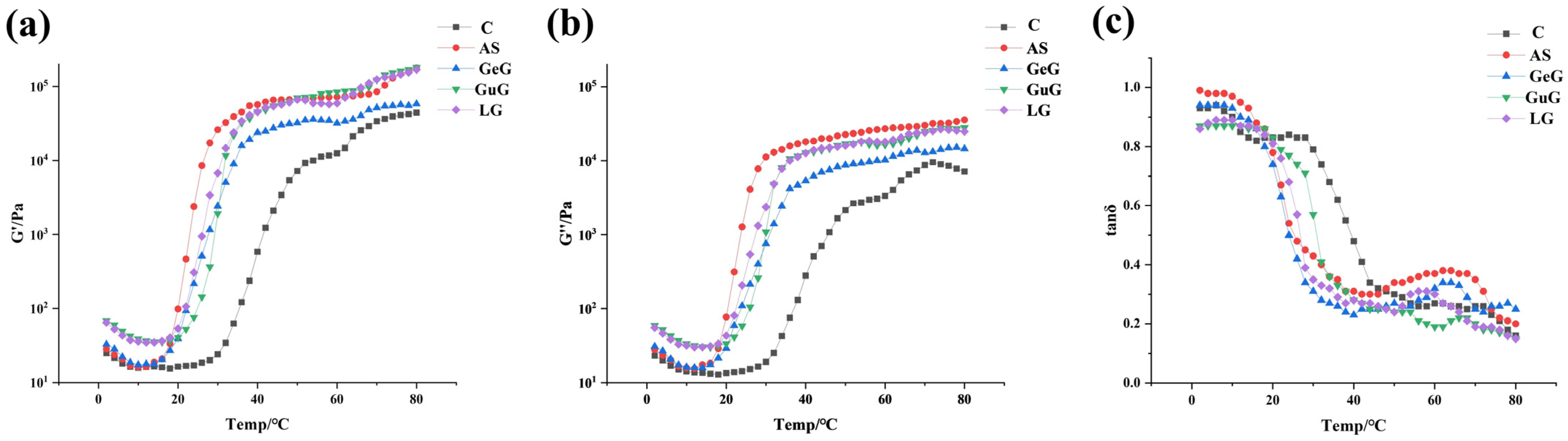
2.1. Effects of Different Hydrocolloids on the Rheological Properties of Batter
2.2. Effects of Different Hydrocolloids on Batter Viscosity, Batter Pickup, Frying Yield, and Hardness
2.3. Effects of Different Hydrocolloids on Oil Absorption and Moisture Content
2.4. Effects of Different Hydrocolloids on Oil Penetration in Fried Fish Cubes
2.5. Effects of Different Heat Treatments on Lipid Oxidation of Fried Fish Cubes
2.6. Effects of Different Heat Treatments on Sensory Analysis of Fried Fish Cubes
2.7. Effects of Different Heat Treatments on FFA in Fried Fish Cubes
2.8. Analysis of Volatile Components in Battered Fried Fish Cubes
2.9. Correlation Analysis Between Characteristic Flavor Compounds and Lipid Oxidation
2.10. Analysis of the Potential Formation Pathways of Characteristic Flavor Compounds
3. Conclusions
4. Materials and Methods
4.1. Materials and Reagents
4.2. Sample Preparation
4.3. Viscosity Measurement of Batter
4.4. Rheological Properties of Batter
4.5. Determination of Batter Pickup and Frying Yield
4.6. Determination of Oil and Moisture Content
4.7. Determination of Hardness
4.8. Sudan Red Dyeing of Fried Battered Fish Cubes
4.9. Determination of Malondialdehyde and Peroxide Value
4.10. Sensory Evaluation
4.11. Determination of Free Fatty Acid
4.12. Determination of Volatile Flavor Compounds
4.13. Statistical Analysis
Supplementary Materials
Author Contributions
Funding
Data Availability Statement
Conflicts of Interest
References
- Shi, B.; Guo, X.; Liu, H.; Jiang, K.; Liu, L.; Yan, N.; Farag, M.A.; Liu, L. Dissecting Maillard Reaction Production in Fried Foods: Formation Mechanisms, Sensory Characteristic Attribution, Control Strategy, and Gut Homeostasis Regulation. Food Chem. 2024, 438, 137994. [Google Scholar] [CrossRef] [PubMed]
- Wang, X.; McClements, D.J.; Xu, Z.; Meng, M.; Qiu, C.; Long, J.; Jin, Z.; Chen, L. Recent Advances in the Optimization of the Sensory Attributes of Fried Foods: Appearance, Flavor, and Texture. Trends Food Sci. Technol. 2023, 138, 297–309. [Google Scholar] [CrossRef]
- Zhang, J.; Liu, Y.; Fan, L. Effect of Pore Characteristics on Oil Absorption Behavior during Frying of Potato Chips. Innov. Food Sci. Emerg. Technol. 2020, 66, 102508. [Google Scholar] [CrossRef]
- Bhuiyan, M.H.R.; Ngadi, M. Application of Batter Coating for Modulating Oil, Texture and Structure of Fried Foods: A Review. Food Chem. 2024, 453, 139655. [Google Scholar] [CrossRef]
- Wu, R.; Jiang, Y.; Qin, R.; Shi, H.; Jia, C.; Rong, J.; Liu, R. Study of the Formation of Food Hazard Factors in Fried Fish Nuggets. Food Chem. 2022, 373, 131562. [Google Scholar] [CrossRef]
- Dehghannya, J.; Ngadi, M. The Application of Pretreatments for Producing Low-Fat Fried Foods: A Review. Trends Food Sci. Technol. 2023, 140, 104150. [Google Scholar] [CrossRef]
- Dehghannya, J.; Abedpour, L. Influence of a Three Stage Hybrid Ultrasound–Osmotic–Frying Process on Production of Low-Fat Fried Potato Strips. J. Sci. Food Agric. 2018, 98, 1485–1491. [Google Scholar] [CrossRef]
- Albert, A.; Perez-Munuera, I.; Quiles, A.; Salvador, A.; Fiszman, S.M.; Hernando, I. Adhesion in Fried Battered Nuggets: Performance of Different Hydrocolloids as Predusts Using Three Cooking Procedures. Food Hydrocoll. 2009, 23, 1443–1448. [Google Scholar] [CrossRef]
- Jouki, M.; Khazaei, N. Effects of Active Batter Coatings Enriched by Quince Seed Gum and Carvacrol Microcapsules on Oil Uptake and Quality Loss of Nugget during Frying. J. Food Sci. Technol. 2022, 59, 1104–1113. [Google Scholar] [CrossRef] [PubMed]
- Varela, P.; Fiszman, S.M. Hydrocolloids in Fried Foods. A Review. Food Hydrocoll. 2011, 25, 1801–1812. [Google Scholar] [CrossRef]
- Wang, Z.; Ng, K.; Warner, R.D.; Stockmann, R.; Fang, Z. Effects of Chitosan Nanoparticles Incorporation on the Physicochemical Quality of Cellulose Coated Deep-Fried Meatballs. Food Control 2023, 149, 109715. [Google Scholar] [CrossRef]
- Esmaeili, F.; Mehrabi, M.; Babapour, H.; Hassani, B.; Abedinia, A. Active Coating Based on Carboxymethyl Cellulose and Flaxseed Mucilage, Containing Burdock Extract, for Fresh-Cut and Fried Potatoes. LWT 2024, 192, 115726. [Google Scholar] [CrossRef]
- Chen, X.; Qiu, Q.; Chen, K.; Li, D.; Liang, L. Water-Soluble Myofibrillar Protein–Pectin Complex for Enhanced Physical Stability near the Isoelectric Point: Fabrication, Rheology and Thermal Property. Int. J. Biol. Macromol. 2020, 142, 615–623. [Google Scholar] [CrossRef] [PubMed]
- Feng, Y.; Liang, X.; Zhang, J.; Kong, B.; Shi, P.; Cao, C.; Zhang, H.; Liu, Q.; Zhang, Y. Effects of Transglutaminase Coupled with κ-Carrageenan on the Rheological Behaviours, Gel Properties and Microstructures of Meat Batters. Food Hydrocoll. 2024, 146, 109265. [Google Scholar] [CrossRef]
- Papagianni, E.; Kotsiou, K.; Matsakidou, A.; Biliaderis, C.G.; Lazaridou, A. Development of “Clean Label” Gluten-Free Breads Fortified with Flaxseed Slurry and Sesame Cake: Implications on Batter Rheology, Bread Quality and Shelf Life. Food Hydrocoll. 2024, 150, 109734. [Google Scholar] [CrossRef]
- Sansano, M.; Heredia, A.; Glicerina, V.; Balestra, F.; Romani, S.; Andrés, A. Influence of Chitosan on Thermal, Microstructural and Rheological Properties of Rice and Wheat Flours-Based Batters. LWT 2018, 87, 529–536. [Google Scholar] [CrossRef]
- Morreale, F.; Garzón, R.; Rosell, C.M. Understanding the Role of Hydrocolloids Viscosity and Hydration in Developing Gluten-Free Bread. A Study with Hydroxypropyl methylcellulose. Food Hydrocoll. 2018, 77, 629–635. [Google Scholar] [CrossRef]
- Mirhosseini, H.; Amid, B.T. A Review Study on Chemical Composition and Molecular Structure of Newly Plant Gum Exudates and Seed Gums. Food Res. Int. 2012, 46, 387–398. [Google Scholar] [CrossRef]
- Saha, A.; Tyagi, S.; Gupta, R.K.; Tyagi, Y.K. Natural Gums of Plant Origin as Edible Coatings for Food Industry Applications. Crit. Rev. Biotechnol. 2017, 37, 959–973. [Google Scholar] [CrossRef]
- Pongsawatmanit, R.; Ketjarut, S.; Choosuk, P.; Hanucharoenkul, P. Effect of Carboxymethyl Cellulose on Properties of Wheat Flour-Tapioca Starch-Based Batter and Fried, Battered Chicken Product. Agric. Nat. Resour. 2018, 52, 565–572. [Google Scholar] [CrossRef]
- Ghafouri-Oskuei, H.; Javadi, A.; Saeidi-Asl, M.R.; Azadmard-Damirchi, S.; Armin, M.; Riazi, F.; Savadkoohi, S. Mechanical Attributes, Colloidal Interactions, and Microstructure of Meat Batter Influenced by Flaxseed Flour and Tomato Powder. Meat Sci. 2022, 187, 108750. [Google Scholar] [CrossRef]
- Wang, X.; Chen, L.; McClements, D.J.; Jin, Z. Recent Advances in Crispness Retention of Microwaveable Frozen Pre-Fried Foods. Trends Food Sci. Technol. 2023, 132, 54–64. [Google Scholar] [CrossRef]
- Yu, L.; Li, J.; Ding, S.; Hang, F.; Fan, L. Effect of Guar Gum with Glycerol Coating on the Properties and Oil Absorption of Fried Potato Chips. Food Hydrocoll. 2016, 54, 211–219. [Google Scholar] [CrossRef]
- Yamul, D.K.; Navarro, A.S. Effect of Hydrocolloids on Structural and Functional Properties of Wheat/Potato (50/50) Flour Dough. Food Struct. 2020, 24, 100138. [Google Scholar] [CrossRef]
- Zhang, J.; Tao, L.; Zhang, X.; Sui, X.; Song, S.; Wei, Y.; Yu, L. Carboxymethylation Enhances the Low Oil Absorption of Freeze-Thawed Tapioca Starch in Fried Ham Sausage Batter. LWT 2023, 184, 115050. [Google Scholar] [CrossRef]
- Al-Asmar, A.; Naviglio, D.; Giosafatto, C.V.L.; Mariniello, L. Hydrocolloid-Based Coatings Are Effective at Reducing Acrylamide and Oil Content of French Fries. Coatings 2018, 8, 147. [Google Scholar] [CrossRef]
- Gamonpilas, C.; Pongjaruvat, W.; Methacanon, P.; Seetapan, N.; Fuongfuchat, A.; Klaikherd, A. Effects of Cross-Linked Tapioca Starches on Batter Viscosity and Oil Absorption in Deep-Fried Breaded Chicken Strips. J. Food Eng. 2013, 114, 262–268. [Google Scholar] [CrossRef]
- Garmakhany, A.D.; Mirzaei, H.O.; Nejad, M.K.; Maghsudlo, Y. Study of Oil Uptake and Some Quality Attributes of Potato Chips Affected by Hydrocolloids. Eur. J. Lipid Sci. Technol. 2008, 110, 1045–1049. [Google Scholar] [CrossRef]
- Liu, Y.; Tian, J.; Zhang, T.; Fan, L. Effects of Frying Temperature and Pore Profile on the Oil Absorption Behavior of Fried Potato Chips. Food Chem. 2021, 345, 128832. [Google Scholar] [CrossRef]
- Cui, L.; Chen, J.; Wang, Y.; Xiong, Y.L. The Effect of Batter Characteristics on Protein-Aided Control of Fat Absorption in Deep-Fried Breaded Fish Nuggets. Foods 2022, 11, 147. [Google Scholar] [CrossRef]
- Cui, L.; Chen, J.; Zhai, J.; Peng, L.; Hayes, D. Oil Penetration of Batter-Breaded Fish Nuggets during Deep-Fat Frying: Effect of Frying Oils. Foods 2022, 11, 3369. [Google Scholar] [CrossRef]
- Khazaei, N.; Esmaiili, M.; Emam-Djomeh, Z. Effect of Active Edible Coatings Made by Basil Seed Gum and Thymol on Oil Uptake and Oxidation in Shrimp during Deep-Fat Frying. Carbohydr. Polym. 2016, 137, 249–254. [Google Scholar] [CrossRef]
- Shahidi, F.; Zhong, Y. Lipid Oxidation and Improving the Oxidative Stability. Chem. Soc. Rev. 2010, 39, 4067. [Google Scholar] [CrossRef]
- Golodnizky, D.; Eshaya, E.; Bernardes, C.E.S.; Davidovich-Pinhas, M. Insights into the Dynamics of Edible Oil Oxidation: From Molecular Interactions to Oxidation Kinetics. Food Hydrocoll. 2025, 164, 111203. [Google Scholar] [CrossRef]
- Islam, J.; Mahmud, N.; Oyom, W.; Aminzare, M.; Tahergorabi, R. Effects of Β-Sitosterol Oleogel on Fat Uptake Reduction, Physicochemical Properties, Oxidative Stability, and Sensory Characteristics of Fried Surimi Fish Balls. J. Agric. Food Res. 2024, 17, 101240. [Google Scholar] [CrossRef]
- Cameleyre, M.; Lytra, G.; Tempere, S.; Barbe, J.-C. Olfactory Impact of Higher Alcohols on Red Wine Fruity Ester Aroma Expression in Model Solution. J. Agric. Food Chem. 2015, 63, 9777–9788. [Google Scholar] [CrossRef] [PubMed]
- Wang, Y.; Wang, H.; Xiang, H.; Chen, S.; Zhao, Y.; Li, L.; Sun-Waterhouse, D.; Wu, Y. Unlocking the Opportunities for Creating Sustainable, Flavorful and Healthy High-Protein “Blue Foods”: Focusing on the Impacts of Protein-Flavor Interactions. Trends Food Sci. Technol. 2024, 148, 104523. [Google Scholar] [CrossRef]
- Wang, Z.; Cai, R.; Yang, X.; Gao, Z.; Yuan, Y.; Yue, T. Changes in Aroma Components and Potential Maillard Reaction Products during the Stir-Frying of Pork Slices. Food Control 2021, 123, 107855. [Google Scholar] [CrossRef]
- Liu, Y.; Li, Q.; Yang, W.; Sun, B.; Zhou, Y.; Zheng, Y.; Huang, M.; Yang, W. Characterization of the Potent Odorants in Zanthoxylum armatum DC Prodr. Pericarp Oil by Application of Gas Chromatography–Mass Spectrometry–Olfactometry and Odor Activity Value. Food Chem. 2020, 319, 126564. [Google Scholar] [CrossRef]
- Pu, D.; Shan, Y.; Duan, W.; Huang, Y.; Liang, L.; Yan, Y.; Zhang, Y.; Sun, B.; Hu, G. Characterization of the Key Aroma Compounds in the Fruit of Litsea Pungens Hemsl. (LPH) by GC-MS/O, OAV, and Sensory Techniques. J. Food Qual. 2021, 2021, 6668606. [Google Scholar] [CrossRef]
- Yang, Y.; Zhu, H.; Chen, J.; Xie, J.; Shen, S.; Deng, Y.; Zhu, J.; Yuan, H.; Jiang, Y. Characterization of the Key Aroma Compounds in Black Teas with Different Aroma Types by Using Gas Chromatography Electronic Nose, Gas Chromatography-Ion Mobility Spectrometry, and Odor Activity Value Analysis. LWT 2022, 163, 113492. [Google Scholar] [CrossRef]
- Zhang, Z.; Jiang, J.; Zang, M.; Zhang, K.; Li, D.; Li, X. Flavor Profile Analysis of Instant and Traditional Lanzhou Beef Bouillons Using HS-SPME-GC/MS, Electronic Nose and Electronic Tongue. Bioengineering 2022, 9, 582. [Google Scholar] [CrossRef]
- Liu, J.; Shen, S.; Xiao, N.; Jiang, Q.; Shi, W. Effect of Glycation on Physicochemical Properties and Volatile Flavor Characteristics of Silver Carp Mince. Food Chem. 2022, 386, 132741. [Google Scholar] [CrossRef] [PubMed]
- Li, Y.; Wu, Y.; Chen, S.; Zhao, Y.; Li, C.; Xiang, H.; Wang, D.; Wang, Y. Decoding the Aroma Landscape of Fermented Golden Pompano: The Interplay of Ester Compounds and Symbiotic Microbiota as Revealed by Metagenomics and Two-Dimensional Flavoromics. Food Res. Int. 2025, 203, 115832. [Google Scholar] [CrossRef] [PubMed]
- Li, Y.; Wu, Y.; Chen, S.; Zhao, Y.; Li, C.; Xiang, H.; Wang, D.; Wang, Y. Exploring the Key Flavor Compounds and Aroma Profiles in Traditionally Fermented Golden Pompano (Trachinotus ovatus): Perspective from Molecular Sensory Science. Food Chem. 2025, 463, 141383. [Google Scholar] [CrossRef] [PubMed]
- Ma, W.; Shan, J.; Wang, M.; Xie, J.; Chen, Y.; Sun, N.; Song, Y.; Hu, X.; Yu, Q. Effects of Xanthan Gum and Potassium Carbonate on the Quality and Flavor Properties of Frozen Jiuniang Doughs. Int. J. Biol. Macromol. 2023, 253, 127191. [Google Scholar] [CrossRef]
- Gu, S.; Wang, X.; Tao, N.; Wu, N. Characterization of Volatile Compounds in Different Edible Parts of Steamed Chinese Mitten Crab (Eriocheir sinensis). Food Res. Int. 2013, 54, 81–92. [Google Scholar] [CrossRef]
- Zhang, Q.; Wan, C.; Wang, C.; Chen, H.; Liu, Y.; Li, S.; Lin, D.; Wu, D.; Qin, W. Evaluation of the Non-Aldehyde Volatile Compounds Formed during Deep-Fat Frying Process. Food Chem. 2018, 243, 151–161. [Google Scholar] [CrossRef]
- Whitfield, F.B.; Mottram, D.S. Volatiles from Interactions of Maillard Reactions and Lipids. Crit. Rev. Food Sci. Nutr. 1992, 31, 1–58. [Google Scholar] [CrossRef] [PubMed]
- Otunola, G.A. Culinary Spices in Food and Medicine: An Overview of Syzygium aromaticum (L.) Merr. and L. M. Perry [Myrtaceae]. Front. Pharmacol. 2022, 12, 793200. [Google Scholar] [CrossRef]
- Choe, E.; Min, D.B. Chemistry of Deep-Fat Frying Oils. J. Food Sci. 2007, 72, R77–R86. [Google Scholar] [CrossRef] [PubMed]
- Liu, L.; Huang, P.; Xie, W.; Wang, J.; Li, Y.; Wang, H.; Xu, H.; Bai, F.; Zhou, X.; Gao, R.; et al. Effect of Air Fryer Frying Temperature on the Quality Attributes of Sturgeon Steak and Comparison of Its Performance with Traditional Deep Fat Frying. Food Sci. Nutr. 2022, 10, 342–353. [Google Scholar] [CrossRef] [PubMed]
- Chen, Y.P.; Li, W.; Yu, Y.; Wang, M.; Blank, I.; Zhang, Y.; Liu, Y. Elucidation of the Impact of Steaming on the Key Odorants of Jinhua Dry-Cured Ham Using the Sensomics Approach. J. Agric. Food Chem. 2023, 71, 4932–4942. [Google Scholar] [CrossRef] [PubMed]
- Lin, W.; Barbut, S. Hybrid Meat Batter System: Effects of Plant Proteins (Pea, Brown Rice, Faba Bean) and Concentrations (3–12%) on Texture, Microstructure, Rheology, Water Binding, and Color. Poult. Sci. 2024, 103, 103822. [Google Scholar] [CrossRef]
- Park, S.-Y.; Kim, H.-Y. Effect of Lyophilized Chive (Allium wakegi Araki) Supplementation to the Frying Batter Mixture on Quality Attributes of Fried Chicken Breast and Tenderloin. Food Chem. X 2022, 13, 100216. [Google Scholar] [CrossRef]
- Zhang, R.; Zhang, J.; Zhou, L.; Wang, L.; Zhang, W. Influence of Ultrasound-Assisted Tumbling on NaCl Transport and the Quality of Pork. Ultrason. Sonochem. 2021, 79, 105759. [Google Scholar] [CrossRef]
- Zhai, J.; Chen, J.; Chen, C.; Peng, L.; Zhang, P. Understanding Changes in Moisture State, Wheat Gluten Structure and Oil Penetration of Breaded Fish Nuggets during Frying. LWT 2024, 198, 115967. [Google Scholar] [CrossRef]
- GB 5009.181-2016; National Standard for Food Safety—Determination of Malondialdehyde in Food. National Health and Family Planning Commission of the People’s Republic of China. China Quality Inspection Press: Beijing, China, 2016.
- GB 5009.227-2016; National Standard for Food Safety—Determination of Peroxide Value in Food. National Health and Family Planning Commission of the People’s Republic of China. China Quality Inspection Press: Beijing, China, 2016.
- GB 5009.168-2016; National Standard for Food Safety—Determination of Fatty Acids in foods. National Health and Family Planning Commission of the People’s Republic of China. China Quality Inspection Press: Beijing, China, 2016.
- Nie, S.; Li, L.; Wang, Y.; Wu, Y.; Li, C.; Chen, S.; Zhao, Y.; Wang, D.; Xiang, H.; Wei, Y. Discrimination and Characterization of Volatile Organic Compound Fingerprints during Sea Bass (Lateolabrax japonicas) Fermentation by Combining GC-IMS and GC-MS. Food Biosci. 2022, 50, 102048. [Google Scholar] [CrossRef]









| Group | Batter Viscosity (mPa s) | Batter Pickup (%) | Frying Yield (%) | Hardness (g) |
|---|---|---|---|---|
| C | 2710 ± 8.19 e | 16.70 ± 0.18 e | 123.85 ± 0.84 e | 127.33 ± 2.52 c |
| AS | 2946 ± 15.72 d | 17.57 ± 0.12 d | 126.83 ± 0.72 d | 112.67 ± 2.52 d |
| LG | 4740 ± 8.08 a | 21.05 ± 0.58 a | 133.91 ± 0.11 a | 160.00 ± 5.00 a |
| GuG | 4154 ± 7.94 b | 19.56 ± 0.41 b | 131.62 ± 0.30 b | 142.67 ± 5.13 b |
| GeG | 3546 ± 15.28 c | 18.47 ± 0.37 c | 129.35 ± 1.48 c | 104.00 ± 2.65 e |
| Evaluation Attributes | 1~4 Points | 5~8 Points | 9~12 Points |
|---|---|---|---|
| Color | Excessive browning or a pale white appearance on the coating | Relatively uniform color with slight browning on the coating | Uniform golden yellow color on the coating |
| Shapes | Cracks on the coating or obvious breadcrumb shedding | Slight breadcrumb shedding | Intact fish cubes |
| Odors | Obvious burnt odor or lack of aroma | Relatively rich aroma with slight burnt odor | Rich aroma with complex layers |
| Texture | Non-crispy coating, dry fish meat | Moderately crispy coating | Crispy coating, juicy fish meat |
| Overall | Poor overall experience, disliked | Average overall experience | Extremely pleasant overall experience |
Disclaimer/Publisher’s Note: The statements, opinions and data contained in all publications are solely those of the individual author(s) and contributor(s) and not of MDPI and/or the editor(s). MDPI and/or the editor(s) disclaim responsibility for any injury to people or property resulting from any ideas, methods, instructions or products referred to in the content. |
© 2025 by the authors. Licensee MDPI, Basel, Switzerland. This article is an open access article distributed under the terms and conditions of the Creative Commons Attribution (CC BY) license (https://creativecommons.org/licenses/by/4.0/).
Share and Cite
Li, Y.; Wang, Y.; Wu, Y.; Bai, H.; Zhao, Y.; Xiang, H.; Li, J. Regulation of Oil Penetration, Lipid Oxidation, and Flavor Characteristics in Batter-Coated Fried Fish Cubes: The Functional Implications of Hydrocolloids. Gels 2025, 11, 781. https://doi.org/10.3390/gels11100781
Li Y, Wang Y, Wu Y, Bai H, Zhao Y, Xiang H, Li J. Regulation of Oil Penetration, Lipid Oxidation, and Flavor Characteristics in Batter-Coated Fried Fish Cubes: The Functional Implications of Hydrocolloids. Gels. 2025; 11(10):781. https://doi.org/10.3390/gels11100781
Chicago/Turabian StyleLi, Yujie, Yueqi Wang, Yanyan Wu, Hengli Bai, Yongqiang Zhao, Huan Xiang, and Jun Li. 2025. "Regulation of Oil Penetration, Lipid Oxidation, and Flavor Characteristics in Batter-Coated Fried Fish Cubes: The Functional Implications of Hydrocolloids" Gels 11, no. 10: 781. https://doi.org/10.3390/gels11100781
APA StyleLi, Y., Wang, Y., Wu, Y., Bai, H., Zhao, Y., Xiang, H., & Li, J. (2025). Regulation of Oil Penetration, Lipid Oxidation, and Flavor Characteristics in Batter-Coated Fried Fish Cubes: The Functional Implications of Hydrocolloids. Gels, 11(10), 781. https://doi.org/10.3390/gels11100781

