Influence of Mineral Fillers on the Curing Process and Thermal Degradation of Polyethylene Glycol Maleate–Acrylic Acid-Based Systems
Abstract
1. Introduction
2. Materials and Methods
2.1. Materials
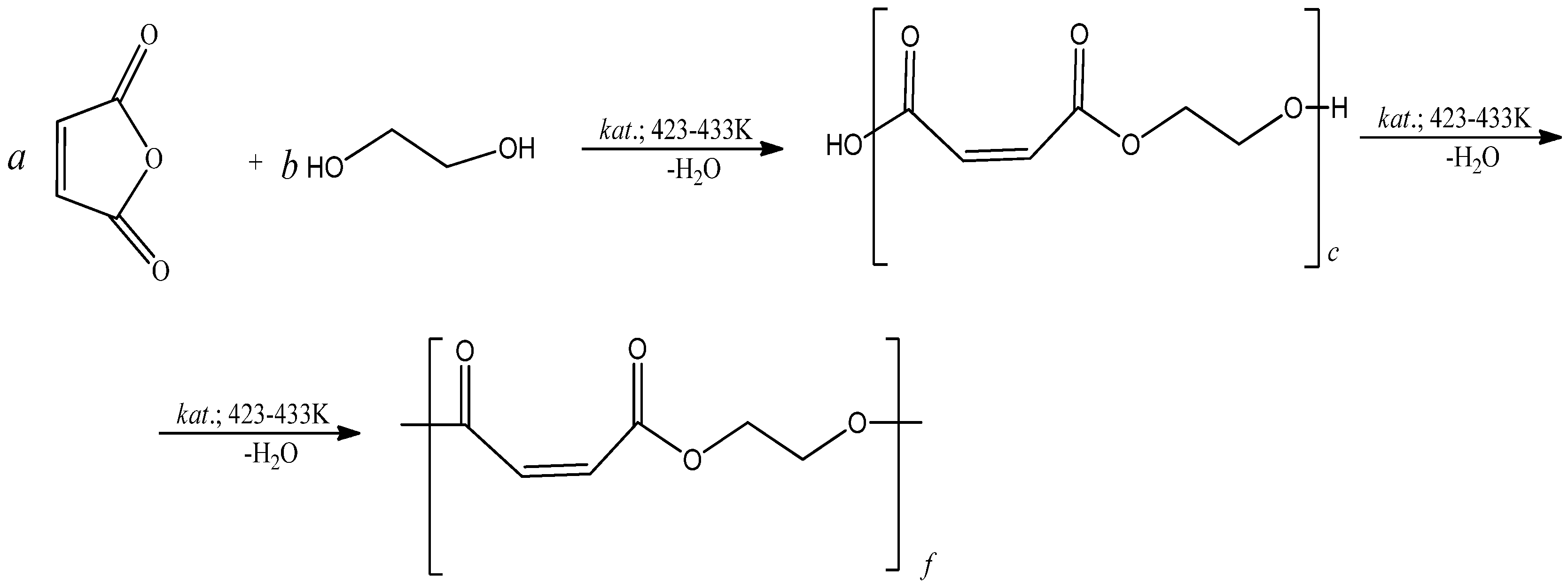
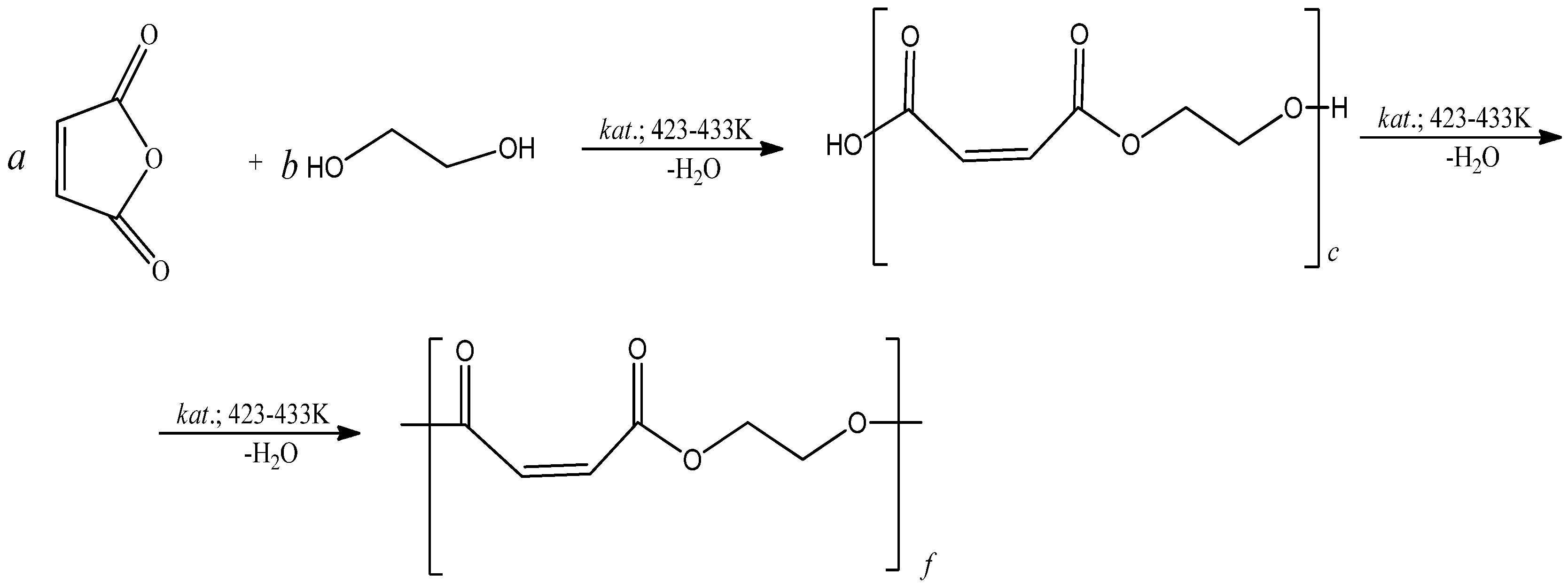
2.2. Preparation of Polyethylene Glycol Maleate
2.3. Sample Preparation
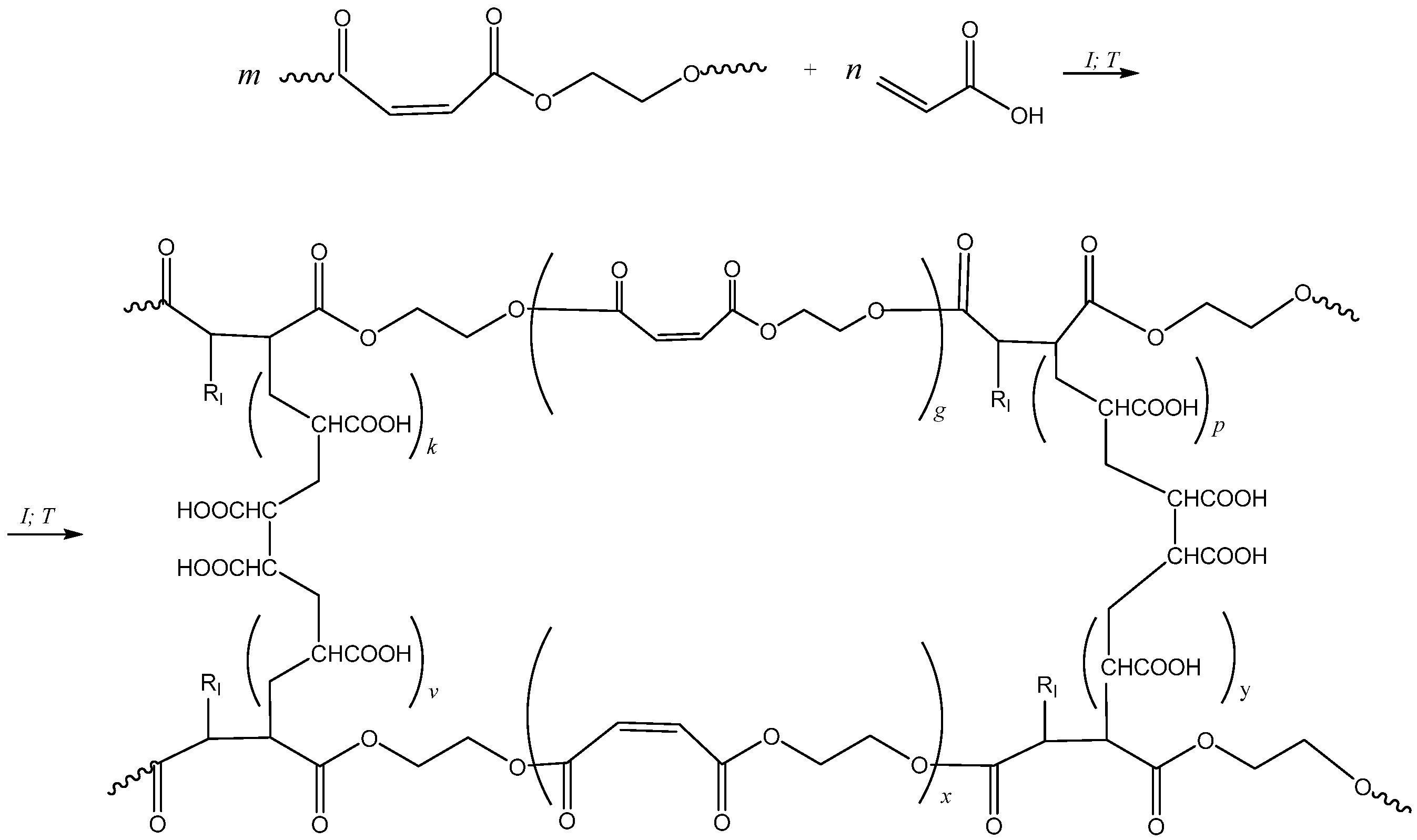
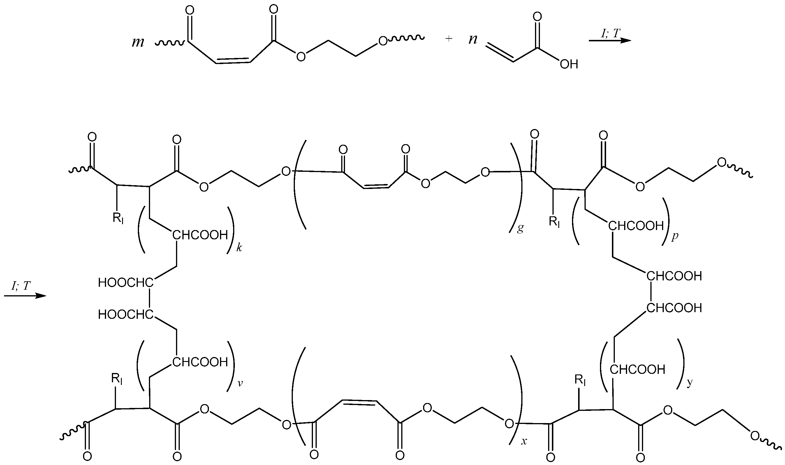
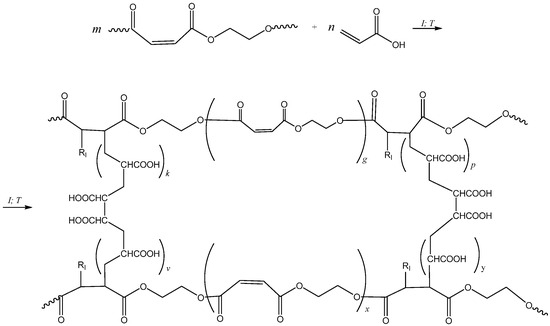
2.4. Curing of Polyethylene Glycol Maleate
2.5. Methods
2.5.1. NMR Analysis
2.5.2. Gel-Permeation Chromatography
2.5.3. Rheological Analysis
- Interval I (0–30 s): low shear rate (γ˙ = 0.1 s−1), allowing determination of the initial viscosity in the quiescent state;
- Interval II (30–60 s): high shear rate (γ˙ = 1000 s−1), simulating an external load that disrupts the material structure;
- Interval III (60–110 s): return to a low shear rate (γ˙ = 0.1 s−1), aimed at determining the material’s ability to restore its viscosity and, consequently, its internal structure.
2.5.4. Differential Scanning Calorimetry (DSC)
2.5.5. IR-Spectroscopy
2.5.6. Thermogravimetric Analysis (TGA)
3. Results and Discussion
3.1. Curing of pEGM: AA Systems
3.2. Results of Rheological Analysis
3.3. Isothermal and Dynamic DSC Results
3.4. Results of TGA
4. Conclusions
Author Contributions
Funding
Institutional Review Board Statement
Data Availability Statement
Conflicts of Interest
Abbreviations
| AA | acrylic acid |
| BPO | benzoyl peroxide |
| DSC | Differential scanning calorimetry |
| DMA | N,N-Dimethylaniline |
| FTIR | Fourier Transform Infrared Spectroscopy |
| IR | Infrared spectroscopy |
| NMR | Nuclear magnetic resonance |
| pEGM | Polyethylene glycol maleate |
| TGA | Thermogravimetric analysis |
References
- Penczek, P.; Czub, P.; Pielichowski, J. Unsaturated polyester resins: Chemistry and technology. In Crosslinking in Materials Science; Abe, A., Dus, K., Kobayashi, S., Eds.; Springer: Berlin/Heidelberg, Germany, 2005; pp. 1–95. [Google Scholar] [CrossRef]
- Lee, B.-Y.; Lee, D.-H.; Jang, K.-S. Impact Modifiers and Compatibilizers for Versatile Epoxy-Based Adhesive Films with Curing and Deoxidizing Capabilities. Polymers 2021, 13, 1129. [Google Scholar] [CrossRef]
- Gao, Y.; Romero, P.; Zhang, H.; Huang, M.; Lai, F. Unsaturated polyester resin concrete: A review. Constr. Build. Mater. 2019, 228, 116709. [Google Scholar] [CrossRef]
- Oliveira, M.; Pereira, A.; Garcia, F.; Demosthenes, L.; Nunes, L.; Braga, F.; da Luz, F.; Monteiro, S. Comparison of Interfacial Adhesion Between Polyester and Epoxy Matrix Composites Reinforced with Fique Natural Fiber. In Green Materials Engineering, 2019-01-01; Ikhmayies, S., Li, J., Vieira, C., Margem (Deceased), J., de Oliveira Braga, F., Eds.; The Minerals, Metals & Materials Series; Springer: Cham, Switzerland, 2019. [Google Scholar] [CrossRef]
- Berdnikova, P.; Zhizhina, E.G.; Pai, Z.P. Phenol-Formaldehyde Resins: Properties, Fields of Application, and Methods of Synthesis. Catal. Ind. 2021, 13, 113–124. [Google Scholar] [CrossRef]
- Liu, C.G.; Dai, Y.; Hu, Y.; Shang, Q.Q.; Feng, G.D.; Zhou, J.; Zhou, Y.H. Highly Functional Unsaturated Ester Macromonomer Derived from Soybean Oil: Synthesis and Copolymerization with Styrene. Acs Sustain. Chem. Eng. 2016, 4, 4208–4216. [Google Scholar] [CrossRef]
- Burkeev, M.; Zhunissova, M.; Tazhbayev, Y.; Fomin, V.; Sarsenbekova, A.; Burkeyeva, G.; Kazhmuratova, A.; Zhumagalieva, T.; Zhakupbekova, E.; Khamitova, T. Influence of RAFT Agent on the Mechanism of Copolymerization of Polypropylene Glycol Maleinate with Acrylic Acid. Polymers 2022, 14, 1884. [Google Scholar] [CrossRef]
- Burkeyev, M.; Kudaibergen, G.; Tazhbayev, Y.; Burkeyeva, G.; Omasheva, A.; Yesentayeva, N.; Bolatbay, A. The number average and mass average molar masses of polyethylene (propylene) glycol fumarates. Bull. Univ. Karaganda Ser. Chem. 2018, 90, 17–22. [Google Scholar] [CrossRef] [PubMed]
- Burkeyev, M.; Kovaleva, A.; Plocek, J.; Tazhbayev, E.; Burkeyeva, G.; Bolatbai, A.; Davrenbekov, S. Synthesis and Properties of Poly (Propylene Glycol Maleate Phthalate)-Styrene Copolymers as a Base of Composite Materials. Russ. J. Appl. Chem. 2018, 91, 1742–1749. [Google Scholar] [CrossRef]
- Burkeyeva, G.; Kovaleva, A.; Tazhbayev, Y.; Ibrayeva, Z.; Zhaparova, L. Investigation of Curing Process and Thermal Behavior of Copolymers Based on Polypropylene Glycol Fumarate and Acrylic Acid Using the Methods of DSC and TGA. Polymers 2023, 15, 3753. [Google Scholar] [CrossRef]
- Kirshanov, K.; Toms, R.; Melnikov, P.; Gervald, A. Unsaturated Polyester Resin Nanocomposites Based on Post-Consumer Polyethylene Terephthalate. Polymers 2022, 14, 1602. [Google Scholar] [CrossRef]
- Chabros, A.; Gawdzik, B. Methacrylate monomer as an alternative to styrene in typical polyester-styrene copolymers. J. Appl. Polym. Sci. 2019, 136, 47735. [Google Scholar] [CrossRef]
- Tank, R.; Gupta, D. Modification of styrene-divinyl benzene copolymers using monoacrylates as ter-monomer. J. Porous Mater. 2009, 16, 387–392. [Google Scholar] [CrossRef]
- Wang, K.; Wang, J.; Zhu, Y.; Xia, Y. The effect of low profile additives on unsaturated polyester resins during curing at low/medium temperature: Shrinkage behavior study. In Composite Materials III, Proceedings of the 3rd China Cross-strait Conference on Composite Materials, Wuhan, China, 7–12 May 2003; Zhang, L., Guo, J.K., Tuan, W.H., Eds.; Trans Tech Publications Ltd.: Baech, Switzerland, 2003; Volume 249, pp. 351–354. [Google Scholar] [CrossRef]
- Zhang, X.; Kong, L.; Yang, A.; Sayem, H. Thixotropic mechanism of clay: A microstructural investigation. Soils Found. 2017, 57, 23–35. [Google Scholar] [CrossRef]
- Oleksy, M.; Heneczkowski, M.; Galina, H. Thixotropic compositions: Unsaturated polyester resins/modified bentonites. Polimery 2007, 52, 345–350. [Google Scholar] [CrossRef]
- Kiehl, J.; Huser, J.; Bistac, S.; Delaite, C. Influence of fillers content on the viscosity of unsaturated polyester resin/calcium carbonate blends. J. Compos. Mater. 2012, 46, 1937–1942. [Google Scholar] [CrossRef]
- Spasojevic, P.; Seslija, S.; Markovic, M.; Pantic, O.; Antic, K.; Spasojevic, M. Optimization of Reactive Diluent for Bio-Based Unsaturated Polyester Resin: A Rheological and Thermomechanical Study. Polymers 2021, 13, 2667. [Google Scholar] [CrossRef] [PubMed]
- Bartolomeo, P.; Chailan, J.; Vernet, J. Curing of cyanate ester resin: A novel approach based on FTIR spectroscopy and comparison with other techniques. Eur. Polym. J. 2001, 37, 659–670. [Google Scholar] [CrossRef]
- Fraga, F.; Burgo, S.; Núñez, E. Curing kinetic of the epoxy system BADGE n=0/1,2 DCH by Fourier Transform Infrared Spectroscopy (FTIR). J. Appl. Polym. Sci. 2001, 82, 3366–3372. [Google Scholar] [CrossRef]
- Arasa, M.; Ramis, X.; Salla, J.; Mantecón, A.; Serra, A. Kinetic study by FTIR and DSC on the cationic curing of a DGEBA/γ-valerolactone mixture with ytterbium triflate as an initiator. Thermochim. Acta 2008, 479, 37–44. [Google Scholar] [CrossRef]
- Garschke, C.; Parlevliet, P.; Weimer, C.; Fox, B. Cure kinetics and viscosity modelling of a high-performance epoxy resin film. Polym. Test. 2013, 32, 150–157. [Google Scholar] [CrossRef]
- Domínguez, J.; Alonso, M.; Oliet, M.; Rojo, E.; Rodríguez, F. Kinetic study of a phenolic-novolac resin curing process by rheological and DSC analysis. Thermochim. Acta 2010, 498, 39–44. [Google Scholar] [CrossRef]
- Sourour, S.; Kamal, M. Differential Scanning Calorimetry of Epoxy Cure—Isothermal Cure Kinetics. Thermochim. Acta 1976, 14, 41–59. [Google Scholar] [CrossRef]
- Lascano, D.; Lerma-Canto, A.; Fombuena, V.; Balart, R.; Montanes, N.; Quiles-Carrillo, L. Kinetic Analysis of the Curing Process of Biobased Epoxy Resin from Epoxidized Linseed Oil by Dynamic Differential Scanning Calorimetry. Polymers 2021, 13, 1279. [Google Scholar] [CrossRef]
- Vyazovkin, S. Thermal analysis. Anal. Chem. 2006, 78, 3875–3886. [Google Scholar] [CrossRef]
- Kamal, M.R. Thermoset characterization for moldability analysis. Polym. Eng. Sci. 1974, 14, 231–239. [Google Scholar] [CrossRef]
- Khanna, U.; Chanda, M. Kinetics of Anhydride Curing of Isophthalic Diglycidyl Ester Using Differential Scanning Calorimetry. J. Appl. Polym. Sci. 1993, 49, 319–329. [Google Scholar] [CrossRef]
- Fraga, F.; Soto, V.; Rodríguez-Núñez, E.; Martínez-Ageitos, J.; Rodríguez, V. Cure kinetic of the epoxy network diglycidyl ether of bisphenol A (BADGE n = 0)/Amantidine. J. Therm. Anal. Calorim. 2007, 87, 97–100. [Google Scholar] [CrossRef]
- Burkeyev, M.; Tazhbayev, Y.; Bolatbay, A.; Minayeva, Y.; Davrenbekov, S.; Nassikhatuly, Y.; Kovaleva, A.; Kutzhanova, K.; Kazhmuratova, A. Study of Thermal Decomposition of the Copolymer Based on Polyethylene Glycol Fumarate with Acrylic Acid. J. Chem. 2022, 2022, 3514358. [Google Scholar] [CrossRef]
- Mezger, T.G. Applied Rheology: With Joe Flow on Rheology Road, 1st ed.; Anton Paar GmbH: Graz, Austria, 2015; pp. 145–175. Available online: https://www.anton-paar.com/corp-en/applied-rheology/?srsltid=AfmBOoprlHDGCq9apBptEh_0jgmBgbi7MFLa0McyzT3hyFOyGigqxpHr (accessed on 21 August 2023).
- Wang, Y.; Yu, M.-J. Effect of volume loading and surface treatment on the thixotropic behavior of polypropylene filled with calcium carbonate. Polym. Compos. 2004, 21, 1–12. [Google Scholar] [CrossRef]
- Liu, F.; Yu, W.; Wang, Y.; Shang, R.; Zheng, Q. Curing kinetics and thixotropic properties of epoxy resin composites with different kinds of fillers. J. Mater. Res. Technol.-JMRT 2022, 18, 2125–2139. [Google Scholar] [CrossRef]
- Pucić, I.; Jurkin, T. FTIR Assessment of Poly(ethylene oxide) Irradiated in Solid State, Melt and Aqueous Solution. Radiat. Phys. Chem. 2012, 81, 1426–1429. [Google Scholar] [CrossRef]
- Balart, R.; Garcia-Sanoguera, D.; Quiles-Carrillo, L.; Montanes, N.; Torres-Giner, S. Kinetic Analysis of the Thermal Degradation of Recycled Acrylonitrile-Butadiene-Styrene by non-Isothermal Thermogravimetry. Polymers 2019, 11, 281. [Google Scholar] [CrossRef]
- Lei, J.; Wang, Y.; Wang, Q.; Deng, S.; Fu, Y. Evaluation of Kinetic and Thermodynamic Parameters of Pyrolysis and Combustion Processes for Bamboo Using Thermogravimetric Analysis. Processes 2024, 12, 2458. [Google Scholar] [CrossRef]
- Paredes, R.; Castells, B.; Tascón, A. Thermogravimetric Assessment of Biomass: Unravelling Kinetic, Chemical Composition and Combustion Profiles. Fire 2024, 7, 396. [Google Scholar] [CrossRef]
- Dubdub, I.; Al-Yaari, M. Thermal Behavior of Mixed Plastics at Different Heating Rates: I. Pyrolysis Kinetics. Polymers 2021, 13, 3413. [Google Scholar] [CrossRef]
- Najafi, H.; Golrokh Sani, A.; Sobati, M.A. Thermogravimetric and thermo-kinetic analysis of sugarcane bagasse pith: A comparative evaluation with other sugarcane residues. Sci. Rep. 2024, 14, 2076. [Google Scholar] [CrossRef]
- Gola, A.; Knysak, T.; Mucha, I.; Musiał, W.S. Thermogravimetric Analysis, and Kinetic Study of Poly-N-Isopropylacrylamide with Varied Initiator Content. Polymers 2023, 15, 2427. [Google Scholar] [CrossRef]
- Sarikhani, N.; Arabshahi, Z.; Saberi, A.; Moshfegh, A. Unified modeling and experimental realization of electrical and thermal percolation in polymer composites. Appl. Phys. Rev. 2022, 9, 041403. [Google Scholar] [CrossRef]
- Peng, Y.; Musah, M.; Via, B.; Wang, X. Calcium Carbonate Particles Filled Homopolymer Polypropylene at Different Loading Levels: Mechanical Properties Characterization and Materials Failure Analysis. J. Compos. Sci. 2021, 5, 302. [Google Scholar] [CrossRef]
- Kherici, S.; Benouali, D.; Nouredine, C. The Effects of Calcium Carbonate Filler on HDPE Pipe. Adv. Sci. Technol.-Res. J. 2022, 16, 213–218. [Google Scholar] [CrossRef]
- Takenouchi, S.; Takasu, A.; Inai, Y.; Hirabayashi, T. Effects of geometrical difference of unsaturated aliphatic polyesters on their biodegradability III. Cross effects of molecular weight and geometric structure of poly(ethylene maleate/fumarate) and its model compounds. Polym. J. 2002, 34, 882–890. [Google Scholar] [CrossRef]
- Yang, H.; Du, J. Crystallinity, Rheology, and Mechanical Properties of Low-/High-Molecular-Weight PLA Blended Systems. Molecules 2024, 29, 169. [Google Scholar] [CrossRef]
- Huang, B.; Hu, X.; Fu, C.; Liu, C.; Wang, Y.; An, X. Rheological Model and Transition Velocity Equation of a Polymer Solution in a Partial Pressure Tool. Polymers 2019, 11, 855. [Google Scholar] [CrossRef]
- Sánchez, J.H.; Rubio-Hernández, F.J.; Páez-Flor, N.M. Time-Dependent Viscous Flow Behavior of a Hydrophobic Fumed Silica Suspension. Processes 2021, 9, 807. [Google Scholar] [CrossRef]
- Selim, K.A.; Farghaly, M.G.; Abdallah, S.S.; Abdel-khalek, M.A. Effect of polyacrylic acid molar mass as a surface modifier on rheological properties of calcium carbonate suspensions. Physicochem. Probl. Miner. Process. 2021, 57, 18–26. [Google Scholar] [CrossRef]
- Varfolomeeva, L.A.; Skvortsov, I.Y.; Kuzin, M.S.; Kulichikhin, V.G. Silica-Filled Polyacrylonitrile Solutions: Rheology, Morphology, Coagulation, and Fiber Spinning. Polymers 2022, 14, 4548. [Google Scholar] [CrossRef]
- Barakat, A.; Al Ghazal, M.; Fono Tamo, R.S.; Phadatare, A.; Unser, J.; Hagan, J.; Vaidya, U. Development of a Cure Model for Unsaturated Polyester Resin Systems Based on Processing Conditions. Polymers 2024, 16, 2391. [Google Scholar] [CrossRef]
- Ren, K.; Tsai, Y. Thermal Hazard Characteristics of Unsaturated Polyester Resin Mixed with Hardeners. Polymers 2021, 13, 522. [Google Scholar] [CrossRef]
- Chencheni, A.; Belkhiri, S.; Tarchoun, A.F.; Abdelaziz, A.; Bessa, W.; Boucheffa, Y.; Trache, D. Unravelling the Thermal Behavior and Kinetics of Unsaturated Polyester Resin Supplemented with Organo-Nanoclay. RSC Adv. 2024, 14, 517–528. [Google Scholar] [CrossRef]
- Jankovic, B. The kinetic analysis of isothermal curing reaction of an unsaturated polyester resin: Estimation of the density distribution function of the apparent activation energy. Chem. Eng. J. 2010, 162, 331–340. [Google Scholar] [CrossRef]
- Teil, H.; Page, S.; Michaud, V.; Månson, J. TTT-cure diagram of an anhydride-cured epoxy system including gelation, vitrification, curing kinetics model, and monitoring of the glass transition temperature. J. Appl. Polym. Sci. 2004, 93, 1774–1787. [Google Scholar] [CrossRef]
- Wise, C.; Cook, W.; Goodwin, A. Chemico-diffusion kinetics of model epoxy-amine resins. Polymer 1997, 38, 3251–3261. [Google Scholar] [CrossRef]
- Flammersheim, H.; Opfermann, J. Formal kinetic evaluation of reactions with partial diffusion control. Thermochim. Acta 1999, 337, 141–148. [Google Scholar] [CrossRef]
- Granado, L.; Kempa, S.; Gregoriades, L.; Brüning, F.; Genix, A.; Fréty, N.; Anglaret, E. Kinetic regimes in the curing process of epoxy-phenol composites. Thermochim. Acta 2018, 667, 185–192. [Google Scholar] [CrossRef]
- Zhao, Y.; Drummer, D. Influence of Filler Content and Filler Size on the Curing Kinetics of an Epoxy Resin. Polymers 2019, 11, 1797. [Google Scholar] [CrossRef]
- Chiu, Y.C.; Chen, C.Y.; Lee, L.T.; Chang, F.C. Effect of Silica Fillers on Epoxy–Imidazole Curing Reaction. J. Appl. Polym. Sci. 2025, 142, 56895. [Google Scholar] [CrossRef]
- Vazquez, I. Influence of the Filler CaCO3 on the Cure Kinetic of the Epoxy Network Diglycidyl Ether of Bisphenol A (BADGE n = 0) with Isophorone Diamine. J. Appl. Polym. Sci. 2009, 114, 3678–3686. [Google Scholar] [CrossRef]
- Achilias, D.S.; Karabela, M.M.; Varkopoulou, E.A.; Sideridou, I.D. Cure Kinetics Study of Two Epoxy Systems with Fourier Tranform Infrared Spectroscopy (FTIR) and Differential Scanning Calorimetry (DSC). J. Macromol. Sci. Part A 2012, 49, 630–638. [Google Scholar] [CrossRef]
- Cañavate, J.; Colom, X.; Pagès, P.; Carrasco, F. Study of the Curing Process of an Epoxy Resin by Ftir Spectroscopy. Polym. Technol. Eng. 2000, 39, 937–943. [Google Scholar] [CrossRef]
- Oh, S.; Kim, M.; Lee, D. Recent Advances in Oxidative Degradation of Plastics. Chem. Soc. Rev. 2024, 53, 1785–1812. [Google Scholar] [CrossRef]
- Zhumanazarova, G.M.; Sarsenbekova, A.Z.; Abulyaissova, L.K.; Figurinene, I.V.; Zhaslan, R.K.; Makhmutova, A.S.; Sotchenko, R.K.; Aikynbayeva, G.M.; Hranicek, J. Study of Mathematical Models Describing the Thermal Decomposition of Polymers Using Numerical Methods. Polymers 2025, 17, 1197. [Google Scholar] [CrossRef]
- Tomaszewska, J.; Sterzyński, T.; Walczak, D. Thermal Stability of Nanosilica-Modified Poly(vinyl chloride). Polymers 2021, 13, 2057. [Google Scholar] [CrossRef] [PubMed]
- Pashmforoush, F.; Ajori, S.; Azimi, H.R. Interfacial Characteristics and Thermo-Mechanical Properties of Calcium Carbonate/Polystyrene Nanocomposite. Mater. Chem. Phys. 2020, 247, 122871. [Google Scholar] [CrossRef]













| Temperature, °C | Sample | -∆Hi, J/g | -∆Hr, J/g | -∆Htot, J/g | α |
|---|---|---|---|---|---|
| 20 | pEGM45 | 255.20 ± 5.59 | 48.61 ± 1.09 | 303.81 ± 6.38 | 0.84 |
| pEGM45/10% SiO2 | 226.73 ± 4.80 | 46.44 ± 0.98 | 273.17 ± 6.28 | 0.83 | |
| pEGM45/30% CaCO3 | 229.77 ± 5.16 | 50.44 ± 1.05 | 280.21 ± 6.16 | 0.82 | |
| 20 | pEGM60 | 196.76 ± 4.12 | 96.92 ± 2.15 | 293.68 ± 6.16 | 0.67 |
| pEGM60/10% SiO2 | 175.95 ± 3.91 | 90.64 ± 1.87 | 266.59 ± 5.60 | 0.66 | |
| pEGM60/30% CaCO3 | 176.94 ± 3.82 | 95.27 ± 1.99 | 272.21 ± 5.99 | 0.65 |
| Sample | ΔHi, (J/g) | ΔHr, (J/g) | ΔHtot, (J/g) | αmax | k1 ·10−6, (s−1) | k2 ·10−4, (s−1) | m | n | m + n | C | αc | R2 |
|---|---|---|---|---|---|---|---|---|---|---|---|---|
| pEGM45 | 255.20 | 48.61 | 303.81 | 0.84 | 2.23 | 7.94 | 0.543 | 0.865 | 1.408 | 19.7 | 0.77 | 0.998 |
| pEGM45/10% SiO2 | 226.73 | 46.44 | 273.17 | 0.83 | 1.56 | 5.32 | 0.511 | 0.825 | 1.336 | 18.5 | 0.71 | 0.998 |
| pEGM45/30% CaCO3 | 229.77 | 50.44 | 280.21 | 0.82 | 1.86 | 6.65 | 0.477 | 0.798 | 1.275 | 17.3 | 0.69 | 0.997 |
| pEGM60 | 196.76 | 96.92 | 293.68 | 0.67 | 0.932 | 4.56 | 0.471 | 0.678 | 1.149 | 16.2 | 0.60 | 0.999 |
| pEGM60/10% SiO2 | 175.95 | 90.64 | 266.59 | 0.66 | 0.655 | 2.26 | 0.430 | 0.643 | 1.073 | 15.7 | 0.59 | 0.995 |
| pEGM60/30% CaCO3 | 176.94 | 95.27 | 272.21 | 0.65 | 0.781 | 3.74 | 0.403 | 0.599 | 1.002 | 14.8 | 0.56 | 0.999 |
| Sample, mol,% | Temperature Range, °C | dTGmax %/min | Residue, % | ||
|---|---|---|---|---|---|
| p-EGM | Fillers | Stage I | Stage II | ||
| 45 | - | 90~350 | 350~475 | 16.7 | 15.7 |
| SiO2 10% | 95~365 | 365~480 | 14.5 | 21.2 | |
| CaCO3 30% | 105~360 | 360~535 | 12.9 | 32.3 | |
| 60 | - | 130~380 | 380~515 | 16.4 | 16.5 |
| SiO2 10% | 135~390 | 390~525 | 14.7 | 23.2 | |
| CaCO3 30% | 140~390 | 390~560 | 13.4 | 33.6 | |
| pEGM45 | Ea, kJ/mol | pEGM60 | Ea, kJ/mol | ||||
|---|---|---|---|---|---|---|---|
| Stage I | Stage II | Σ | Stage I | Stage II | Σ | ||
| Kissinger–Akahira–Sunose method | |||||||
| - | 156 ± 1.8 | 263 ± 4.1 | 419 ± 5.9 | - | 181 ± 2.5 | 289 ± 4.3 | 470 ± 6.8 |
| SiO2 10% | 162 ± 1.2 | 274 ± 5.3 | 436 ± 6.5 | SiO2 10% | 191 ± 2.8 | 305 ± 5.1 | 496 ± 7.9 |
| CaCO3 30% | 166 ± 1.4 | 284 ± 2.7 | 450 ± 4.1 | CaCO3 30% | 202 ± 3.2 | 312 ± 5.3 | 514± 8.5 |
| Friedman method | |||||||
| - | 163 ± 3.6 | 277 ± 4.8 | 440 ± 8.4 | - | 190 ± 4.1 | 308 ± 8.7 | 499 ± 12.8 |
| SiO2 10% | 165 ± 3.2 | 291 ± 6.2 | 456 ± 9.4 | SiO2 10% | 199 ± 4.4 | 324 ± 9.1 | 523 ± 13.5 |
| CaCO3 30% | 169 ± 2.7 | 293 ± 5.4 | 562 ± 8.1 | CaCO3 30% | 216 ± 5.6 | 328 ± 8.4 | 544 ± 14.0 |
Disclaimer/Publisher’s Note: The statements, opinions and data contained in all publications are solely those of the individual author(s) and contributor(s) and not of MDPI and/or the editor(s). MDPI and/or the editor(s) disclaim responsibility for any injury to people or property resulting from any ideas, methods, instructions or products referred to in the content. |
© 2025 by the authors. Licensee MDPI, Basel, Switzerland. This article is an open access article distributed under the terms and conditions of the Creative Commons Attribution (CC BY) license (https://creativecommons.org/licenses/by/4.0/).
Share and Cite
Burkeyeva, G.; Kovaleva, A.; Muslimova, D.; Havlicek, D.; Bolatbay, A.; Minayeva, Y.; Omasheva, A.; Zhakupbekova, E.; Nurmaganbetova, M. Influence of Mineral Fillers on the Curing Process and Thermal Degradation of Polyethylene Glycol Maleate–Acrylic Acid-Based Systems. Polymers 2025, 17, 2675. https://doi.org/10.3390/polym17192675
Burkeyeva G, Kovaleva A, Muslimova D, Havlicek D, Bolatbay A, Minayeva Y, Omasheva A, Zhakupbekova E, Nurmaganbetova M. Influence of Mineral Fillers on the Curing Process and Thermal Degradation of Polyethylene Glycol Maleate–Acrylic Acid-Based Systems. Polymers. 2025; 17(19):2675. https://doi.org/10.3390/polym17192675
Chicago/Turabian StyleBurkeyeva, Gulsym, Anna Kovaleva, Danagul Muslimova, David Havlicek, Abylaikhan Bolatbay, Yelena Minayeva, Aiman Omasheva, Elmira Zhakupbekova, and Margarita Nurmaganbetova. 2025. "Influence of Mineral Fillers on the Curing Process and Thermal Degradation of Polyethylene Glycol Maleate–Acrylic Acid-Based Systems" Polymers 17, no. 19: 2675. https://doi.org/10.3390/polym17192675
APA StyleBurkeyeva, G., Kovaleva, A., Muslimova, D., Havlicek, D., Bolatbay, A., Minayeva, Y., Omasheva, A., Zhakupbekova, E., & Nurmaganbetova, M. (2025). Influence of Mineral Fillers on the Curing Process and Thermal Degradation of Polyethylene Glycol Maleate–Acrylic Acid-Based Systems. Polymers, 17(19), 2675. https://doi.org/10.3390/polym17192675

