Sign in to use this feature.

Years

Between: -

Subjects

remove_circle_outline
remove_circle_outline
remove_circle_outline
remove_circle_outline
remove_circle_outline
remove_circle_outline
remove_circle_outline
remove_circle_outline
remove_circle_outline

Journals

remove_circle_outline
remove_circle_outline
remove_circle_outline
remove_circle_outline
remove_circle_outline
remove_circle_outline

Article Types

Countries / Regions

remove_circle_outline
remove_circle_outline
remove_circle_outline

Search Results (404)

Search Parameters:
Keywords = reversible equivalency

Order results
Result details
Results per page
Select all
Export citation of selected articles as:
26 pages, 9230 KB  
Article
Seismic Behavior of Precast Beam–Column Joint Assembled by High-Strength Bottom Reinforcement of U-Shaped Anchor
by Zhiqi Wang, Guangyao Zhang, Luming Li, Wenliang Ma, Zhipeng Xu, Yuxia Suo, Qinghui Liu, Wen Cheng and Xun Li
Buildings 2026, 16(2), 374; https://doi.org/10.3390/buildings16020374 - 16 Jan 2026
Viewed by 263
Abstract
This study proposes a high-strength bottom-bar interlocking and anchorage precast beam–column joint (HSRU-PBCJ), which utilizes high-strength longitudinal reinforcement combined with U-shaped anchorage at the beam bottom. Low-cycle reversed loading tests were conducted on two precast specimens and one cast-in-place specimen to evaluate their [...] Read more.
This study proposes a high-strength bottom-bar interlocking and anchorage precast beam–column joint (HSRU-PBCJ), which utilizes high-strength longitudinal reinforcement combined with U-shaped anchorage at the beam bottom. Low-cycle reversed loading tests were conducted on two precast specimens and one cast-in-place specimen to evaluate their seismic performance. Based on these results, parametric analyses were conducted through numerical simulations to investigate the effects of axial compression ratio, concrete strength, beam-end longitudinal reinforcement strength, and beam-end longitudinal reinforcement ratio on the seismic performance. The results indicate that the proposed joint exhibits stable and full hysteresis loops, cumulative energy dissipation comparable to that of the cast-in-place joint, and a 23.94–26.39% increase in equivalent viscous damping after yielding, achieving a displacement ductility coefficient of 4.14, which confirms its substantially improved seismic performance. The parametric study shows that maintaining a moderate axial compression ratio (≤0.6) enhances both load-bearing capacity and energy dissipation, whereas excessive values result in strength reduction. Increasing the beam-end longitudinal reinforcement strength significantly improves load-bearing capacity but may reduce energy dissipation. In addition, improving concrete strength and appropriately increasing the reinforcement ratio can further enhance both load-bearing capacity and energy dissipation, although a balance between seismic performance and economic considerations is recommended. Full article
Show Figures

Figure 1

13 pages, 10056 KB  
Article
An Electrical Equivalent Model of an Electromembrane Stack with Fouling Under Pulsed Operation
by Pablo Yáñez, Hector Ramirez and Alvaro Gonzalez-Vogel
Membranes 2026, 16(1), 42; https://doi.org/10.3390/membranes16010042 - 16 Jan 2026
Viewed by 203
Abstract
This study introduces a novel hybrid model for an electromembrane stack, unifying an equivalent electrical circuit model incorporating specific resistance (RM,Rs) and capacitance (Cgs,Cdl) parameters with an empirical fouling [...] Read more.
This study introduces a novel hybrid model for an electromembrane stack, unifying an equivalent electrical circuit model incorporating specific resistance (RM,Rs) and capacitance (Cgs,Cdl) parameters with an empirical fouling model in a single framework. The model simplifies the traditional approach by serially connecting N (N=10) ion exchange membranes (anionic PC-SA and cationic PC-SK) and is validated using NaCl and Na2SO4 solutions in comparison with laboratory tests using various voltage signals, including direct current and electrically pulsed reversal operations at frequencies of 2000 and 4000 Hz. The model specifically accounts for the chemical stratification of the cell unit into bulk solution, diffusion, and Stern layers. We also included a calibration method using correction factors (αi) to fine-tune the electrical current signals induced by voltage stimulation. The empirical component of the model uses experimental data to simulate membrane fouling, ensuring consistency with laboratory-scale desalination processes performed under pulsed reversal operations and achieving a prediction error of less than 10%. In addition, a comparative analysis was used to assess the increase in electrical resistance due to fouling. By integrating electronic and empirical electrochemical data, this hybrid model opens the way to the construction of simple, practical, and reliable models that complement theoretical approaches, signifying an advance for a variety of electromembrane-based technologies. Full article
Show Figures

Graphical abstract

17 pages, 2536 KB  
Article
A Portable Dual-Mode Microfluidic Device Integrating RT-qPCR and RT-LAMP for Rapid Nucleic Acid Detection in Point-of-Care Testing
by Baihui Zhang, Xiao Li, Mengjie Huang, Maojie Jiang, Leilei Du, Peng Yin, Xuan Fang, Xiangyu Jiang, Feihu Qi, Yanna Lin and Fuqiang Ma
Biosensors 2026, 16(1), 51; https://doi.org/10.3390/bios16010051 - 8 Jan 2026
Viewed by 473
Abstract
Point-of-care testing (POCT) has emerged as a vital diagnostic approach in emergency medicine, primary care, and resource-limited environments because of its convenience, affordability, and capacity to provide immediate results. Here, we present a multifunctional portable nucleic acid detection platform integrating reverse transcription polymerase [...] Read more.
Point-of-care testing (POCT) has emerged as a vital diagnostic approach in emergency medicine, primary care, and resource-limited environments because of its convenience, affordability, and capacity to provide immediate results. Here, we present a multifunctional portable nucleic acid detection platform integrating reverse transcription polymerase chain reaction (RT-qPCR) and reverse transcription loop-mediated isothermal amplification (RT-LAMP) within a unified microfluidic device. The system leverages Tesla-valve-based passive flow control to enhance reaction efficiency and operational simplicity. A four-channel optical detection unit allows for multiplex fluorescence quantification (CY5, FAM, VIC, ROX) and has high sensitivity and reproducibility for RT-LAMP. The compact design reduces the overall size by approximately 90% compared with conventional qPCR instruments. For RT-PCR, the system achieves a detection limit of 2.0 copies μL−1 and improves analytical efficiency by 27%. For RT-LAMP, the detection limit reaches 2.95 copies μL−1 with a 14% enhancement in analytical efficiency. Compared with commercial qPCR instruments, the device maintains equivalent quantitative accuracy despite significant miniaturization, ensuring reliable performance in decentralized testing. Furthermore, the total RT-LAMP assay time is reduced from more than two hours to 42 min, enabling truly rapid molecular diagnostics. This dual-mode platform offers a flexible, scalable strategy for bridging laboratory-grade molecular assays with real-time POCT applications, supporting early disease detection and epidemic surveillance. Full article
(This article belongs to the Section Nano- and Micro-Technologies in Biosensors)
Show Figures

Figure 1

36 pages, 1536 KB  
Article
Food Label Readability and Consumption Frequency: Isolating Content-Specific Effects via a Non-Equivalent Dependent Variable Design
by Constanza Avalos, Nick Shryane and Yan Wang
Nutrients 2026, 18(2), 197; https://doi.org/10.3390/nu18020197 - 7 Jan 2026
Viewed by 295
Abstract
Objective: This study investigates the association between consumers’ perceived readability of Multiple Traffic Light (MTL) label print size—a theoretical structural gatekeeper for visual salience—and self-reported food consumption frequency in the United Kingdom. We aimed to disentangle the effect of label readability from label [...] Read more.
Objective: This study investigates the association between consumers’ perceived readability of Multiple Traffic Light (MTL) label print size—a theoretical structural gatekeeper for visual salience—and self-reported food consumption frequency in the United Kingdom. We aimed to disentangle the effect of label readability from label content. Using non-equivalent dependent variables (NEDVs), we tested whether the association is specific to unhealthy convenience foods and absent for healthy or unlabeled foods, while also examining heterogeneity across consumer subgroups. Methods: Data from 8948 adults across four waves (2012–2018) of the UK Food and You Survey were analyzed. Cumulative link ordinal logistic regressions were employed to model the association between self-reported print size readability and the consumption frequency of four product types: pre-packaged sandwiches and pre-cooked meat (unhealthy, labeled targets), dairy (nutritionally advisable, labeled control), and fresh meat (unlabeled control). Models were adjusted for sociodemographic covariates, health behaviors, and survey wave fixed effects. Results: The findings reveal a content-specific and significant dynamic relationship exclusively for pre-packaged sandwiches. In 2012, a one-unit increase in readability was associated with a 9% decrease in the odds of frequent consumption (OR=0.91), consistent with a warning effect. However, by 2018, this relationship reversed to a 4% increase (OR=1.04), indicating that higher readability became associated with more frequent consumption. In contrast, a persistent null association was observed for pre-cooked meat, dairy, and fresh meat. Subgroup analyses for sandwiches indicated that the association with readability was strongest among less-engaged consumers. Conclusions: Empirical evidence challenges the utility of a standardized approach to food labelling. The results suggest that the effectiveness of label salience is contingent not just on the consumer but on the product’s context and the content of its message, highlighting the need for adaptive rather than uniform policy standards. Full article
(This article belongs to the Special Issue Policies of Promoting Healthy Eating)
Show Figures

Figure 1

39 pages, 4489 KB  
Article
High-Resolution 1H NMR Investigation of the Speciation Status of Nickel(II) and Copper(II) Ions in a Cell Culture Medium: Relevance to Their Toxicological Actions
by Deepinder K. Kalra, Kayleigh Hunwin, Katie Hewitt, Olivia Steel and Martin Grootveld
Molecules 2026, 31(1), 85; https://doi.org/10.3390/molecules31010085 - 24 Dec 2025
Viewed by 427
Abstract
Copper and nickel ions play pivotal, albeit distinct, roles as essential trace elements in living systems, and primarily serve as co-factors for a range of enzymes. However, as with all trace metal ions, excessive concentrations can exert adverse toxicological properties. Interestingly, the incorporation [...] Read more.
Copper and nickel ions play pivotal, albeit distinct, roles as essential trace elements in living systems, and primarily serve as co-factors for a range of enzymes. However, as with all trace metal ions, excessive concentrations can exert adverse toxicological properties. Interestingly, the incorporation of these in cell culture media can establish novel chemical interactions, with their speciation status markedly influencing characteristics, including cell maturation, and cellular uptake mechanisms. Thus, the primary objective of this study was to investigate and determine the speciation status (i.e., complexation) of nickel(II) and copper(II) ions by biomolecules present in RPMI 1640 mammalian cell culture medium using virtually non-invasive high-resolution proton NMR analysis, an investigation of much relevance to now routine studies of their toxicological actions towards cultured cells. Samples of the above aqueous culture medium were 1H NMR-titrated with increasing added concentrations of 71–670 µmol/L Ni(II)(aq.), and 0.71–6.7, 7.1–67 and 71–670 µmol/L Cu(II)(aq.), in duplicate or triplicate. 1H NMR spectra were acquired on a JEOL ECZ-600 spectrometer at 298 K. Results demonstrated that addition of increasing concentrations of Ni(II) and Cu(II) ions to the culture medium led to the selective broadening of a series of biomolecule resonances, results demonstrating their complexation by these agents. The most important complexants for Ni(II) were histidine > glutamine > acetate ≈ methionine ≈ lysine ≈ threonine ≈ branched-chain amino acids (BCAAs) > asparagine ≈ aspartate > tyrosine ≈ tryptophan, whereas for Cu(II) they were found to be histidine > glutamine > phenylalanine ≈ tyrosine ≈ nearly all remaining aliphatic metabolites (particularly the wealth of amino acids detectable) > 4-hydroxyphenylacetate (trace culture medium contaminant), in these orders. However, Cu(II) had the ability to influence the linewidths of these signals at much lower added levels (≤7 µmol/L) than that of Ni(II), the broadening effects of the latter occurring at concentrations which were approximately 10-fold greater. Virtually all of these added metal ion-induced resonance modifications were, as expected, reversible on addition of equivalent or excess levels of the chelator EDTA. From this study, changes in the co-ordination sphere of metal ions in physiological environments can give rise to marked modifications in their physicochemical properties (e.g., redox potentials, electronic charges, the potential catalytic generation of reactive oxygen species (ROS), and cell membrane passages). Moreover, given that the above metabolites may also function as potent hydroxyl radical (OH) scavengers, these findings suggest that generation of this aggressively reactive oxidant directly from Cu(II) and Ni(II) ions in physiologically-relevant complexes may be scavenged in a ‘site-dependent’ manner. This study is of further relevance to trace metal ion research in general since it enhances our understanding of the nature of their interactions with culture medium biomolecules, and therefore provides valuable information regarding their overall chemical and biological activities, and toxicities. Full article
Show Figures

Figure 1

34 pages, 61840 KB  
Article
Fabrication of Dry Connection Through Stamping and Milling of Green-State Concrete
by Abtin Baghdadi, Kian Khanipour Raad, Robin Dörrie and Harald Kloft
Buildings 2025, 15(24), 4521; https://doi.org/10.3390/buildings15244521 - 14 Dec 2025
Viewed by 406
Abstract
This study addresses the fabrication challenges associated with producing diverse geometries for concrete dry connections, particularly regarding cost, time, and geometric limitations. The research investigates methods for fabricating precise, rebar-free dry connections in concrete, focusing on stamping and green-state computer numerical control (CNC) [...] Read more.
This study addresses the fabrication challenges associated with producing diverse geometries for concrete dry connections, particularly regarding cost, time, and geometric limitations. The research investigates methods for fabricating precise, rebar-free dry connections in concrete, focusing on stamping and green-state computer numerical control (CNC) milling. These methods are evaluated using metrics such as dimensional accuracy, tool abrasion, and energy consumption. In the stamping process, a design of experiments (DOE) approach varied water content, concrete age, stamping load, and operational factors (vibration and formwork) across cone, truncated cone, truncated pyramid, and pyramid geometries. An optimal age range of 90 to 105 min, within a broader operational window of 90 to 120 min, was identified. Geometry-specific exceptions, such as approximately 68 min for the truncated cone and 130 min for the pyramid, were attributed to interactions between shape and age rather than deviations from general guidance. Within the tested parameters, water fraction primarily influenced lateral geometric error (diameter or width), while age most significantly affected vertical error. For green-state milling, both extrusion- and shotcrete-printed stock were machined at 90 min, 1 day, and 1 week. From 90 min to 1 week, the total milling energy increased on average by about 35%, and at one week end-face (head) passes caused substantially higher tool wear, with mean circumference losses of about 3.2 mm for head engagement and about 1.0 mm for side passes. Tool abrasion and energy demand increased with curing time, and extrusion required marginally more energy at equivalent ages. Milling was conducted in two engagement modes: side (flank) and end-face (head), which were evaluated separately. End-face engagement resulted in substantially greater tool abrasion than side passes, providing a clear explanation for tolerance drift in final joint geometries. Additionally, soil-based forming, which involves imprinting the stamp into soft, oil-treated fine sand to create a reversible mold, produced high-fidelity replicas with clean release for intricate patterns. This approach offers a practical alternative where friction and demolding constraints limit the effectiveness of direct stamping. Full article
(This article belongs to the Section Building Structures)
Show Figures

Figure 1

30 pages, 3460 KB  
Article
Steam-Induced Aluminum Speciation and Catalytic Enhancement in ZSM-5 Zeolites
by Luigi Madeo, Niels Blom, Finn Joensen, Janos B. Nagy and Pierantonio De Luca
Catalysts 2025, 15(12), 1130; https://doi.org/10.3390/catal15121130 - 2 Dec 2025
Viewed by 544
Abstract
ZSM-5 zeolites with varying aluminum content were subjected to steam treatments of different severities by adjusting the temperature, duration, and water vapor pressure. The steamed samples were characterized using a range of analytical techniques. A quantitative assessment of the aluminum species—namely, tetrahedrally coordinated [...] Read more.
ZSM-5 zeolites with varying aluminum content were subjected to steam treatments of different severities by adjusting the temperature, duration, and water vapor pressure. The steamed samples were characterized using a range of analytical techniques. A quantitative assessment of the aluminum species—namely, tetrahedrally coordinated framework Al, dislodged framework Al, non-framework pentacoordinated Al, and non-framework hexacoordinated Al—was achieved through a combination of EDX analysis on Cs-exchanged materials and quantitative 27Al MAS NMR spectroscopy, including spectral simulation. Contrary to previous reports, the catalytic activity per framework Al site in unsteamed ZSM-5 increases with aluminum content at low Si/Al ratios, aligning with recently proposed medium effects. Notably, at the point of maximum activity enhancement due to steaming, equivalent amounts (1:1) of framework and dislodged framework Al—both in tetrahedral coordination—are observed. The maximum enhancement factor per framework Al site, for a given material and reaction, remains independent of the specific steaming conditions (temperature, time, and pressure). However, the degree of activity enhancement varies with the type of reaction: it is more pronounced for n-hexane cracking (α-test) than for m-xylene isomerization. This suggests that both catalyst modification and reaction characteristics contribute to the observed steam-induced activity enhancement. A synergistic interaction between Brønsted and Lewis acid sites appears to underpin these effects. One plausible mechanism involves the strengthening of Brønsted acidity in the presence of adjacent Lewis acid sites. This enhancement is expected to be more significant for n-hexane cracking, which demands higher acid strength compared to m-xylene isomerization. In cases of n-hexane cracking, the increased acid strength and the formation of olefins via reactions on Lewis acid sites may act cooperatively. Importantly, the dislodged framework Al species—tetrahedrally coordinated in the hydrated catalyst at ambient temperature and functioning as Lewis acid sites in the dehydrated zeolite under reaction conditions—are directly responsible for the observed enhancement in acid activity. The transformation of framework Al into dislodged framework Al species is reversible, as demonstrated by hydrothermal treatment of the steamed samples at 150–200 °C. Nonetheless, reinsertion of Al into the framework is not fully quantitative: a portion of the dislodged framework Al is irreversibly converted into non-framework penta- and hexacoordinated species during the hydrothermal process. Among these, non-framework pentacoordinate Al species may serve as counterions to balance the lattice charges associated with framework Al. Full article
Show Figures

Figure 1

15 pages, 1659 KB  
Article
Simple Analytical Approximations for Donnan Ion Partitioning in Permeable Ion-Exchange Membranes Under Reverse Electrodialysis Conditions
by Antonio Ángel Moya
Membranes 2025, 15(12), 365; https://doi.org/10.3390/membranes15120365 - 1 Dec 2025
Viewed by 612
Abstract
Reverse electrodialysis (RED) is a relatively recent technology for renewable energy harvesting from the interaction of river and seawater. This paper revisits the thermodynamic equilibrium governing the ionic transport processes through ion-exchange membranes (IEMs) under RED conditions and theoretically derives approximate analytical expressions [...] Read more.
Reverse electrodialysis (RED) is a relatively recent technology for renewable energy harvesting from the interaction of river and seawater. This paper revisits the thermodynamic equilibrium governing the ionic transport processes through ion-exchange membranes (IEMs) under RED conditions and theoretically derives approximate analytical expressions for the ionic concentrations at the inner boundaries of a permeable membrane with well-stirred baths. The equation for the Donnan ion partitioning at the membrane–solution interface, which is based on the equality of the electrochemical potential in the two phases, is analysed for binary salts with symmetric (1:1) and asymmetric (2:1) electrolytes, by considering bathing solutions with the equivalent concentrations 0.02 M in the dilute bath, and 0.5, 1, and 1.5 M in the concentrate one. Simple approximate analytical expressions exhibiting the evolution with the membrane fixed-charge concentration of the counter-ionic concentrations at the inner boundaries of the membrane, the concentration gradients inside the membrane, the total Donnan electric potential, and the ionic partitioning coefficients have been derived. The approximate generalised expressions for a general z1:z2 binary electrolyte are also presented for the first time. Full article
Show Figures

Figure 1

28 pages, 3279 KB  
Article
Early Stress Resilience in Turfgrass: Comparative Germination and Seedling Responses of Lolium perenne L. and Poa pratensis L. Under Osmotic and Salt Stress
by Ligia Craciun, Rodolfo J. Bacharach Sánchez, Diana M. Mircea, Adrián Sapiña-Solano, Radu E. Sestras, Monica Boscaiu, Adriana F. Sestras and Oscar Vicente
Agronomy 2025, 15(12), 2719; https://doi.org/10.3390/agronomy15122719 - 26 Nov 2025
Viewed by 548
Abstract
Seed germination and early seedling development represent critical stages for turfgrass establishment under increasingly frequent drought and salinity constraints. This study evaluated the germination performance of three cultivars of Lolium perenne L. and three cultivars of Poa pratensis L. exposed to iso-osmotic drought [...] Read more.
Seed germination and early seedling development represent critical stages for turfgrass establishment under increasingly frequent drought and salinity constraints. This study evaluated the germination performance of three cultivars of Lolium perenne L. and three cultivars of Poa pratensis L. exposed to iso-osmotic drought stress simulated with polyethylene glycol (PEG) and salt stress induced by NaCl. Germination percentage, mean germination time, germination index, seedling vigor index, and radicle and plumule elongation were quantified, and post-stress recovery tests assessed the reversibility of stress effects. Osmotic restriction imposed by PEG caused stronger inhibition of germination and seedling growth than NaCl at equivalent water potentials. L. perenne showed higher overall tolerance, maintaining faster emergence and greater seedling vigor across treatments, while P. pratensis was more sensitive but exhibited substantial germination recovery after stress removal. Cultivar-dependent variation was evident in both species, and multivariate analyses consistently differentiated tolerant and sensitive genotypes. The contrasting germination strategies, with rapid activation in L. perenne and delayed, recovery-oriented germination in P. pratensis, highlight species-specific adaptive responses to water and salt stress. These findings provide a physiological basis for selecting resilient turfgrass cultivars suited to drought- and salinity-prone environments, contributing to sustainable turfgrass establishment and management. Full article
Show Figures

Figure 1

10 pages, 1539 KB  
Article
A Compact L-Band Reconfigurable Dual-Mode Patch Filter
by Abdel Fattah Sheta, Majeed A. S. Alkanhal and Ibrahim Elshafiey
Micromachines 2025, 16(11), 1294; https://doi.org/10.3390/mi16111294 - 19 Nov 2025
Viewed by 2083
Abstract
This research presents a novel dual-mode filter design that offers significant advantages in terms of frequency agility and miniaturization compared to conventional fixed multi-resonator filters. The design and implementation of a compact tunable bandpass filter are presented. The basic design structure is based [...] Read more.
This research presents a novel dual-mode filter design that offers significant advantages in terms of frequency agility and miniaturization compared to conventional fixed multi-resonator filters. The design and implementation of a compact tunable bandpass filter are presented. The basic design structure is based on a slotted non-degenerate dual-mode microstrip square patch. The slots are etched symmetrically, which makes the slotted dual-mode square patch equivalent to a two-coupled-resonator filter. The asymmetrical feed lines enable the excitation of dual resonant modes. The patch length, slot size, and dielectric material properties primarily determine the filter’s center frequency and bandwidth. Tunability is achieved by loading the slotted square patch with reversed bias varactor diodes located at the square patch corners, allowing electronic control of the filter center frequency. The design utilizes RT/Duroid 6010.2 laminates with a dielectric constant of 10.2 and a thickness of 0.635 mm. A bias tee at one of the filter ports is used to provide reverse bias to varactor diodes. Simulations and experimental results demonstrate tunable characteristics. Among the attractive features of the proposed design, good levels of insertion loss and impedance matching are noticed in the entire tunable band. The advantages of the proposed design make it well-suited for modern wireless technology applications in communication, radar, and satellite systems. Full article
(This article belongs to the Section E:Engineering and Technology)
Show Figures

Figure 1

15 pages, 951 KB  
Article
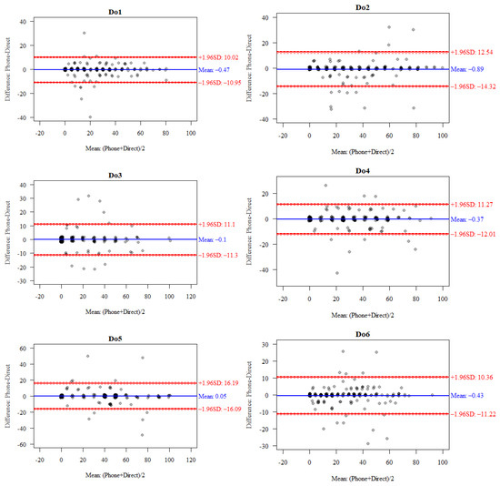
Comparison of the 36-Item WHODAS 2.0 Functional Assessment in Older Adults by Face-to-Face or Telephone Interviews: A Randomised Crossover Study
by Agnieszka Sozańska, Bernard Sozański, Anna Wilmowska-Pietruszyńska, Zofia Dzięcioł-Anikiej, Magdalena Hagner-Derengowska and Agnieszka Wiśniowska-Szurlej
J. Clin. Med. 2025, 14(22), 7902; https://doi.org/10.3390/jcm14227902 - 7 Nov 2025
Viewed by 557
Abstract
Background/Objectives: With the expansion of telemedicine, it is essential to determine whether the telephone administration of validated disability measures yields results equivalent to face-to-face interviews in older adults. We aimed to compare the agreement between face-to-face and telephone administration of the 36-item WHODAS [...] Read more.
Background/Objectives: With the expansion of telemedicine, it is essential to determine whether the telephone administration of validated disability measures yields results equivalent to face-to-face interviews in older adults. We aimed to compare the agreement between face-to-face and telephone administration of the 36-item WHODAS 2.0 in a community-dwelling population aged ≥60 years. Methods: The study was a randomised, open-label, cross-over design involving 239 people aged ≥60 from south-eastern Poland. Participants were randomly assigned to two groups: G1 (face-to-face interview first, then telephone interview) and G2 (in the reverse order). The interval between interviews was an average of 14.3 ± 1.3 days. The full version of WHODAS 2.0 (excluding domain D5.2) was used. Cohen’s kappa coefficient (κ), intraclass correlation coefficient (ICC) and Bland–Altman analysis were used to assess the consistency of the results. Results: A total of 203 individuals completed both surveys. The agreement between responses for individual items ranged from 85.71% to 98.03% (κ = 0.788–0.947). The WHODAS 2.0 total score showed very high agreement between face-to-face and telephone interviews (ICC = 0.986). All domains showed high or very high agreement (ICC = 0.953–0.967). Bland–Altman analysis confirmed high agreement—only 5.42% of results fell outside the 95% limits of agreement. Conclusions: Telephone interviews are a reliable alternative to face-to-face interviews when using the 36-item WHODAS 2.0 in older adults. Both methods provide comparable and reliable results, confirming the usefulness of telephone interviews in clinical practice and screening, especially when access to in-person healthcare is limited. Full article
(This article belongs to the Section Epidemiology & Public Health)
Show Figures

Figure 1

38 pages, 1324 KB  
Article
A Systematic Approach to Exergy Efficiency of Steady-Flow Systems
by Yunus A. Çengel and Mehmet Kanoğlu
Entropy 2025, 27(11), 1108; https://doi.org/10.3390/e27111108 - 26 Oct 2025
Viewed by 1145
Abstract
Exergy efficiency is a measure of thermodynamic perfection. A device that operates reversibly has an exergy efficiency of 100 percent and is said to be thermodynamically perfect. A reversible process involves zero entropy generation and thus zero exergy destruction since Xdestroyed = [...] Read more.
Exergy efficiency is a measure of thermodynamic perfection. A device that operates reversibly has an exergy efficiency of 100 percent and is said to be thermodynamically perfect. A reversible process involves zero entropy generation and thus zero exergy destruction since Xdestroyed = T0Sgen. Exergy efficiency is generally defined as the ratio of exergy output to exergy input ηex = Xoutput/Xinput = 1 − (Xdestroyed + Xloss)/Xinput or the ratio of exergy recovered to exergy expended ηex = Xrecovered/Xexpended = 1 − Xdestroyed/Xexpended. In this paper, exergy efficiency relations are obtained first for a general steady-flow system using both approaches. Then, explicit general relations are obtained for common steady-flow devices, such as turbines, compressors, pumps, nozzles, diffusers, valves and heat exchangers, as well as heat engines, refrigerators, and heat pumps. For power and refrigeration cycles, five different forms of exergy efficiency relations are developed, and their equivalence is demonstrated. With the unified approach presented here and the insights provided, the controversy and confusion associated with different exergy efficiency definitions are largely alleviated. Full article
(This article belongs to the Section Thermodynamics)
Show Figures

Figure 1

17 pages, 1383 KB  
Article
Determination of Gnetol in Murine Biological Matrices by Liquid Chromatography–Tandem Mass Spectrometry (LC–MS/MS): Application in a Biodistribution Study
by Boyu Liao, Hongrui Jin, Huan Chen, Yuxin Zhang, Xuexian Deng, Jingyi Yao, Na Li, Shaoshu Xu, Jingbo Wang, Mingming Gao, Xiaoying Zhang, Paul C. L. Ho, Hui Liu and Hai-Shu Lin
Int. J. Mol. Sci. 2025, 26(21), 10358; https://doi.org/10.3390/ijms262110358 - 24 Oct 2025
Viewed by 586
Abstract
Gnetol (trans-2,3′,5′,6-tetrahydroxystilbene), a naturally occurring stilbene structurally related to resveratrol (trans-3,5,4′-trihydroxystilbene; RES), has been reported to possess multiple health-promoting activities. In order to support its potential nutraceutical application, a reliable chromatography–tandem mass spectrometry (LC–MS/MS) assay was developed and validated [...] Read more.
Gnetol (trans-2,3′,5′,6-tetrahydroxystilbene), a naturally occurring stilbene structurally related to resveratrol (trans-3,5,4′-trihydroxystilbene; RES), has been reported to possess multiple health-promoting activities. In order to support its potential nutraceutical application, a reliable chromatography–tandem mass spectrometry (LC–MS/MS) assay was developed and validated for the quantitative determination of gnetol in mouse plasma and tissue samples, using isotopically labeled RES-13C6 serving as the internal standard (IS). Electrospray ionization (ESI) was performed in negative mode, with multiple reaction monitoring (MRM) transitions m/z 243.2 → 175.0 for gnetol and m/z 233.1 → 191.0 for the IS. Chromatographic separation was achieved on a reversed-phase HPLC column using a 5-min gradient delivery of acetonitrile and 2 mM ammonium acetate at 0.5 mL/min and 40 °C. The linear calibration curve covered the concentration range of 5.0–1500 ng/mL, and the method validation confirmed its selectivity, accuracy, precision, stability, and dilution integrity. The developed method was subsequently applied to a biodistribution study in mice after oral administration of gnetol at 400 µmol/kg (equivalent to 97.7 mg/kg). Gnetol was rapidly absorbed and extensively distributed in key pharmacologically relevant organs. Despite its poor aqueous solubility, oral uptake was not significantly hindered. Collectively, these findings demonstrate that gnetol exhibits favorable absorption and tissue distribution profiles, supporting its promise as a candidate for nutraceutical development. Full article
(This article belongs to the Special Issue Bioactive Phenolics and Polyphenols 2025)
Show Figures

Figure 1

23 pages, 6103 KB  
Article
Investigation into the Dynamic Performance of a Reverse-Rotation Locking Sleeve Connection Method
by Xue-Mei Tang, Ren-Guo Gu, Chuan-Hai Hong, Rui-Qing Liang, Kang Gao and Xiao-Feng Zhang
Buildings 2025, 15(20), 3790; https://doi.org/10.3390/buildings15203790 - 21 Oct 2025
Viewed by 443
Abstract
Joint connections are critical to the overall performance of prefabricated structures. This paper proposes a novel reverse-rotation locking sleeve connection method, designed to ensure the safety of joint engineering while optimizing construction processes, improving operational efficiency, and endowing the joints with excellent seismic [...] Read more.
Joint connections are critical to the overall performance of prefabricated structures. This paper proposes a novel reverse-rotation locking sleeve connection method, designed to ensure the safety of joint engineering while optimizing construction processes, improving operational efficiency, and endowing the joints with excellent seismic energy dissipation performance. To evaluate the performance of this connection method, quasi-static tests under displacement-controlled lateral loading were designed and conducted on three reinforced concrete column specimens (Specimen A: conventional reinforcement–cast-in-place monolithic; Specimen B: conventional reinforcement–reverse-rotation locking sleeve connected; Specimen C: enhanced reinforcement–reverse-rotation locking sleeve connected). The failure modes, hysteretic characteristics, skeleton curves, ductility, energy dissipation capacity, load-bearing capacity, and stiffness degradation patterns of the specimens were systematically examined. The results indicate that Specimen B exhibited the most severe damage extent, while Specimen A demonstrated the best integrity; in contrast, Specimen B showed significant and rapid degradation in energy dissipation capacity during the intermediate-to-late stages of testing; the hysteretic curves of Specimens B and C were full in shape, without obvious yield plateaus; the skeleton curves of all specimens exhibited S-shaped characteristics, and the peak loads of Specimens A and C corresponded to a lateral displacement of 21 mm, while that of Specimen B corresponded to a lateral displacement of 28 mm; compared to the cast-in-place monolithic Specimen A, the reverse-rotation locking sleeve–connected Specimens B and C showed increases in ultimate load under positive cyclic loading by 18.7% and 5.5%, respectively, and under negative cyclic loading by 40.8% and 2.0%, respectively; the ductility coefficients of all three specimens met the code requirement, being greater than 3.0 (Specimen A: 5.13; Specimen B: 3.56; Specimen C: 5.66), with Specimen C exhibiting a 10.3% improvement over Specimen A, indicating that the reverse-rotation locking sleeve–connected specimens possess favorable ductile performance; analysis revealed that the equivalent viscous damping coefficient of Specimen C was approximately 0.06 higher than that of Specimen A, meaning Specimen C had superior energy dissipation capacity compared to Specimen A, confirming that the reverse-rotation locking sleeve connection can effectively absorb seismic energy and enhance the seismic and energy dissipation characteristics of the specimens. The load-bearing capacity degradation coefficients of all specimens fluctuated between 0.83 and 1.01, showing an initial stable phase followed by a gradual declining trend; the stiffness degradation coefficients exhibited rapid initial decline, followed by a deceleration in the attenuation rate, and eventual stabilization. This indicates that the reverse-rotation locking sleeve-connected specimens can maintain relatively stable strength levels and favorable seismic performance during the plastic deformation stage. Full article
(This article belongs to the Special Issue Soil–Structure Interactions for Civil Infrastructure)
Show Figures

Figure 1

21 pages, 4360 KB  
Article
Research on the CSODC Strategy Based on Impedance Model Prediction and SSO Stability Assessment of DFIGs
by Xiao Wang, Yina Ren, Linlin Wu, Xiaoyang Deng, Xu Zhang and Qun Wang
Appl. Sci. 2025, 15(20), 11218; https://doi.org/10.3390/app152011218 - 20 Oct 2025
Cited by 1 | Viewed by 401
Abstract
As wind power penetration continues to increase, the sub-synchronous control interaction (SSCI) problem caused by the interaction between doubly fed induction generators (DFIGs) and series-compensated transmission lines has become increasingly prominent, posing a serious threat to power system stability. To address this problem, [...] Read more.
As wind power penetration continues to increase, the sub-synchronous control interaction (SSCI) problem caused by the interaction between doubly fed induction generators (DFIGs) and series-compensated transmission lines has become increasingly prominent, posing a serious threat to power system stability. To address this problem, this research proposes a centralized sub-synchronous oscillation damping controller (CSODC) for wind farms. First, a DFIG impedance model was constructed based on multi-operating-point impedance scanning and a Taylor series expansion, achieving impedance prediction with an error of less than 2% under various power conditions. Subsequently, a CSODC comprising a sub-synchronous damping calculator (SSDC) and a power electronic converter is designed. By optimizing feedback signals, phase shift angles, gain parameters, and filter parameters, dynamic adjustment of controllable impedance in the sub-synchronous frequency band is achieved. Frequency-domain impedance analysis demonstrates that the CSODC significantly enhances the system’s equivalent resistance, reversing it from negative to positive at the resonance frequency point. Time-domain simulations validated the CSODC’s effectiveness in scenarios involving series capacitor switching and wind speed disturbances, demonstrating rapid sub-synchronous current decay. The results confirm that the proposed strategy effectively suppresses sub-synchronous oscillations across multiple scenarios, offering an economical and efficient solution to stability challenges in high-penetration renewable energy grids. Full article
(This article belongs to the Section Electrical, Electronics and Communications Engineering)
Show Figures

Figure 1

Back to TopTop