Sign in to use this feature.

Years

Between: -

Subjects

remove_circle_outline
remove_circle_outline
remove_circle_outline
remove_circle_outline
remove_circle_outline
remove_circle_outline
remove_circle_outline
remove_circle_outline
remove_circle_outline

Journals

Article Types

Countries / Regions

Search Results (134)

Search Parameters:
Keywords = reverse electrodialysis

Order results
Result details
Results per page
Select all
Export citation of selected articles as:
23 pages, 2122 KB  
Article
Pilot Plant Test of Single-Pass Electrodialysis Reversal System
by Marian Turek, Ewa Bernacka and Krzysztof Mitko
Membranes 2026, 16(4), 114; https://doi.org/10.3390/membranes16040114 - 25 Mar 2026
Viewed by 572
Abstract
Increasing the recovery in electrodialysis desalination may be achieved using a single-pass operation at different linear flow velocity values in the diluate and concentrate compartments. The risk of inner leakage as well as membrane bulging and damage can be minimized by controlling the [...] Read more.
Increasing the recovery in electrodialysis desalination may be achieved using a single-pass operation at different linear flow velocity values in the diluate and concentrate compartments. The risk of inner leakage as well as membrane bulging and damage can be minimized by controlling the pressure difference between the diluate and concentrate compartments. This solution has been tested in a pilot plant for initial demineralization of river water using an electrodialyzer of our own design. Both under- and overlimiting regimes have been tested, as well as long work cycles between electrode polarity reversals. Water with a conductivity of about 500 µS/cm was desalinated at a recovery of 70–75%, and the desalination degree was 75–96%. It was also found that the unit cost could be decreased by 52% compared to a commercial solution when the diluate conductivity was 74.3 μS/cm. A deep demineralization, from 511 μS/cm down to 17.9 μS/cm in a single-stage EDR or 8.52 μS/cm in a two-stage EDR, was also confirmed experimentally at the pilot scale. Full article
(This article belongs to the Special Issue Electrodialysis and Novel Electro-Membrane Processes)
Show Figures

Figure 1

23 pages, 3393 KB  
Article
A New Power Dissipation Model and Its Analytic Formulation for Electric-Field-Driven Water Dissociation in the Cationic/Anionic Bipolar Polymer Membrane Junctions
by Mohamed Fadel Anass Ma-el-ainine, Rachid Boukhili and Oumarou Savadogo
Membranes 2026, 16(3), 94; https://doi.org/10.3390/membranes16030094 - 2 Mar 2026
Viewed by 791
Abstract
Bipolar Polymer Membranes (BPMs) enable the creation of large, stable pH gradients by driving water dissociation (WD) at the cation/anion junction under reverse bias, a process central to electrodialysis, CO2 capture, and emerging acid–alkaline water electrolysis. Yet despite decades of study, the [...] Read more.
Bipolar Polymer Membranes (BPMs) enable the creation of large, stable pH gradients by driving water dissociation (WD) at the cation/anion junction under reverse bias, a process central to electrodialysis, CO2 capture, and emerging acid–alkaline water electrolysis. Yet despite decades of study, the mechanism by which intense interfacial electric fields accelerate WD remains debated and is often modeled with ad hoc assumptions. In this study, we present a power dissipation model in which minority ions from water autoprotolysis act as carriers that continuously dissipate field-supplied power in the hydrated nanometric junction. This dissipative input increases the local probability of heterolytic O–H bond cleavage and analytically leads to a quadratic dependence of the dissociation rate constant on the field. Without adjustable parameters, the model reproduces the required orders of magnitude for the enhancement ratio kd(E)/kd(0), where kd(E) is the field-enhanced water dissociation rate constant and kd(0) is its zero-field value across typical BPM fields, and yields a quadratic current–voltage junction law. A proof-of-principle measurement on a commercial Fumasep® FBM bipolar membrane confirms the quadratic current–voltage trend, supporting a power-dissipation-driven water dissociation mechanism and providing a concise, falsifiable baseline for future studies. Full article
Show Figures

Graphical abstract

18 pages, 2687 KB  
Article
Synergistic Interfacial Design of Cation Exchange Membranes via Sequential Electro-Assembly for High-Efficiency Lithium Separation
by Zhibo Zhang, Geting Xu, Yangbo Qiu, Junbin Liao, Tong Mu, Wanji Zhou, Yunfang Gao, Jianquan Weng and Jiangnan Shen
Membranes 2026, 16(3), 87; https://doi.org/10.3390/membranes16030087 - 28 Feb 2026
Viewed by 632
Abstract
The industrial application of modified ion-exchange membranes is limited by complex, discontinuous ex-situ processes. This study introduces an in-situ electro-assembly strategy that enables the direct fabrication of a selective layer within an electrodialysis stack without disassembly. By utilizing a programmed current reversal to [...] Read more.
The industrial application of modified ion-exchange membranes is limited by complex, discontinuous ex-situ processes. This study introduces an in-situ electro-assembly strategy that enables the direct fabrication of a selective layer within an electrodialysis stack without disassembly. By utilizing a programmed current reversal to orchestrate the sequential deposition of polyethyleneimine (PEI), glutaraldehyde cross-linking, and polystyrene sulfonate (PSS) adsorption, we achieve meticulous interfacial engineering on a commercial cation exchange membrane. Comprehensive characterization confirms the successful construction of a hydrophilic, charge-tuned multilayer, which enhances ion transport kinetics and raises the limiting current density. This method culminates in a membrane with an exceptional Li+/Mg2+ selectivity of 107.9 and robust stability, retaining a significant selectivity of 47 over 10 cycles in real salt lake brine. This synergistic integration of operational simplicity, interfacial precision, and superior performance establishes a transformative and scalable platform for manufacturing high-performance membranes for selective ion separation from complex brine sources. Full article
(This article belongs to the Special Issue Electrodialysis and Novel Electro-Membrane Processes)
Show Figures

Graphical abstract

18 pages, 1800 KB  
Review
Challenges of Power Generation by Reverse Electrodialysis
by Marian Turek and Krzysztof Mitko
Energies 2026, 19(4), 1061; https://doi.org/10.3390/en19041061 - 19 Feb 2026
Cited by 1 | Viewed by 660
Abstract
Reverse electrodialysis (RED) is a power generation method that harnesses the energy of mixing high- and low-salinity solutions through ion migration across ion-exchange membranes. While it is being extensively investigated as an environmentally friendly technology that utilizes renewable materials and generates no air [...] Read more.
Reverse electrodialysis (RED) is a power generation method that harnesses the energy of mixing high- and low-salinity solutions through ion migration across ion-exchange membranes. While it is being extensively investigated as an environmentally friendly technology that utilizes renewable materials and generates no air pollution, it also has severe limitations that put RED’s technical and economic feasibility into question. This paper discusses RED’s geographical, technical, and economic limitations and provides a critical review of the attempts at addressing them. We conclude that the pretreatment costs and the capital investment costs are prohibitively expensive, making RED uneconomical compared to other renewable energy generation methods. Full article
Show Figures

Figure 1

17 pages, 6853 KB  
Article
Experimental Performances of Titanium Redox Electrodes as the Substitutes for the Ruthenium–Iridium Coated Electrodes Used in the Reverse Electrodialysis Cells for Hydrogen Production
by Zhaozhe Han, Xi Wu, Lin Xu and Ping He
Membranes 2026, 16(1), 26; https://doi.org/10.3390/membranes16010026 - 3 Jan 2026
Viewed by 918
Abstract
Reverse electrodialysis (RED) enables the efficient conversion of the chemical potential difference between seawater and freshwater into electricity while simultaneously facilitating hydrogen production for integrated energy utilization. Nevertheless, the widespread deployment of RED remains constrained by the reliance on ruthenium–iridium-coated electrodes, which are [...] Read more.
Reverse electrodialysis (RED) enables the efficient conversion of the chemical potential difference between seawater and freshwater into electricity while simultaneously facilitating hydrogen production for integrated energy utilization. Nevertheless, the widespread deployment of RED remains constrained by the reliance on ruthenium–iridium-coated electrodes, which are expensive and resource-limited. This study proposes the adoption of titanium-based redox electrodes as a replacement for traditional precious metal electrodes and employs a novel spike structure to accelerate hydrogen bubble detachment. The electrochemical performance of titanium electrodes in an RED hydrogen production system was systematically evaluated experimentally. The influences of several parameters on the RED system performance were systematically examined under these operating conditions, including the ruthenium–iridium catalytic layer, operating temperature (15 to 45 °C), electrode rinse solution (ERS) concentration (0.1 to 0.7 M), and flow rate (50 to 130 mL·min−1). Experimental results demonstrate that optimized titanium redox electrodes maintain high electrocatalytic activity while significantly reducing system costs. Under optimal conditions, the hydrogen yield of the Ti redox electrode reached 89.7% of that achieved with the mesh titanium plate coated oxide iridium and oxide ruthenium as electrodes, while the electrode cost was reduced by more than 60%. This is also one of the cost-cutting solutions adopted by RED for its development. Full article
Show Figures

Figure 1

15 pages, 1659 KB  
Article
Simple Analytical Approximations for Donnan Ion Partitioning in Permeable Ion-Exchange Membranes Under Reverse Electrodialysis Conditions
by Antonio Ángel Moya
Membranes 2025, 15(12), 365; https://doi.org/10.3390/membranes15120365 - 1 Dec 2025
Viewed by 929
Abstract
Reverse electrodialysis (RED) is a relatively recent technology for renewable energy harvesting from the interaction of river and seawater. This paper revisits the thermodynamic equilibrium governing the ionic transport processes through ion-exchange membranes (IEMs) under RED conditions and theoretically derives approximate analytical expressions [...] Read more.
Reverse electrodialysis (RED) is a relatively recent technology for renewable energy harvesting from the interaction of river and seawater. This paper revisits the thermodynamic equilibrium governing the ionic transport processes through ion-exchange membranes (IEMs) under RED conditions and theoretically derives approximate analytical expressions for the ionic concentrations at the inner boundaries of a permeable membrane with well-stirred baths. The equation for the Donnan ion partitioning at the membrane–solution interface, which is based on the equality of the electrochemical potential in the two phases, is analysed for binary salts with symmetric (1:1) and asymmetric (2:1) electrolytes, by considering bathing solutions with the equivalent concentrations 0.02 M in the dilute bath, and 0.5, 1, and 1.5 M in the concentrate one. Simple approximate analytical expressions exhibiting the evolution with the membrane fixed-charge concentration of the counter-ionic concentrations at the inner boundaries of the membrane, the concentration gradients inside the membrane, the total Donnan electric potential, and the ionic partitioning coefficients have been derived. The approximate generalised expressions for a general z1:z2 binary electrolyte are also presented for the first time. Full article
Show Figures

Figure 1

11 pages, 2016 KB  
Article
Solar-Powered Interfacial Evaporation for Simultaneous Photocatalytic Hydrogen Production and Salinity Gradient Power Generation
by Ruiying Gao, Gaoming Ding, Ying Zhang, Hanhua He, Xinxing Yin, Shan Luo, Baolin Huang, Lu Huang, Junxian Pei and Xuejiao Hu
Energies 2025, 18(23), 6139; https://doi.org/10.3390/en18236139 - 24 Nov 2025
Viewed by 736
Abstract
Solar-driven interfacial evaporation desalination technology offers a feasible solution to the global shortage of freshwater resources. However, previous interfacial evaporation technologies have often only focused on the production of freshwater resources, without fully utilizing the high-energy photons in sunlight and the salinity gradient [...] Read more.
Solar-driven interfacial evaporation desalination technology offers a feasible solution to the global shortage of freshwater resources. However, previous interfacial evaporation technologies have often only focused on the production of freshwater resources, without fully utilizing the high-energy photons in sunlight and the salinity gradient generated after seawater evaporation. In this work, a solar-driven water–hydrogen–electricity (SWHE) co-production system integrated by solar-driven interfacial evaporation (SIE), interface photocatalytic hydrogen evolution (IPHE), and reverse electrodialysis (RE) was proposed. The aim is to enhance the efficiency of solar energy utilization and achieve simultaneous production of freshwater, hydrogen, and electricity. Under 2-sun irradiation, the SWHE device achieved a water generation rate of 0.77 kg m−2 h−1, a hydrogen generation rate of 8.57 mmol m−2 h−1, and a highest power density of 2.9 mW m−2. Outdoor tests demonstrate that the cumulative water production reached 1.6 kg m−2 over 6 h, with a total hydrogen yield of 12.22 mmol m−2 and a highest power density of 0.095 mW m−2, which validated the environmental adaptability of SWHE system. This novel design strategy is expected to provide a novel form of freshwater resources and energy supply for human society. Full article
(This article belongs to the Section A2: Solar Energy and Photovoltaic Systems)
Show Figures

Figure 1

15 pages, 1869 KB  
Article
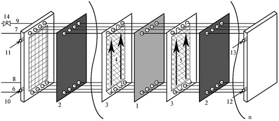
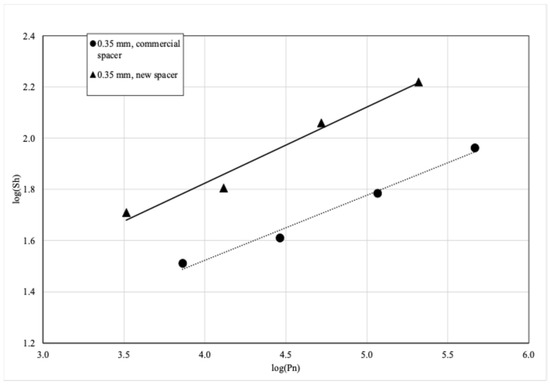
Bioinspired Fractal Design of (Reverse) Electrodialysis Stacks
by Joost Veerman
Processes 2025, 13(11), 3720; https://doi.org/10.3390/pr13113720 - 18 Nov 2025
Cited by 1 | Viewed by 1025
Abstract
This paper offers a perspective on the future of energy harvesting through reverse electrodialysis (RED), particularly in systems using seawater and river water as feed solutions. Although significant progress has been made in membrane development and in optimizing flow configurations—through the introduction of [...] Read more.
This paper offers a perspective on the future of energy harvesting through reverse electrodialysis (RED), particularly in systems using seawater and river water as feed solutions. Although significant progress has been made in membrane development and in optimizing flow configurations—through the introduction of alternative spacers and profiled membranes that enhance mixing and reduce polarization—the overall advancement of RED technology has stagnated for nearly a decade. A persistent negative scale factor continues to favor small-scale applications while limiting the feasibility of large-scale power generation. We propose that renewed progress may arise from fractal-inspired system architectures, in which the efficiency of small RED units is preserved and amplified through hierarchical organization and cooperative operation of many such elements. Two conceptual approaches are outlined. The first explores fractal geometries within the intermembrane compartments, focusing particularly on the river water compartment, which typically exhibits the highest ohmic resistance. The second envisions the modular aggregation of numerous cross-flow stacks into large-scale assemblies whose overall performance scales constructively with the number of units. Together, these ideas suggest a new design paradigm in which scalability and efficiency are reconciled through fractal system organization. Full article
Show Figures

Figure 1

34 pages, 1946 KB  
Review
Innovative Recovery Methods for Metals and Salts from Rejected Brine and Advanced Extraction Processes—A Pathway to Commercial Viability and Sustainability in Seawater Reverse Osmosis Desalination
by Olufisayo E. Ojo and Olanrewaju A. Oludolapo
Water 2025, 17(21), 3141; https://doi.org/10.3390/w17213141 - 1 Nov 2025
Cited by 6 | Viewed by 6754
Abstract
Seawater desalination has emerged as a crucial solution for addressing global freshwater scarcity. However, it generates significant volumes of concentrated brine waste. This brine is rich in dissolved salts and minerals, primarily, chloride (55%), sodium (30%), sulfate (8%), magnesium (4%), calcium (1%), potassium [...] Read more.
Seawater desalination has emerged as a crucial solution for addressing global freshwater scarcity. However, it generates significant volumes of concentrated brine waste. This brine is rich in dissolved salts and minerals, primarily, chloride (55%), sodium (30%), sulfate (8%), magnesium (4%), calcium (1%), potassium (1%), bicarbonate (0.4%), and bromide (0.2%), which are often discharged into marine environments, posing ecological challenges. This study presents a comprehensive global review of innovative technologies for recovering these constituents as valuable products, thereby enhancing the sustainability and economic viability of desalination. The paper evaluates a range of proven and emerging recovery methods, including membrane separation, nanofiltration, electrodialysis, thermal crystallization, solar evaporation, chemical precipitation, and electrochemical extraction. Each technique is analyzed for its effectiveness in isolating salts (NaCl, KCl, and CaSO4) and minerals (Mg(OH)2 and Br2), with a discussion of process-specific constraints, recovery efficiencies, and product purities. Furthermore, the study incorporates a detailed techno-economic assessment, highlighting revenue potential, capital and operational expenditures, and breakeven timelines. Simulated case studies of a 100,000 m3/day seawater reverse osmosis (SWRO) facility demonstrates that a sequential brine recovery process and associated energy balances, supported by pilot-scale data from ongoing global initiatives, can achieve over 90% total salt recovery while producing marketable products such as NaCl, Mg(OH)2, and Br2. The estimated revenue from recovered materials ranges between USD 4.5 and 6.8 million per year, offsetting 65–90% of annual desalination operating costs. The analysis indicates a payback period of 3–5 years, depending on recovery efficiency and product pricing, underscoring the economic viability of large-scale brine valorization alongside its environmental benefits. By transforming waste brine into a source of commercial commodities, desalination facilities can move toward circular economy models and achieve greater sustainability. A practical integration framework is proposed for both new and existing SWRO plants, with a focus on aligning with the principles of a circular economy. By transforming waste brine into a resource stream for commercial products, desalination facilities can reduce environmental discharge and generate additional revenue. The study concludes with actionable recommendations and insights to guide policymakers, engineers, and investors in advancing brine mining toward full-scale implementation. Full article
(This article belongs to the Section Oceans and Coastal Zones)
Show Figures

Figure 1

16 pages, 1424 KB  
Article
A Levelized Cost of Energy (LCOE) Analysis of a Reverse Electrodialysis (RED) Plant in Tuxpan, Mexico
by Monserrat Ortiz, Graciela Rivera and Edgar Mendoza
Energies 2025, 18(20), 5540; https://doi.org/10.3390/en18205540 - 21 Oct 2025
Cited by 1 | Viewed by 1365
Abstract
The transition towards low-carbon energy systems requires the adoption of emerging renewable technologies that can diversify energy matrices and reduce greenhouse gas emissions. The present study evaluates the technical and economic feasibility of implementing a Reverse Electrodialysis (RED) plant for Salinity Gradient Energy [...] Read more.
The transition towards low-carbon energy systems requires the adoption of emerging renewable technologies that can diversify energy matrices and reduce greenhouse gas emissions. The present study evaluates the technical and economic feasibility of implementing a Reverse Electrodialysis (RED) plant for Salinity Gradient Energy (SGE) generation on the coast of Tuxpan, Veracruz, Mexico. This area has significant freshwater and seawater resources but high fossil-fuel dependence. A conceptual design was developed considering local hydrological and salinity conditions, membrane performance, and pre-treatment requirements. The analysis applied Levelized Cost of Energy (LCOE) and Net Present Value (NPV) methodologies to six water source combinations. Results indicate that the most favorable scenario, combining effluents from the municipal wastewater treatment plant and the Tuxpan river mouth, achieved the highest potential energy yield. However, high capital (USD 1.54 million) and operational costs resulted in negative NPVs, limiting short-term economic viability. Environmental assessment suggests RED could improve water quality and reduce pollutant discharge, though potential construction and operational impacts require mitigation. Despite current cost barriers, RED integration in coastal regions with similar characteristics offers a promising pathway for clean energy generation and environmental restoration, particularly if coupled with cost-reduction strategies and policy incentives. Full article
(This article belongs to the Special Issue Studies in Renewable Energy Production and Distribution)
Show Figures

Figure 1

57 pages, 3245 KB  
Review
Cellulose-Based Ion Exchange Membranes for Electrochemical Energy Systems: A Review
by Nur Syahirah Faiha Shawalludin, Saidatul Sophia Sha’rani, Mohamed Azlan Suhot, Shamsul Sarip and Mohamed Mahmoud Nasef
Membranes 2025, 15(10), 304; https://doi.org/10.3390/membranes15100304 - 6 Oct 2025
Cited by 2 | Viewed by 3379
Abstract
Cellulose, the most abundant polysaccharide on earth, possesses desirable properties such as biodegradability, low cost, and low toxicity, making it suitable for a wide range of applications. Being a non-conductive material, the structure of the nanocellulose can be modified or incorporated with conductive [...] Read more.
Cellulose, the most abundant polysaccharide on earth, possesses desirable properties such as biodegradability, low cost, and low toxicity, making it suitable for a wide range of applications. Being a non-conductive material, the structure of the nanocellulose can be modified or incorporated with conductive filler to facilitate charge transport between the polymer matrix and conductive components. Recently, cellulose-based ion exchange membranes (IEMs) have gained strong attention as alternatives to environmentally burdening synthetic polymers in electrochemical energy systems, owing to their renewable nature and versatile chemical structure. This article provides a comprehensive review of the structures, fabrication aspects and properties of various cellulose-based membranes for fuel cells and water electrolyzers, batteries, supercapacitors, and reverse electrodialysis (RED) applications. The scope includes an overview of various cellulose-based membrane fabrication methods, different forms of cellulose, and their applications in energy conversion and energy storage systems. The review also discusses the fundamentals of electrochemical energy systems, the role of IEMs, and recent advancements in the cellulose-based membranes’ research and development. Finally, it highlights current challenges to their performance and sustainability, along with recommendations for future research directions. Full article
(This article belongs to the Section Membrane Applications for Energy)
Show Figures

Graphical abstract

29 pages, 7409 KB  
Article
Coupled Impact of Anthocyanin and Mineral Concentrations in Cranberry Juice on Gut Microbiota and Function Modulation: A First Demonstration
by Eva Revellat, Joanie Dupont-Morissette, Thibault V. Varin, Geneviève Pilon, André Marette and Laurent Bazinet
Molecules 2025, 30(19), 3986; https://doi.org/10.3390/molecules30193986 - 4 Oct 2025
Viewed by 1688
Abstract
Cranberry juice (CJ), a natural source of anthocyanins, may provide additional health benefits when enriched, as anthocyanins have been shown to influence gut microbiota composition. This study investigated the effects of varying anthocyanin and mineral concentrations in CJ on gut microbiota in mice. [...] Read more.
Cranberry juice (CJ), a natural source of anthocyanins, may provide additional health benefits when enriched, as anthocyanins have been shown to influence gut microbiota composition. This study investigated the effects of varying anthocyanin and mineral concentrations in CJ on gut microbiota in mice. Using electrodialysis with filtration membranes (EDFM), five CJ samples with different anthocyanin/mineral enrichment levels (0/0, −31/−85%, −19/−70%, 26/−32%, and 44/−60%) were produced and administered to C57BL/6J mice for four weeks. Gut microbiota composition was analyzed via 16S rRNA sequencing, and inflammation was determined in macroscopic observations of intestinal tissues. While α and β diversity remained unchanged, differential abundance analysis revealed that gut microbiota changes were influenced by anthocyanin and mineral concentrations. Synergistic trends were observed for Colidextribacter and Oscillibacter (increasing with both compounds) and for Turicibacter, Romboutsia, Enterorhabdus, and Bifidobacterium (decreasing with both compounds). Antagonistic trends emerged for Dubosiella, Acetatifactor, A2, Ruminococcus, and Intestinimonas (decreasing with anthocyanins and increasing with minerals), and the reverse was found for Ligilactobacillus. The most significant microbiota shifts occurred with the −31/−85% CJ, suggesting a strong effect of its low anthocyanin and mineral content. But further analysis is needed to assess their metabolic effects and impact on intestinal health. Full article
(This article belongs to the Special Issue Analyses and Applications of Phenolic Compounds in Food—2nd Edition)
Show Figures

Figure 1

18 pages, 3921 KB  
Article
Ion-Exchange Membrane Permselectivity: Experimental Evaluation of Concentration Dependence, Ionic Species Selectivity, and Temperature Response
by Junyi Lv, Xiaojing Zhu, Xi Wu and Hongfei Guan
Separations 2025, 12(8), 207; https://doi.org/10.3390/separations12080207 - 9 Aug 2025
Cited by 5 | Viewed by 3400
Abstract
Ion-exchange membranes (IEMs) are widely used in reverse-electrodialysis (RED) technology, which can collect the salinity gradient energy between concentrated and diluted solutions and convert it into electromotive force (EMF) to drive power generation and hydrogen production. Recent studies have indicated that the permselectivity [...] Read more.
Ion-exchange membranes (IEMs) are widely used in reverse-electrodialysis (RED) technology, which can collect the salinity gradient energy between concentrated and diluted solutions and convert it into electromotive force (EMF) to drive power generation and hydrogen production. Recent studies have indicated that the permselectivity of IEMs is vital to determining the performance of an RED stack. In this study, the influences of solution concentration, ion species, and solution temperature on the permselectivity of IEMs were experimentally investigated. The results demonstrate that the permselectivity of IEMs decreases with increasing concentrations of KAc, LiCl, and LiBr solutions for both concentrated solutions (3–5 M) and dilute solutions (0.02–0.2 M). Further, through comparing the LiBr and KBr solutions as well as the LiCl, KCl, and NH4Cl solutions, respectively, K+ demonstrates a higher permselectivity than Li+, and both of which are smaller than NH4+ under the same cation and concentration conditions. Moreover, another test was conducted using three potassium salt solutions with different anions, and the experimental permselectivity order is Ac > Br > Cl. A slight increase in solution temperature enhances the permselectivity of IEMs due to the increase in ionic mobility. However, an excessive temperature is detrimental to membrane stability and thus reduces permselectivity. It can be seen that ions with low hydration energy, a small hydration radius, and high mobility show a higher permselectivity. Full article
(This article belongs to the Section Purification Technology)
Show Figures

Figure 1

14 pages, 2916 KB  
Article
Investigation of the Electrodialysis of Sodium Tungstate Solutions for the Production of Tungstic Acid
by Adelya Dauletbakova, Bolotpay Baimbetov, Yeleussiz Tazhiyev and Gulnara Moldabayeva
Appl. Sci. 2025, 15(13), 7033; https://doi.org/10.3390/app15137033 - 22 Jun 2025
Cited by 2 | Viewed by 1820
Abstract
Industrial technologies for processing tungsten concentrates using soda roasting or autoclave leaching are based on the production of alkaline sodium tungstate solutions that contain impurities such as silicon, phosphorus, arsenic, and others. The purification of these solutions from impurities requires the neutralization of [...] Read more.
Industrial technologies for processing tungsten concentrates using soda roasting or autoclave leaching are based on the production of alkaline sodium tungstate solutions that contain impurities such as silicon, phosphorus, arsenic, and others. The purification of these solutions from impurities requires the neutralization of excess soda or alkali with inorganic acids, which leads to the formation of chloride and sulfate effluents that are subsequently discharged into waste repositories. An analysis was carried out on existing methods for the production and processing of sodium tungstate solutions using HNO3 and NH3, as well as extraction and sorption techniques involving anion exchange resins. Currently, processes such as nanofiltration, reverse osmosis, and electrodialysis are being applied for water purification and the treatment of sulfate and chloride effluents. These processes employ various types of industrially manufactured membranes. For the purpose of electrodialysis, a two-compartment electrodialyzer setup was employed using cation-exchange membranes of the MK-40 (Russia) and EDC1R (China) types. The composition and structure of sodium tungstate, used as the starting reagents, were analyzed. Based on experiments conducted on a laboratory-scale unit with continuous circulation of the catholyte and anolyte, dependencies of various parameters on current density and process duration were established. Stepwise changes in the anolyte pH were recorded, indirectly confirming changes in the composition of the Na2WO4 solution, including the formation of polytungstates of variable composition and the production of H2WO4 via electrodialysis at pH < 2. The resulting tungstic acid solutions were also analyzed. The conducted studies on the processing of sodium tungstate solutions using electrodialysis made it possible to obtain alkaline solutions and tungstic acid at a current density of 500–1500 A/m2, without the use of acid for neutralization. Yellow tungstic acid was obtained from the tungstic acid solution by evaporation. Full article
Show Figures

Figure 1

25 pages, 1879 KB  
Review
Integration and Operational Application of Advanced Membrane Technologies in Military Water Purification Systems
by Mirela Volf, Silvia Morović and Krešimir Košutić
Separations 2025, 12(6), 162; https://doi.org/10.3390/separations12060162 - 16 Jun 2025
Cited by 2 | Viewed by 2953
Abstract
Membrane technologies are used in the production of potable water and the treatment of wastewater in the military forces, providing the highest level of contaminant removal at an energy-efficient cost. This review examines the integration and application of membrane technologies, including reverse osmosis, [...] Read more.
Membrane technologies are used in the production of potable water and the treatment of wastewater in the military forces, providing the highest level of contaminant removal at an energy-efficient cost. This review examines the integration and application of membrane technologies, including reverse osmosis, nanofiltration, ultrafiltration, electrodialysis and advanced hybrid systems, in the treatment of wastewater generated at military bases, naval vessels and submarines. Special emphasis is placed on purification technologies for chemically, biologically and radiologically contaminated wastewater, as well as on the recycling and treatment of wastewater streams by mobile systems used in military applications. Given the specific requirements of complex military infrastructures, particularly in terms of energy efficiency, unit self-sufficiency and reduced dependence on logistical supply chains, this work analyses the latest advances in membrane technologies. Innovations such as nanographene membranes, biomimetic membranes, antifouling membrane systems and hybrid configurations of forward osmosis/reverse osmosis and electrodialysis/reverse electrodialysis offer unique potential for implementation in modular and mobile water treatment systems. In addition, the integration and operational use of these advanced technologies serve as a foundation for the development of autonomous military water supply strategies tailored to extreme operational conditions. The continued advancement and optimization of membrane technologies in military contexts is expected to significantly impact operational sustainability while minimizing environmental impact. Full article
Show Figures

Figure 1

Back to TopTop