Coupled Impact of Anthocyanin and Mineral Concentrations in Cranberry Juice on Gut Microbiota and Function Modulation: A First Demonstration
Abstract
1. Introduction
2. Results
2.1. Effect of CJ on the Food Intake and Body Weight
2.2. Feces and Post-Mortem Observations
- Hemoccult
- Organ weights
- Intestinal macroscopic observation
2.3. Impact of CJ Administration and Anthocyanin Concentration in CJ on the Gut Microbiota
2.3.1. Effect of CJ Administration on the Composition of the Gut Microbiota
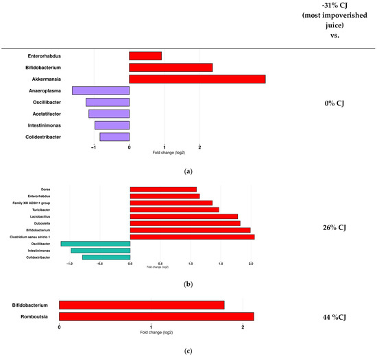
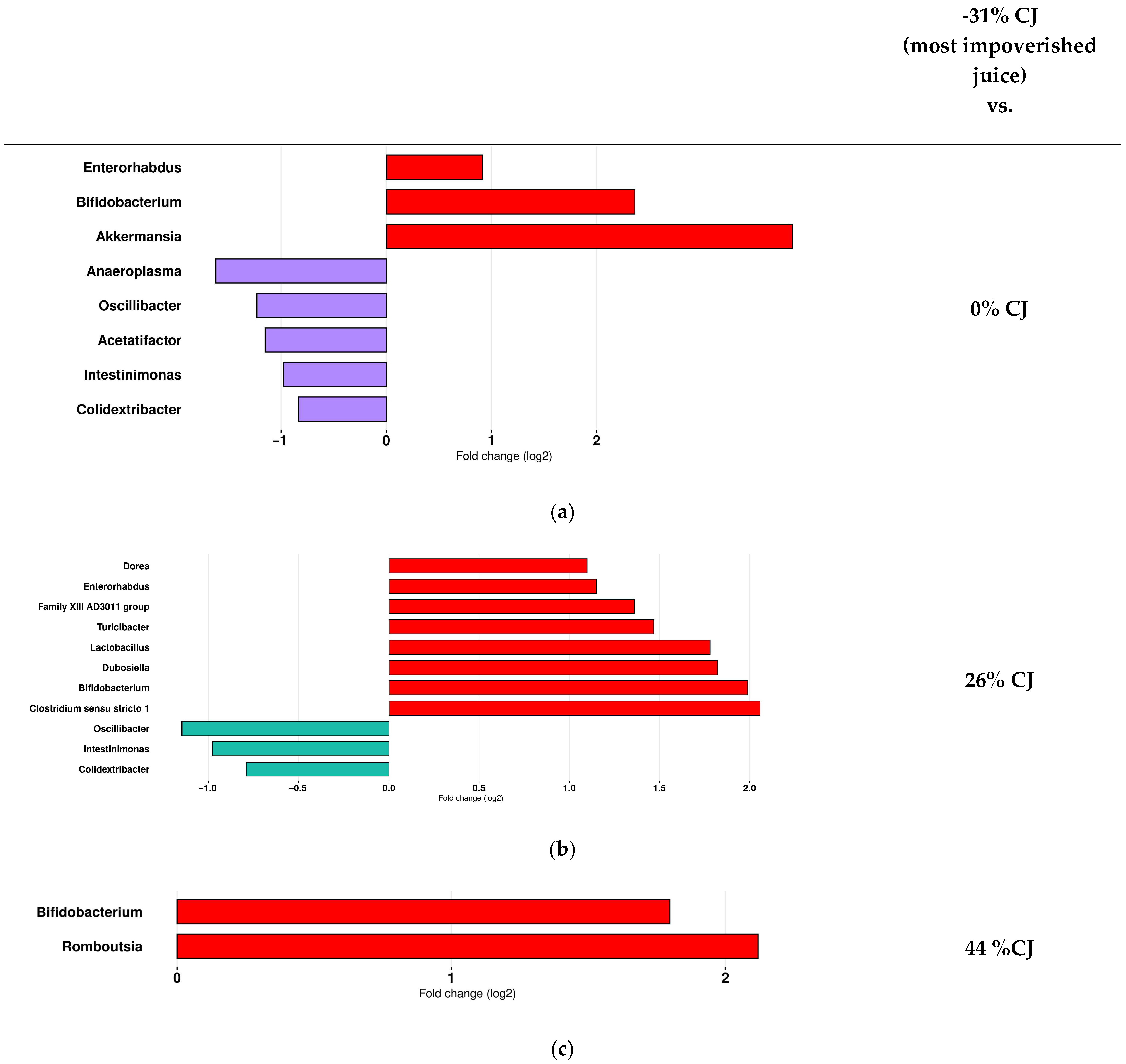
2.3.2. Effect of Anthocyanin Concentration on the Composition of the Gut Microbiota
2.4. Impact of CJ Administration and Anthocyanin Concentration in the CJ on the Functional Prediction Pathways of the Gut Microbiota
2.4.1. Effect of the CJ Administration on the Functional Pathways of the Gut Microbiota
2.4.2. Effect of Anthocyanin Concentration in the Juice on the Functional Predictions of the Gut Microbiota
3. Discussion
3.1. Impact of Anthocyanin Concentration on the Physiological Parameters and Inflammatory State
3.2. Impact of Anthocyanin Concentration in the Cranberry Juice on the Gut Microbiota
3.3. Combined Effect of Minerals and Anthocyanins on the Gut Microbiota—Synergistic and Antagonistic Effects of Anthocyanins and Minerals
3.4. Distinct Composition of −31% CJ Drives Most of the Functional Shifts Observed in the Gut Microbiome
4. Materials and Methods
4.1. Cranberry Juice Composition
4.2. Animals and Dietary Treatments
4.3. Analyses Determining Intestinal Inflammation
4.3.1. Occult Blood Testing
4.3.2. Intestinal Macroscopic Observations
4.4. Analyses of the Gut Microbiota
4.4.1. Fecal Sample Processing and 16S rRNA Gene-Based Sequencing
4.4.2. Gut Microbiota Analyses and Functional Prediction of the Gut Bacterial Communities
4.5. Statistical Analysis
5. Conclusions
Supplementary Materials
Author Contributions
Funding
Institutional Review Board Statement
Informed Consent Statement
Data Availability Statement
Acknowledgments
Conflicts of Interest
Abbreviations
| CJ | Cranberry juice |
| EDFM | Electrodialysis with filtration membrane |
| HFHS | High fat, high sugar |
| OB | Occult blood |
| PAC | Proanthocyanidins |
References
- Anhê, F.F.; Roy, D.; Pilon, G.; Dudonné, S.; Matamoros, S.; Varin, T.V.; Garofalo, C.; Moine, Q.; Desjardins, Y.; Levy, E.; et al. A Polyphenol-Rich Cranberry Extract Protects from Diet-Induced Obesity, Insulin Resistance and Intestinal Inflammation in Association with Increased Akkermansia spp. Population in the Gut Microbiota of Mice. Gut 2015, 64, 872–883. [Google Scholar] [CrossRef] [PubMed]
- Anhê, F.F.; Pilon, G.; Roy, D.; Desjardins, Y.; Levy, E.; Marette, A. Triggering Akkermansia with Dietary Polyphenols: A New Weapon to Combat the Metabolic Syndrome? Gut Microbes 2016, 7, 146–153. [Google Scholar] [CrossRef] [PubMed]
- Anhê, F.F.; Varin, T.V.; Le Barz, M.; Desjardins, Y.; Levy, E.; Roy, D.; Marette, A. Gut Microbiota Dysbiosis in Obesity-Linked Metabolic Diseases and Prebiotic Potential of Polyphenol-Rich Extracts. Curr. Obes. Rep. 2015, 4, 389–400. [Google Scholar] [CrossRef]
- Rodríguez-Daza, M.C.; Pulido-Mateos, E.C.; Lupien-Meilleur, J.; Guyonnet, D.; Desjardins, Y.; Roy, D. Polyphenol-Mediated Gut Microbiota Modulation: Toward Prebiotics and Further. Front. Nutr. 2021, 8, 689456. [Google Scholar] [CrossRef]
- Renaud, V.; Houde, V.P.; Pilon, G.; Varin, T.V.; Roblet, C.; Marette, A.; Boutin, Y.; Bazinet, L. The Concentration of Organic Acids in Cranberry Juice Modulates the Gut Microbiota in Mice. Int. J. Mol. Sci. 2021, 22, 11537. [Google Scholar] [CrossRef]
- Neto, C.C.; Mortzfeld, B.M.; Turbitt, J.R.; Bhattarai, S.K.; DiBenedetto, N.; Bry, L.; Bucci, V. Proanthocyanidin-Enriched Cranberry Extract Induces Resilient Bacterial Community Dynamics in a Gnotobiotic Mouse Model. Microb. Cell 2021, 8, 131. [Google Scholar] [CrossRef]
- Zhao, S.; Wang, G.; Liu, H.; Khoo, C.; Gu, L. Changes of Human Gut Microbiome Correlated with Metabolomics After Cranberry Juice Consumption in a Double-Blinded, Placebo Controlled, Crossover Study. Curr. Dev. Nutr. 2020, 4, nzaa045_130. [Google Scholar] [CrossRef]
- Zhao, J.; Qi, Y.; Liu, P.; Severin, A.; Sayadi, M.; Paetau-Robinson, I.; White, W. Prebiotic Effects of a Cranberry Beverage in a Randomized, Placebo-Controlled, Crossover Clinical Trial. Curr. Dev. Nutr. 2021, 5, 1190. [Google Scholar] [CrossRef]
- Al Othaim, A.; Marasini, D.; Carbonero, F. Impact of Cranberry Juice Consumption on Gut and Vaginal Microbiota in Postmenopausal Women. Food Front. 2021, 2, 282–293. [Google Scholar] [CrossRef]
- Chicas, M.C.; Talcott, S.; Talcott, S.; Sirven, M. Effect of Cranberry Juice Supplementation on the Gut Microbiome and Inflammatory Markers: A Randomized, Double-Blind, Placebo-Controlled Study in Overweight Individuals. Curr. Dev. Nutr. 2022, 6, 272. [Google Scholar] [CrossRef]
- Hakkola, M.; Vehviläinen, P.; Muotka, J.; Tejesvi, M.V.; Pokka, T.; Vähäsarja, P.; Hanni, A.; Renko, M.; Uhari, M.; Salo, J.; et al. Cranberry-lingonberry Juice Affects the Gut and Urinary Microbiome in Children—A Randomized Controlled Trial. APMIS 2023, 131, 112–124. [Google Scholar] [CrossRef] [PubMed]
- Gao, T.; Hou, M.; Zhang, B.; Pan, X.; Liu, C.; Sun, C.; Jia, M.; Lin, S.; Xiong, K.; Ma, A. Effects of Cranberry Beverages on Oxidative Stress and Gut Microbiota in Subjects with Helicobacter Pylori Infection: A Randomized, Double-Blind, Placebo-Controlled Trial. Food Funct. 2021, 12, 6878–6888. [Google Scholar] [CrossRef]
- Wu, X.; Prior, R.L. Systematic Identification and Characterization of Anthocyanins by HPLC-ESI-MS/MS in Common Foods in the United States: Fruits and Berries. J. Agric. Food Chem. 2005, 53, 2589–2599. [Google Scholar] [CrossRef]
- Pappas, E.; Schaich, K.M. Phytochemicals of Cranberries and Cranberry Products: Characterization, Potential Health Effects, and Processing Stability. Crit. Rev. Food Sci. Nutr. 2009, 49, 741–781. [Google Scholar] [CrossRef] [PubMed]
- Liang, A.; Leonard, W.; Beasley, J.T.; Fang, Z.; Zhang, P.; Ranadheera, C.S. Anthocyanins-Gut Microbiota-Health Axis: A Review. Crit. Rev. Food Sci. Nutr. 2024, 64, 7563–7588. [Google Scholar] [CrossRef]
- Liu, J.; Hao, W.; He, Z.; Kwek, E.; Zhu, H.; Ma, N.; Ma, K.Y.; Chen, Z.-Y. Blueberry and Cranberry Anthocyanin Extracts Reduce Bodyweight and Modulate Gut Microbiota in C57BL/6 J Mice Fed with a High-Fat Diet. Eur. J. Nutr. 2021, 60, 2735–2746. [Google Scholar] [CrossRef]
- Kapoor, P.; Tiwari, A.; Sharma, S.; Tiwari, V.; Sheoran, B.; Ali, U.; Garg, M. Effect of Anthocyanins on Gut Health Markers, Firmicutes-Bacteroidetes Ratio and Short-Chain Fatty Acids: A Systematic Review via Meta-Analysis. Sci. Rep. 2023, 13, 1729. [Google Scholar] [CrossRef]
- Renaud, V.; Faucher, M.; Perreault, V.; Serre, E.; Dubé, P.; Boutin, Y.; Bazinet, L. Evolution of Cranberry Juice Compounds during in Vitro Digestion and Identification of the Organic Acid Responsible for the Disruption of in Vitro Intestinal Cell Barrier Integrity. J. Food Sci. Technol. 2020, 57, 2329–2342. [Google Scholar] [CrossRef]
- Faucher, M.; Serre, É.; Langevin, M.-È.; Mikhaylin, S.; Lutin, F.; Bazinet, L. Drastic Energy Consumption Reduction and Ecoefficiency Improvement of Cranberry Juice Deacidification by Electrodialysis with Bipolar Membranes at Semi-Industrial Scale: Reuse of the Recovery Solution. J. Membr. Sci. 2018, 555, 105–114. [Google Scholar] [CrossRef]
- Wen, W.; Wan, Z.; Ren, K.; Zhou, D.; Gao, Q.; Wu, Y.; Wang, L.; Yuan, Z.; Zhou, J. Potassium Supplementation Inhibits IL-17A Production Induced by Salt Loading in Human T Lymphocytes via P38/MAPK-SGK1 Pathway. Exp. Mol. Pathol. 2016, 100, 370–377. [Google Scholar] [CrossRef]
- Wang, Y.; Wang, H.; Howard, A.G.; Tsilimigras, M.C.; Avery, C.L.; Meyer, K.A.; Sha, W.; Sun, S.; Zhang, J.; Su, C.; et al. Associations of Sodium and Potassium Consumption with the Gut Microbiota and Host Metabolites in a Population-Based Study in Chinese Adults. Am. J. Clin. Nutr. 2020, 112, 1599–1612. [Google Scholar] [CrossRef]
- Kedia, S.; Virmani, S.; Bajaj, A.; Markandey, M.; Singh, N.; Madan, D.; Kaushal, K.; Sahu, P.; Vuyyuru, S.K.; Kante, B.; et al. Coconut Water Induces Clinical Remission in Mild to Moderate Ulcerative Colitis: Double-Blind Placebo-Controlled Trial. Clin. Gastroenterol. Hepatol. 2024, 22, 1295–1306.e7. [Google Scholar] [CrossRef]
- Blumberg, J.B.; Camesano, T.A.; Cassidy, A.; Kris-Etherton, P.; Howell, A.; Manach, C.; Ostertag, L.M.; Sies, H.; Skulas-Ray, A.; Vita, J.A. Cranberries and Their Bioactive Constituents in Human Health. Adv. Nutr. 2013, 4, 618–632. [Google Scholar] [CrossRef] [PubMed]
- Revellat, E.; Bazinet, L. Production of Anthocyanin-Enriched Juices by Electrodialysis with Filtration Membrane Process: The Influence of Duration on Juice Composition, Process Efficiency, and Membrane Fouling. Foods 2024, 13, 3478. [Google Scholar] [CrossRef] [PubMed]
- Love, M.I.; Huber, W.; Anders, S. Moderated Estimation of Fold Change and Dispersion for RNA-Seq Data with DESeq2. Genome Biol. 2014, 15, 550. [Google Scholar] [CrossRef] [PubMed]
- Josic, J.; Olsson, A.T.; Wickeberg, J.; Lindstedt, S.; Hlebowicz, J. Does Green Tea Affect Postprandial Glucose, Insulin and Satiety in Healthy Subjects: A Randomized Controlled Trial. Nutr. J. 2010, 9, 63. [Google Scholar] [CrossRef]
- Escalante-Aburto, A.; Mendoza-Córdova, M.Y.; Mahady, G.B.; Luna-Vital, D.A.; Gutiérrez-Uribe, J.A.; Chuck-Hernández, C. Consumption of Dietary Anthocyanins and Their Association with a Reduction in Obesity Biomarkers and the Prevention of Obesity. Trends Food Sci. Technol. 2023, 140, 104140. [Google Scholar] [CrossRef]
- Serre, E.; Boutin, Y.; Langevin, M.-E.; Lutin, F.; Pedneault, K.; Lacour, S.; Bazinet, L. Deacidification of Cranberry Juice Protects against Disruption of In-Vitro Intestinal Cell Barrier Integrity. J. Funct. Foods 2016, 26, 208–216. [Google Scholar] [CrossRef]
- Cremonini, E.; Daveri, E.; Mastaloudis, A.; Adamo, A.M.; Mills, D.; Kalanetra, K.; Hester, S.N.; Wood, S.M.; Fraga, C.G.; Oteiza, P.I. Anthocyanins Protect the Gastrointestinal Tract from High Fat Diet-Induced Alterations in Redox Signaling, Barrier Integrity and Dysbiosis. Redox Biol. 2019, 26, 101269. [Google Scholar] [CrossRef]
- Anhê, F.F.; Nachbar, R.T.; Varin, T.V.; Vilela, V.; Dudonné, S.; Pilon, G.; Fournier, M.; Lecours, M.-A.; Desjardins, Y.; Roy, D.; et al. A Polyphenol-Rich Cranberry Extract Reverses Insulin Resistance and Hepatic Steatosis Independently of Body Weight Loss. Mol. Metab. 2017, 6, 1563–1573. [Google Scholar] [CrossRef]
- Rodríguez-Daza, M.-C.; Daoust, L.; Boutkrabt, L.; Pilon, G.; Varin, T.; Dudonné, S.; Levy, É.; Marette, A.; Roy, D.; Desjardins, Y. Wild Blueberry Proanthocyanidins Shape Distinct Gut Microbiota Profile and Influence Glucose Homeostasis and Intestinal Phenotypes in High-Fat High-Sucrose Fed Mice. Sci. Rep. 2020, 10, 2217. [Google Scholar] [CrossRef] [PubMed]
- Yoshioka, Y.; Akiyama, H.; Nakano, M.; Shoji, T.; Kanda, T.; Ohtake, Y.; Takita, T.; Matsuda, R.; Maitani, T. Orally Administered Apple Procyanidins Protect against Experimental Inflammatory Bowel Disease in Mice. Int. Immunopharmacol. 2008, 8, 1802–1807. [Google Scholar] [CrossRef]
- Colletti, A.; Sangiorgio, L.; Martelli, A.; Testai, L.; Cicero, A.F.G.; Cravotto, G. Highly Active Cranberry’s Polyphenolic Fraction: New Advances in Processing and Clinical Applications. Nutrients 2021, 13, 2546. [Google Scholar] [CrossRef] [PubMed]
- Mahmud, A.R.; Ema, T.I.; Siddiquee, M.F.-R.; Shahriar, A.; Ahmed, H.; Mosfeq-Ul-Hasan, M.; Rahman, N.; Islam, R.; Uddin, M.R.; Mizan, M.F.R. Natural Flavonols: Actions, Mechanisms, and Potential Therapeutic Utility for Various Diseases. Beni-Suef Univ. J. Basic Appl. Sci. 2023, 12, 47. [Google Scholar] [CrossRef]
- Nemzer, B.V.; Al-Taher, F.; Yashin, A.; Revelsky, I.; Yashin, Y. Cranberry: Chemical Composition, Antioxidant Activity and Impact on Human Health: Overview. Molecules 2022, 27, 1503. [Google Scholar] [CrossRef]
- Rosario, D.; Benfeitas, R.; Bidkhori, G.; Zhang, C.; Uhlen, M.; Shoaie, S.; Mardinoglu, A. Understanding the Representative Gut Microbiota Dysbiosis in Metformin-Treated Type 2 Diabetes Patients Using Genome-Scale Metabolic Modeling. Front. Physiol. 2018, 9, 775. [Google Scholar] [CrossRef]
- Blaženović, I.; Oh, Y.T.; Li, F.; Ji, J.; Nguyen, A.; Wancewicz, B.; Bender, J.M.; Fiehn, O.; Youn, J.H. Effects of Gut Bacteria Depletion and High-Na+ and Low-K+ Intake on Circulating Levels of Biogenic Amines. Mol. Nutr. Food Res. 2019, 63, 1801184. [Google Scholar] [CrossRef]
- Engevik, A.C.; Engevik, M.A. Exploring the Impact of Intestinal Ion Transport on the Gut Microbiota. Comput. Struct. Biotechnol. J. 2021, 19, 134–144. [Google Scholar] [CrossRef] [PubMed]
- Gurney, M.A.; Laubitz, D.; Ghishan, F.K.; Kiela, P.R. Pathophysiology of Intestinal Na+/H+ Exchange. Cell. Mol. Gastroenterol. Hepatol. 2017, 3, 27–40. [Google Scholar] [CrossRef]
- Kanwar, R.K.; Ganguly, N.K.; Kanwar, J.R.; Kumar, L.; Walia, B.N.S. Impairment of Na+,K+-ATPase Activity Following Enterotoxigenic Campylobacter jejuni Infection: Changes in Na+, Cl− and 3-O-Methyl-D-Glucose Transport in Vitro, in Rat Ileum. FEMS Microbiol. Lett. 1994, 124, 381–385. [Google Scholar] [CrossRef]
- Peng, Y.; Yan, Y.; Wan, P.; Chen, D.; Ding, Y.; Ran, L.; Mi, J.; Lu, L.; Zhang, Z.; Li, X.; et al. Gut Microbiota Modulation and Anti-Inflammatory Properties of Anthocyanins from the Fruits of Lycium Ruthenicum Murray in Dextran Sodium Sulfate-Induced Colitis in Mice. Free Radic. Biol. Med. 2019, 136, 96–108. [Google Scholar] [CrossRef]
- Marques, C.; Fernandes, I.; Meireles, M.; Faria, A.; Spencer, J.P.E.; Mateus, N.; Calhau, C. Gut Microbiota Modulation Accounts for the Neuroprotective Properties of Anthocyanins. Sci. Rep. 2018, 8, 11341. [Google Scholar] [CrossRef]
- Rodríguez-Daza, M.-C.; Roquim, M.; Dudonné, S.; Pilon, G.; Levy, E.; Marette, A.; Roy, D.; Desjardins, Y. Berry Polyphenols and Fibers Modulate Distinct Microbial Metabolic Functions and Gut Microbiota Enterotype-Like Clustering in Obese Mice. Front. Microbiol. 2020, 11, 2032. [Google Scholar] [CrossRef]
- Li, C.; Stražar, M.; Mohamed, A.M.T.; Pacheco, J.A.; Walker, R.L.; Lebar, T.; Zhao, S.; Lockart, J.; Dame, A.; Thurimella, K.; et al. Gut Microbiome and Metabolome Profiling in Framingham Heart Study Reveals Cholesterol-Metabolizing Bacteria. Cell 2024, 187, 1834–1852.e19. [Google Scholar] [CrossRef]
- Zhang, M.; Li, H.; Tan, T.; Lu, L.; Mi, J.; Rehman, A.; Yan, Y.; Ran, L. Anthocyanins from Lycium ruthenicum Murray Attenuates High-fat Diet-induced Hypercholesterolemia in ApoE−/− Mice Are Related to the Modulation of Gut Microbiota and the Ratio of Conjugated to Unconjugated Bile Acids in Fecal Bile Acid Profile. Food Sci. Nutr. 2024, 12, 2379–2392. [Google Scholar] [CrossRef] [PubMed]
- Morissette, A.; Kropp, C.; Songpadith, J.-P.; Junges Moreira, R.; Costa, J.; Mariné-Casadó, R.; Pilon, G.; Varin, T.V.; Dudonné, S.; Boutekrabt, L.; et al. Blueberry Proanthocyanidins and Anthocyanins Improve Metabolic Health through a Gut Microbiota-Dependent Mechanism in Diet-Induced Obese Mice. Am. J. Physiol.-Endocrinol. Metab. 2020, 318, E965–E980. [Google Scholar] [CrossRef]
- Arbizu, S.; Mertens-Talcott, S.U.; Talcott, S.; Noratto, G.D. Effect of Dark Sweet Cherry (Prunus avium) Supplementation on the Fecal Microbiota, Metabolic Endotoxemia, and Intestinal Permeability in Obese Subjects: A Single-Blind Randomized Trial. Food Funct. 2024, 15, 9563–9578. [Google Scholar] [CrossRef] [PubMed]
- John, O.D.; Mouatt, P.; Prasadam, I.; Xiao, Y.; Panchal, S.K.; Brown, L. The Edible Native Australian Fruit, Davidson’s Plum (Davidsonia Pruriens), Reduces Symptoms in Rats with Diet-Induced Metabolic Syndrome. J. Funct. Foods 2019, 56, 204–215. [Google Scholar] [CrossRef]
- Lynch, J.B.; Gonzalez, E.L.; Choy, K.; Faull, K.F.; Jewell, T.; Arellano, A.; Liang, J.; Yu, K.B.; Paramo, J.; Hsiao, E.Y. Gut Microbiota Turicibacter Strains Differentially Modify Bile Acids and Host Lipids. Nat. Commun. 2023, 14, 3669. [Google Scholar] [CrossRef] [PubMed]
- Zhu, L.; Cao, F.; Hu, Z.; Zhou, Y.; Guo, T.; Yan, S.; Xie, Q.; Xia, X.; Yuan, H.; Li, G.; et al. Cyanidin-3-O-Glucoside Alleviates Alcoholic Liver Injury via Modulating Gut Microbiota and Metabolites in Mice. Nutrients 2024, 16, 694. [Google Scholar] [CrossRef]
- Li, H.; Zhang, M.; Tan, T.; Li, S.; Mi, J.; Lu, L.; Yan, Y.; Ran, L. Anthocyanins from Lycium ruthenicum Murray Prevent High-Fat Diet-Induced Obesity in Female Mice via Gut Microbiota-Related Bile Acids Metabolism. Nat. Prod. Commun. 2024, 19, 1934578X241246678. [Google Scholar] [CrossRef]
- Zogona, D.; Zongo, A.W.-S.; Elkhedir, A.E.; Salah, M.; Tao, M.; Li, R.; Wu, T.; Xu, X. Red Raspberry Supplementation Mitigates Alcohol-Induced Liver Injury Associated with Gut Microbiota Alteration and Intestinal Barrier Dysfunction in Mice. Food Funct. 2023, 14, 1209–1226. [Google Scholar] [CrossRef]
- Chen, J.; Shu, Y.; Chen, Y.; Ge, Z.; Zhang, C.; Cao, J.; Li, X.; Wang, Y.; Sun, C. Evaluation of Antioxidant Capacity and Gut Microbiota Modulatory Effects of Different Kinds of Berries. Antioxidants 2022, 11, 1020. [Google Scholar] [CrossRef]
- Wang, H.; Liu, D.; Ji, Y.; Liu, Y.; Xu, L.; Guo, Y. Dietary Supplementation of Black Rice Anthocyanin Extract Regulates Cholesterol Metabolism and Improves Gut Microbiota Dysbiosis in C57BL/6J Mice Fed a High-Fat and Cholesterol Diet. Mol. Nutr. Food Res. 2020, 64, 1900876. [Google Scholar] [CrossRef] [PubMed]
- Pan, P.; Lam, V.; Salzman, N.; Huang, Y.-W.; Yu, J.; Zhang, J.; Wang, L.-S. Black Raspberries and Their Anthocyanin and Fiber Fractions Alter the Composition and Diversity of Gut Microbiota in F-344 Rats. Nutr. Cancer 2017, 69, 943–951. [Google Scholar] [CrossRef]
- Li, J.; Wu, T.; Li, N.; Wang, X.; Chen, G.; Lyu, X. Bilberry Anthocyanin Extract Promotes Intestinal Barrier Function and Inhibits Digestive Enzyme Activity by Regulating the Gut Microbiota in Aging Rats. Food Funct. 2019, 10, 333–343. [Google Scholar] [CrossRef]
- Verediano, T.A.; Stampini Duarte Martino, H.; Dias Paes, M.C.; Tako, E. Effects of Anthocyanin on Intestinal Health: A Systematic Review. Nutrients 2021, 13, 1331. [Google Scholar] [CrossRef] [PubMed]
- Barra, N.G.; Anhê, F.F.; Cavallari, J.F.; Singh, A.M.; Chan, D.Y.; Schertzer, J.D. Micronutrients Impact the Gut Microbiota and Blood Glucose. J. Endocrinol. 2021, 250, R1–R21. [Google Scholar] [CrossRef]
- Callahan, B.J.; McMurdie, P.J.; Rosen, M.J.; Han, A.W.; Johnson, A.J.A.; Holmes, S.P. DADA2: High-Resolution Sample Inference from Illumina Amplicon Data. Nat. Methods 2016, 13, 581–583. [Google Scholar] [CrossRef] [PubMed]
- Wang, Q.; Garrity, G.M.; Tiedje, J.M.; Cole, J.R. Naïve Bayesian Classifier for Rapid Assignment of rRNA Sequences into the New Bacterial Taxonomy. Appl. Env. Microbiol. 2007, 73, 5261–5267. [Google Scholar] [CrossRef]
- Quast, C.; Pruesse, E.; Yilmaz, P.; Gerken, J.; Schweer, T.; Yarza, P.; Peplies, J.; Glöckner, F.O. The SILVA Ribosomal RNA Gene Database Project: Improved Data Processing and Web-Based Tools. Nucleic Acids Res. 2012, 41, D590–D596. [Google Scholar] [CrossRef] [PubMed]
- Cassol, I.; Ibañez, M.; Bustamante, J.P. Key Features and Guidelines for the Application of Microbial Alpha Diversity Metrics. Sci. Rep. 2025, 15, 622. [Google Scholar] [CrossRef] [PubMed]
- Plantinga, A.M.; Wu, M.C. Beta Diversity and Distance-Based Analysis of Microbiome Data. In Statistical Analysis of Microbiome Data; Datta, S., Guha, S., Eds.; Springer International Publishing: Cham, Switzerland, 2021; pp. 101–127. ISBN 978-3-030-73351-3. [Google Scholar]
- Douglas, G.M.; Maffei, V.J.; Zaneveld, J.R.; Yurgel, S.N.; Brown, J.R.; Taylor, C.M.; Huttenhower, C.; Langille, M.G. PICRUSt2 for Prediction of Metagenome Functions. Nat. Biotechnol. 2020, 38, 669–673. [Google Scholar] [CrossRef] [PubMed]
- Caspi, R.; Altman, T.; Billington, R.; Dreher, K.; Foerster, H.; Fulcher, C.A.; Holland, T.A.; Keseler, I.M.; Kothari, A.; Kubo, A.; et al. The MetaCyc Database of Metabolic Pathways and Enzymes and the BioCyc Collection of Pathway/Genome Databases. Nucl. Acids Res. 2014, 42, D459–D471. [Google Scholar] [CrossRef]











| Duodenum | Jejunum | Ileum | Colon | |||||||||
|---|---|---|---|---|---|---|---|---|---|---|---|---|
| Inflammation | Thickness | Vascularization | Inflammation | Thickness | Vascularization | Inflammation | Thickness | Vascularization | Inflammation | Thickness | Vascularization | |
| Control | 0 ± 0 a | 0 ± 0 a | 0.250 ± 0.452 a | 0 ± 0 a | 0 ± 0 a | 0.083 ± 0.289 a | 0 a ± 0 a | 0 ± 0 a | 0 ± 0 a | 0 ± 0 a | 0 ± 0 a | 0 ± 0 a |
| 0% CJ | 0 ± 0 a | 0.250 ± 0.452 a | 0.583 ± 0.515 a | 0 ± 0 a | 0.083 ± 0.289 a | 0.167 ± 0.389 a | 0 a ± 0 a | 0.083 ± 0.289 a | 0.083 ± 0.289 a | 0 ± 0 a | 0 ± 0 a | 0 ± 0 a |
| 24% CJ | 0 ± 0 a | 0.333 ± 0.492 a | 0.833 ± 0.389 a | 0 ± 0 a | 0.167 ± 0.389 a | 0.083 ± 0.389 a | 0 a ± 0 a | 0 ± 0 a | 0.083 ± 0.289 a | 0 ± 0 a | 0 ± 0 a | 0.083 ± 0.289 a |
| 44% CJ | 0.083 ± 0.289 a | 0.250 ± 0.452 a | 0.750 ± 0.452 a | 0 ± 0 a | 0.083 ± 0.289 a | 0.167 ± 0.452 a | 0 a ± 0 a | 0 ± 0 a | 0.083 ± 0.289 a | 0 ± 0 a | 0 ± 0 a | 0 ± 0 a |
| −19% CJ | 0 ± 0 a | 0.417 ± 0.515 a | 0.583 ± 0.515 a | 0 ± 0 a | 0.083 ± 0.289 a | 0.167 ± 0.389 a | 0 ± 0 a | 0 ± 0 a | 0 ± 0 a | 0 ± 0 a | 0 ± 0 a | 0 ± 0 a |
| −31% CJ | 0 ± 0 a | 0.333 ± 0.667 a | 0.492 ± 0.492 a | 0 ± 0 a | 0.083 ± 0.289 a | 0.167 ± 0.389 a | 0 ± 0 a | 0 ± 0 a | 0.333 ± 0.492 a | 0 ± 0 a | 0 ± 0 a | 0 ± 0 a |
| All minerals | K | ||||||||||||
|---|---|---|---|---|---|---|---|---|---|---|---|---|---|
| R2 | zo | a | p-Value | b | p-Value | R2 | zo | a | p-Value | b | p-Value | ||
| Group 1 | Colidextribacter | 0.74 | 3.893 | 7.12 × 10−4 | 0.748 | 3.64 × 10−3 | 0.177 | 0.73 | 3.892 | 1.171 × 10−3 | 0.599 | 3.318 × 10−3 | 0.183 |
| Oscillibacter | 0.475 | 4.061 | 6.76 × 10−4 | 0.865 | 3.80 × 10−3 | 0.360 | 0.47 | 4.06 | 1.159 × 10−3 | 0.767 | 3.447 × 10−3 | 0.368 | |
| Group 2 | Turicibacter | 0.96 | 3.782 | −3.29 × 10−3 | 0.042 | −2.36 × 10−3 | 0.0467 | 0.96 | 3.782 | −3.588 × 10−3 | 0.036 | −2.157 × 10−3 | 0.071 |
| Romboutsia | 0.80 | 2.902 | −3.53 × 10−3 | 0.277 | −3.73 × 10−3 | 0.231 | 0.79 | 2.902 | −4.00 × 10−3 | 0.228 | −3.395 × 10−3 | 0.238 | |
| Enterorhabdus | 0.70 | 2.536 | −1.02 × 10−3 | 0.513 | −1.90 × 10−3 | 0.250 | 0.69 | 2.537 | −1.258 × 10−3 | 0.423 | −1.730 × 10−3 | 0.257 | |
| Bifidobacterium | 0.56 | 3.674 | −2.96 × 10−3 | 0.511 | −3.44 × 10−3 | 0.423 | 0.55 | 3.675 | −3.393 × 10−3 | 0.448 | −3.131 × 10−3 | 0.427 | |
| Group 3 | Dubosiella | 0.603 | 3.077 | −1.13 × 10−2 | 0.224 | 3.81 × 10−3 | 0.590 | 0.60 | 3.075 | −1.086 × 10−2 | 0.227 | 3.455 × 10−3 | 0.595 |
| Acetatifactor | 0.88 | 3.244 | −7.41 × 10−4 | 0.644 | 4.63 × 10−3 | 0.067 | 0.87 | 3.244 | −1.615 × 10−4 | 0.916 | 4.234 × 10−3 | 0.071 | |
| A2 (Lachnospiraceae) | 0.60 | 3.492 | −6.84 × 10−3 | 0.246 | 4.48 × 10−3 | 0.368 | 0.60 | 3.491 | −6.272 × 10−3 | 0.266 | 4.074 × 10−3 | 0374 | |
| Ruminococcus | 0.82 | 3.45 | −2.24 × 10−3 | 0.281 | 4.26 × 10−3 | 0.094 | 0.81 | 3.450 | −1.709 × 10−3 | 0.377 | 3.889 × 10−3 | 0.099 | |
| Intestinimonas | 0.475 | 3.797 | −1.58 × 10−3 | 0.671 | 3.97 × 10−3 | 0.311 | 0.46 | 3.796 | −1.075 × 10−3 | 0.764 | 3.602 × 10−3 | 0.319 | |
| Group 4 | Ligilactobacillus | 0.61 | 2.765 | 3.46 × 10−3 | 0.552 | −7.86 × 10−3 | 0.222 | 0.59 | 2.767 | 2.464 × 10−3 | 0.658 | −7.145 × 10−3 | 0.230 |
| Properties | Juice Identification | |||||
|---|---|---|---|---|---|---|
| Initial Juice * | EDFM 3 h Enriched Juice | EDFM 6 h Enriched Juice | EDFM 3 h Raw Juice | EDFM 6 h Raw Juice | ||
| Anthocyanin (mg/L) | Cyanidin-3-galactoside | 40.99 ± 0.25 a** | 51.88 ± 1.11 b** | 59.34 ± 2.29 c** | 33.2 ± 0.66 d** | 28.3 ± 0.66 e** |
| Cyanidin-3-glucoside | 1.4 ± 0.11 a | 1.69 ± 0.06 b | 1.96 ± 0.1 c | 1.12 ± 0.02 d | 0.99 ± 0.03 d | |
| Cyanidin-3-arabinoside | 40.20 ± 0.43 a | 50.6 ± 1.17 b | 57.87 ± 2.48 c | 32.45 ± 0.67 d | 27.69 ± 0.67 e | |
| Peonidin-3-galactoside | 60.29 ± 0.49 a** | 75.64 ± 1.6 b** | 86.37 ± 3.32 c** | 49.08 ± 0.93 d** | 42.12 ± 1.04 e** | |
| Peonidin-3-glucoside | 7.26 ± 0.26 a | 9.07 ± 0.27 b | 10.57 ± 0.27 c | 6.03 ± 0.13 d | 5.33 ± 0.29 e | |
| Peonidin-3-arabinoside | 30.95 ± 0.20 a** | 38.75 ± 0.89 b** | 44.37 ± 1.90 c** | 25.18 ± 0.50 d** | 21.61 ± 0.49 e** | |
| Proanthocyanidins (mg/L) | Monomers | 29.30 ± 2.83 a** | 31.54 ± 1.14 a** | 33.03 ± 2.07 a** | 28.08 ± 3.02 a** | 29.43 ± 5.65 a** |
| 2–3 mers | 88.42 ± 1.08 a | 90.45 ± 3.0 a | 88.93 ± 0.98 a | 88.89 ± 3.16 a | 89.14 ± 2.52 a | |
| 4–5 mers | 15.49 ± 0.32 a | 15.61 ± 0.89 a | 15.04 ± 0.32 a | 16.08 ± 1.09 a | 15.47 ± 0.52 a | |
| 6–7 mers | 4.30 ± 0.23 a | 4.42 ± 0.67 a | 3.75 ± 0.6 a | 4.56 ± 0.59 a | 3.91 ± 0.35 a | |
| >7 mers | 0.00 ± 0.00 a | 0.00 ± 0.00 a | 0.00 ± 0.00 a | 0.00 ± 0.00 a | 0.00 ± 0.00 a | |
| Minerals (mg/L) | Ca | 52.72 ± 0.21 a | 60.56 ± 2.78 b | 57.16 ± 0.45 b | 20.77 ± 1.20 c | 11.25 ± 0.99 d |
| Cu | 0.12 ± 0.00 abc*** | 0.16 ± 0.01 a*** | 0.19 ± 0.01 b*** | 0.10 ± 0.00 a*** | 0.08 ± 0.01 c*** | |
| K | 681.82 ± 2.98 a | 414.61 ± 20.67 b | 195.80 ± 20.76 c | 174.61 ±12.92 c | 78.87 ± 6.22 d | |
| Mg | 36.15 ± 0.07 a | 47.18 ± 3.18 b | 50.92 ± 2.21 b | 14.56 ± 0.92 c | 7.66 ± 0.73 d | |
| Na | 11.84 ± 0.15 a | 9.55 ± 0.43 b | 6.82 ± 0.33 c | 3.92 ± 0.3 d | 1.98 ± 0.15 e | |
| P | 35.89 ± 0.22 a** | 23.52 ± 0.29 b** | 18.58 ± 1.14 c** | 28.75 ± 0.55 d** | 24.25 ± 2.23 b** | |
| Group Identification | ||||||
|---|---|---|---|---|---|---|
| A | B | C | D | E | F | |
| % Anthocyanin enrichment | Water (control group) | 0 ± 0 | 26 ± 4 | 44 ± 5 | −19 ± 1 | −31 ± 3 |
| % Global demineralization | 0 ± 0 | −32 ± 3 | −60 ± 3 | −70 ± 2 | −85 ± 1 | |
Disclaimer/Publisher’s Note: The statements, opinions and data contained in all publications are solely those of the individual author(s) and contributor(s) and not of MDPI and/or the editor(s). MDPI and/or the editor(s) disclaim responsibility for any injury to people or property resulting from any ideas, methods, instructions or products referred to in the content. |
© 2025 by the authors. Licensee MDPI, Basel, Switzerland. This article is an open access article distributed under the terms and conditions of the Creative Commons Attribution (CC BY) license (https://creativecommons.org/licenses/by/4.0/).
Share and Cite
Revellat, E.; Dupont-Morissette, J.; V. Varin, T.; Pilon, G.; Marette, A.; Bazinet, L. Coupled Impact of Anthocyanin and Mineral Concentrations in Cranberry Juice on Gut Microbiota and Function Modulation: A First Demonstration. Molecules 2025, 30, 3986. https://doi.org/10.3390/molecules30193986
Revellat E, Dupont-Morissette J, V. Varin T, Pilon G, Marette A, Bazinet L. Coupled Impact of Anthocyanin and Mineral Concentrations in Cranberry Juice on Gut Microbiota and Function Modulation: A First Demonstration. Molecules. 2025; 30(19):3986. https://doi.org/10.3390/molecules30193986
Chicago/Turabian StyleRevellat, Eva, Joanie Dupont-Morissette, Thibault V. Varin, Geneviève Pilon, André Marette, and Laurent Bazinet. 2025. "Coupled Impact of Anthocyanin and Mineral Concentrations in Cranberry Juice on Gut Microbiota and Function Modulation: A First Demonstration" Molecules 30, no. 19: 3986. https://doi.org/10.3390/molecules30193986
APA StyleRevellat, E., Dupont-Morissette, J., V. Varin, T., Pilon, G., Marette, A., & Bazinet, L. (2025). Coupled Impact of Anthocyanin and Mineral Concentrations in Cranberry Juice on Gut Microbiota and Function Modulation: A First Demonstration. Molecules, 30(19), 3986. https://doi.org/10.3390/molecules30193986

