Next Article in Journal
Study on the Propulsion Characteristics of a Flapping Flat-Plate Pumping Device
Previous Article in Journal
Numerical Simulation Study on the Volumetric Efficiency Loss of CO2 Swash Plate Axial Piston Pumps
 
 
Font Type:
Arial Georgia Verdana
Font Size:
Aa Aa Aa
Line Spacing:
Column Width:
Background:
Article

Investigation of the Electrodialysis of Sodium Tungstate Solutions for the Production of Tungstic Acid

by
Adelya Dauletbakova
*,
Bolotpay Baimbetov
*,
Yeleussiz Tazhiyev
and
Gulnara Moldabayeva
Department of Metallurgy and Mineral Processing, Non-Profit Joint Stock Company (NJSC) Kazakh National Research Technical University Named K.I. Satbayev, Almaty 050013, Kazakhstan
*
Authors to whom correspondence should be addressed.
Appl. Sci. 2025, 15(13), 7033; https://doi.org/10.3390/app15137033
Submission received: 19 May 2025 / Revised: 11 June 2025 / Accepted: 17 June 2025 / Published: 22 June 2025

Abstract

Industrial technologies for processing tungsten concentrates using soda roasting or autoclave leaching are based on the production of alkaline sodium tungstate solutions that contain impurities such as silicon, phosphorus, arsenic, and others. The purification of these solutions from impurities requires the neutralization of excess soda or alkali with inorganic acids, which leads to the formation of chloride and sulfate effluents that are subsequently discharged into waste repositories. An analysis was carried out on existing methods for the production and processing of sodium tungstate solutions using HNO3 and NH3, as well as extraction and sorption techniques involving anion exchange resins. Currently, processes such as nanofiltration, reverse osmosis, and electrodialysis are being applied for water purification and the treatment of sulfate and chloride effluents. These processes employ various types of industrially manufactured membranes. For the purpose of electrodialysis, a two-compartment electrodialyzer setup was employed using cation-exchange membranes of the MK-40 (Russia) and EDC1R (China) types. The composition and structure of sodium tungstate, used as the starting reagents, were analyzed. Based on experiments conducted on a laboratory-scale unit with continuous circulation of the catholyte and anolyte, dependencies of various parameters on current density and process duration were established. Stepwise changes in the anolyte pH were recorded, indirectly confirming changes in the composition of the Na2WO4 solution, including the formation of polytungstates of variable composition and the production of H2WO4 via electrodialysis at pH < 2. The resulting tungstic acid solutions were also analyzed. The conducted studies on the processing of sodium tungstate solutions using electrodialysis made it possible to obtain alkaline solutions and tungstic acid at a current density of 500–1500 A/m2, without the use of acid for neutralization. Yellow tungstic acid was obtained from the tungstic acid solution by evaporation.

1. Introduction

The primary method for processing tungsten raw materials in countries such as China [1,2], Russia [3,4], the Democratic Republic of the Congo, Canada, and the USA [5] is the roasting of concentrates with Na2CO3 followed by the leaching of the calcined product. Another widely used method is the autoclave leaching of the concentrate with an alkaline solution to produce soluble sodium tungstate (Na2WO4) [6]. Further processing of the sodium tungstate solution [7,8,9] involves the sequential removal of impurities through the formation of insoluble compounds, which are subsequently separated by filtration. In China and Russia, this method [2,8] is the main approach used for extracting tungsten from ores containing molybdenum and other metals.
The conventional scheme for processing sodium tungstate solutions [10,11] includes the following stages:
Sequential removal of sodium salt impurities, such as silicon, phosphorus, molybdenum, arsenic, and additional silicon;
Precipitation of calcium tungstate (CaWO4, synthetic scheelite) [12], followed by acid decomposition of the precipitate to produce H2WO4;
Dissolution of tungstic acid in aqueous ammonia [7,13], evaporation of the resulting solution, and crystallization of ammonium paratungstate (APT) [14,15,16];
The final stage of the process involves the calcination of ammonium paratungstate to obtain high-purity tungsten trioxide.
Ammonium paratungstate can also be directly recovered from sodium tungstate solutions via extraction [17] or ion-exchange conversion of Na2WO4 solutions into (NH4)2WO4. In [18], the authors present results on the processing of sodium tungstate solutions obtained by the autoclave leaching of wolframite concentrate with soda. The study investigated parameters such as solution acidity, type of mineral acid, and the presence of complexing and seeding agents. The sodium tungstate solution was acidified with concentrated nitric acid in a molar ratio of HNO3:W = 12:1. The use of nitric acid enables a high degree of tungsten precipitation in the temperature range of 75–95 °C.
In [19], a technology for processing tungsten-containing waste with subsequent production of sodium tungstate solutions is presented. The waste underwent mechanical treatment and was leached with the addition of sodium hydroxide. The productive solution was then directed to the impurity removal stage. The sorption process was carried out using the anion exchanger MP–62, followed by washing with nitric acid, while extraction purification was performed using an ammonia solution.
The study [20] describes a method for investigating the sorption recovery of tungsten from tungsten-containing solutions using a flocculant (polyacrylamide) and the anion exchanger AV–17–8 in a ratio of 1:8 (ion exchanger to solution) in pressure sorption columns.
In the work by the authors [21,22], a method is described for obtaining sodium tungstate by smelting a charge composed of wolframite, Na2CO3, and SiO2 at a temperature of 1100–1300 °C. After smelting, sodium tungstate was separated from the slag, which contained excess sodium oxide, flux, and unreacted wolframite. The slag was additionally subjected to leaching to extract the remaining sodium tungstate. The resulting product contained 78% WO3 and was presumed to be subsequently directed for electrolysis.
In industrial processing, tungsten concentrates are sintered with sodium carbonate (Na2CO3), followed by the aqueous leaching of the sintered mass. This yields alkaline sodium tungstate (Na2WO4) solutions containing 110–150 g/L WO3 and exhibiting a high pH in the range of 12–14 [11].
Tungstic acid (H2WO4) can be directly precipitated from sodium tungstate solutions via acidification with mineral acids such as hydrochloric or nitric acid, according to the following reactions:
Na2WO4 + 2HCl → H2WO4 + 2NaCl
Na2WO4 + 2HNO3 → H2WO4 + 2NaNO3
Despite the apparent simplicity of these reactions, this method is seldom employed industrially due to significant challenges in removing residual sodium ions from the precipitate. The presence of sodium in the final tungsten trioxide product must be strictly limited, complicating purification.
More commonly, calcium tungstate (CaWO4) is initially precipitated by introducing a calcium chloride (CaCl2) solution at elevated temperatures (80–90 °C), resulting in the formation of a fine white crystalline precipitate:
Na2WO4 + CaCl2 → CaWO4↓ + 2NaCl
The CaWO4 precipitate, typically obtained as a pulp or paste, is subsequently decomposed by hydrochloric acid at approximately 90 °C:
CaWO4 + 2HCl → H2WO4 + CaCl2
According to stoichiometric calculations, the production of 249.85 kg of tungstic acid requires approximately 73 kg of hydrochloric acid. Furthermore, the actual acid consumption often exceeds this amount due to the necessity of neutralizing residual sodium carbonate (Na2CO3) or sodium hydroxide (NaOH), which are present in solutions derived from roasting and autoclave leaching technologies, respectively.
The use of inorganic acids in tungstic acid production also leads to the generation of significant volumes of saline effluents (e.g., NaCl or Na2SO4), contributing to environmental pollution and necessitating costly wastewater treatment processes.
The aim of the present study was to investigate the feasibility of producing tungstic acid from sodium tungstate solutions via a membrane-based electrodialysis process. This approach employs insoluble platinum anodes and cation exchange membranes, offering a potential alternative that eliminates the need for mineral acids and avoids the formation of saline waste streams. The specific objectives included the selection of suitable ion-exchange membranes and electrode materials, as well as the evaluation of key electrodialysis parameters and their effects on process efficiency and product quality.
Electrodialysis is currently widely applied in technologies for the decomposition and concentration of aluminate solutions [23,24], the processing of binary solutions containing sodium and zinc [25,26], the treatment of industrial wastewater and seawater desalination [27,28], the removal of nickel ions from solutions [29], and the recovery of acids and alkalis from sodium sulfate solutions [30].
One study [31] focused on exploring the electrodialysis behavior of sodium tungstate solutions, describing an experimental method for removing impurities from these solutions. The author proposes conducting electrodialysis of Na2WO4 in a two-compartment electrodialyzer using a cation-exchange membrane to separate the anode and cathode chambers. This investigation was carried out with small quantities of sodium tungstate to determine the fundamental feasibility of producing tungstic acid via electrodialysis.

2. Materials and Methods

Sodium tungstate solutions were prepared using the reagent Na2WO4·2H2O (sodium tungstate dihydrate) of analytical grade, in accordance with standard 18289–78 [32], with the composition shown in Table 1.
Sodium tungstate (Na2WO4) is a white powder, soluble in water, and may contain impurities such as N, SO4, Cl, Fe, Mo, As, and Pb not exceeding 0.01%. The density at a concentration of 38% and a temperature of 20 °C is 3.00 g/cm3. The pH value is between 9 and 11. The electrical conductivity of the sodium tungstate solution depends on the concentration and temperature of the solution. For a solution with a concentration of 0.1 mol/L, the conductivity is 0.01–0.1 S/m [33].
According to literature sources, the formation of sodium paratungstates in solutions is possible during the electrodialysis process.
Sodium paratungstate is an inorganic substance, a complex salt of sodium and tungstic acid with the formula Na5[HW6O21]. Under normal conditions, it is a white crystalline substance, soluble in water, and poorly soluble in organic solvents. A crystalline hydrate with the formula Na5[HW6O21]·13.5H2O exists and is stable in air [33].
The initial reagent Na2WO4·2H2O was analyzed using an X-ray diffractometer X, Pert MPD PRO (PANalytical, Singapore), and JED–2300 AnalysisStation JEOL (Singapore). The results of the analyses are shown in Figure 1.
A simplified scheme of an electrochemical cell (Figure 2) was used to carry out the electrodialysis of sodium tungstate solutions for the purpose of producing tungstic acid and regenerating the NaOH solution.
The electrodialyzer unit was constructed from rectangular plates and frames made of plexiglass. The installation parameters of the electrodialyzer are shown in Table 2.
Cation-exchange membranes of the MK-40 (Russia) [34] and EDC1R (China) [35] brands were used. According to the manufacturers, the electrical resistance of the membranes is Ravg = 10.0 Ω∙cm2 for MK-40 and Ravg = 5.0 Ω∙cm2 for EDC1R.
Figure 3 shows the electrodialyzer setup with the solution circulation and pH control of the resulting tungstic acid (H2WO4) solution.
The pH of the anolyte solution was measured using the HANNA HI 2213 pH/ORP Meter (Singapore). The circulation speed of the electrolytes was regulated by the power supply voltage of the membrane pumps and the electrolyte levels in the pressure vessels. The density of the Na2WO4 (H2WO4) and NaOH solutions was measured using the digital densitometer D6 Excellence.
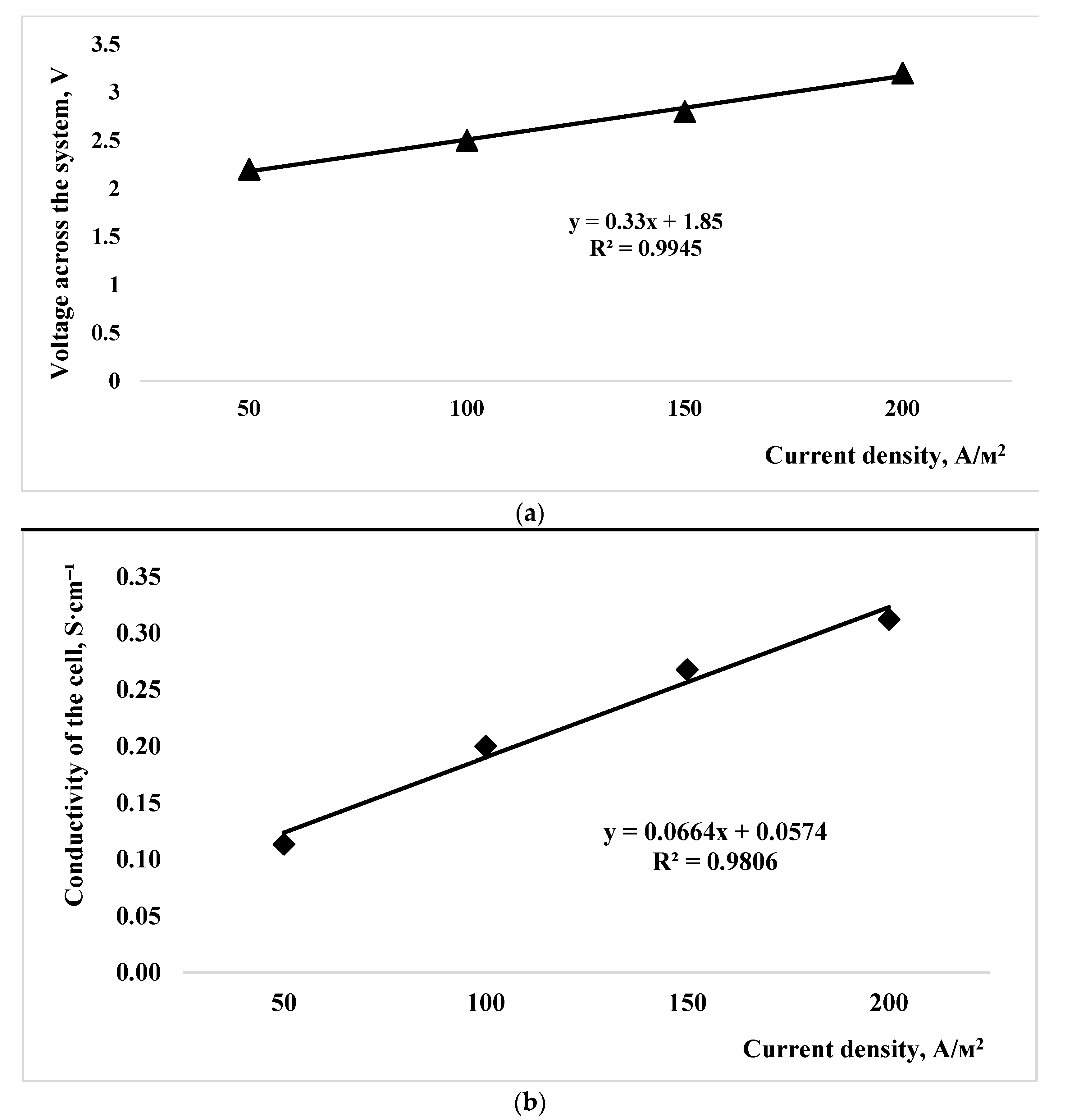
Figure 4 shows the dependencies of the voltage at the electrodialysis unit and the electrical conductivity of the cell on the current density from 50 to 200 A/m2.
Electrodialysis was carried out with the current density at the electrodes as follows: cathodic current density d(k) ranging from 25.51 to 523.56 A/m2 and anodic current density d(a) ranging from 50 to 1333.33 A/m2. The graphs show that as the current increases, the voltage across the electrodialysis system and the conductivity of the solutions consistently rise.
The volumes of solutions in the pressure vessels for the cathodic and anodic compartments were V(Na2WO4) = 500–600 mL and V(NaOH) = 500–600 mL, with the circulation rate of the solutions in the chambers ranging from 5 to 8 L/hour.
Experiments on the electrodialysis of sodium tungstate solutions were carried out using the method of probabilistically deterministic experiment planning [36] (an analog of Desing Expert 7.0). The following process factors were taken into account: duration, current density, and concentration of Na2WO4. The temperature of the solution, the circulation rate, the pH of the solution, and the density of tungstate and alkali solutions were monitored. The accepted significance level is 0.05 or a 95% confidence probability of the results.

3. Results and Discussion

The schemes of a multi-chamber electrodialyzer employing cation-exchange, anion-exchange, and bipolar membranes are primarily used for water desalination [37]. These configurations are also applicable for the concentration of salt solutions such as NaCl, Na2SO4, and others, where salts dissociate in water to form mobile cations and anions.
However, this conventional multi-chamber electrodialyzer design—with ion-selective and bipolar membranes—is not suitable for the electrodialysis of sodium tungstate solutions. In alkaline media (pH > 8), sodium tungstate undergoes dissociation according to the following reaction scheme:
Na2WO4 = 2Na+ + WO42−
During the dissociation of sodium tungstate, mobile Na+ ions and relatively immobile WO42− ions are formed. Moreover, as the pH of the solution decreases, polyoxotungstates (polytungstates) begin to form. In a multi-chamber system, the equivalent transfer of WO42− anions through the anion-exchange membrane does not occur efficiently, and the observed current is largely attributed to the migration and discharge of H3O+ and OH ions at the electrodes.
The overall reaction for the production of tungstic acid via electrodialysis from a sodium tungstate solution can be represented by the following equation:
2Na2WO4 + 6H2O = 4NaOH + 2H2WO4 + O2(g) + 2H2(g)
According to the literature [38], the speciation and degree of polymerization of tungstate ions in solution depend strongly on the pH of the medium:
Sequential removal of sodium salt impurities, such as silicon, phosphorus, molybdenum, arsenic, and additional silicon;
In alkaline solutions up to pH ≈ 8, normal (monomeric) tungstate ions predominate;
In the pH range from 8 to approximately 6, hexatungstate ions (HW6O215−) are formed;
With a further decrease in pH, particularly in highly dilute solutions, the monohydrogen hexatungstate ion (HW6O215−) is converted into the trihydrogen form (H3W6O213−);
Upon the gradual neutralization of alkaline sodium tungstate solutions to pH ≈ 5, a precipitate of sodium paratungstate (Na10W12O41·28H2O) is formed;
Normal alkaline tungstates are highly soluble, whereas paratungstates exhibit significantly lower solubility;
At pH < 4, metatungstate aquapolyions are formed, typically with a Me2O:WO3 ratio of 1:4 (e.g., Na2W2O7). The number of coordinated water molecules in isopoly and heteropoly tungstate species varies depending on temperature and concentration, which in turn influences the physicochemical properties of the resulting salts.
Figure 5 illustrates the variation in the acidity of the anolyte during the electrodialysis of a sodium tungstate solution with an initial concentration of 135 g/L, carried out at an anodic current density of 666.7 A/m2.
As seen from the pH of the sodium tungstate solution in Figure 5, distinct regions of stepwise changes in composition can be identified, which are consistent with previously reported data. The final segment of the curve, corresponding to the pH decrease from 4.0 to 1.42, reflects the progressive removal of sodium ions from metatungstate species such as Na2WO7 and the subsequent formation of hydrated compounds, including WO3·2H2O or H2WO4·H2O (commonly referred to as white tungstic acid).
At elevated solution temperatures above 30 °C, further dehydration leads to the formation of WO3·H2O or H2WO4 (yellow tungstic acid). At low current densities, the temperature of the circulating anolyte and catholyte remained between 25 and 28 °C, resulting in the formation of a gel-like white tungstic acid. In contrast, higher current densities led to electrolyte heating above 30–35 °C, promoting the formation of dispersed particles of yellow tungstic acid.
Furthermore, during sodium ion removal from solutions containing Na2WO7-type compounds, the transient formation of intermediate hydrated tungstate species, such as H2WO7, is also possible.
Figure 6 shows that as sodium ions are removed from the anolyte and the pH of the sodium tungstate solution decreases pH to the formation of polyoxotungstates and tungstic acid in the pH range of 8 to 7—the resistance of the electrodialysis cell increases. This is attributed to a reduction in the electrical conductivity of the tungstate solution.
As the acidity further increases, with the pH decreasing from approximately 7 to 1.42, the cell resistance decreases in a stepwise manner. This also supports the occurrence of compositional changes in the anolyte during the electrodialysis process.
One of the key indicators determining the feasibility of using the electrodialysis of sodium tungstate solutions for tungstic acid production and for reducing the consumption of inorganic acids in tungsten processing technologies is the energy consumption per unit mass of tungstate.
Based on the results of electrodialysis experiments conducted at various current densities, the dependence shown in Figure 7 was obtained.
With an increase in both anode and cathode current densities above 200 A/m2, the specific energy consumption per unit mass of sodium tungstate increases significantly. At the same time, the proportion of energy directed toward the electrode reactions—namely, the formation of tungstic acid and oxygen in the anode compartment, and alkali and hydrogen in the cathode compartment—decreases from 61.5–69.4% to 24.8–30.3%. As the current density rises, electrical losses due to heat generation and electrolyte heating also increase.
Process efficiency can be enhanced by reducing the interelectrode gap and implementing bipolar electrolyzers equipped with titanium electrodes featuring unilateral platinum coating. However, scaling up the process is limited by the available size of platinum-coated electrodes. Currently, insoluble titanium-based anodes with a platinum layer thickness of 1 to 2.5 microns and plate dimensions ranging from 50 × 100 mm to 310 × 500 mm are manufactured in the Russian Federation.
The resulting tungstic acid solutions were evaporated in a SNOL drying oven at a temperature of 120 °C to obtain solid precipitates of tungstic acid and sodium paratungstate. A photograph of the obtained samples is presented in Figure 8.
The phase composition of the tungstic acid powders was analyzed using an X-ray diffractometer X’Pert MPD PRO (PANalytical) and a JED-2300 Analysis Station (JEOL).
The results of the structural and elemental analyses are presented in Figure 9 and Figure 10.
During the electrodialysis of sodium tungstate solutions at pH 4–5, a small amount of insoluble white precipitate of sodium paratungstate may form. A micrograph and corresponding spectrogram of this compound are presented in Figure 10. Sodium paratungstate is separated from the tungstic acid solution by filtration.

4. Conclusions

Existing technologies for the production and processing of sodium tungstate solutions are accompanied by the use of a significant number of auxiliary reagents, including ammonia, sulfuric acid, hydrochloric acid, nitric acid, and anionites, which complicates the technological process and leads to the formation of sulfate and chloride effluents.
Currently, membrane technologies of electrodialysis, cations, and anions are increasingly being used for water and wastewater treatment. However, the scheme of a multi-chamber electrodialyzer with ion-selective and bipolar membranes is not applicable for the electrodialysis of solutions of sodium tungstate, which in alkaline solutions forms mobile Na+ cations and sedentary WO42− anions, and when the pH of the solution decreases, polyvolframates are formed.
In a multi-chamber apparatus, there is no transfer of an equivalent amount of WO42− anions through the anion exchange membrane, and the magnitude of the flowing current is due to the discharge of H3O+ and OH anions at the cathode. This work uses a two-chamber electrodialysis unit with solution circulation and anolyte pH control, with separation of cathode and anode volumes by MK–40 (RF) and EDC1R (PRC) cation exchange membranes.
A characteristic feature is the dependence of the pH change in the sodium tungstate solution on the duration of the process; the curve exhibits distinct regions of stepwise compositional changes, corresponding to the formation of intermediate polyoxotungstate species, which is consistent with previously reported data.
At low current densities, the temperature of the circulating anolyte and catholyte remained within 25–28 °C, resulting in the formation of a gel-like white tungstic acid. In contrast, at higher current densities, the electrolytes were heated to temperatures exceeding 30–35 °C, leading to the formation of dispersed particles of yellow tungstic acid.
The electrodialysis of sodium tungstate solutions for the production of tungstic acid offers a significant reduction in the consumption of inorganic acids typically required for the neutralization and purification of alkaline solutions.
Process efficiency can be further improved by reducing the interelectrode gap and employing bipolar electrolyzers equipped with titanium electrodes featuring unilateral platinum coating. However, the scalability of the process is currently constrained by the available size of platinum-coated electrodes. In the Russian Federation, insoluble titanium-based plates are produced with platinum layer thickness ranging from 1 to 2.5 microns and plate dimensions ranging from 50 × 100 mm to 310 × 500 mm.

Author Contributions

Conceptualization, A.D. and B.B.; data curation, Y.T.; formal analysis, A.D.; investigation, A.D. and B.B.; methodology, G.M.; project administration, Y.T.; resources, G.M.; software, Y.T.; visualization, A.D. and B.B.; writing—original draft, B.B.; writing—review and editing, A.D. and B.B. All authors have read and agreed to the published version of the manuscript.

Funding

The research was carried out within the framework of grant funding from the Science Committee of the Ministry of Science and Higher Education of the Republic of Kazakhstan for 2023–2025 in the priority area “Rational use of natural resources, including water resources, geology, processing, new materials and technologies, safe products and structures” project No. AP19677216 “Research and development of technologies, equipment for electrodialysis of solutions of tungstate, sodium sulfate with the regeneration of alkalis, acids”.

Institutional Review Board Statement

Not applicable.

Informed Consent Statement

Not applicable.

Data Availability Statement

The original contributions presented in the study are included in the article; further inquiries can be directed to the corresponding authors.

Conflicts of Interest

The authors declare that the research was conducted in the absence of any commercial or financial relationships that could be construed as potential conflicts of interest.

References

  1. Tang, L.; Wang, P.; Graedel, T.E.; Pauliuk, S.; Xianga, K.; Ren, Y.; Chen, W.-Q. Refining the understanding of China’s tungsten dominance with dynamic material cycle analysis. Resour. Conserv. Recycl. 2020, 158, 104829. [Google Scholar] [CrossRef]
  2. Wang, X.; Qin, W.; Jiao, F.; Dong, L.; Guo, J.; Zhang, J.; Yang, C. Review of tungsten resource reserves, tungsten concentrate production and tungsten beneficiation technology in China. Trans. Nonferrous Met. Soc. China 2022, 32, 2318–2338. [Google Scholar] [CrossRef]
  3. Khatkov, V.Y.; Boyarko, G.Y. The current state of the Russian tungsten industry. Proceedings of Tomsk Polytechnic University. Georesource Eng. 2019, 330, 124–137. [Google Scholar] [CrossRef]
  4. Kraydenko, R.I.; Perederin, Y.V.; Filatov, D.S.; Manucharyan, A.B.; Karpov, A.G.; Vasilishin, M.S. Tungsten mining technology: The current state of technology. Polzunovsky Bull. 2015, 2, 135–139. [Google Scholar]
  5. Tungsten–2020 U.S. Geological Survey Minerals Yearbook. Available online: https://pubs.usgs.gov/myb/vol1/2020/myb1-2020-tungsten.pdf (accessed on 5 May 2025).
  6. Zaitsev, V.P.; Markin, O.V.; Kholkin, A.I.; Chudinov, E.G.; Bobkov, A.V.; Kuznetsov, I.P. The Method of Processing Solutions of Sodium Tungstate. RF Patent No. 96123057/25, 20 January 1998. [Google Scholar]
  7. Belsky, S.S. Processing of scheelite concentrate to produce tungsten trioxide. Bulletin 2015, 12, 204–208. [Google Scholar]
  8. Peganov, V.A.; Shatalov, V.V.; Molchanov, T.V.; Medvedev, A.S.; Molchanov, S.A.; Adosik, G.M.; Kursinov, I.; Popov, G.; Mikhailovsky, V.G. Method of Hydrometallurgical Processing of Tungsten Concentrates. RF Patent No. 98123867/02, 28 December 1998. [Google Scholar]
  9. Bogacheva, L.M.; Akbarov, U.; Ismatov, H.R.; Pirmatov, E.A.; Sidyakin, V.V.; Edunov, I.A. Method of Purification of Sodium Tungstate Solutions from Impurities. USSR Patent No. 4722840/02, 30 January 1992. [Google Scholar]
  10. Baimbetov, B.; Moldabayeva; Yeleuliyeva, A.; Jumankulova, S.; Taimassova, A.; Adilzhan, Z.; Baisultanov, R.; Yakob, E.; Serikbayev, V. Prospects of Processing Tungsten Ores from the Akchatau Deposit. Processes 2024, 12, 77. [Google Scholar] [CrossRef]
  11. Zelikman, A.N.; Korshunov, B.G. Metallurgy of rare metals. In Textbook for Universities, 2nd Edition, Revised and Expanded; Metallurgiya: Moscow, Russia, 1991; 432p, Available online: https://reallib.org/reader?file=412937 (accessed on 10 March 2025).
  12. Sipenko, A.V.; Sotnikov, A.A. Research on the decomposition of artificial scheelite by sintering with ammonium chloride. Notes Min. Inst. 2009, 181, 158–160. [Google Scholar]
  13. Verevkin, G.V.; Kulmukhamedov, G.K. Method of Obtaining Ammonium Paravolframate. RF Patent No. 96122224/02, 9 October 1998. [Google Scholar]
  14. Doronin, A.V. Method of Obtaining Pure Tungstic Acid. Patent of the Russian Federation No. 2014135710/02, 9 February 2014. [Google Scholar]
  15. Zhang, L.; Shen, L.; Zhou, Q.; Qi, T.; Peng, Z.; Liu, G.; Li, X. Green and low-carbon preparation of ammonium paratungstate by adding ammonia to ammonium metatungstate solution. Hydrometallurgy 2023, 2221, 106196. [Google Scholar] [CrossRef]
  16. Erdoğan, M.; Karakaya, İ. Electrochemical Reduction of Tungsten Compounds to Produce Tungsten Powder. Metall. Mater. Trans. B 2010, 41, 798–804. [Google Scholar] [CrossRef]
  17. Orefice, M.; Nguyen, V.T.; Raiguel, S.; Jones, P.T.; Binnemans, K. Solvometallurgical Process for the Recovery of Tungsten from Scheelite. Ind. Eng. Chem. Res. 2022, 61, 754–764. [Google Scholar] [CrossRef]
  18. Shoinbaev, A.T. Processing of sodium tungstate solutions obtained after leaching of sintering products of tungstite concentrate with sodium carbonate. Izvestiya NAS RK 2006, 4, 72–77. [Google Scholar]
  19. Mirzaev, D.; Parmanova, S.T.; Ulugova, D.G. Processing of Tungsten-About a Year of Waste to Equalize the Content of Obtaining Tungsten. Universum: Technical Sciences: Electronic. Scientific Chide. 2023, Volume 10, pp. 19–21. Available online: https://7universum.com/ru/tech/archive/item/16175 (accessed on 10 March 2025).
  20. Chegrintsev, S.N.; Dyachenko, A.N.; Kraydenko, R.I. Sorption extraction of tungsten from a solution of sodium tungstate. Chem. Interests Sustain. Dev. 2013, 21, 345–348. Available online: https://www.elibrary.ru/title_about_new.asp?id=7582 (accessed on 13 March 2025).
  21. Xu, L.; Zhao, B. A Fundamental Study on the Preparation of Sodium Tungstate from Wolframite via the Smelting Process. Metals 2024, 14, 299. [Google Scholar] [CrossRef]
  22. Xiao, L.; Wang, W.; Zhang, Q.; Gong, B.; Cao, J. Electrode selection of electrolysis with membrane for sodium tungstate solution. J. Cent. South Univ. Technol. 1999, 6, 107–110. [Google Scholar] [CrossRef]
  23. Vasiunina, N.; Dubova, I.; Druzhinin, K.; Ghilmanshina, T. Processing of Sludge Water from Alumina Production by Electrodialysis. Ecol. Ind. Russia 2024, 28, 28–32. [Google Scholar] [CrossRef]
  24. Melnikov, S.S.; Mugtamov, O.A.; Zabolotsky, V.I. Study of electrodialysis concentration process of inorganic acids and salts for the two-stage conversion of salts into acids utilizing bipolar electrodialysis. Sep. Purif. Technol. 2020, 235, 116198. [Google Scholar] [CrossRef]
  25. Kemerovo, M.A. Electrodialysis of a binary solution containing sodium and zinc ions using MK-100 M membranes. Electron. Process. Mater. 2019, 55, 73–78. [Google Scholar] [CrossRef]
  26. Sadyrbaeva, T.J. Electrodialysis extraction of zinc (II) by liquid membranes based on di-(2-ethylhexyl) phosphoric acid. Electrochemistry 2019, 55, 609–618. [Google Scholar] [CrossRef]
  27. Dzhubari, M.K.; Alekseeva, N.V. Efficiency of electrodialysis in industrial wastewater treatment. Bull. Technol. Univ. 2020, 23, 33–39. [Google Scholar]
  28. Krasnova, T.A. The Experience of Using Electrodialysis for Processing Wastewater from Organic Industries. Sorpt. Chromatogr. Process. 2012, 12, 419–427. Available online: http://www.chem.vsu.ru/sorbcr/images/pdf/2012/3/2012_03_12.pdf (accessed on 13 March 2025).
  29. Gonova, V. Experimental investigation of the purification of solutions from nickel ions by electrodialysis. Modern high-tech technologies. Reg. Appl. 2023, 73, 37–41. [Google Scholar] [CrossRef]
  30. Niftaliev, S.I.; Kozaderova, O.A.; Kim, K.B.; Velho, F. The use of electrodialysis to produce acid and alkali from a concentrated solution of sodium sulfate. Bull. Voronezh State Univ. Eng. Technol. 2014, 4, 175–178. [Google Scholar] [CrossRef]
  31. Islamov, K.B. Research and Modeling of the Electrodialysis Process of Sodium Tungstate Solutions: Dis. Mr. of Technical Sciences. 06/08/2022/Islamov K.B., Almaty, 2022; 88p. Available online: https://official.satbayev.university/download/document/25720/2022%20%D0%9C%D0%90%D0%93%20%D0%98%D1%81%D0%BB%D0%B0%D0%BC%D0%BE%D0%B2%20%D0%9A.%D0%91..pdf (accessed on 4 April 2025).
  32. Standard 18289-78; The State Standard of the USSR. Reagents. Sodium Tungstate Is 2-Aqueous. Publishing House of Standards: Moscow, Russia, 1979. Available online: https://files.stroyinf.ru/Data2/1/4294834/4294834827.pdf (accessed on 4 April 2025).
  33. Zefirov, N.S.; Knunyants, I.L.; Kulov, N.N. (Eds.) Chemical Encyclopedia; Soviet Encyclopedia: Moscow, Russia, 1988; Volume 1, 625p, Available online: https://www.geokniga.org/books/10851 (accessed on 22 April 2025).
  34. Shokhakimova, A.A. Study of heterogeneous cation exchange membranes based on inert polymers Universum: Technical sciences: Electron. Sci. J. 2022, 1, 39–42. Available online: https://7universum.com/ru/tech/archive/item/12989 (accessed on 22 April 2025).
  35. Wang, W.; Zhang, Y.; Yang, X.; Sun, H.; Wu, Y.; Shao, L. Monovalent Cation Exchange Membranes with Janus Charged Structure for Ion Separation. Engineering 2023, 25, 204–213. [Google Scholar] [CrossRef]
  36. Malyshev, V.P. Probabilistic Deterministic Experiment Planning; Nauka: Almaty, Kazakhstan, 1981; p. 115. [Google Scholar]
  37. Komarova, L.F.; Somin, V.A.; Lapshin, D.A. Desalination of groundwater using membrane technologies. Polzunovskiy Vestnik. 2023, 1, 200–206. [Google Scholar] [CrossRef]
  38. Chemistry and Technology of Rare and Scattered Elements. Part III. Edited by K.A. Bolshakov. Textbook for Universities. 2nd Edition, Revised. and Additional M., “Higher School”. 1976; 320p. Available online: https://djvu.online/file/MtJa8NuNRaVvc (accessed on 22 April 2025).
Figure 1. Images of Na2WO4·2H2O obtained using X-ray diffractometer X (a) and spectrum from JED-2300 AnalysisStation JEOL (b).
Figure 1. Images of Na2WO4·2H2O obtained using X-ray diffractometer X (a) and spectrum from JED-2300 AnalysisStation JEOL (b).
Applsci 15 07033 g001
Figure 2. Diagram of a 2-compartment electrodialyzer.
Figure 2. Diagram of a 2-compartment electrodialyzer.
Applsci 15 07033 g002
Figure 3. Electrodialysis setup for Na2WO4 solution (a) and diagram of the experimental setup (b). 1—Pressure vessel for NaOH solution; 2—Pressure vessel for Na2WO4 solution; 3—Recirculation vessel for NaOH solution with H2 separation; 4—Recirculation vessel for Na2WO4 solution with O2 separation; 5—Two-section electrodialyzer; 6—Power supply with current and voltage control; 7—Membrane pumps; 8—Electronic power supply switches; 9—Electronic level sensors; 10—Power supply units for pumps; 11—pH meter.
Figure 3. Electrodialysis setup for Na2WO4 solution (a) and diagram of the experimental setup (b). 1—Pressure vessel for NaOH solution; 2—Pressure vessel for Na2WO4 solution; 3—Recirculation vessel for NaOH solution with H2 separation; 4—Recirculation vessel for Na2WO4 solution with O2 separation; 5—Two-section electrodialyzer; 6—Power supply with current and voltage control; 7—Membrane pumps; 8—Electronic power supply switches; 9—Electronic level sensors; 10—Power supply units for pumps; 11—pH meter.
Applsci 15 07033 g003
Figure 4. Dependence of the voltage (a) and cell conductivity (b) on the current density electrodia-ysis.
Figure 4. Dependence of the voltage (a) and cell conductivity (b) on the current density electrodia-ysis.
Applsci 15 07033 g004
Figure 5. Change in the pH of the tungstate solution from the duration of electrodialysis at da = 666.7 A/m2.
Figure 5. Change in the pH of the tungstate solution from the duration of electrodialysis at da = 666.7 A/m2.
Applsci 15 07033 g005
Figure 6. Dependence of solution pH on total cell resistance of electrodialysis at da = 666.7 A/m2.
Figure 6. Dependence of solution pH on total cell resistance of electrodialysis at da = 666.7 A/m2.
Applsci 15 07033 g006
Figure 7. Dependence of energy consumption during electrodialysis of Na2WO4 on anodic current density.
Figure 7. Dependence of energy consumption during electrodialysis of Na2WO4 on anodic current density.
Applsci 15 07033 g007
Figure 8. Photographs of solid samples obtained by evaporating tungstic acid solutions at 120 °C: yellow tungstic acid and sodium paratungstate.
Figure 8. Photographs of solid samples obtained by evaporating tungstic acid solutions at 120 °C: yellow tungstic acid and sodium paratungstate.
Applsci 15 07033 g008
Figure 9. X-ray diffraction pattern of tungstic acid obtained using the X’Pert MPD PRO diffractoter (a), and energy-dispersive X-ray spectrogram obtained with the JED-2300 Analysis Station (JEOL) (b).
Figure 9. X-ray diffraction pattern of tungstic acid obtained using the X’Pert MPD PRO diffractoter (a), and energy-dispersive X-ray spectrogram obtained with the JED-2300 Analysis Station (JEOL) (b).
Applsci 15 07033 g009
Figure 10. X-ray diffraction pattern of the insoluble sodium paratungstate precipitate obtained using the X’Pert MPD PRO diffractometer (a), and energy-dispersive X-ray spectrogram acquired with the JED-2300 Analysis Station (JEOL) (b).
Figure 10. X-ray diffraction pattern of the insoluble sodium paratungstate precipitate obtained using the X’Pert MPD PRO diffractometer (a), and energy-dispersive X-ray spectrogram acquired with the JED-2300 Analysis Station (JEOL) (b).
Applsci 15 07033 g010
Table 1. Composition of the initial sodium tungstate.
Table 1. Composition of the initial sodium tungstate.
Indicator NameMass %
Mass fraction of Na2WO4·2H2O, %, not less than99.0
Mass fraction of water-insoluble substances, %, not more than0.01
Mass fraction of nitrogen (N) from nitrates, nitrites, etc., %, not more than0.01
Mass fraction of sulfates (SO4), %, not more than0.01
Mass fraction of chlorides (Cl), %, not more than0.003
Mass fraction of iron (Fe), %, not more than0.0005
Mass fraction of molybdenum (Mo), %, not more than0.002
Mass fraction of arsenic (As), %, not more than0.0005
Mass fraction of heavy metals (Pb), %, not more than0.001
pH of a 5% solution of the reagent8–10
Table 2. Parameters of the electrodialyzer unit.
Table 2. Parameters of the electrodialyzer unit.
ParameterUnitValue
External dimensions of the cellmm100 × 180 × 8
Internal dimensions of the cellmm70 × 140 × 8
Cathode—stainless steelmm100 × 182 × 1
Effective surface area of the cathodecm298
Surface area of the cation-exchange membranecm298
Surface area of the platinized anodecm250
Distance from cathode to membranecm2.0
Volume of the cathode compartmentmL98
Distance from anode to membranecm2.0
Volume of the anode compartmentmL98
Disclaimer/Publisher’s Note: The statements, opinions and data contained in all publications are solely those of the individual author(s) and contributor(s) and not of MDPI and/or the editor(s). MDPI and/or the editor(s) disclaim responsibility for any injury to people or property resulting from any ideas, methods, instructions or products referred to in the content.

Share and Cite

MDPI and ACS Style

Dauletbakova, A.; Baimbetov, B.; Tazhiyev, Y.; Moldabayeva, G. Investigation of the Electrodialysis of Sodium Tungstate Solutions for the Production of Tungstic Acid. Appl. Sci. 2025, 15, 7033. https://doi.org/10.3390/app15137033

AMA Style

Dauletbakova A, Baimbetov B, Tazhiyev Y, Moldabayeva G. Investigation of the Electrodialysis of Sodium Tungstate Solutions for the Production of Tungstic Acid. Applied Sciences. 2025; 15(13):7033. https://doi.org/10.3390/app15137033

Chicago/Turabian Style

Dauletbakova, Adelya, Bolotpay Baimbetov, Yeleussiz Tazhiyev, and Gulnara Moldabayeva. 2025. "Investigation of the Electrodialysis of Sodium Tungstate Solutions for the Production of Tungstic Acid" Applied Sciences 15, no. 13: 7033. https://doi.org/10.3390/app15137033

APA Style

Dauletbakova, A., Baimbetov, B., Tazhiyev, Y., & Moldabayeva, G. (2025). Investigation of the Electrodialysis of Sodium Tungstate Solutions for the Production of Tungstic Acid. Applied Sciences, 15(13), 7033. https://doi.org/10.3390/app15137033

Note that from the first issue of 2016, this journal uses article numbers instead of page numbers. See further details here.

Article Metrics

Back to TopTop