Sign in to use this feature.

Years

Between: -

Subjects

remove_circle_outline
remove_circle_outline
remove_circle_outline
remove_circle_outline
remove_circle_outline
remove_circle_outline
remove_circle_outline
remove_circle_outline
remove_circle_outline

Journals

remove_circle_outline
remove_circle_outline
remove_circle_outline
remove_circle_outline
remove_circle_outline

Article Types

Countries / Regions

remove_circle_outline
remove_circle_outline
remove_circle_outline
remove_circle_outline

Search Results (698)

Search Parameters:
Keywords = residue number system

Order results
Result details
Results per page
Select all
Export citation of selected articles as:
21 pages, 3861 KB  
Article
A Five-Year Field Investigation of Conservation Tillage on Soil Hydrothermal Regimes and Crop Yield Stability in Semi-Arid Agroecosystems
by Fahui Jiang, Jia Xu, Hao Zhang, Chunlei Hao, Wei Zheng, Yanyan Zuo, Liyan Zhang, Zhe Dong, Limei Bian, Yuhan Yao, Yanhua Ci, Qinglin Li and Fansheng Meng
Agriculture 2026, 16(3), 312; https://doi.org/10.3390/agriculture16030312 - 27 Jan 2026
Abstract
The sustainable management of Northern China’s vulnerable agro-pastoral ecotone requires a clearer understanding of how tillage systems affect crop productivity through local soil-climate interactions. Therefore, this study was conducted to quantify and compare the long term effects of different tillage practices on soil [...] Read more.
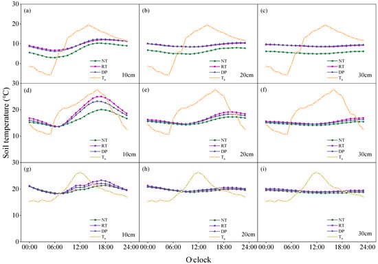
The sustainable management of Northern China’s vulnerable agro-pastoral ecotone requires a clearer understanding of how tillage systems affect crop productivity through local soil-climate interactions. Therefore, this study was conducted to quantify and compare the long term effects of different tillage practices on soil hydrothermal regimes, resource use efficiency, and maize yield stability in a semi-arid agroecosystem. A long term five-year field experiment with maize was conducted in this ecotone to assess three tillage methods: no tillage (NT), deep ploughing (DP), and conventional rotary tillage (RT). Seasonal monitoring included soil moisture, temperature, bulk density, and straw cover. Analyses focused on soil water use efficiency (WUE), the production efficiency per soil thermal unit (PEsoil), and pathways affecting theoretical calculated yield. Results show that relative to RT and DP, NT consistently elevated soil water content within the 0–30 cm profile during the growing season, with the most marked increases from pre-sowing to the V12 stage. This water-conserving effect was stronger in wet years, highlighting the role of precipitation in NT’s performance. DP also retained more soil water than RT, particularly in deeper layers, though its effect was less pronounced than NT’s. Regarding temperature, NT lowered the daily mean soil temperature and accumulated growing degree days (GDD) in early growth phases, a result of residue cover buffering thermal changes. Despite reduced heat accumulation, NT achieved the greatest efficiencies for both heat and water use (PEsoil and WUE), showing increases of 62.03% and 16.64% over RT, respectively, without yield penalty. Key mechanisms include permanent straw mulch under NT, which curtails evaporation, promotes water infiltration, and stabilizes soil structure, thereby modulating hydrothermal dynamics. Structural equation modeling indicated that soil water content, ear number per hectare, and hundred-kernel weight directly and positively determined final yield. Tillage methods exerted indirect effects on yield by modifying soil physical traits and microclimatic conditions. In this semi-arid setting, both NT and DP outperformed RT in conserving soil water, moderating soil temperature, and boosting resource use efficiency. These practices present viable strategies for strengthening crop resilience and sustaining productivity amid climatic variability. Full article
Show Figures

Graphical abstract

12 pages, 1222 KB  
Review
Enterocyte Autoantibodies (GECAs) and HLA: Their Relationship with HIV Infection Pathogenesis
by Antonio Arnaiz-Villena, Tomas Lledo, Christian Vaquero-Yuste, Ignacio Juarez and Jose Manuel Martin-Villa
Int. J. Mol. Sci. 2026, 27(3), 1254; https://doi.org/10.3390/ijms27031254 - 27 Jan 2026
Abstract
The significance of gut epithelial cell autoantibodies (GECAs), human leukocyte antigen (HLA) alleles, and other scientifically relevant factors has been largely overlooked, despite their potential importance in the medical management of HIV-infected individuals, in understanding the pathogenesis of AIDS, and in improving epidemiological [...] Read more.
The significance of gut epithelial cell autoantibodies (GECAs), human leukocyte antigen (HLA) alleles, and other scientifically relevant factors has been largely overlooked, despite their potential importance in the medical management of HIV-infected individuals, in understanding the pathogenesis of AIDS, and in improving epidemiological and diagnostic approaches. This review may be considered as a hypothesis-driven narrative paper mostly considering GECAs and some easily detectable genetic markers. Thus, the aim is to highlight these neglected medical and scientific issues. Addressing them may contribute to a deeper understanding of HIV pathology at both the individual and population levels. Autoantibodies against enterocytes (GECAs) are present in the majority of HIV-positive patients. These intestinal epithelial cells are crucial for nutrient absorption and because of their role as antigen-presenting cells (APCs) within the immune system. Furthermore, the number of CD4-positive lymphocytes depends largely on daily antigenic stimulation rather than on thymic function, which becomes residual or inactive after puberty. The fall of CD4+ lymphocyte counts observed in HIV-infected patients may therefore be exacerbated by enterocyte dysfunction/damage, as indicated by the presence of GECAs. These autoantibodies either cause or reflect damage to these important antigen-presenting cells, which may impair intestinal antigen presentation by their surface HLA proteins to the clonotypic T-cell receptor of lymphocytes. Additionally, the association between specific HLA alleles and a CCR5 variant affects HIV disease progression or transmission and should be considered in both adults and mother–infant pairs. In particular, HLA-B35 and HLA-B57 allelic groups have been implicated in influencing both the transmission and progression of HIV infection. Moreover, several aspects of the natural history of HIV infection remain unresolved and controversial, and these issues warrant urgent clarification. For instance, diagnostic tests are not yet standardised globally, and viral abundance in HIV-infected individuals or AIDS patients’ cells may be relatively low. In summary, the neglected facets of HIV infection demand renewed investigation, particularly now that an HIV diagnosis is no longer the devastating prognosis it once was. The objective of this work is to emphasise additional factors that may influence the course of AIDS, such as enterocyte injury reflected by presence of GECAs. Ultimately, we propose that GECAs may impair enterocytes’ HLA (MHC II)-mediated antigen presentation by enterocytes to CD4+ T lymphocytes (through T-cell receptors), thereby diminishing T-cell proliferation, reducing CD4+ cell numbers, and impairing immune function. Full article
Show Figures

Figure 1

17 pages, 12498 KB  
Article
Wavefront Fitting over Arbitrary Freeform Apertures via CSF-Guided Progressive Quasi-Conformal Mapping
by Tong Yang, Chengxiang Guo, Lei Yang and Hongbo Xie
Photonics 2026, 13(1), 95; https://doi.org/10.3390/photonics13010095 - 21 Jan 2026
Viewed by 94
Abstract
In freeform optical metrology, wavefront fitting over non-circular apertures is hindered by the loss of Zernike polynomial orthogonality and severe sampling grid distortion inherent in standard conformal mappings. To address the resulting numerical instability and fitting bias, we propose a unified framework curve-shortening [...] Read more.
In freeform optical metrology, wavefront fitting over non-circular apertures is hindered by the loss of Zernike polynomial orthogonality and severe sampling grid distortion inherent in standard conformal mappings. To address the resulting numerical instability and fitting bias, we propose a unified framework curve-shortening flow (CSF)-guided progressive quasi-conformal mapping (CSF-QCM), which integrates geometric boundary evolution with topology-aware parameterization. CSF-QCM first smooths complex boundaries via curve-shortening flow, then solves a sparse Laplacian system for harmonic interior coordinates, thereby establishing a stable diffeomorphism between physical and canonical domains. For doubly connected apertures, it preserves topology by computing the conformal modulus via Dirichlet energy minimization and simultaneously mapping both boundaries. Benchmarked against state-of-the-art methods (e.g., Fornberg, Schwarz–Christoffel, and Ricci flow) on representative irregular apertures, CSF-QCM suppresses area distortion and restores discrete orthogonality of the Zernike basis, reducing the Gram matrix condition number from >900 to <8. This enables high-precision reconstruction with RMS residuals as low as 3×103λ and up to 92% lower fitting errors than baselines. The framework provides a unified, computationally efficient, and numerically stable solution for wavefront reconstruction in complex off-axis and freeform optical systems. Full article
(This article belongs to the Special Issue Freeform Optical Systems: Design and Applications)
Show Figures

Figure 1

16 pages, 449 KB  
Article
Diet-Driven Modulation of Antibiotic Resistance Genes and Microbial Risk During the Bioconversion of Agro-Industrial Residues by Hermetia illucens
by Vesna Milanović, Andrea Marcelli, Alessio Ilari, Giorgia Rampanti, Kofi Armah Boakye-Yiadom, Federica Cardinali, Andrea Osimani, Cristiana Garofalo, Ester Foppa Pedretti and Lucia Aquilanti
Sci 2026, 8(1), 11; https://doi.org/10.3390/sci8010011 - 8 Jan 2026
Viewed by 191
Abstract
Background: Hermetia illucens larvae provide a sustainable bioconversion pathway that transforms agro-industrial residues into protein- and nutrient-dense biomass and frass, suitable for animal feed and soil amendment, respectively. Nevertheless, the potential spread of antibiotic resistance (AR) genes and pathogenic microorganisms poses biosafety [...] Read more.
Background: Hermetia illucens larvae provide a sustainable bioconversion pathway that transforms agro-industrial residues into protein- and nutrient-dense biomass and frass, suitable for animal feed and soil amendment, respectively. Nevertheless, the potential spread of antibiotic resistance (AR) genes and pathogenic microorganisms poses biosafety concerns. This study examined the impact of four residue-based diet formulations; peas and chickpea (D1), peas and wheat (D2), onion and wheat (D3), and wheat with digestate (D4), on microbial safety during the bioconversion process. Methods: Enterococcus spp. (viable counts), Salmonella spp. (presence/absence), and 13 AR genes associated with resistance to tetracyclines, macrolide-lincosamide-streptogramin B, β-lactams, vancomycin, and aminoglycosides were quantified in single substrates, diets, larvae, and frass using qPCR. Results: Principal component analysis revealed diet-driven AR gene profiles. D1 lowered the levels of the greatest number of tested AR genes, particularly erm(B), tetracycline, and β-lactam genes in frass, as well as tet(O) and vanB in mature larvae. In contrast, D2 increased the AR gene levels in frass. All diets except D4 eliminated Salmonella spp. Enterococcus spp. loads varied by diet and larval stage, with D2 reducing counts in frass. Conclusions: Diet composition directly shapes microbial dynamics and AR gene dissemination, indicating that legume-based substrates may enhance biosafety in bioconversion systems. Full article
Show Figures

Figure 1

35 pages, 942 KB  
Article
Parametric Resonance, Arithmetic Geometry, and Adelic Topology of Microtubules: A Bridge to Orch OR Theory
by Michel Planat
Int. J. Topol. 2026, 3(1), 1; https://doi.org/10.3390/ijt3010001 - 7 Jan 2026
Viewed by 359
Abstract
Microtubules are cylindrical protein polymers that organize the cytoskeleton and play essential roles in intracellular transport, cell division, and possibly cognition. Their highly ordered, quasi-crystalline lattice of tubulin dimers, notably tryptophan residues, endows them with a rich topological and arithmetic structure, making them [...] Read more.
Microtubules are cylindrical protein polymers that organize the cytoskeleton and play essential roles in intracellular transport, cell division, and possibly cognition. Their highly ordered, quasi-crystalline lattice of tubulin dimers, notably tryptophan residues, endows them with a rich topological and arithmetic structure, making them natural candidates for supporting coherent excitations at optical and terahertz frequencies. The Penrose–Hameroff Orch OR theory proposes that such coherences could couple to gravitationally induced state reduction, forming the quantum substrate of conscious events. Although controversial, recent analyses of dipolar coupling, stochastic resonance, and structured noise in biological media suggest that microtubular assemblies may indeed host transient quantum correlations that persist over biologically relevant timescales. In this work, we build upon two complementary approaches: the parametric resonance model of Nishiyama et al. and our arithmetic–geometric framework, both recently developed in Quantum Reports. We unify these perspectives by describing microtubules as rectangular lattices governed by the imaginary quadratic field Q(i), within which nonlinear dipolar oscillations undergo stochastic parametric amplification. Quantization of the resonant modes follows Gaussian norms N=p2+q2, linking the optical and geometric properties of microtubules to the arithmetic structure of Q(i). We further connect these discrete resonances to the derivative of the elliptic L-function, L(E,1), which acts as an arithmetic free energy and defines the scaling between modular invariants and measurable biological ratios. In the appended adelic extension, this framework is shown to merge naturally with the Bost–Connes and Connes–Marcolli systems, where the norm character on the ideles couples to the Hecke character of an elliptic curve to form a unified adelic partition function. The resulting arithmetic–elliptic resonance model provides a coherent bridge between number theory, topological quantum phases, and biological structure, suggesting that consciousness, as envisioned in the Orch OR theory, may emerge from resonant processes organized by deep arithmetic symmetries of space, time, and matter. Full article
Show Figures

Figure 1

20 pages, 1448 KB  
Review
Valorization and Environmental Impacts of Pecan Waste: A Critical Review
by Jean Louis Yannick Omotonoko, Michael Polozola, Andrej Svyantek and Zhuoyu Wang
Foods 2026, 15(1), 168; https://doi.org/10.3390/foods15010168 - 4 Jan 2026
Viewed by 459
Abstract
Pecan (Carya illinoinensis) cultivation generates a substantial number of byproducts, particularly nutshells, which are often discarded despite being rich in bioactive and structural compounds. These agro-industrial residues, comprising nearly 50% of the total nut mass, contain high levels of phenolics, flavonoids, [...] Read more.
Pecan (Carya illinoinensis) cultivation generates a substantial number of byproducts, particularly nutshells, which are often discarded despite being rich in bioactive and structural compounds. These agro-industrial residues, comprising nearly 50% of the total nut mass, contain high levels of phenolics, flavonoids, dietary fiber, and lignocellulosic matter, making them suitable for circular economy applications. This review critically evaluates the potential of pecan shell waste for value-added applications in environmental remediation, food and pharmaceutical formulations, and green materials production. It explores innovative green extraction techniques, such as ultrasound-assisted, microwave-assisted, and subcritical water extraction, to recover valuable compounds like ellagic acid and tannins with high efficiency and minimal environmental impact. Moreover, the review highlights the conversion of pecan shells into activated carbon for wastewater treatment and soil remediation. Pecan byproducts have been used as sustainable feedstocks for catalyst support, contributing to energy conversion and biomass catalysis. The bioactive compounds also offer therapeutic properties, including antioxidant, anti-inflammatory, and antimicrobial effects, supporting their inclusion in nutraceutical and cosmetic applications. Through a comprehensive synthesis of recent studies, this work highlights the role of pecan shell valorization in reducing waste, improving public health, and increasing economic resilience within agro-industrial systems. By aligning with sustainable development and circular economies, the utilization of pecan byproducts provides a low-cost, eco-innovative pathway to mitigate environmental pollution and promote sustainable development. Full article
Show Figures

Figure 1

17 pages, 8870 KB  
Article
Sulfide Production and Microbial Dynamics in the Water Reinjection System from an Offshore Oil-Producing Platform
by Vitória da Silva Pereira Domingues, Maira Paula de Sousa, Vinicius Waldow, Rubens Akamine, Lucy Seldin and Diogo Jurelevicius
Microorganisms 2026, 14(1), 38; https://doi.org/10.3390/microorganisms14010038 - 23 Dec 2025
Viewed by 312
Abstract
In addition to seawater in the injection header (IH) to enhance oil recovery, oil companies reuse produced water (PW), a byproduct of oil extraction, and implement produced water reinjection systems (PWRI). Although the microorganisms in IH are controlled by biocides, PW is generally [...] Read more.
In addition to seawater in the injection header (IH) to enhance oil recovery, oil companies reuse produced water (PW), a byproduct of oil extraction, and implement produced water reinjection systems (PWRI). Although the microorganisms in IH are controlled by biocides, PW is generally treated by flotation to remove oil residues before PWRI. However, IH, PW, and PWRI can be sources of sulfate-reducing bacteria (SRB) related to oil reservoir souring. Here, we evaluated hydrogen sulfide (H2S) production in IH, PW, and PWRI, as well as the microbial dynamics (most probable number–MPN, quantitative PCR, and amplicon sequencing), of a Brazilian oil reservoir. Results revealed that the highest average H2S concentration occurred in PW samples. However, the dissolved H2S threshold concentration of 2 mg L−1 was exceeded in 18% of PW and ~16% of PWRI samples, respectively. Although MPN showed no correlation between H2S and the number of SRB or total anaerobic heterotrophic bacteria (TAHB), qPCR and microbiome data revealed that the SRB Desulfobacterota was the most abundant in PW and PWRI. Overall, flotation was associated with (i) low microbial control in PW; and (ii) the enrichment of SRB (mainly Desulfobacterota), Thermotogota, and Proteobacteria groups in PWRI. Full article
(This article belongs to the Collection Feature Papers in Environmental Microbiology)
Show Figures

Figure 1

35 pages, 1045 KB  
Article
Increasing the Fault Tolerance of the Pseudo-Random Code Generator with Substitution–Permutation Network “Kuznechik” Transformation Through the Use of Residue Code
by Igor Anatolyevich Kalmykov, Alexandr Anatolyevich Olenev, Vladimir Vyacheslavovich Kopytov, Daniil Vyacheslavovich Dukhovnyj and Vladimir Sergeyevich Slyadnev
Appl. Sci. 2026, 16(1), 129; https://doi.org/10.3390/app16010129 - 22 Dec 2025
Viewed by 232
Abstract
The emergence and widespread use of low-orbit satellite communication systems has become one of the triggers for the development of the Internet of Vehicles (IoV) technology. The main goal of this integration was to increase the level of vehicle safety not only in [...] Read more.
The emergence and widespread use of low-orbit satellite communication systems has become one of the triggers for the development of the Internet of Vehicles (IoV) technology. The main goal of this integration was to increase the level of vehicle safety not only in cities and their suburbs but especially in remote areas of the country. Despite its effectiveness, satellite IoV remains susceptible to attacks on the radio channel. One of the effective ways to counter such attacks is to use wireless transmission systems with the Frequency-Hopping Spread Spectrum (FHSS) method. The effectiveness of FHSS systems largely depends on the operation of the pseudorandom code generator (PRCG), which is used to calculate the new operating frequency code (number). This generator must have the following properties. Firstly, it must have high cryptographic resistance to guessing a new operating frequency number by an attacker. Secondly, since this generator will be located on board the spacecraft, it must have high fault tolerance. The conducted studies have shown that substitution–permutation network “Kuznechik” (SPNK) meets these requirements. To ensure the property of resilience to failures and malfunctions, it is proposed to implement SPNK in codes of redundant residual class systems in polynomials (RCSP) using the isomorphism of the Chinese Remainder Theorem in polynomials. RCSP codes are an effective means of eliminating computation errors caused by failures and malfunctions. The aim of this work is to increase the fault tolerance of PRCG based on SPNK transformation by using the developed error correction algorithm, which has lower hardware and time costs for implementation compared to the known ones. The comparative analysis showed that the developed algorithm for error correction in RCSP codes provides higher fault tolerance of PRCG compared with other redundancy methods. Unlike the “2 out of 3” method of duplication, the developed algorithm ensures the operational state of PRCG not only when the first failure occurs but also during the subsequent second one. In the event of a third failure, RCSP is able to correct 73% of errors in the informational residues of code combination, while the “2 out of 3” duplication method makes it possible to fend off the consequences of only the first failure. Full article
Show Figures

Figure 1

38 pages, 5682 KB  
Review
Plant- and Animal-Derived Organic Waste as Fillers in Biodegradable Composites for Advanced Applications: A Comprehensive Overview
by Roberto Scaffaro, Francesco Paolo La Mantia, Giada Lo Re, Vincenzo Titone and Maria Clara Citarrella
Polymers 2026, 18(1), 22; https://doi.org/10.3390/polym18010022 - 22 Dec 2025
Viewed by 501
Abstract
Biodegradable polymeric composites reinforced with natural fillers represent one of the most promising routes toward low-impact, circular, and resource-efficient materials. In recent years, a growing number of studies have focused on the valorization of plant- and animal-derived organic waste, ranging from agricultural residues [...] Read more.
Biodegradable polymeric composites reinforced with natural fillers represent one of the most promising routes toward low-impact, circular, and resource-efficient materials. In recent years, a growing number of studies have focused on the valorization of plant- and animal-derived organic waste, ranging from agricultural residues and natural fibers to marine and livestock by-products. This review provides a comprehensive and comparative overview of these systems, analyzing the nature and origin of the waste-derived fillers, their pretreatments, processing strategies, and the resulting effects on mechanical, thermal, functional, and biodegradation properties. Particular attention is dedicated to the role of filler composition, morphology, and surface chemistry in governing interfacial adhesion and end-use performance across different polymeric matrices, including PLA, PCL, PBS, PHA, PHB, PBAT, and commercial blends such as Mater-Bi®. The emerging applications of these biocomposites, such as packaging, additive manufacturing, agriculture, biomedical uses, and environmental remediation, are critically discussed. Overall, this work provides fundamental insights to support the development of the next generation of biodegradable materials, enabling the sustainable valorization of organic waste within a circular-economy perspective. Full article
(This article belongs to the Special Issue Degradation and Stability of Polymer-Based Systems: 2nd Edition)
Show Figures

Graphical abstract

17 pages, 1748 KB  
Article
Experimental Study on Wavefront Distortion Correction in Atmospheric Turbulence Using Zernike-Wavelet Hybrid Basis
by Jingyuan Liang, Yilin Hao, Hui Li and Xizheng Ke
Appl. Sci. 2025, 15(24), 13207; https://doi.org/10.3390/app152413207 - 17 Dec 2025
Viewed by 242
Abstract
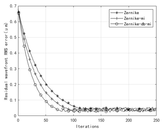
In adaptive optics systems, most methods rely on reconstruction techniques centered on regional or global orthogonal bases, which struggle to accommodate the multi-scale characteristics of atmospheric turbulence wavefronts. This paper adopts a hybrid basis wavefront reconstruction method based on mutual information sorting, combining [...] Read more.
In adaptive optics systems, most methods rely on reconstruction techniques centered on regional or global orthogonal bases, which struggle to accommodate the multi-scale characteristics of atmospheric turbulence wavefronts. This paper adopts a hybrid basis wavefront reconstruction method based on mutual information sorting, combining Zernike modes with Daubechies wavelet modes for mutual information calculation and sorting. The modes with the highest correlation are selected for reconstruction, effectively reducing the scale of the reconstruction matrix while considering both global and local features. The reconstruction results show that when the number of modes is 20, the root mean square (RMS) of the wavefront residual error of the hybrid basis reconstruction drops to 0.14 rad, outperforming 0.19 rad of the Zernike mutual information method and 0.33 rad of the Zernike expansion method. The peak-to-valley (PV) value after wavefront correction converges to 0.057 μm at the 39th iteration, demonstrating a faster convergence speed and smaller residual error; the RMS value converges to 0.027 μm at the 77th iteration after correction. Full article
Show Figures

Figure 1

15 pages, 1324 KB  
Article
Analysis of Passive Shielding Performance Stability in Hybrid Magnetic Shielding Devices
by Shicheng Yu, Jinji Sun, Haifeng Zhang, Bangcheng Han and Zhouqiang Yang
Appl. Sci. 2025, 15(24), 13173; https://doi.org/10.3390/app152413173 - 16 Dec 2025
Cited by 1 | Viewed by 331
Abstract
In hybrid active–passive magnetic shielding systems, active compensation coils are used to suppress residual magnetic fields inside the shield. However, due to the intrinsic hysteresis of high-permeability materials, the compensation fields inevitably magnetize the passive layers. This process introduces new and unpredictable remanent [...] Read more.
In hybrid active–passive magnetic shielding systems, active compensation coils are used to suppress residual magnetic fields inside the shield. However, due to the intrinsic hysteresis of high-permeability materials, the compensation fields inevitably magnetize the passive layers. This process introduces new and unpredictable remanent magnetization, paradoxically worsening the remanence stability during active compensation. This study systematically investigates and quantifies how the number of passive shielding layers affects remanence instability. A combined approach of theoretical analysis, finite-element simulations, and experimental validation is employed. The results reveal a key counter-intuitive finding: although adding more shielding layers enhances the static attenuation of external fields, it markedly amplifies the remanence instability induced by active compensation. Specifically, multi-layer shields exhibit larger remanence changes under identical compensation-field excitations. This finding reveals a previously overlooked performance trade-off and provides new design insights for ultra-high-precision shielding systems. These findings provide essential guidance for optimizing the design and operation of next-generation ultra-high-precision magnetic shielding devices and their applications in frontier areas such as fundamental physics and biomedicine. Full article
Show Figures

Figure 1

23 pages, 10826 KB  
Article
Microscopic Mechanism of Fracturing Fluid Flowback Regulated by Coal Bridge-Proppant Wettability Contrast
by Naiguo Wang, Feng Wang, Fengbao Dong, Jicheng Zhang, Xianfeng Li, Tiejing Zhu, Peng Wu, Xiucheng Wang, Youxun Cao, Jiaxuan Liu, Haotian Chu and Dakuan Xu
Symmetry 2025, 17(12), 2156; https://doi.org/10.3390/sym17122156 - 15 Dec 2025
Viewed by 218
Abstract
Fracturing is a key technology for developing deep coalbed methane, in which the wettability contrast between proppants and coal bridges significantly influences flowback efficiency. This study integrates in situ wettability measurements with phase-field simulations to analyze the mechanisms by which wettability contrast, proppant [...] Read more.
Fracturing is a key technology for developing deep coalbed methane, in which the wettability contrast between proppants and coal bridges significantly influences flowback efficiency. This study integrates in situ wettability measurements with phase-field simulations to analyze the mechanisms by which wettability contrast, proppant distribution, and capillary number affect microscale fracturing fluid flowback. The results indicate that: (1) Proppant spatial distribution governs displacement pathways, with the centralized aggregation pattern reducing residual saturation by 5.4% compared to the lateral aggregation pattern under the same capillary number; (2) under the centralized aggregation pattern, neutrally modified proppants lower residual saturation to 5.87%, representing a reduction of approximately 52.8% compared to the unmodified system; and (3) microscopic throat constraints and macroscopic symmetric placement work synergistically to alleviate retention heterogeneity and enhance flowback uniformity. Based on these findings, a dual-target optimization strategy of “neutral wettability modification of proppants + central symmetrical placement” is proposed, providing theoretical support for efficient flowback in deep coalbed methane wells. Full article
(This article belongs to the Section Engineering and Materials)
Show Figures

Figure 1

23 pages, 7184 KB  
Article
RAFF-AMACNet: Adaptive Multi-Rate Atrous Convolution Network with Residual Attentional Feature Fusion for Satellite Signal Recognition
by Leyan Chen, Bo Zang, Yi Zhang, Lin Li, Haitao Wei, Xudong Liu and Meng Wu
Sensors 2025, 25(24), 7514; https://doi.org/10.3390/s25247514 - 10 Dec 2025
Viewed by 362
Abstract
With the launch of an increasing number of satellites to establish complex satellite communication networks, automatic modulation recognition (AMR) plays a crucial role in satellite signal recognition and spectrum management. However, most existing AMR models struggle to handle signals in such complex satellite [...] Read more.
With the launch of an increasing number of satellites to establish complex satellite communication networks, automatic modulation recognition (AMR) plays a crucial role in satellite signal recognition and spectrum management. However, most existing AMR models struggle to handle signals in such complex satellite communication environments. Therefore, this paper proposes an adaptive multi-rate atrous convolution network with residual attentional feature fusion (RAFF-AMACNet) that employs the adaptive multi-rate atrous convolution (AMAC) module to adaptively extract and dynamically join more prominent multi-scale features, enhancing the model’s time-series context awareness and generating robust feature maps. On this basis, the pyramid backbone consists of multiple stacked residual attentional feature fusion (RAFF) modules, featuring a dual-attention collaborative mechanism designed to mitigate feature map shifts and increase the separation between feature clusters of different classes under significant Doppler effects and nonlinear influences. On our independently constructed RML24 dataset, a general-purpose dataset tailored for satellite cognitive radio systems, simulation results indicate that at a signal-to-noise ratio of 0 dB, the modulation recognition accuracy reaches 92.99%. Full article
Show Figures

Figure 1

17 pages, 406 KB  
Article
Spectral Efficiency Beamforming Scheme for UAV MIMO Communication via Budgeted Combinatorial Multi-Armed Bandit
by Jing Gao, Yunxing Xiang, Yunchao Song, Jing Zhu, Jun Wang, Xiaohui You, Ge Wang and Tianbao Gao
Electronics 2025, 14(24), 4805; https://doi.org/10.3390/electronics14244805 - 6 Dec 2025
Viewed by 298
Abstract
Unmanned aerial vehicles (UAVs) equipped with antenna arrays can deliver high-capacity, high-throughput, and low-latency communication services. Considering a UAV-assisted mmWave multi-input and multi-output (MIMO) system, a two-stage beamforming scheme based on a budgeted combinatorial multi-armed bandit (BC-MAB) is proposed to improve the system’s [...] Read more.
Unmanned aerial vehicles (UAVs) equipped with antenna arrays can deliver high-capacity, high-throughput, and low-latency communication services. Considering a UAV-assisted mmWave multi-input and multi-output (MIMO) system, a two-stage beamforming scheme based on a budgeted combinatorial multi-armed bandit (BC-MAB) is proposed to improve the system’s spectral efficiency (SE). The pre-beamformer design problem is initially formulated as a BC-MAB problem. In this framework, the reward is the received energy, while the cost corresponds to the energy consumed by each RF chain and the budget is represented by the residual energy of the UAV. To achieve a favorable trade-off between the number of communication slots and the energy acquired per slot, a pre-beamforming scheme based on the bang-per-buck ratio is introduced to optimize the number of activated RF chains, therefore maximizing the cumulative reward. The second stage utilizes the reduced-dimensional instantaneous channel state information to design and optimize the beamformer to achieve maximum system SE. The proposed scheme achieves more than 7.1% improvement in SE compared to the benchmark schemes. Simulations validate the superiority of the proposed scheme. Full article
Show Figures

Figure 1

17 pages, 1739 KB  
Article
Low Neutrophil-to-Lymphocyte Ratio Combined with High Intraepithelial CD8+ Tumour-Infiltrating Lymphocytes Within the Tumour Microenvironment Is a Prominent Prognostic Factor in Advanced Epithelial Ovarian Cancer
by Mami Shibahara, Hiroshi Harada, Tomoko Kurita, Midori Murakami, Yoshikazu Harada, Toru Hachisuga, Shohei Shimajiri, Toshiyuki Nakayama, Yusuke Matsuura and Kiyoshi Yoshino
Cancers 2025, 17(24), 3904; https://doi.org/10.3390/cancers17243904 - 6 Dec 2025
Viewed by 506
Abstract
Background/Objectives: Tumour-infiltrating lymphocytes (TILs) significantly influence the prognosis of epithelial ovarian cancer (EOC). Advanced EOCs often cause neutrophilia, ascites, and malnutrition. The neutrophil-to-lymphocyte ratio (NLR) serves as a marker of systemic inflammation. This study investigated the prognostic significance of pre-treatment NLR and TILs [...] Read more.
Background/Objectives: Tumour-infiltrating lymphocytes (TILs) significantly influence the prognosis of epithelial ovarian cancer (EOC). Advanced EOCs often cause neutrophilia, ascites, and malnutrition. The neutrophil-to-lymphocyte ratio (NLR) serves as a marker of systemic inflammation. This study investigated the prognostic significance of pre-treatment NLR and TILs in advanced EOCs. Methods: Overall, 101 advanced EOCs (stages III–IV, FIGO 2014) were treated between 2005 and 2020. Based on pathological findings, advanced EOCs were classified as having high or low TILs using CD8 and CD4 immunostaining. The tumour proportion score was calculated to determine PD-L1 expression. The number of marker-positive cells was counted using HALO. Progression-free survival and overall survival (OS) were compared between the high- and low-NLR groups based on TILs levels. Results: Clinicopathological characteristics, including age, FIGO stage, histological subtype, and postoperative residual disease, did not significantly differ among the four groups defined by NLR and intra-epithelial CD8+ TILs (CD8+ iTILs). Multivariate analysis of OS revealed that NLR and CD8+ iTILs were independent prognostic factors, and no correlation was observed between them. The 5-year OS rates were 82.2% in the low NLR–high CD8+ iTILs group (n = 25), 41.7% in the low NLR–low CD8+ iTILs group (n = 16), 47.2% in the high NLR–high CD8+ iTILs group (n = 34), and 26.0% in the high NLR–low CD8+ iTILs group (n = 26). In the low-NLR subgroup, OS was significantly prolonged in the high CD8+ iTILs group (p = 0.023). Conclusions: In advanced EOCs, the status of tumour-localised immunity and pre-treatment systemic inflammation influenced long-term prognosis. Full article
(This article belongs to the Section Cancer Biomarkers)
Show Figures

Figure 1

Back to TopTop