Experimental Study on Wavefront Distortion Correction in Atmospheric Turbulence Using Zernike-Wavelet Hybrid Basis
Abstract
1. Introduction
2. Theoretical Foundation of Adaptive Optics
3. Classic Mode Method
3.1. Zernike Polynomial
3.2. Daubechies Wavelet
4. Hybrid Basis Reconstruction of Wavefront
4.1. Constructing a Hybrid Basis Function Set
4.2. Numerical Simulation of Turbulence and Mutual Information Theory
4.3. Mode Selection and Establishment of Reconstruction Matrix
4.4. Wavefront Reconstruction
5. Wavefront Correction
5.1. Wavefront Reconstruction
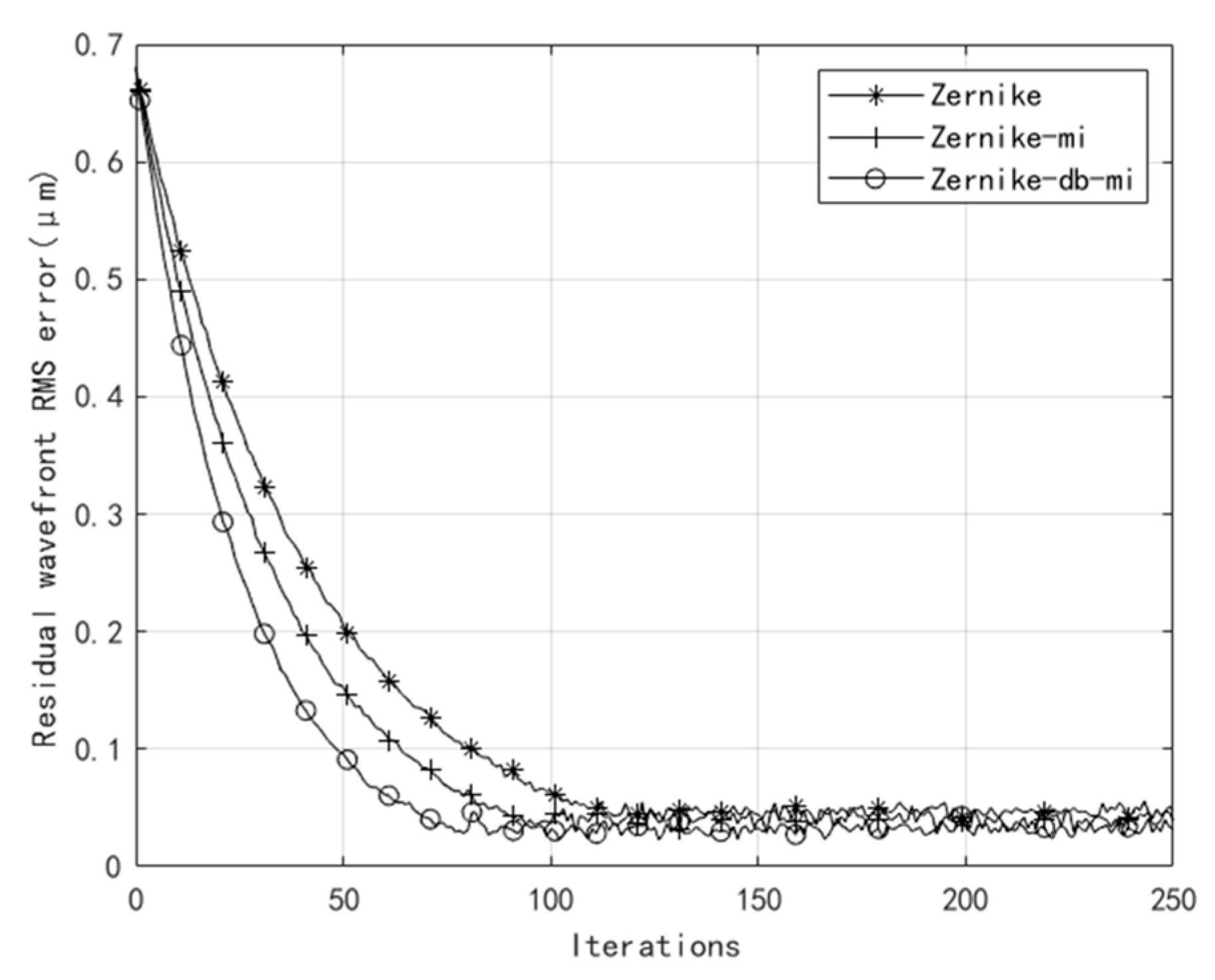
5.2. Wavefront Correction Experiment
6. Conclusions
Author Contributions
Funding
Institutional Review Board Statement
Informed Consent Statement
Data Availability Statement
Conflicts of Interest
References
- Xia, A. Research on Adaptive Optics Systems Based on Shack-Hartmann Wavefront Sensor. Ph.D. Thesis, Xi’an Institute of Optics and Precision Mechanics, University of Chinese Academy of Sciences, Xi’an, China, 2011; pp. 31–38. [Google Scholar]
- Cubalchini, R. Modal wave-front estimation from phase derivative measurements. J. Opt. Soc. Am. 1979, 69, 972–977. [Google Scholar] [CrossRef]
- Ke, X.; Wu, J. Coherent Optical Wireless Communication Principle and Application; Springer: Berlin/Heidelberg, Germany, 2022. [Google Scholar]
- Ke, X.; Yang, S.; Wu, J.; Zhong, X. Research progress on adaptive optics technology for wireless optical communication systems at Xi’an University of Technology. High Power Laser Part. Beams 2021, 33, 30–52. [Google Scholar]
- Xu, C.; Hao, S.; Wang, Y.; Zhao, Q.; Liu, Y. Wavefront reconstruction of atmospheric turbulence distortion based on pattern mutual information. J. Air Force Eng. Univ. 2020, 21, 65–70. [Google Scholar]
- Helin, T.; Yudytskiy, M. Wavelet methods in multi-conjugate adaptive optics. Inverse Probl. 2013, 29, 085003. [Google Scholar] [CrossRef]
- Han, C.; Li, X.; Zhao, Q.; Huang, L.; Jiang, X.; Wen, M. Wavefront reconstruction algorithm based on threshold wavelet transform. High Power Laser Part. Beams 2011, 23, 1197–1200. [Google Scholar] [CrossRef]
- Ma, S.; Wang, Y.; Hao, S.; Zhao, Q.; Xu, C.; Wei, S. Reconstruction of atmospheric turbulence wavefront distortion based on wavelet fractal interpolation algorithm. J. Air Force Eng. Univ. 2022, 23, 47–52. [Google Scholar]
- Ke, X.; Wu, P. Adaptive Optics Theory and Its Application in Optical Wireless Communication; Springer: Singapore, 2022. [Google Scholar]
- Neal, D.R.; Copland, R.J.; Neal, D.A.; Topa, D.M.; Riera, P. Measurement of lens focal length using multicurvature analysis of the Shack-Hartmann wavefront data. Proc. SPIE 2004, 55, 243–255. [Google Scholar]
- Liang, J.; Zhang, X.; Ke, C.; Ke, X. Research progress on Zernike polynomial wavefront aberration correction. Opt. Commun. Technol. 2025, 49, 49–56. [Google Scholar]
- Zhu, Z.; Wu, P.; Wu, J.; Ke, C.; Ke, X. Research progress on Zernike polynomial description of optical aberrations. Opt. Commun. Technol. 2025, 49, 40–46. [Google Scholar]
- Noll, R.J. Zernike polynomials and atmospheric turbulence. J. Opt. Soc. Am. 1976, 66, 207. [Google Scholar] [CrossRef]
- Dai, G.-M. Modified Hartmann-Shack Wavefront Sensing and Iterative Wavefront Reconstruction. In Proceedings of the 1994 Symposium on Astronomical Telescopes and Instrumentation for the 21st Century, Kailua, Kona, HI, USA, 13–18 March 1994; Ealey, M.A., Merkle, F., Eds.; pp. 562–573. [Google Scholar]
- Cohen, A.; Daubechies, I.; Feauveau, J.C. Biorthogonal bases of compactly supported wavelets. Commun. Pure Appl. Math. 1992, 45, 485–560. [Google Scholar] [CrossRef]
- Papageorgiou, C.; Poggio, T. A trainable system for object detection. Int. J. Comput. Vis. 2000, 38, 15–33. [Google Scholar] [CrossRef]
- Ke, X.; Wu, J.; Yang, S. Research Progress and Prospects of Atmospheric Turbulence for Wireless Optical Communication. J. Electromagn. Wave Sci. 2021, 5, 323–339. [Google Scholar]
- Liang, J.; Deng, Z.; Ke, X. Research progress on simulating atmospheric turbulence wavefront phase using Zernike polynomials and its applications. J. Radio Wave Sci. 2025, 39, 800–811. [Google Scholar]
- Gardner, P.J.; Roggemann, M.C.; Welsh, B.M.; Bowersox, R.D.; Luke, T.E. Statistical anisotropy in free turbulence for mixing layers at high Reynolds numbers. Appl. Opt. 1996, 35, 4879–4889. [Google Scholar] [CrossRef] [PubMed]
- Southwell, W.H. Wave-front estimation from wave-front slope measurements. J. Opt. Soc. Am. 1980, 70, 998–1006. [Google Scholar] [CrossRef]
- Wu, J.; Ke, X. Adaptive Optical Correction Without Wavefront Sensor. Prog. Laser Optoelectron. 2018, 55, 133–139. [Google Scholar]
- Saad, D. Information theory, inference, and learning algorithms. Am. Sci. 2004, 92, 578. [Google Scholar]
- Liang, J.; Wang, H.; Zhang, N.; Zhang, X.; Zhao, L.; Wang, H.; Wang, Y.; Ke, X. Research Progress on Deformable Mirrors and Their Control Algorithms. Opt. Commun. Res. 2024, 2, 100–108. [Google Scholar]











Disclaimer/Publisher’s Note: The statements, opinions and data contained in all publications are solely those of the individual author(s) and contributor(s) and not of MDPI and/or the editor(s). MDPI and/or the editor(s) disclaim responsibility for any injury to people or property resulting from any ideas, methods, instructions or products referred to in the content. |
© 2025 by the authors. Licensee MDPI, Basel, Switzerland. This article is an open access article distributed under the terms and conditions of the Creative Commons Attribution (CC BY) license (https://creativecommons.org/licenses/by/4.0/).
Share and Cite
Liang, J.; Hao, Y.; Li, H.; Ke, X. Experimental Study on Wavefront Distortion Correction in Atmospheric Turbulence Using Zernike-Wavelet Hybrid Basis. Appl. Sci. 2025, 15, 13207. https://doi.org/10.3390/app152413207
Liang J, Hao Y, Li H, Ke X. Experimental Study on Wavefront Distortion Correction in Atmospheric Turbulence Using Zernike-Wavelet Hybrid Basis. Applied Sciences. 2025; 15(24):13207. https://doi.org/10.3390/app152413207
Chicago/Turabian StyleLiang, Jingyuan, Yilin Hao, Hui Li, and Xizheng Ke. 2025. "Experimental Study on Wavefront Distortion Correction in Atmospheric Turbulence Using Zernike-Wavelet Hybrid Basis" Applied Sciences 15, no. 24: 13207. https://doi.org/10.3390/app152413207
APA StyleLiang, J., Hao, Y., Li, H., & Ke, X. (2025). Experimental Study on Wavefront Distortion Correction in Atmospheric Turbulence Using Zernike-Wavelet Hybrid Basis. Applied Sciences, 15(24), 13207. https://doi.org/10.3390/app152413207
