Sign in to use this feature.

Years

Between: -

Subjects

remove_circle_outline
remove_circle_outline
remove_circle_outline
remove_circle_outline
remove_circle_outline
remove_circle_outline
remove_circle_outline
remove_circle_outline
remove_circle_outline

Journals

remove_circle_outline
remove_circle_outline
remove_circle_outline
remove_circle_outline
remove_circle_outline

Article Types

Countries / Regions

remove_circle_outline
remove_circle_outline
remove_circle_outline
remove_circle_outline
remove_circle_outline

Search Results (613)

Search Parameters:
Keywords = required SNR

Order results
Result details
Results per page
Select all
Export citation of selected articles as:
30 pages, 3687 KB  
Article
Hybrid Framework for Secure Low-Power Data Encryption with Adaptive Payload Compression in Resource-Constrained IoT Systems
by You-Rak Choi, Hwa-Young Jeong and Sangook Moon
Sensors 2026, 26(7), 2253; https://doi.org/10.3390/s26072253 - 6 Apr 2026
Viewed by 253
Abstract
Resource-constrained IoT systems face a fundamental conflict between cryptographic security and energy efficiency, particularly in critical infrastructure monitoring requiring long-term autonomous operation. This study presents a hybrid framework integrating signal-adaptive compression with hardware-accelerated authenticated encryption to resolve this trade-off. The Dynamic Payload Compression [...] Read more.
Resource-constrained IoT systems face a fundamental conflict between cryptographic security and energy efficiency, particularly in critical infrastructure monitoring requiring long-term autonomous operation. This study presents a hybrid framework integrating signal-adaptive compression with hardware-accelerated authenticated encryption to resolve this trade-off. The Dynamic Payload Compression with Selective Encryption framework classifies sensor data into three SNR regimes and applies adaptive compression strategies: 24.15-fold compression for low-SNR backgrounds, 1.77-fold for transitional states, and no compression for high-SNR leak detection events. Experimental validation using 2714 acoustic sensor samples demonstrates 5.91-fold average payload reduction with 100% detection accuracy. The integration with STM32L5 hardware AES acceleration reduces power–data correlation from 0.820 to 0.041, increasing differential power analysis attack complexity from 500 to over 221,000 required traces. Compression-induced timing variance provides additional side-channel masking, burying cryptographic signals beneath a 0.00009 signal-to-noise ratio. Projected on 19,200 mAh lithium thionyl chloride batteries, the system achieves 14-year operational lifetime under realistic duty cycles, exceeding industrial requirements for critical infrastructure protection while maintaining robust security against physical attacks. Full article
(This article belongs to the Section Intelligent Sensors)
Show Figures

Figure 1

20 pages, 1583 KB  
Article
Performance and Detectability Analysis of Resident Space Objects Using an S-Band Bi-Static Radar with the Sardinia Radio Telescope as Receiver
by Luca Schirru
Remote Sens. 2026, 18(7), 1083; https://doi.org/10.3390/rs18071083 - 3 Apr 2026
Viewed by 193
Abstract
The continuous growth of the population of Resident Space Objects (RSOs) poses increasing challenges for Space Situational Awareness (SSA), particularly in terms of detection capability and collision risk mitigation. Ground-based radar systems represent a primary class of remote sensing instruments for RSO observation; [...] Read more.
The continuous growth of the population of Resident Space Objects (RSOs) poses increasing challenges for Space Situational Awareness (SSA), particularly in terms of detection capability and collision risk mitigation. Ground-based radar systems represent a primary class of remote sensing instruments for RSO observation; however, their deployment is often constrained by cost and infrastructure requirements. In this context, the reuse of existing large radio astronomy facilities as radar receivers offers an innovative and potentially cost-effective alternative. This paper presents a fully model-based feasibility study of S-band bi-static radar observations of RSOs using the Sardinia Radio Telescope (SRT) as a high-sensitivity ground-based receiver. The analysis is entirely analytical and is conducted in the absence of experimental radar measurements. A bi-static radar equation framework is adopted to evaluate received signal power and the resulting signal-to-noise ratio (SNR) as functions of target size, range, and observation geometry. The model explicitly incorporates thermal noise, integration time and target dynamics, radio-frequency interference (RFI), atmospheric and environmental clutter contributions, and the realistic antenna radiation pattern of the SRT through a Gaussian beam approximation. Detection thresholds, maximum observable ranges, and performance envelopes are derived for representative RSO dimensions, and the impact of off-boresight reception on detectability is quantified. The results define the operational conditions under which RSOs may be detected in an S-band bi-static configuration and demonstrate the potential of the SRT as a non-conventional ground-based instrument for space object observation, supporting future developments in SSA and space debris monitoring strategies. Full article
Show Figures

Figure 1

18 pages, 5735 KB  
Article
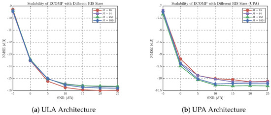
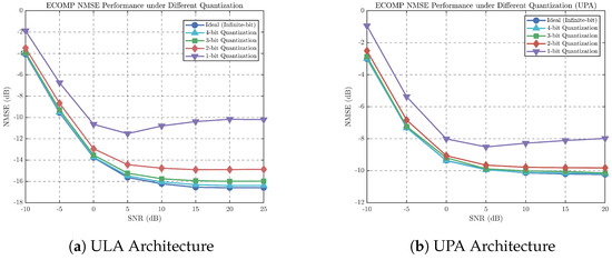
Joint Channel Estimation for RIS-Aided mmWave Massive MIMO with Low-Resolution Quantization
by Wanqing Fu, Honggui Deng, Mingkang Qu and Nanqing Zhou
Electronics 2026, 15(7), 1497; https://doi.org/10.3390/electronics15071497 - 2 Apr 2026
Viewed by 214
Abstract
Reconfigurable intelligent surface (RIS) technology is a promising enabler for 6G communication systems due to its ability to reconfigure wireless propagation environments. However, as a passive device, RIS requires significant pilot overhead for accurate channel estimation. Moreover, the integration of RIS with multiple-input [...] Read more.
Reconfigurable intelligent surface (RIS) technology is a promising enabler for 6G communication systems due to its ability to reconfigure wireless propagation environments. However, as a passive device, RIS requires significant pilot overhead for accurate channel estimation. Moreover, the integration of RIS with multiple-input multiple-output (MIMO) systems further exacerbates power consumption and hardware costs. To address these challenges, this paper investigates RIS-assisted millimeter-wave (mmWave) MIMO systems with low-resolution analog-to-digital converters (ADCs). Exploiting the inherent sparsity of mmWave channels and considering the distortion introduced by low-resolution quantization, we propose a compressive sensing (CS)-based channel estimation scheme. Furthermore, to mitigate the effects of angular leakage, we introduce an energy capture orthogonal matching pursuit (ECOMP) algorithm. Simulation results demonstrate that the proposed scheme not only improves channel estimation accuracy but also reduces pilot overhead and power consumption, while maintaining enhanced stability in high signal-to-noise ratio (SNR) regimes. Full article
Show Figures

Figure 1

14 pages, 1266 KB  
Article
An Enhanced Envelope Spectroscopy Method for Bearing Diagnosis: Coupling PSO-Adaptive Stochastic Resonance with LMD
by Zhaohong Wu, Jin Xu, Jiaxin Wei, Haiyang Wu, Yusong Pang, Chang Liu and Gang Cheng
Actuators 2026, 15(4), 201; https://doi.org/10.3390/act15040201 - 2 Apr 2026
Viewed by 197
Abstract
Early fault vibration signals from rolling bearings are typically nonlinear, non-stationary, and heavily obscured by background noise, which severely impedes the accurate extraction of fault features. To overcome the limitations of traditional stochastic resonance (SR)—specifically the small-parameter restriction for high-frequency signals and the [...] Read more.
Early fault vibration signals from rolling bearings are typically nonlinear, non-stationary, and heavily obscured by background noise, which severely impedes the accurate extraction of fault features. To overcome the limitations of traditional stochastic resonance (SR)—specifically the small-parameter restriction for high-frequency signals and the subjectivity in parameter selection—this paper proposes an adaptive SR envelope spectroscopy method based on particle swarm optimization (PSO) and local mean decomposition (LMD). First, a variable-scale transformation is introduced to compress the high-frequency fault signals into the effective frequency band required by the adiabatic approximation theory. Second, utilizing the global search capability of PSO, the potential well parameters of the bistable system are adaptively optimized by maximizing the output signal-to-noise ratio (SNR), thereby achieving optimal matching between the nonlinear system and the input signal. Finally, the enhanced signal is decomposed by LMD, and the sensitive components are selected for envelope spectrum analysis to identify fault characteristics. Experimental validation using the Case Western Reserve University bearing dataset demonstrates that the proposed method effectively amplifies weak fault signals under strong noise conditions, exhibiting superior feature extraction accuracy and noise robustness compared to traditional methods. Full article
(This article belongs to the Section Control Systems)
Show Figures

Figure 1

21 pages, 3302 KB  
Article
Separating Water-Level Variations and Phenological Changes in Rice Paddies: Integrating SAR with Ground-Based GNSS-IR Observations
by Daiki Kobayashi, Ryusuke Suzuki and Kosuke Noborio
Remote Sens. 2026, 18(7), 1055; https://doi.org/10.3390/rs18071055 - 1 Apr 2026
Viewed by 250
Abstract
Paddy field water management and rice phenology strongly affect crop productivity and environmental processes, requiring continuous and quantitative monitoring. This study combined satellite synthetic aperture radar (SAR) observations and ground-based Global Navigation Satellite System (GNSS) interferometric reflectometry (GNSS-IR) over a paddy field to [...] Read more.
Paddy field water management and rice phenology strongly affect crop productivity and environmental processes, requiring continuous and quantitative monitoring. This study combined satellite synthetic aperture radar (SAR) observations and ground-based Global Navigation Satellite System (GNSS) interferometric reflectometry (GNSS-IR) over a paddy field to analyze their sensitivities to water-level variations and phenological dynamics. Sentinel-1 (C-band) and ALOS-2/PALSAR-2 (L-band) SAR time series were compared with continuous GNSS-IR observations acquired using geodetic-grade instrumentation. For GNSS-IR, Lomb–Scargle periodogram (LSP) analysis of SNR data was applied to derive two indicators: (i) the dominant spectral peak (fwater) frequency associated with the effective reflecting surface, and (ii) a normalized spectral integral (GNSS Phenology Indicator, GPI) representing vegetation-induced scattering and attenuation effects. The temporal evolution of LSP spectra exhibited systematic changes with rice phenological progression, including peak broadening and the emergence of multiple peaks as vegetation developed. For water level variations, L-band SAR co-polarized backscatter (VV and HH) and the GNSS-IR spectral peak exhibited comparable relationships with in situ water level, whereas C-band SAR showed weaker sensitivity. For phenological dynamics, GPI showed temporal behavior similar to that of the SAR polarization ratio (VH/VV), with clear responses around key growth stages, such as heading and harvest. These results suggest that SAR polarization-based indicators and GNSS-IR spectral characteristics can be interpreted within a consistent electromagnetic framework: co-polarized L-band SAR responses correspond to the water-surface-related GNSS-IR peak, whereas cross-polarized indicators correspond to GPI. This study demonstrated the potential of GNSS-IR as complementary information for physically interpreting SAR scattering mechanisms, highlighting a pathway toward more integrated microwave-based monitoring of land surface processes. Full article
Show Figures

Figure 1

17 pages, 1861 KB  
Article
Study and Feasibility of Underwater Acoustic Data Transmission
by Bessie A. Ribeiro, Fabio C. Xavier, Viviane R. Barroso, Viviane F. da Silva, Theodoro A. Netto and Caroline Ferraz
J. Mar. Sci. Eng. 2026, 14(7), 648; https://doi.org/10.3390/jmse14070648 - 31 Mar 2026
Viewed by 233
Abstract
The growing demand for offshore oil and gas production in deep waters has motivated the development of technologies to enable the continuous, reliable, and cost-effective monitoring of subsea equipment. Traditional inspection techniques rely on ROVs and AUVs, leading to delays between data acquisition [...] Read more.
The growing demand for offshore oil and gas production in deep waters has motivated the development of technologies to enable the continuous, reliable, and cost-effective monitoring of subsea equipment. Traditional inspection techniques rely on ROVs and AUVs, leading to delays between data acquisition and recovery and high operational costs. Underwater acoustic communication systems represent an attractive alternative for transmitting monitoring data to the surface in real time. This work evaluates the feasibility of implementing an underwater acoustic communication link for data transmission in deep-water environments, considering environmental conditions and acoustic channel characteristics. Using the BELLHOP ray-tracing model, simulations were performed to predict transmission loss, multipath effects, ambient noise, and the resulting signal-to-noise ratio (SNR) for different modem configurations and operating frequencies. The results demonstrate that the performance of the underwater link is strongly dependent on frequency, distance, and environmental variability. The study identifies optimal frequency–range relationships, quantifies the limitations imposed by transmission loss and ambient noise, and provides guidance for selecting acoustic modem parameters for real subsea monitoring applications. The SNR for three modem models operating at different frequencies illustrates the signal detection capability in the marine environment. The differences between modems A, B, and C are defined by their technical specifications and how they perform within the underwater acoustic channel of the Campos Basin. The data transmission capacity is supported by the data rates provided by the analyzed modems. The low frequencies of modem A (9.75 kHz) achieve the highest SNR, enabling long-range monitoring. At higher frequencies, modem C (78 kHz) allows short-distance communication. Modem B (35 kHz) offers a good balance between the data rate and power consumption, consuming only 1 W, making it highly viable for monitoring systems that rely on batteries and require long-term operation. The findings support the feasibility of integrating underwater acoustic communication into subsea monitoring architectures, enabling a more efficient oversight of deep-water production systems. The analysis concludes that project viability depends on selecting a system where the SNR and range meet the specific monitoring requirements. Full article
Show Figures

Figure 1

28 pages, 22141 KB  
Article
Detection of P-Wave Arrival as a Structural Transition in Seismic Signals: An Approach Based on SVD Entropy
by Margulan Ibraimov, Zhanseit Tuimebayev, Alua Maksutova, Alisher Skabylov, Dauren Zhexebay, Azamat Khokhlov, Lazzat Abdizhalilova, Aliya Aktymbayeva, Yuxiao Qin and Serik Khokhlov
Smart Cities 2026, 9(3), 51; https://doi.org/10.3390/smartcities9030051 - 19 Mar 2026
Viewed by 369
Abstract
Early and reliable detection of P-wave arrivals is critical for seismic monitoring and earthquake early warning, particularly under low signal-to-noise ratio (SNR) and non-stationary noise conditions. This study presents an automatic detection method based on singular value decomposition (SVD) entropy computed in sliding [...] Read more.
Early and reliable detection of P-wave arrivals is critical for seismic monitoring and earthquake early warning, particularly under low signal-to-noise ratio (SNR) and non-stationary noise conditions. This study presents an automatic detection method based on singular value decomposition (SVD) entropy computed in sliding time windows with local signal filtering. Within this framework, the P-wave onset is interpreted as a local structural change in the signal rather than a simple energy increase. SVD entropy captures the redistribution of energy among dominant signal components, providing high sensitivity to the initial P-wave arrival even at moderate and low noise levels (SNR2). The method was validated using real seismic data from four regional stations operating under different noise conditions. Analysis of detection parameters revealed strong station dependence. For stations affected by low-frequency drift, polynomial detrending was identified as a necessary preprocessing step to ensure a stable entropy response and reliable detection. The proposed approach achieves detection accuracies of up to 93–98% at SNR2, significantly outperforming the classical STA/LTA algorithm and demonstrating performance comparable to modern deep learning methods. Since the method does not require model training or labeled datasets, it provides an interpretable and computationally efficient solution for automatic seismic monitoring. These properties make the proposed approach particularly suitable for real-time seismic monitoring systems and distributed sensor networks operating under limited computational resources. All computational stages were performed at the Farabi Supercomputer Centre of Al-Farabi Kazakh National University. The method requires no model training or labeled data, making it an interpretable, robust, and computationally efficient solution for automatic seismic monitoring and early warning systems. Full article
Show Figures

Figure 1

26 pages, 2014 KB  
Article
ConvLoRa: Convolutional Neural Network-Based Collision Demodulation for LoRa Uplinks in LEO-IoT
by Tao Hong, Linkun Xu, Xiaodi Yu, Jiawei Shen and Gengxin Zhang
Sensors 2026, 26(6), 1919; https://doi.org/10.3390/s26061919 - 18 Mar 2026
Viewed by 232
Abstract
Satellites supporting IoT connectivity may need to serve a large population of LoRa terminals, where collisions among packets using the same spreading factor (SF) can severely degrade uplink reliability. The ALOHA-based access used in LEO-IoT leads to frequent collisions under massive terminal access, [...] Read more.
Satellites supporting IoT connectivity may need to serve a large population of LoRa terminals, where collisions among packets using the same spreading factor (SF) can severely degrade uplink reliability. The ALOHA-based access used in LEO-IoT leads to frequent collisions under massive terminal access, which limits system capacity. Conventional signal separation methods that rely on the capture effect typically require a sufficiently large power difference between colliding signals. However, due to the channel characteristics of LEO links, this condition is often difficult to satisfy. We propose ConvLoRa, a collision demodulation method for co-SF LoRa uplink signals in LEO-IoT based on a fully convolutional neural network (FCN). To improve robustness to synchronization deviations, ConvLoRa uses an up-chirp in the preamble as a reference for feature matching, and employs data augmentation to emulate synchronization deviations during training. In addition, a multi-task design is adopted to estimate the payload length with minimal introduction of extra network parameters. Experiments show that ConvLoRa achieves lower demodulation bit error rate (BER) under collision conditions compared with baselines, including CoRa and SIC-based receivers. Under the condition of a two-signal collision with SNR = −9 dB and SF = 8, the BER of the proposed method is 21% that of CoRa and 28% that of the SIC-based method. Full article
Show Figures

Figure 1

17 pages, 539 KB  
Article
Wavelet-Based Error-Correcting Codes: Performance Comparison with BCH in Modern Channels
by Alla Levina and Sergey Boyko
Mathematics 2026, 14(6), 993; https://doi.org/10.3390/math14060993 - 14 Mar 2026
Viewed by 242
Abstract
Reliable data transmission over noisy channels requires effective error-correcting codes. While classical algebraic constructions, such as Bose–Chaudhuri–Hocquenghem (BCH) codes, remain industry standards, structured alternatives based on discrete wavelet transforms offer potential benefits in terms of implementation complexity and error resilience. This study presents [...] Read more.
Reliable data transmission over noisy channels requires effective error-correcting codes. While classical algebraic constructions, such as Bose–Chaudhuri–Hocquenghem (BCH) codes, remain industry standards, structured alternatives based on discrete wavelet transforms offer potential benefits in terms of implementation complexity and error resilience. This study presents a comparative analysis of BCH and wavelet-based linear block codes, focusing on their error-correction capability and overall performance under realistic wireless channel conditions. This work evaluates both coding schemes across five channel models: additive white Gaussian noise (AWGN), Rayleigh fading, sinusoidal attenuation, multiplicative Gaussian noise, and a composite Rayleigh-plus-sinusoid channel. Performance is assessed using bit error rate (BER), frame error rate (FER), and decoding reliability across a range of signal-to-noise ratios. Results show that wavelet codes achieve error-correction performance comparable to or slightly better than BCH in most channels. Notably, they demonstrate a consistent advantage in scenarios with periodic or slow-varying interference, outperforming BCH starting from the 1.5 dB SNR threshold where the wavelet code achieves a BER reduction of up to 48% and a 37.5% improvement in FER, significantly enhancing decoding reliability in structured noise environments. These findings indicate that wavelet-based codes are not only viable but, in specific practical environments characterized by structured noise, represent a superior alternative for robust and reliable communication systems. Full article
(This article belongs to the Section E1: Mathematics and Computer Science)
Show Figures

Figure 1

19 pages, 7953 KB  
Article
Accelerating Ultrasonic Guided-Wave Measurements via SNR Enhancement Using Coded Excitation: An Experimental Investigation
by Chengxiang Peng, Paul Annus, Marek Rist, Raul Land and Madis Ratassepp
Appl. Sci. 2026, 16(6), 2762; https://doi.org/10.3390/app16062762 - 13 Mar 2026
Viewed by 197
Abstract
Conventional excitation signals used in ultrasonic measurements, such as the one-cycle pulse, produce waveforms that experience significant attenuation and dispersion during propagation in highly attenuative materials, resulting in a low signal-to-noise ratio (SNR) and unreliable signal interpretation. Coded excitation is a well-established technique [...] Read more.
Conventional excitation signals used in ultrasonic measurements, such as the one-cycle pulse, produce waveforms that experience significant attenuation and dispersion during propagation in highly attenuative materials, resulting in a low signal-to-noise ratio (SNR) and unreliable signal interpretation. Coded excitation is a well-established technique for improving the SNR; however, its practical benefit for ultrasonic guided-wave measurements under low-voltage and limited averaging conditions has not been systematically quantified. This paper presents an experimental investigation of coded excitations for accelerating ultrasonic guided-wave data acquisition through SNR improvement. A one-cycle pulse is compared with Barker-coded and complementary Golay-coded excitations over a wide range of excitation voltages (0.5–10 V) and averaging numbers (1–40). Guided waves are generated using piezoelectric excitation and measured using laser Doppler vibrometry, ensuring repeatable and coupling-independent measurements. The results show that the SNR achieved with Barker-coded excitations using fewer than ten averages is comparable to that obtained with a one-cycle pulse using forty averages. The 16-bit complementary Golay codes achieve a comparable SNR while requiring fewer than five averages. These findings demonstrate that coded excitations can significantly reduce the number of data acquisition cycles in guided-wave measurement, offering a practical pathway toward faster and more energy-efficient ultrasonic measurement systems. Full article
(This article belongs to the Special Issue Advances in and Research on Ultrasonic Non-Destructive Testing)
Show Figures

Figure 1

26 pages, 10324 KB  
Article
Comparison of Linear and Nonlinear Ultrasonic Features for the Analysis of Concrete Under Compression
by Francesco Medaglia, Sebastiano Candamano, Antonio Iorfida, Stefano Laureti, Danilo Martino, Giacinto Porco, Marco Ricci and Rocco Zito
Appl. Sci. 2026, 16(6), 2715; https://doi.org/10.3390/app16062715 - 12 Mar 2026
Viewed by 209
Abstract
The early detection and monitoring of stress-induced damage in concrete is a key goal for nondestructive evaluation and structural health monitoring of civil structures. Both linear and nonlinear ultrasonic testing methods have been developed for this purpose. The Ultrasonic Pulse Velocity (UPV) test [...] Read more.
The early detection and monitoring of stress-induced damage in concrete is a key goal for nondestructive evaluation and structural health monitoring of civil structures. Both linear and nonlinear ultrasonic testing methods have been developed for this purpose. The Ultrasonic Pulse Velocity (UPV) test is the standard linear technique and is reliable and easy to use, but it typically detects defects only after micro-cracks coalesce or grow beyond a threshold size. To enable earlier detection, features extracted from the nonlinear ultrasonic response—especially harmonics generation—have been proposed. However, these approaches often require complex measurement protocols, and their signal-to-noise ratio (SNR) can be limited. In this study, we leverage an exponential swept-sine pulse-compression (ESS–PuC) procedure to characterize both linear and nonlinear responses from a single measurement. We define and extract several features from both responses, and use them to monitor micro-crack initiation and growth in concrete specimens under gradually increasing compressive load. This enables a qualitative comparison of their characteristics and performance in detecting crack formation. Full article
Show Figures

Figure 1

20 pages, 3488 KB  
Article
Automatic Modulation Recognition for Radio Mixed Proximity Sensor Signals Based on a Time-Frequency Image Enhancement Network
by Jinyu Zhang, Xiaopeng Yan, Xinhong Hao, Tai An, Erwa Dong and Jian Dai
Sensors 2026, 26(5), 1677; https://doi.org/10.3390/s26051677 - 6 Mar 2026
Viewed by 271
Abstract
The automatic modulation recognition (AMR) of low probability intercept (LPI) signals has received a considerable amount of interest from many researchers who have done much work on electronic reconnaissance. This recognition technology aims to design a classifier that enables the identification of signals [...] Read more.
The automatic modulation recognition (AMR) of low probability intercept (LPI) signals has received a considerable amount of interest from many researchers who have done much work on electronic reconnaissance. This recognition technology aims to design a classifier that enables the identification of signals with different modulation types. Based on deep learning models such as a convolutional neural network (CNN), the time-frequency images (TFIs) of the signal can be input to further extract features for classification. To improve recognition accuracy, especially under low signal-to-noise ratios (SNRs), we propose an AMR method for radio frequency proximity sensor signals based on a TFI enhancement network. The TFIs are denoised based on a per-pixel kernel prediction network (KPN), which can improve the quality of TFIs and achieves comparable denoising performance to traditional TFI reconstruction methods (e.g., sparse representation-based methods and low-rank approximation methods), while requiring significantly less computational overhead. The denoised TFIs, with enhanced signal quality and reduced noise, are then fed into the RetinalNet-based classifier as high-quality input features. This enhancement is crucial for the subsequent recognition stage, as it significantly improves the modulation recognition accuracy, particularly under challenging low SNR conditions. Simulation results show that the proposed method can accurately identify the modulation types of different radio frequency proximity sensors that are aliased in the time-frequency domain under low SNRs, and the average recognition accuracy rate of the signal remains above 97% when the signal-to-noise ratio is above −10 dB. Full article
(This article belongs to the Section Sensing and Imaging)
Show Figures

Figure 1

16 pages, 1190 KB  
Article
Distributed Images Transmission with Related Feature Assistance: A DeepJSCC Approach
by Cong Lin and Feng Liu
Electronics 2026, 15(5), 1103; https://doi.org/10.3390/electronics15051103 - 6 Mar 2026
Viewed by 388
Abstract
With the rapid development of emerging applications such as the Internet of Things (IoT) and distributed visual perception, massive amounts of correlated image data require efficient transmission under constrained bandwidth and noisy channel conditions. Although Shannon’s separation theorem provides a theoretically optimal basis [...] Read more.
With the rapid development of emerging applications such as the Internet of Things (IoT) and distributed visual perception, massive amounts of correlated image data require efficient transmission under constrained bandwidth and noisy channel conditions. Although Shannon’s separation theorem provides a theoretically optimal basis for independent source-channel design, end-to-end joint optimization methods demonstrate higher performance potential in finite block length scenarios. This paper addresses the distributed image transmission problem with source correlation by proposing a Deep Joint Source-Channel Coding (DeepJSCC)-based framework. The scheme introduces a correlation feature extraction module at the receiver to uncover similarities among multiple sources and assist image reconstruction. Experimental results demonstrate that this method significantly improves reconstruction quality across various signal-to-noise ratios (SNRs), particularly excelling under small bandwidth ratios. Full article
(This article belongs to the Section Microwave and Wireless Communications)
Show Figures

Figure 1

20 pages, 17849 KB  
Article
UAV–UGV Collaborative Localization in GNSS-Denied Large-Scale Environments: An Anchor-Free VIO–UWB Fusion with Adaptive Weighting and Outlier Suppression
by Haoyuan Xu, Gaopeng Zhao and Yuming Bo
Drones 2026, 10(3), 175; https://doi.org/10.3390/drones10030175 - 4 Mar 2026
Viewed by 754
Abstract
In GNSS-denied large-scale outdoor environments, UAVs and UGVs that rely solely on visual–inertial odometry (VIO) suffer from accumulated global drift as the trajectory grows. Meanwhile, inter-platform ultra-wideband (UWB) ranging exhibits unknown, time-varying noise under NLOS/multipath, rendering naïve weighting unreliable. This paper presents an [...] Read more.
In GNSS-denied large-scale outdoor environments, UAVs and UGVs that rely solely on visual–inertial odometry (VIO) suffer from accumulated global drift as the trajectory grows. Meanwhile, inter-platform ultra-wideband (UWB) ranging exhibits unknown, time-varying noise under NLOS/multipath, rendering naïve weighting unreliable. This paper presents an anchor-free collaborative localization framework for UAV–UGV teams that fuses pairwise UWB ranges (including UAV–UAV, UAV–UGV, and UGV–UGV) with onboard VIO in a factor-graph backend via a two-stage robust scheme. First, we bound VIO drift using per-agent state covariance and reject UWB outliers with a Mahalanobis gate, preventing early-stage bias when VIO is still accurate. Then, during global optimization, we adaptively estimate the Fisher information of UWB factors from measurement–state residuals, enabling online self-tuning of measurement confidence under time-varying SNR. Real-world experiments with three UAVs and two UGVs over multi-level rooftops and forest–open areas (~1.6 km2) show that, compared to an outlier-only variant, the proposed method further reduces localization RMSE by about 24.6% and maximum error by about 31.2% for both UAVs and UGVs, maintaining strong performance during long trajectories dominated by VIO drift and NLOS ranges. The approach requires no fixed anchors or GNSS and is applicable to UAV–UGV teams for disaster response, cooperative mapping/inspection, and bandwidth-limited operations. Full article
(This article belongs to the Section Artificial Intelligence in Drones (AID))
Show Figures

Figure 1

28 pages, 6243 KB  
Article
Research on Control Strategy of Electromagnetic Pneumatic System Based on Fuzzy PID and Exploration of Flow Estimation Method for IWT
by Yitong Qin, Fangping Huang, Zongcai Ma, Zhenyu Fan, Jiayong Xia and Hongbai Yin
Actuators 2026, 15(3), 141; https://doi.org/10.3390/act15030141 - 2 Mar 2026
Viewed by 291
Abstract
Accurate real-time pneumatic flow estimation offers a cost-effective alternative to expensive, bulky flow meters, yet persistent challenges stem from complex valve environments, high nonlinearity, and stringent precision requirements. This paper introduces a novel control framework integrating fuzzy PID dynamic tuning with adaptive wavelet [...] Read more.
Accurate real-time pneumatic flow estimation offers a cost-effective alternative to expensive, bulky flow meters, yet persistent challenges stem from complex valve environments, high nonlinearity, and stringent precision requirements. This paper introduces a novel control framework integrating fuzzy PID dynamic tuning with adaptive wavelet threshold denoising, synergistically optimizing fuzzy PID and improved wavelet transform (IWT) to simultaneously enhance control accuracy and signal quality. Experimental validation demonstrates a 35% reduction in spool displacement overshoot versus conventional PID control. IWT integration improves flow estimation signal-to-noise ratio (SNR) by 65% relative to hard/soft thresholding methods while reducing root mean square error (RMSE) by 49%. The approach significantly outperforms mainstream techniques in dynamic response and noise immunity, enabling precise proportional valve flow measurement. This algorithm-driven strategy replaces high-cost sensors, reducing industrial maintenance requirements. Especially applicable to electromagnetic pneumatic systems in harsh environments, it establishes a reliable framework for proportional valve flow control. Full article
(This article belongs to the Section Control Systems)
Show Figures

Figure 1

Back to TopTop