Next Article in Journal
From Casting to Printing: Rheological Modification of General-Purpose RTV-2 Silicones for Material Extrusion
Previous Article in Journal
Spatial Heterogeneity of O2H-Induced Efficiency Gains in Chain Retail Space: Evidence from Tianjin, China
Previous Article in Special Issue
Feasibility Study of Plate Inhomogeneities Estimation Using Lamb Wave A0 Mode Signals Time-of-Flight
 
 
Font Type:
Arial Georgia Verdana
Font Size:
Aa Aa Aa
Line Spacing:
Column Width:
Background:
Article

Accelerating Ultrasonic Guided-Wave Measurements via SNR Enhancement Using Coded Excitation: An Experimental Investigation

1
Department of Civil Engineering and Architecture, Tallinn University of Technology, 19086 Tallinn, Estonia
2
Thomas Johann Seebeck Department of Electronics, Tallinn University of Technology, 19086 Tallinn, Estonia
*
Author to whom correspondence should be addressed.
Appl. Sci. 2026, 16(6), 2762; https://doi.org/10.3390/app16062762
Submission received: 10 February 2026 / Revised: 9 March 2026 / Accepted: 10 March 2026 / Published: 13 March 2026
(This article belongs to the Special Issue Advances in and Research on Ultrasonic Non-Destructive Testing)

Abstract

Conventional excitation signals used in ultrasonic measurements, such as the one-cycle pulse, produce waveforms that experience significant attenuation and dispersion during propagation in highly attenuative materials, resulting in a low signal-to-noise ratio (SNR) and unreliable signal interpretation. Coded excitation is a well-established technique for improving the SNR; however, its practical benefit for ultrasonic guided-wave measurements under low-voltage and limited averaging conditions has not been systematically quantified. This paper presents an experimental investigation of coded excitations for accelerating ultrasonic guided-wave data acquisition through SNR improvement. A one-cycle pulse is compared with Barker-coded and complementary Golay-coded excitations over a wide range of excitation voltages (0.5–10 V) and averaging numbers (1–40). Guided waves are generated using piezoelectric excitation and measured using laser Doppler vibrometry, ensuring repeatable and coupling-independent measurements. The results show that the SNR achieved with Barker-coded excitations using fewer than ten averages is comparable to that obtained with a one-cycle pulse using forty averages. The 16-bit complementary Golay codes achieve a comparable SNR while requiring fewer than five averages. These findings demonstrate that coded excitations can significantly reduce the number of data acquisition cycles in guided-wave measurement, offering a practical pathway toward faster and more energy-efficient ultrasonic measurement systems.

1. Introduction

Nondestructive testing (NDT) refers to a set of inspection methods used to evaluate the properties of materials, components, and structures without causing destruction or interfering with their in-service operation, making it essential for monitoring the structural health and integrity of civil structures such as pipelines and storage tanks [1,2,3]. Among various NDT methods, ultrasound is widely used across various fields, such as infrastructure, aerospace, and the automation industry, due to its low cost, high efficiency, and ability to detect a broad range of defects [4,5,6]. Ultrasonic measurement relies on the transmission of ultrasonic waves through a material and reflections from defects or material interfaces, where characteristics such as wave velocity provide valuable information about the material’s condition [7]. By analyzing the characteristics of the ultrasonic waves, the condition of the material can be assessed.
Ultrasonic guided waves (UGWs) have emerged as a promising tool due to their unique advantages. Unlike ultrasonic bulk waves, which may require time-consuming point-by-point transducer scanning and rely on complex, high-precision mechanical positioning systems, UGWs enable inspection of large areas without the need for mechanical scanning. As a result, UGWs are becoming increasingly popular in ultrasonic measurements, especially for long-range measurements. Numerous researchers have investigated the application of UGW-based measurements. For example, Pasadas et al. studied the localization of fiber breaks in carbon-fiber-reinforced plastic structures using UGWs, while Li et al. investigated damage detection in pipes using UGWs [8,9].
One critical issue associated with guided waves is that they suffer from significant attenuation due to long-distance propagation and noise introduced by electronic instrumentation, transducer coupling variations, environmental disturbances, and other factors. Consequently, the signal-to-noise ratio (SNR) is probably insufficient for reliable signal interpretation. One straightforward approach to improve the SNR is to increase the excitation signal voltage. However, the use of high excitation voltages (above 50 Volts) is restricted for several reasons, such as safety risks in explosive atmospheres and the hardware limitations of data acquisition systems [10,11,12]. Another approach to increase the SNR is temporal averaging, a technique that can be readily integrated into existing measurement systems without additional hardware or algorithmic complexity, in which signals acquired from multiple repeated measurements are averaged. Since the true signal is coherent across repetitions while the noise is largely uncorrelated, temporal averaging can enhance the SNR by suppressing uncorrelated random noise. However, temporal averaging increases the data acquisition duration, which is unfavorable for real-time applications, such as those in the aviation industry [13].
Coded excitation is a technique that transmits a long coded signal and subsequently compresses the received signal into a high-intensity temporally narrow signal by utilizing the correlation properties of the coded signal [14,15]. Coded excitation enhances the SNR by increasing signal energy through an extended time duration without requiring high excitation voltage, as the high-intensity temporally narrow signal can be achieved by pulse compression. Consequently, coded excitation has been widely used in ultrasonic measurements, particularly for measuring highly attenuative materials and conducting long-range measurements. As a result of its SNR enhancement capability, coded excitation requires fewer averages to achieve a sufficient SNR than conventional excitations, such as the single-cycle pulse [16]. Therefore, coded excitation provides a promising strategy to maintain a high SNR with reduced data acquisition cycles, which directly enhances data acquisition efficiency and allows for lower excitation voltages in practical UGW-based measurements. Figure 1 presents a schematic of an ultrasonic measurement system employing the coded signal.
One of the most common coding methods is phase modulation (PM). In PM, the modulation is achieved by varying the phase of the carrier wave in a predefined manner. The designed phase variation results in better pulse compression and, consequently, a higher SNR. Barker codes are valued for their simple construction and for yielding the lowest sidelobes among all binary codes at the same length [17]. For example, Han et al. proposed the use of Barker codes in the detection of inclined cracks [18]. Complementary Golay codes (CGCs) provide ideal pulse compression with a single high-amplitude peak, enabling SNR enhancement without sidelobes, which is impossible for Barker codes. Wang et al. employed CGCs in ultrasonic air-coupled systems to achieve more accurate defect detection in wood materials [19].
Research on ultrasonic coded excitation has mainly focused on SNR improvement, whereas studies on its use for reducing the number of averages are still limited. Recently, several studies have begun exploring the potential of coded excitation to reduce the required number of averages. Song et al. investigated the use of CGCs with a 4-bit carrier wave to accelerate ultrasonic measurements on bone phantoms [20]. However, only 16-bit CGCs were evaluated in their measurements. Xia et al. explored the performance of Barker codes in speeding up the data acquisition efficiency compared to the single-pulse excitation method [21]. The 13-bit Barker code shows strong potential for reducing the required number of averages; however, a limitation of the study is that other Barker code lengths were not examined. Zhang et al. compared the SNR between CGCs and single-pulse excitation under varying sensor contact forces in ultrasonic airborne inspection [22]. However, only a single fixed number of averages was used, and only 8-bit CGCs were evaluated. These studies indicate that, although coded excitation shows potential for reducing the number of averages, the existing research is limited by the use of single code types such as Barker codes or CGCs, fixed code lengths, or a fixed number of averages. The quantitative relationships among code type, excitation voltage, and the number of averages in UGW-based UT remain insufficiently explored through experimental studies. Consequently, more comprehensive investigations are necessary to further explore the application of coded excitation in reducing the number of averages.
An experimental study was conducted to demonstrate the feasibility of using coded excitation to improve data acquisition efficiency by reducing the number of required data acquisition cycles. Coded signals offer improved SNR performance compared to the conventional one-cycle pulse. This improvement enables the required SNR to be achieved with fewer averages, thus enhancing the overall time efficiency of the data acquisition. To evaluate the time efficiency of coded excitation, laboratory experiments on guided-wave propagation in an aluminum plate were performed. Specifically, two Barker codes of different lengths and the 16-bit CGC, along with a one-cycle pulse, were employed as excitation signals under varying excitation voltages and numbers of averages. The time performance of coded excitation signals was evaluated and compared with that of the one-cycle pulse based on the SNR as a function of the number of averages. It should be noted that the present study evaluates coded excitation in terms of the received guided-wave SNR and data acquisition efficiency, rather than directly demonstrating defect detection or imaging performance.
The rest of this paper is organized as follows: Section 2 introduces Barker codes and CGCs, as well as the coding and pulse compression processes, followed by the performance evaluation indicators used in this study. Section 3 describes the measurement setup and presents the experimental data. Section 4 discusses the results, and Section 5 concludes the paper.

2. Methodology

2.1. Barker Codes

Barker codes are widely used binary phase codes due to several advantages. Compared with multiphase codes, such as convoluted codes, Barker codes are biphase and therefore impose lower requirements on hardware implementation [23,24]. Compared with CGCs, Barker codes operate as single-transmission codes and do not require double transmission, resulting in higher time efficiency. Furthermore, their sidelobe levels are the lowest among all known binary sequences of the same length.
For a length N Barker code B N composed of bits b 1 , b 2 , b 3 , . . . , b N , with each bit taking values of 1 or 1, its autocorrelation C B is defined as [24]:
C B ( j ) = i = 1 N b i b i + j = N , j = 0 0 o r ± 1 , 0 < j < N . 0 , j N
Equation (1) indicates that the peak value of the autocorrelation is equal to the code length N, while the sidelobe levels are bounded by 1, demonstrating the effectiveness of Barker codes in sidelobe suppression. Additionally, the autocorrelation peak grows as the code length increases. However, Barker codes exist for only seven different lengths, and the maximum length is 13, which limits the peak value to 13. Table 1 lists all available Barker codes, with B 2 and B 4 each having two different bit sequences. Figure 2 shows the 7-bit Barker code and its autocorrelation, where we can see that the peak value equals the code length 7 and the magnitude of the sidelobes is 1, in good agreement with the theoretical result given in Equation (1).

2.2. Complementary Golay Codes (CGCs)

One limitation of Barker codes is the presence of sidelobes in their autocorrelations. CGCs eliminate sidelobes while maintaining a high autocorrelation peak. CGCs consist of a pair of complementary binary codes with the same length. The autocorrelations of the two complementary codes have identical peak values, while their sidelobes have equal magnitudes but opposite signs. By summing the two autocorrelations, the sidelobes cancel each other, whereas the main peaks add constructively [25]. For the CGC composed of two complementary length N codes G A N and G B N , G A N consists of bits G a 1 , G a 2 , G a 3 , . . . , G a N , and G B N consists of bits G b 1 , G b 2 , G b 3 , . . . , G b N , with each bit taking values of 1 or 1 . Their autocorrelations are defined as
C G A ( j ) = i = 1 N G a i G a i + j ,
C G B ( j ) = i = 1 N G b i G b i + j ,
where C G A and C G B denote the autocorrelations of G A N and G B N respectively. Thus, the sum of the autocorrelations is then given by
C G ( j ) = C G A ( j ) + C G B ( j ) = 2 N , j = 0 0 , j 0 .
Equation (4) shows that for a length-N CGC, the autocorrelation peak value is 2 N and no sidelobes exist. Additionally, it demonstrates that the peak value is proportional to the code length. However, to eliminate sidelobes and achieve a high peak value, two transmissions are required. This requirement reduces the data acquisition rate by a factor of two. Consequently, CGCs are not well suited for the inspection of fast-moving targets. Table 2 lists the length-8 CGC G 8 and the length-16 CGC G 16 , where G 8 consists of G A 8 and G B 8 , and G 16 consists of G A 16 and G B 16 . It should be noted that multiple CGCs exist for the same code length. For example, there are 48 different CGCs of length 8 and 384 different CGCs of length 16 [26]. Figure 3 shows the length-8 CGCs from Table 2 and their autocorrelations. The peak value of the summed autocorrelations equals 16, which is twice the code length, and the sidelobe level is zero. These results correspond well with Equation (4).

2.3. Coding and Pulse Compression in Practical Ultrasonic Measurements

In practice, codes cannot be transmitted directly by ultrasonic transducers. Instead, a code is first modulated onto a carrier wave to generate a coded excitation signal, with each bit of the code modulating the phase of the carrier wave. The modulation process, referred to as coding, is defined as
S = i = 1 N c ( i ) w ( t i · T ) , 0 t T
where S is the coded excitation signal, c ( i ) denotes the i-th bit of the code, w ( t ) represents the carrier wave, and T is the period of w ( t ) .
After coding, the resulting coded excitation signals are transmitted into the medium by the ultrasonic transducers and are subsequently received by the receiving transducers after propagating through the medium. Temporal averaging may be applied to the received signals to reduce noise, depending on the required SNR. After temporal averaging, pulse compression is performed for further signal analysis. Pulse compression, also referred to as decoding, compresses the long coded signals into short-duration pulses with high peak amplitudes, significantly improving the SNR. Decoding is commonly achieved by applying a matched filter or correlation operation to compress the received signals, where the reference signal is generally the coded excitation signal itself [23]. Once decoding is completed, the compressed signals are used for further signal processing to extract valuable information such as the signal peak location. The flow of coding and pulse compression is presented in Figure 4, and an example of coding and compressing the 7-bit Barker code is shown in Figure 5.

2.4. Performance Evaluation of Coded Excitation Signals

The performance of coded excitation signals can be evaluated using several parameters, including the SNR, peak sidelobe level, and SNR gain (SNRG). Definitions of these evaluation parameters may vary among different research works [10,23,24,27,28,29]. Among these parameters, the SNR is one of the most critical metrics. The SNR is the ratio between the peak value of the compressed signal mainlobe to the root mean square (RMS) of a signal region containing only noise [29]:
S N R = 20 log 10 ( A m A r m s ) ,
where A m and A r m s denote the peak of the signal mainlobe and the RMS of the noise, respectively. In addition to the SNR, SNRG quantifies the improvement in the SNR achieved by coded excitation relative to uncoded excitation and is defined, under the assumptions of constant bandwidth and additive white Gaussian noise, as [28]
S N R G = 20 log 10 ( S N R a S N R b ) = ζ H N T ,
where S N R a and S N R b are the SNR values after and before matched filtering, respectively. Here, N is the code length, T is the duration of the carrier wave, H denotes the signal bandwidth, and ζ is the number of transmissions; for CGCs, ζ = 2 , whereas for Barker codes, ζ = 1 . Equation (7) indicates that the SNRG is proportional to ζ N [29].

3. Experimental Measurements

3.1. Measurement Setup

To evaluate the effectiveness of coded excitations in reducing the need for temporal averaging, laboratory experiments were conducted. For the experimental measurements, we used the measurement setup shown in Figure 6. The measurement setup includes a 2000 mm × 2000 mm × 2 mm aluminum plate, a piezoelectric transducer, a laser vibrometer, and a data acquisition (DAQ) box consisting of a homemade amplifier and a data acquisition device (Analog Discovery 3, Digilent Inc. Austin, TX, USA). The aluminum plate dimensions were selected to avoid wave reflections from the plate boundaries, which could be effectively excluded by time gating. The transducer (S0208, ACS Ltd., Saarbrücken, Germany), with a nominal frequency of 100 kHz, was coupled to the plate using ultrasonic gel and a 100 g weight placed on top to ensure stable and repeatable acoustic coupling. The VFX-I-160 laser vibrometer (Polytec GmbH, Waldbronn, Germany) was employed to perform non-contact measurements of vibrations on the plate surface. The DAQ box, providing functions such as signal amplification and temporal averaging, was connected to a computer and operated via custom LabVIEW-based software (LabVIEW version: 2014) to configure the excitation voltages, triggering, and the number of averages [30].
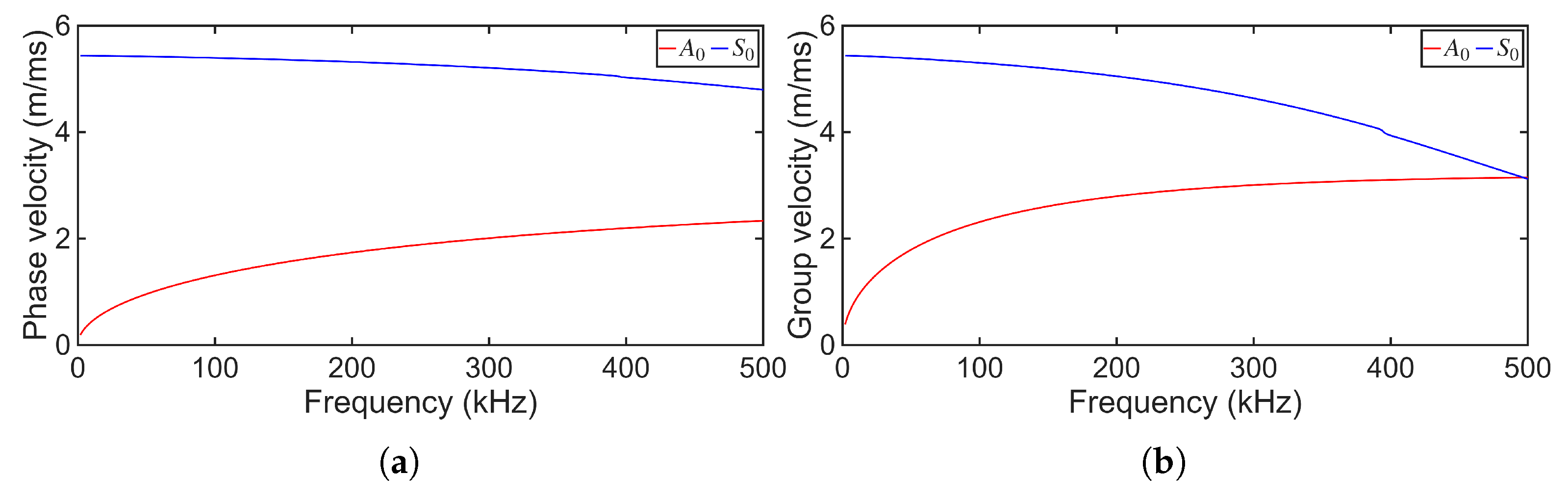
A pitch–catch scheme was used to capture UGWs. To avoid complex multimode propagation, 100 kHz A 0 -mode UGWs were generated by applying an out-of-plane force to the plate surface using the piezoelectric transducer. The out-of-plane displacements at the receiving measurement point were measured using the laser vibrometer. Dispersion curves for this 2 mm aluminum plate are shown in Figure 7. As the A 0 -mode wave is in a dispersive region, as shown in the dispersion curve, the received signals experience waveform distortion. The received signals were first processed by the laser vibrometer front-end unit and then recorded on a computer via the DAQ box for further analysis. As shown in Figure 6a,b, the distance between the transducer and the laser measurement point was 20 cm, and both the transducer and laser measurement locations were positioned sufficiently far from the plate boundaries. This ensured that boundary reflections did not interfere with the directly propagating waves between the transducer and the laser measurement point.
The excitation signals used in the experiments included a one-cycle pulse, defined as a Hanning-windowed sine wave with a duration of one cycle; two Barker-coded signals of different lengths; and a pair of 16-bit CGC-coded signals. The frequency of the one-cycle pulse was 100 kHz, which matched the transducer’s nominal frequency. The coded excitation signals were generated according to Equation (5), where the carrier wave was identical to the one-cycle pulse. The one-cycle pulse and the 13-bit Barker-coded signal are shown in Figure 8. Experiments were performed using different excitation voltages and different numbers of averages. For each excitation voltage, four different excitation signals were tested using six averaging numbers, resulting in 24 received signals per voltage. The same experimental design was applied to all five excitation voltages. Table 3 presents some of the experimental parameters, and all combinations of the listed parameters were tested. The excitation voltage was restricted to 10 V due to the limitations of the DAQ system, which is comparable to many commonly used DAQ devices, such as HS5 (TiePie engineering, Koperslagersstraat, The Netherlands) [31]. In practice, this voltage level is considered low, leading to increased noise influence and thus providing a suitable condition for assessing the performance of coded excitations [23]. The choice of the averaging number depends on the specific measurement setup; for instance, an averaging number of 50 has been reported in the literature [32]. In this study, averaging numbers ranging from 1 to 40 were investigated to evaluate the performance of coded excitations. This range was selected because increasing the averaging number beyond 40 leads to a negligible improvement in SNR. By comparing the SNR values obtained with different numbers of averaging under a series of voltage levels, the effectiveness of coded excitation signals in reducing the required number of averages can be evaluated.

3.2. Results of Decoding

All received signals were time-windowed to gate the boundary-reflected waves and were then filtered using the DAQ system’s built-in 8 kHz high-pass filter to remove low-frequency noise before further processing. After high-pass filtering, the received signals were decoded and time-shifted to compensate for the time lag introduced by the matched filtering, followed by envelope extraction. Finally, the envelope was normalized. Using the normalized envelope, the SNR was computed according to Equation (6), where A m was obtained as the peak amplitude of the envelope mainlobe, and A r m s was evaluated from the noise-only region after 250 μ s. A schematic diagram illustrating the practical calculation of the SNR using a 7-bit Barker code with 40 temporal averages at 5 V is shown in Figure 9.
Figure 10, Figure 11, Figure 12, Figure 13 and Figure 14 present the compressed signal envelopes obtained under excitation voltages of 0.5, 1, 2, 5, and 10 V, respectively. Each figure consists of four subfigures, labeled (a)–(d), corresponding to different excitation signals. Within each subfigure, three representative signals corresponding to averaging numbers of 1, 10, and 30 are shown from top to bottom, respectively.

4. Discussion

Figure 10, Figure 11, Figure 12, Figure 13 and Figure 14 show that the noise level decreases as the number of averages increases across a series of excitation voltages and different excitation signals, confirming the effectiveness of temporal averaging in noise reduction. This effect is particularly evident when comparing the signals obtained with ten averages to those without temporal averaging, as shown in the representative results of Figure 10, Figure 11 and Figure 12 at excitation voltages 0.5 V , 1 V and 2 V , respectively.
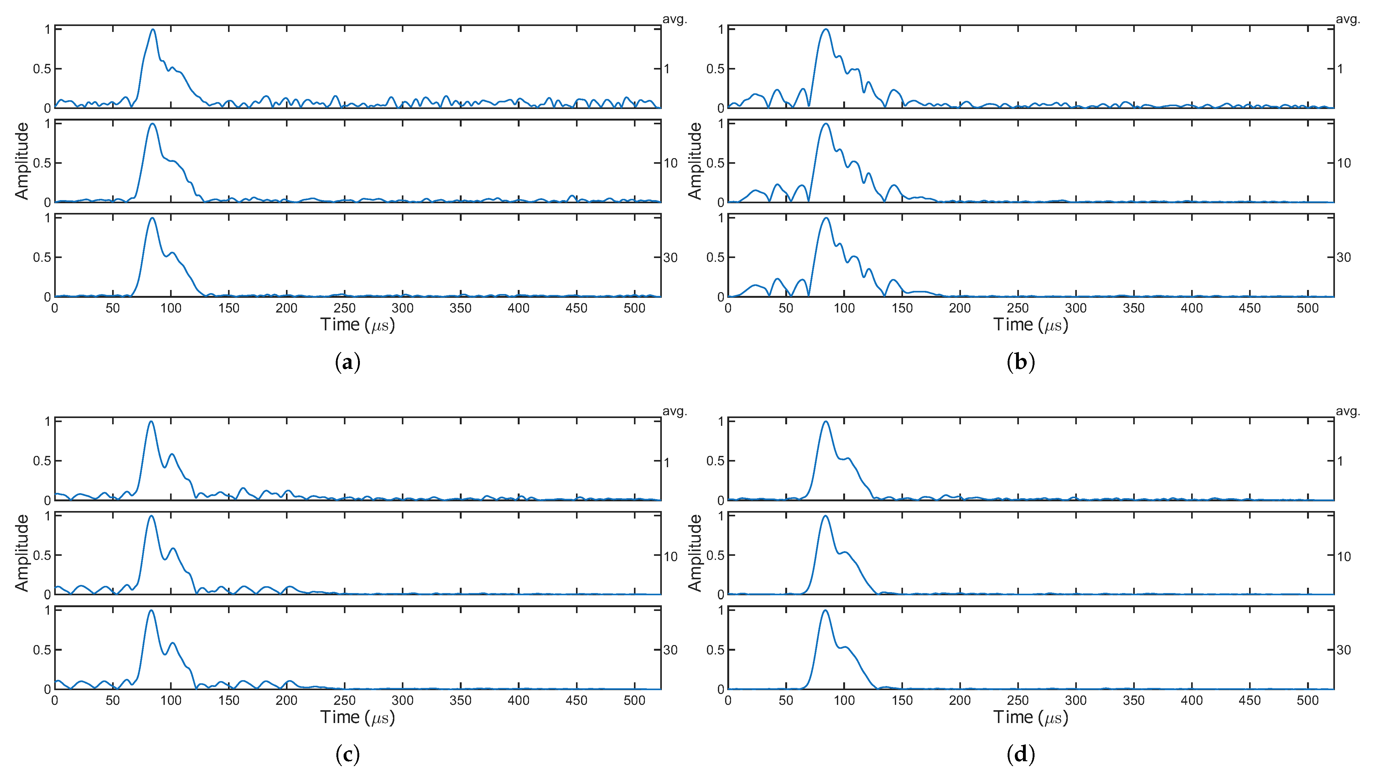
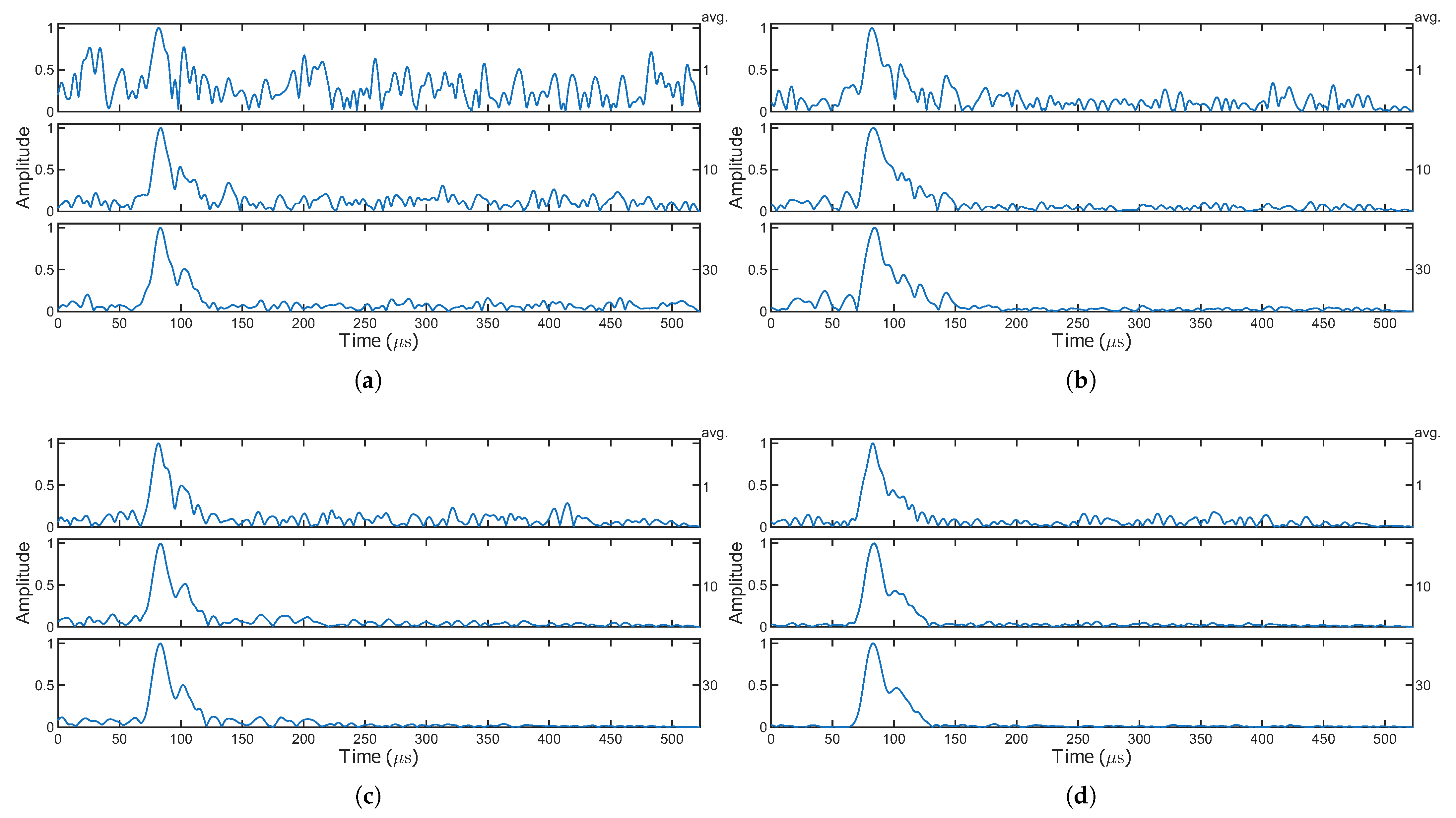
It is observed that, to achieve a relatively low-noise signal, coded excitations require fewer temporal averages than the one-cycle pulse. At an excitation voltage of 0.5 V, the one-cycle pulse in Figure 10a fails to yield reliable results with a sufficient SNR and a clean mainlobe. By contrast, the coded excitations in Figure 10b–d achieve an obviously lower noise level and a clean mainlobe with temporal averaging. As shown in Figure 11, at an excitation voltage of 1 V, the noise level obtained using coded excitations with only 10 averages is already lower than that of the one-cycle pulse with 30 averages. Figure 12 shows that, at an excitation voltage of 2 V, coded excitations achieve a comparable noise level without temporal averaging, compared to the one-cycle pulse with 10 averages. As shown in Figure 13 and Figure 14, at excitation voltages of 5 V and 10 V, respectively, the SNR obtained using coded excitations without temporal averaging is significantly higher than that of the one-cycle pulse without averaging.
In addition to noise characteristics, B 7 exhibits higher sidelobe levels than B 13 , which is consistent with theoretical expectations. For G 16 , the sidelobes are significantly suppressed thanks to the complementary sidelobe cancellation property. However, perfect sidelobe cancellation is not achieved, as shown in Figure 11d. This occurs because the double transmission required by CGCs makes perfect sidelobe cancellation difficult to achieve in practice, particularly in the presence of guided-wave dispersion. Moreover, if the wave propagation conditions change between the two transmissions, for example, due to slight motion of the transducer or variations in the measurement setup, the complementary condition can be violated. In such cases, sidelobe cancellation becomes less effective and residual sidelobes remain in the compressed signal. Overall, these observations indicate that coded excitations can achieve comparable SNR levels with substantially fewer temporal averages, thereby improving data acquisition efficiency.
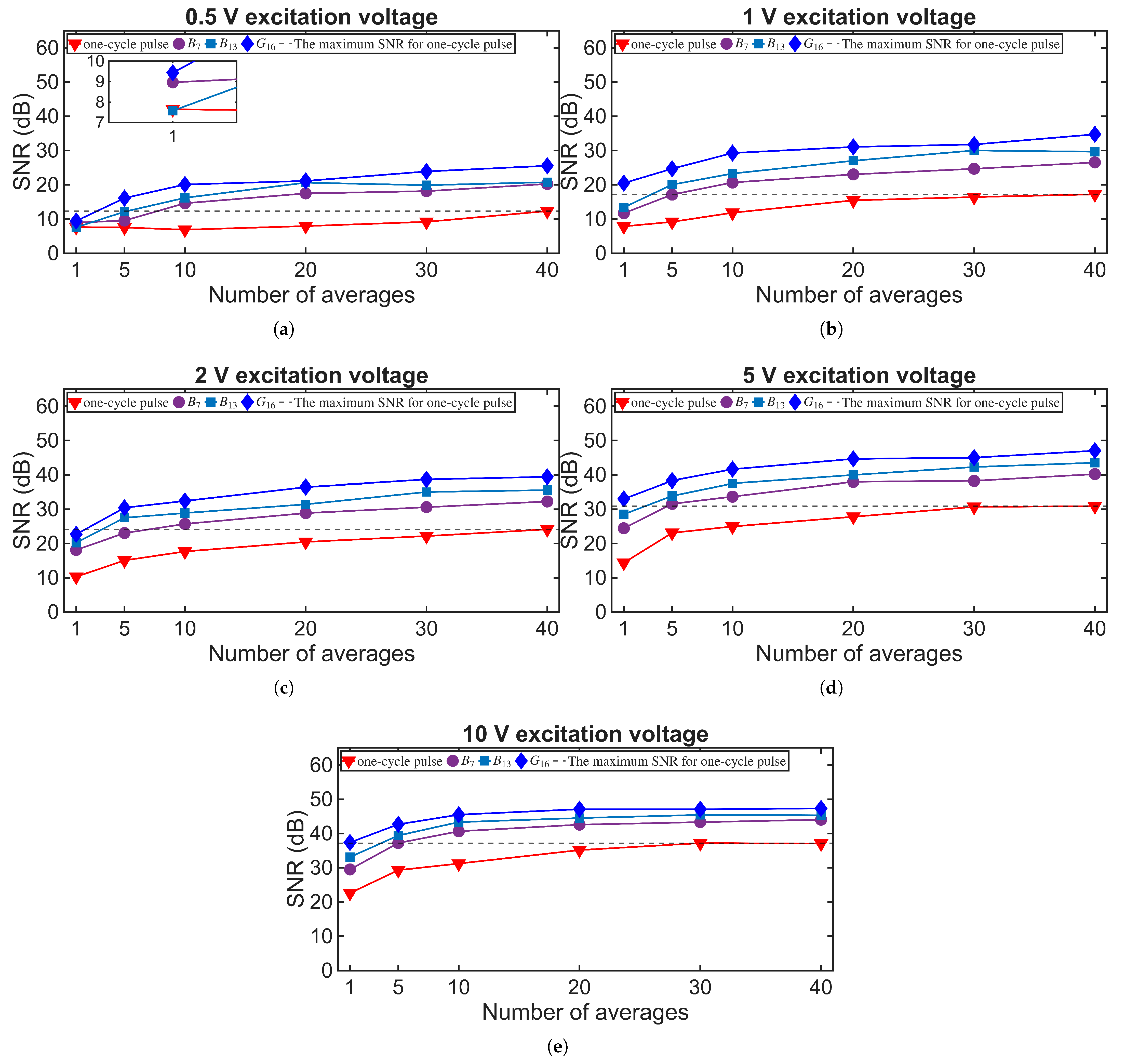
To quantify the effectiveness of coded excitation in reducing the number of averages, the SNR was evaluated and compared based on the results shown in Figure 10, Figure 11, Figure 12, Figure 13 and Figure 14. The SNR values of the one-cycle pulse, B 7 , B 13 , and G 16 under a series of excitation voltages are compared and presented in Figure 15, where subfigures a–e correspond to the results in Figure 10, Figure 11, Figure 12, Figure 13 and Figure 14, respectively. From Figure 15b–e, it can be observed that the SNR generally increases with the number of temporal averages, regardless of the type of excitations. Figure 15 also demonstrates that coded excitations achieve a higher SNR than the one-cycle pulse under the same excitation voltage and number of averages. The SNR values follow the order G 16 > B 13 > B 7 > one-cycle pulse, which agrees well with Equation (7). In addition, the increase in SNR is not linear with respect to the number of averages. This behavior can be attributed to random variations in noise.
In this experiment, the one-cycle pulse achieves its maximum SNR when averaged 40 times. In contrast, the coded excitations reach comparable SNR levels with substantially fewer averages, as shown in Figure 15. The maximum SNR obtained by the one-cycle pulse is indicated by a horizontal dashed line in Figure 15 to clearly illustrate how many averages are required for the other excitations to reach the same SNR level. Table 4 summarizes the minimum number of averages required for coded excitations to achieve the maximum SNR obtained by the one-cycle pulse under the same excitation voltage. As shown in Table 4, the G 16 code can achieve a higher SNR than the one-cycle pulse with 40 averages either without averaging or with only five averages, depending on the excitation voltage. For B 13 , five averages are sufficient to exceed the SNR of the one-cycle pulse with 40 averages, except at an excitation voltage of 0.5 V, where ten averages are required. For B 7 , five averages are sufficient at excitation voltages of 1 V, 5 V, and 10 V, whereas ten averages are required at 0.5 V and 2 V. It should be noted that for G 16 , the time efficiency is reduced by a factor of two, since each temporal average requires two data acquisition cycles. Overall, these results indicate that coded excitations can achieve comparable SNR levels with fewer than ten averages compared with the 40 averages required by the one-cycle pulse, thereby significantly reducing the number of data acquisition cycles.
From a physical perspective, the SNR improvement achieved by coded excitation arises from the increased transmitted signal energy distributed over a longer time duration. During pulse compression, this energy is coherently compressed into a narrow mainlobe. In contrast to the one-cycle pulse, which introduces only limited energy into the structure, coded signals improve robustness against noise without requiring higher excitation voltages. Longer codes generally provide higher SNRs due to their increased transmitted energy, but this comes at the cost of longer signal duration. This explains why G 16 consistently achieves the highest SNR. It should be noted that, in this study, the duration of the coded signals is relatively short compared with the duration of a full data acquisition cycle. Specifically, the excitation signal duration is less than 1 ms, and the fixed data acquisition window is 10 ms. In contrast, a complete acquisition cycle takes approximately 300 ms, because sufficient time is required for reflected waves from plate boundaries to decay, and the hardware system requires additional time to prepare for the next data acquisition. Therefore, the duration of the coded signal does not significantly affect the measurement time efficiency; instead, the measurement time is mainly determined by the number of data acquisition cycles. However, if substantially longer codes are used—for example, HAPI codes that may contain tens of thousands of bits—the increased signal duration would have a pronounced impact on measurement time efficiency [33].
From a practical standpoint, these results indicate that coded excitation is particularly advantageous in low-voltage and time-constrained applications, such as real-time monitoring or automated inspection systems, where extensive temporal averaging is impractical. However, the benefits of coded excitation can be limited by guided-wave dispersion. Dispersion causes waveform distortion during propagation, whereas the matched filter used for pulse compression is designed based on the undistorted excitation signal. This mismatch between the distorted received signal and the reference signal used in matched filtering reduces the effectiveness of pulse compression and consequently degrades the achievable SNR.
In this study, the excitation signal was centered at 100 kHz. As shown in Figure 7, the group velocity of the A 0 mode varies around this frequency, which leads to waveform distortion during propagation. If a higher excitation center frequency, such as 200 kHz, is employed while maintaining a similar bandwidth, the dispersion effect becomes less pronounced. Conversely, under more demanding conditions, such as longer propagation distances, waveform distortion becomes increasingly severe and may further reduce the achievable SNR. This effect can be mitigated by applying dispersion compensation techniques.
In practice, the choice of carrier waveform should be tailored to the dispersion characteristics of the inspected structure in order to further improvement the achievable SNR. Dispersion effects can also be reduced by using carrier waves with narrower bandwidths than that of a one-cycle pulse, such as a five-cycle Hanning-windowed pulse, which is commonly used as a conventional excitation signal. However, in this study, only a one-cycle pulse was used as the conventional baseline excitation. The primary reason is that if a multi-cycle pulse were used as the conventional excitation, the coded excitations would also need to adopt the same multi-cycle pulse as the carrier wave to ensure a fair comparison and minimize the influence of bandwidth differences. Employing a multi-cycle carrier wave would significantly increase the duration of the coded signal, which could lead to overlap between the directly propagating wave and boundary-reflected waves, thereby compromising the accuracy of SNR estimation. Figure 16 illustrates this effect by comparing the spectra of the 100 kHz one-cycle and five-cycle Hanning-windowed pulses together with two 13-bit Barker-coded signals that employ these pulses as their respective carrier waves. As shown in Figure 16, the carrier waveform strongly influences the bandwidth of the coded signals.
In this study, the use of coded excitations is validated for an aluminum plate using the A 0 guided-wave mode under laboratory conditions. However, the methodology presented here can be extended to more complex structures and other guided-wave modes because the underlying signal processing procedures remain the same.
One limitation when applying coded excitations in complex structures, such as those containing rivets, fasteners, or stringers, is the presence of interference waves reflected from boundaries or interfaces. In such cases, the excitation frequency and code length must be carefully selected to avoid signal overlap, ensuring that the compressed mainlobes of different wave packets remain distinguishable.
Ultrasonic guided waves are inherently multimodal, and the simultaneous generation of multiple modes may further increase the likelihood of signal overlap. Nevertheless, coded excitation techniques remain applicable provided that signals from different modes can be effectively separated during signal processing.
In addition, the experiments in this study were conducted in a laboratory environment using a laser Doppler vibrometer to measure the propagated waves. For practical field measurements, conventional ultrasonic transducers can serve as receiving sensors, providing a more convenient and portable solution for on-site inspections.

5. Conclusions

This study experimentally investigated the use of coded excitation to improve the data acquisition efficiency of ultrasonic guided-wave measurements by increasing the achievable SNR and thereby reducing the required number of temporal averages. Barker codes and CGCs were evaluated and compared with a conventional one-cycle pulse under varying excitation voltages and averaging numbers.
The results demonstrate that coded excitation enables a substantial reduction in the number of averages required to achieve a given SNR. Compared with the one-cycle pulse, both Barker codes and CGCs achieved comparable or higher SNRs with significantly fewer data acquisition cycles. Among the tested codes, longer codes generally provided higher SNRs, while CGCs exhibited superior sidelobe suppression at the cost of double transmissions.
These findings confirm that coded excitation is a practical and effective strategy for improving the efficiency of ultrasonic guided-wave measurements. Future work will focus on mitigating dispersion-related degradation, investigating how dispersion limits the usable code length, and extending the approach to more complex structures and inspection scenarios.

Author Contributions

Conceptualization, C.P., M.R. (Madis Ratassepp), and P.A.; methodology, C.P.; data acquisition, C.P.; experimental setup and software, M.R. (Marek Rist) and R.L.; writing—original draft preparation, C.P.; writing—review and editing, C.P., M.R. (Madis Ratassepp), and P.A.; project administration and funding acquisition, M.R. (Madis Ratassepp). All authors have read and agreed to the published version of the manuscript.

Funding

This research was funded by the Estonian Research Council, grant PRG3123.

Institutional Review Board Statement

Not applicable.

Informed Consent Statement

Not applicable.

Data Availability Statement

The data presented in this article are available on request from the authors.

Acknowledgments

The authors acknowledge the use of AI-based tools for language editing and proofreading in the preparation of this manuscript.

Conflicts of Interest

The authors declare no conflicts of interest.

References

  1. Tolbert, C.L. Leveraging variable frequency drive data for nondestructive testing and predictive maintenance in industrial systems. NDT 2025, 3, 7. [Google Scholar] [CrossRef]
  2. Tai, J.L.; Sultan, M.T.H.; Łukaszewicz, A.; Józwik, J.; Oksiuta, Z.; Shahar, F.S. Recent trends in non-destructive testing approaches for composite materials: A review of successful implementations. Materials 2025, 18, 3146. [Google Scholar] [CrossRef] [PubMed]
  3. Gupta, M.; Khan, M.A.; Butola, R.; Singari, R.M. Advances in applications of non-destructive testing (NDT): A review. Adv. Mater. Process. Technol. 2022, 8, 2286–2307. [Google Scholar] [CrossRef]
  4. Rasgado-Moreno, C.O.; Rist, M.; Land, R.; Ratassepp, M. Guided wave tomography of pipe bends based on full waveform inversion. Ultrasonics 2025, 148, 107560. [Google Scholar] [CrossRef]
  5. Benammar, A.; Drai, R.; Guessoum, A. Detection of delamination defects in CFRP materials using ultrasonic signal processing. Ultrasonics 2008, 48, 731–738. [Google Scholar] [CrossRef]
  6. Zhang, D.; Watson, R.; Dobie, G.; MacLeod, C.; Pierce, G. Autonomous ultrasonic inspection using unmanned aerial vehicle. In 2018 IEEE International Ultrasonics Symposium (IUS); IEEE: New York, NY, USA, 2018; pp. 1–4. [Google Scholar] [CrossRef]
  7. Oliveira, T.L.L.; Hadded, M.; Mimouni, S.; Schaan, R.B. The role of non-destructive testing of composite materials for aerospace applications. NDT 2025, 3, 3. [Google Scholar] [CrossRef]
  8. Pasadas, D.J.; Barzegar, M.; Ribeiro, A.L.; Ramos, H.G. Locating and Imaging Fiber Breaks in CFRP Using Guided Wave Tomography and Eddy Current Testing. Sensors 2022, 22, 7377. [Google Scholar] [CrossRef]
  9. Li, Y.; Liang, Q.; He, F. Research on ultrasonic guided wave damage detection in internally corroded pipes with curved random surfaces. Appl. Sci. 2025, 15, 12372. [Google Scholar] [CrossRef]
  10. Fan, Z.; Niu, X.; Miao, B.; Meng, H. Hybrid coded excitation of the torsional guided wave mode T(0,1) for oil and gas pipeline inspection. Appl. Sci. 2022, 12, 777. [Google Scholar] [CrossRef]
  11. Simon, L.H.; Wilkens, V.; Beyer, M. Safety-related conclusions for the application of ultrasound in explosive atmospheres. J. Loss Prev. Process Ind. 2015, 36, 522–531. [Google Scholar] [CrossRef]
  12. Rasgado-Moreno, C.O.; Rist, M.; Land, R.; Ratassepp, M. Acoustic forward model for guided wave propagation and scattering in a pipe bend. Sensors 2022, 22, 486. [Google Scholar] [CrossRef]
  13. Matt, H.M. Structural Diagnostics of CFRP Composite Aircraft Components by Ultrasonic Guided Waves and Built-in Piezoelectric Transducers. Ph.D. Thesis, University of California, San Diego, CA, USA, February 2007. [Google Scholar]
  14. Challinor, C.; Cegla, F. On the robustness of coded excitation in ultrasonic acquisition systems. Ultrasonics 2025, 155, 107726. [Google Scholar] [CrossRef] [PubMed]
  15. Challinor, C.; Pearson, N.; Cegla, F. Coded excitation using TOP-CS sequences for multi-channel low-power ultrasonics. Mech. Syst. Signal Process. 2024, 213, 111339. [Google Scholar] [CrossRef]
  16. Kwon, H.; Joh, C.; Chin, W.J. Pulse peak delay-total focusing method for ultrasonic tomography on concrete structure. Appl. Sci. 2021, 11, 1741. [Google Scholar] [CrossRef]
  17. Nowicki, A.; Klimonda, Z.; Lewandowski, M.; Litniewski, J.; Lewin, P.; Trots, I. Comparison of sound fields generated by different coded excitations—experimental results. Ultrasonics 2006, 44, 121–129. [Google Scholar] [CrossRef] [PubMed]
  18. Han, Q.; Wang, P.; Zheng, H. Modified ultrasonic time-of-flight diffraction testing with Barker code excitation for sizing inclined crack. Appl. Acoust. 2018, 140, 153–159. [Google Scholar] [CrossRef]
  19. Wang, J.; Xu, T.; Zou, H. Defect detection in wood Using air-Coupled ultrasonic technique based on Golay code. Sensors 2025, 25, 3168. [Google Scholar] [CrossRef]
  20. Song, X.; Moilanen, P.; Zhao, Z.; Ta, D.; Pirhonen, J.; Salmi, A.; Hæeggström, E.; Myllylä, R.; Timonen, J.; Wang, W. Coded excitation speeds up the detection of the fundamental flexural guided wave in coated tubes. AIP Adv. 2016, 6, 095001. [Google Scholar] [CrossRef]
  21. Xia, S.; Li, Z.; Jiang, C.; Wang, S.; Wang, K. Application of pulse compression technology in electromagnetic ultrasonic thickness measurement. In 2018 IEEE Far East NDT New Technology & Application Forum (FENDT); IEEE: New York, NY, USA, 2018; pp. 37–41. [Google Scholar] [CrossRef]
  22. Zhang, D.; Watson, R.; Cao, J.; Zhao, T.; Dobie, G.; MacLeod, C.; Pierce, G. Dry-coupled airborne ultrasonic inspection using coded excitation. In 2020 IEEE International Ultrasonics Symposium (IUS); IEEE: New York, NY, USA, 2020; pp. 1–4. [Google Scholar] [CrossRef]
  23. Fan, Z.; Rudlin, J.; Asfis, G.; Meng, H. Convolution of Barker and Golay codes for low voltage ultrasonic testing. Technologies 2019, 7, 72. [Google Scholar] [CrossRef]
  24. Peng, C.; Annus, P.; Rist, M.; Land, R.; Ratassepp, M. Convolution of Barker and mutually orthogonal Golay complementary codes for ultrasonic testing. Sensors 2025, 25, 5007. [Google Scholar] [CrossRef]
  25. Trots, I.; Tasinkevych, Y.; Nowicki, A.; Lewandowski, M. Golay coded sequences in synthetic aperture imaging systems. Arch. Acoust. 2011, 36, 913–926. [Google Scholar] [CrossRef]
  26. Trots, I.; Nowicki, A.; Secomski, W.; Litniewski, J. Golay sequences - side-lobe - canceling codes for ultrasonography. Arch. Acoust. 2004, 29, 87–97. [Google Scholar]
  27. Tasinkevych, Y.; Trots, I.; Nowicki, A. Mutually orthogonal Golay complementary sequences in the simultaneous synthetic aperture method for medical ultrasound diagnostics. an experimental study. Ultrasonics 2021, 115, 106434. [Google Scholar] [CrossRef]
  28. Leavens, C.; Willams, R.; Burns, P.; Sherar, M. The use of phase codes in ultrasound imaging: SNR gain and bandwidth requirements. Appl. Acoust. 2009, 70, 1340–1351. [Google Scholar] [CrossRef]
  29. Challinor, C.; Cegla, F. Pulse compression with and without matched filtering: Why codes beat chirps. NDT E Int. 2024, 147, 103180. [Google Scholar] [CrossRef]
  30. Bitter, R.; Mohiuddin, T.; Nawrocki, M. LabVIEW: Advanced Programming Techniques; CRC Press: Boca Raton, FL, USA, 2006. [Google Scholar]
  31. TiePie Engineering. Handyscope HS5. 2025. Available online: https://www.tiepie.com/en/usb-oscilloscope/handyscope-hs5#specifications (accessed on 6 February 2026).
  32. Rasgado-Moreno, C.O.; Xu, P.; Rist, M.; Ratassepp, M. Optimising full waveform inversion with inhomogeneous transducers: Parameters and considerations for successful implementation. NDT E Int. 2025, 149, 103265. [Google Scholar] [CrossRef]
  33. Kaddoura, T.; Zemp, R.J. Hadamard Aperiodic Interval Codes for Parallel-Transmission 2D and 3D Synthetic Aperture Ultrasound Imaging. Appl. Sci. 2022, 12, 4917. [Google Scholar] [CrossRef]
Figure 1. Schematic diagram of an ultrasonic measurement system using a short pulse and coded excitation.
Figure 1. Schematic diagram of an ultrasonic measurement system using a short pulse and coded excitation.
Applsci 16 02762 g001
Figure 2. The 7-bit Barker code and its autocorrelation. (a) The 7-bit Barker code. (b) Autocorrelation.
Figure 2. The 7-bit Barker code and its autocorrelation. (a) The 7-bit Barker code. (b) Autocorrelation.
Applsci 16 02762 g002
Figure 3. Sidelobe cancellation using the length-8 CGC.
Figure 3. Sidelobe cancellation using the length-8 CGC.
Applsci 16 02762 g003
Figure 4. Coded excitation signal processing flow.
Figure 4. Coded excitation signal processing flow.
Applsci 16 02762 g004
Figure 5. Coding and pulse compression using the 7-bit Barker code.
Figure 5. Coding and pulse compression using the 7-bit Barker code.
Applsci 16 02762 g005
Figure 6. Measurement setup. (a) Measurement platform with a transducer, a laser vibrometer, and an aluminum plate. (b) Locations of the transducer and the laser measurement point. (c) DAQ box and laser front-end.
Figure 6. Measurement setup. (a) Measurement platform with a transducer, a laser vibrometer, and an aluminum plate. (b) Locations of the transducer and the laser measurement point. (c) DAQ box and laser front-end.
Applsci 16 02762 g006
Figure 7. Dispersion curves for the A 0 and S 0 modes in a 2 mm thick aluminum plate. (a) Phase velocity. (b) Group velocity.
Figure 7. Dispersion curves for the A 0 and S 0 modes in a 2 mm thick aluminum plate. (a) Phase velocity. (b) Group velocity.
Applsci 16 02762 g007
Figure 8. Excitation signals. (a) The one-cycle pulse. (b) The 13-bit Barker-coded signal.
Figure 8. Excitation signals. (a) The one-cycle pulse. (b) The 13-bit Barker-coded signal.
Applsci 16 02762 g008
Figure 9. Schematic of the signal processing procedure for SNR calculation with a 7-bit Barker code, 40 temporal averages, and 5 V excitation voltage.
Figure 9. Schematic of the signal processing procedure for SNR calculation with a 7-bit Barker code, 40 temporal averages, and 5 V excitation voltage.
Applsci 16 02762 g009
Figure 10. Resulting signal envelopes for a 0.5 V excitation voltage. (ad) The signals obtained using the one-cycle pulse, B 7 , B 13 , and G 16 , respectively. The number of averages is labeled next to each signal.
Figure 10. Resulting signal envelopes for a 0.5 V excitation voltage. (ad) The signals obtained using the one-cycle pulse, B 7 , B 13 , and G 16 , respectively. The number of averages is labeled next to each signal.
Applsci 16 02762 g010
Figure 11. Resulting signal envelopes for a 1 V excitation voltage. (ad) The signals obtained using the one-cycle pulse, B 7 , B 13 , and G 16 , respectively.
Figure 11. Resulting signal envelopes for a 1 V excitation voltage. (ad) The signals obtained using the one-cycle pulse, B 7 , B 13 , and G 16 , respectively.
Applsci 16 02762 g011
Figure 12. Resulting signal envelopes for a 2 V excitation voltage. (ad) The signals obtained using the one-cycle pulse, B 7 , B 13 , and G 16 , respectively.
Figure 12. Resulting signal envelopes for a 2 V excitation voltage. (ad) The signals obtained using the one-cycle pulse, B 7 , B 13 , and G 16 , respectively.
Applsci 16 02762 g012
Figure 13. Resulting signal envelopes for a 5 V excitation voltage. (ad) The signals obtained using the one-cycle pulse, B 7 , B 13 , and G 16 , respectively.
Figure 13. Resulting signal envelopes for a 5 V excitation voltage. (ad) The signals obtained using the one-cycle pulse, B 7 , B 13 , and G 16 , respectively.
Applsci 16 02762 g013
Figure 14. Resulting signal envelopes for a 10 V excitation voltage. (ad) The signals obtained using the one-cycle pulse, B 7 , B 13 , and G 16 , respectively.
Figure 14. Resulting signal envelopes for a 10 V excitation voltage. (ad) The signals obtained using the one-cycle pulse, B 7 , B 13 , and G 16 , respectively.
Applsci 16 02762 g014
Figure 15. SNRs for different excitation signals at various excitation voltages. (ae) The SNRs obtained using the 0.5 V , 1 V , 2 V , 5 V , and 10 V excitation voltages, respectively.
Figure 15. SNRs for different excitation signals at various excitation voltages. (ae) The SNRs obtained using the 0.5 V , 1 V , 2 V , 5 V , and 10 V excitation voltages, respectively.
Applsci 16 02762 g015
Figure 16. Spectrum of coded signals and their carrier waves.
Figure 16. Spectrum of coded signals and their carrier waves.
Applsci 16 02762 g016
Table 1. Barker codes.
Table 1. Barker codes.
Code NotationNCode Bit Value
B 2 2 ( 1 , 1 ) or ( 1 , 1 )
B 3 3 1 , 1 , 1
B 4 4 ( 1 , 1 , 1 , 1 ) or ( 1 , 1 , 1 , 1 )
B 5 5 1 , 1 , 1 , 1 , 1
B 7 7 1 , 1 , 1 , 1 , 1 , 1 , 1
B 11 11 1 , 1 , 1 , 1 , 1 , 1 , 1 , 1 , 1 , 1 , 1
B 13 13 1 , 1 , 1 , 1 , 1 , 1 , 1 , 1 , 1 , 1 , 1 , 1 , 1
Table 2. CGCs.
Table 2. CGCs.
Code NotationCode Bit Value
G A 8 1 , 1 , 1 , 1 , 1 , 1 , 1 , 1
G B 8 1 , 1 , 1 , 1 , 1 , 1 , 1 , 1
G A 16 1 , 1 , 1 , 1 , 1 , 1 , 1 , 1 , 1 , 1 , 1 , 1 , 1 , 1 , 1 , 1
G B 16 1 , 1 , 1 , 1 , 1 , 1 , 1 , 1 , 1 , 1 , 1 , 1 , 1 , 1 , 1 , 1
Table 3. Some of the experimental parameters.
Table 3. Some of the experimental parameters.
Excitation signalsone-cycle pulse, B 7 , B 13 , G 16
Excitation voltage (V) 0.5 , 1 , 2 , 5 , 10
Averaging number 1 , 5 , 10 , 20 , 30 , 40
Table 4. Minimum averages for coded excitations to reach the maximum SNR of the one-cycle pulse.
Table 4. Minimum averages for coded excitations to reach the maximum SNR of the one-cycle pulse.
Voltage (V)ExcitationNo. of AveragesSNR (dB)
0.5one-cycle pulse4012.3
0.5 B 7 1014.6
0.5 B 13 1016.2
0.5 G 16 516.1
1one-cycle pulse4017.2
1 B 7 517.2
1 B 13 520.0
1 G 16 120.5
2one-cycle pulse4024.1
2 B 7 1025.7
2 B 13 527.5
2 G 16 530.4
5one-cycle pulse4030.9
5 B 7 531.6
5 B 13 533.9
5 G 16 133.0
10one-cycle pulse4037.0
10 B 7 537.2
10 B 13 539.4
10 G 16 137.4
Disclaimer/Publisher’s Note: The statements, opinions and data contained in all publications are solely those of the individual author(s) and contributor(s) and not of MDPI and/or the editor(s). MDPI and/or the editor(s) disclaim responsibility for any injury to people or property resulting from any ideas, methods, instructions or products referred to in the content.

Share and Cite

MDPI and ACS Style

Peng, C.; Annus, P.; Rist, M.; Land, R.; Ratassepp, M. Accelerating Ultrasonic Guided-Wave Measurements via SNR Enhancement Using Coded Excitation: An Experimental Investigation. Appl. Sci. 2026, 16, 2762. https://doi.org/10.3390/app16062762

AMA Style

Peng C, Annus P, Rist M, Land R, Ratassepp M. Accelerating Ultrasonic Guided-Wave Measurements via SNR Enhancement Using Coded Excitation: An Experimental Investigation. Applied Sciences. 2026; 16(6):2762. https://doi.org/10.3390/app16062762

Chicago/Turabian Style

Peng, Chengxiang, Paul Annus, Marek Rist, Raul Land, and Madis Ratassepp. 2026. "Accelerating Ultrasonic Guided-Wave Measurements via SNR Enhancement Using Coded Excitation: An Experimental Investigation" Applied Sciences 16, no. 6: 2762. https://doi.org/10.3390/app16062762

APA Style

Peng, C., Annus, P., Rist, M., Land, R., & Ratassepp, M. (2026). Accelerating Ultrasonic Guided-Wave Measurements via SNR Enhancement Using Coded Excitation: An Experimental Investigation. Applied Sciences, 16(6), 2762. https://doi.org/10.3390/app16062762

Note that from the first issue of 2016, this journal uses article numbers instead of page numbers. See further details here.

Article Metrics

Back to TopTop