Sign in to use this feature.

Years

Between: -

Subjects

remove_circle_outline
remove_circle_outline
remove_circle_outline
remove_circle_outline
remove_circle_outline
remove_circle_outline
remove_circle_outline
remove_circle_outline
remove_circle_outline

Journals

remove_circle_outline
remove_circle_outline
remove_circle_outline
remove_circle_outline
remove_circle_outline
remove_circle_outline
remove_circle_outline
remove_circle_outline
remove_circle_outline
remove_circle_outline
remove_circle_outline
remove_circle_outline
remove_circle_outline

Article Types

Countries / Regions

remove_circle_outline
remove_circle_outline
remove_circle_outline

Search Results (464)

Search Parameters:
Keywords = repeated cross-sectional study

Order results
Result details
Results per page
Select all
Export citation of selected articles as:
44 pages, 4578 KB  
Article
The Art Nouveau Path: Valuing Urban Heritage Through Mobile Augmented Reality and Sustainability Education
by João Ferreira-Santos and Lúcia Pombo
Heritage 2026, 9(1), 4; https://doi.org/10.3390/heritage9010004 - 23 Dec 2025
Abstract
Cultural heritage is framed as a living resource for citizenship and education, although evidence on how in situ augmented reality can cultivate sustainability competences remains limited. This study examines the Art Nouveau Path, a location-based mobile augmented reality game across eight points [...] Read more.
Cultural heritage is framed as a living resource for citizenship and education, although evidence on how in situ augmented reality can cultivate sustainability competences remains limited. This study examines the Art Nouveau Path, a location-based mobile augmented reality game across eight points of interest in Aveiro, Portugal, aligned with the GreenComp framework. Within a design-based research case study, the analysis integrates repeated cross-sectional student questionnaires (S1-PRE N = 221; S2-POST N = 439; S3-FU N = 434), anonymized gameplay logs from 118 collaborative groups, and 24 teacher field observations (T2-OBS), using quantitative summaries with reflexive thematic analysis. References to heritage preservation in students’ sustainability conceptions rose from 28.96% at baseline to 61.05% immediately after gameplay, remaining above baseline at follow-up (47.93%). Augmented reality items were answered more accurately than non- augmented reality items (81% vs. 73%) and involved longer on-site exploration (+10.17 min). Triangulated evidence indicates that augmented reality and multimodality amplified attention to architectural details and prompted debates about authenticity. Built heritage, mobilized through lightweight augmented reality within a digital teaching and learning ecosystem, can serve as an effective context for Education for Sustainable Development, strengthening preservation literacy and civic responsibility and generating interoperable cultural traces for future reuse. Full article
(This article belongs to the Special Issue Applications of Digital Technologies in the Heritage Preservation)
26 pages, 1060 KB  
Article
Gender Income Inequality Within and Outside the State System in China, 2003–2021: An Age–Period–Cohort Analysis
by Ziyang Tan, Cal Wu, Liu Hong and Yan Huang
Sustainability 2026, 18(1), 130; https://doi.org/10.3390/su18010130 - 22 Dec 2025
Viewed by 72
Abstract
Guided by Sustainable Development Goal (SDG) 5 on achieving gender equality and empowering all women and girls, our study examines the age, period, and cohort effects of gender income inequality across China’s public and private sector employment by utilizing hierarchical age–period–cohort cross-classification random-effects [...] Read more.
Guided by Sustainable Development Goal (SDG) 5 on achieving gender equality and empowering all women and girls, our study examines the age, period, and cohort effects of gender income inequality across China’s public and private sector employment by utilizing hierarchical age–period–cohort cross-classification random-effects models (HAPC-CCREMs) and repeated cross-sectional data from the Chinese General Social Survey from 2003 to 2021 (N = 29,367). The results demonstrate the following: (1) Age effects of gender income inequality diverge between public and private sector employment. In public sector employment, inequality undergoes a progressive decline over individuals’ career spans, as age is institutionalized as a sector-specific capital and compresses inequality through seniority-based accumulation. In private sector employment, inequality follows an inverted U-shaped trend as age is marketized as a proxy for labor productivity, producing steeper inequality in individuals’ early careers and sharp declines thereafter. (2) Period effects of gender income inequality manifest significant developing differences across public and private sector employment between 2003 and 2021. In public sector employment, the state redistributive mechanism maintains inequality at a consistently low and stable level. In private sector employment, inequality fluctuates with China’s post-transition economic restructuring, expanding during rapid market growth (2003–2008), contracting amid structural upgrading (2010–2013), and rising again under deeper market integration (2015–2021). (3) Cohort effects are negligible, reflecting that mechanisms sustaining gender income inequality exhibit intergenerational continuity. These results demonstrate that institutional segmentation structures gendered income dynamics throughout the life course via distinct resource allocation mechanisms. Our study extends life course approaches to social inequality, emphasizing the role of gender-equality-oriented governance, lifecycle-spanning support mechanisms, and cross-sectoral coordination in mitigating gender disparities. Full article
Show Figures

Figure 1

11 pages, 385 KB  
Article
Oral Health Status of Children in Strasbourg: An Epidemiological Study (2018–2022)
by Damien Offner, Hayat Heddoub, Sabine Chemouni and Gabriel Fernandez de Grado
Children 2026, 13(1), 4; https://doi.org/10.3390/children13010004 - 19 Dec 2025
Viewed by 95
Abstract
Background/Objectives: Dental caries prevalence remains high in France, but data are scarce. In Strasbourg, a local program aims at improving oral health of all school children, from primary to tertiary prevention. We evaluated the oral health of Strasbourg’s children over five repeated cross-sectional [...] Read more.
Background/Objectives: Dental caries prevalence remains high in France, but data are scarce. In Strasbourg, a local program aims at improving oral health of all school children, from primary to tertiary prevention. We evaluated the oral health of Strasbourg’s children over five repeated cross-sectional screenings. Methods: We analyzed 58 287 screenings of children from 1st to 5th grade from 2018 to 2022. The presence and number of carious lesions was the main variable studied. Results: Untreated dental caries were present among 34% of the children and slightly increased from 33% in 2018 to 35% in 2022 (p = 0.002). The mean number of decayed teeth was 0.85 ± 1.68 and 2.5 ± 2.04 among children with at least one. Dental caries was more prevalent among children in schools from socially disadvantaged neighborhoods (43% vs. 27%, p < 0.001), children from less advanced classes (27% in 5th grade vs. 37% in 1st grade, p < 0.001), and children with inadequate hygiene (72% vs. 28%, p < 0.001). The number of decayed teeth followed the same trend as the prevalence. Conclusion: The prevalence of dental caries diminishes throughout the schooling years. Socioeconomic and behavioral factors remain the major predictors of dental caries. A national study could help confirm if these trends are widespread in France. Full article
(This article belongs to the Special Issue Dental Status and Oral Health in Children and Adolescents)
Show Figures

Figure 1

17 pages, 14285 KB  
Article
Seismic Performance of Concrete Square Column Confined by Five-Spiral Composite Stirrups
by Shanshan Sun, Tao Yu, Xiangyu Gao, Zhaoqiang Zhang, Tian Su and Zhixing Hao
Coatings 2025, 15(12), 1499; https://doi.org/10.3390/coatings15121499 - 18 Dec 2025
Viewed by 162
Abstract
In order to solve the problem of inadequate confinement provided by traditional rectangular stirrups in concrete square columns under stringent seismic fortification requirements, a spiral stirrup with a better constraint effect was used in the square columns in this study. Through a comprehensive [...] Read more.
In order to solve the problem of inadequate confinement provided by traditional rectangular stirrups in concrete square columns under stringent seismic fortification requirements, a spiral stirrup with a better constraint effect was used in the square columns in this study. Through a comprehensive analysis of test results, numerical simulations, and theoretical derivations, the seismic performance and shear capacity calculation methods of concrete square columns confined with five-spiral composite stirrups were investigated. This study provides pertinent technical data to facilitate the engineering application of such columns. The existing low-cycle repeated loading tests of 13 concrete square columns confined with five-spiral composite stirrups were collected and analyzed; some of these specimens were selected for finite element numerical simulation, and the simulation results were compared with the test results. The results indicate that the hysteresis curves and skeleton curves obtained from the numerical simulation agree well with the experimental curves, which verifies the rationality of the numerical simulation model proposed in this paper; post-peak load behavior reveals a pronounced compound confinement effect attributable to the five-spiral stirrups; during mid-to-late loading stages, the tensile stress in small spiral stirrups at intersections with larger spirals escalates rapidly, resulting in maximum transverse confinement within these areas. Based on the validated numerical simulation approach, a comprehensive analysis was performed to investigate the effects of axial compression ratio, shear-span ratio, spacing of small spiral stirrups, and diameter ratio of large-to-small spiral stirrups on the seismic performance of the specimens. The results demonstrate that when the spacing of large and small spiral stirrups is kept consistent, the specimens yield optimal strength and ductility. With the diameter of the central large-spiral stirrup fixed, either an increase or a decrease in the diameter of small spiral stirrups will induce varying degrees of reduction in both strength and ductility of the specimens. Furthermore, the five-spiral reinforced columns achieve the best overall seismic performance when the diameter of the central large spiral stirrup reaches the maximum allowable value for the cross-section, and the diameter of small spiral stirrups is set to one-third that of the large spiral stirrup. Finally, the shear mechanism and influencing factors of the shear capacity of the concrete square columns confined with five-spiral composite stirrups were discussed, and a practical formula for calculating the shear capacity of such columns was proposed. Full article
(This article belongs to the Section Environmental Aspects in Colloid and Interface Science)
Show Figures

Figure 1

16 pages, 5540 KB  
Article
Comparison of Attenuation Imaging in the Rectus Femoris and Biceps Brachii Muscles with Multiecho Dixon-Based Fat Quantification and Ultrasound Echo Intensity
by Sophia Zoller, Karolina Pawlus, Catherine Paverd, Thomas Frauenfelder, Florian A. Huber and Alexander Martin
Diagnostics 2025, 15(24), 3239; https://doi.org/10.3390/diagnostics15243239 - 18 Dec 2025
Viewed by 139
Abstract
Background/Objectives: Sarcopenia, an underdiagnosed musculoskeletal disorder, is a serious cause of disability, poor quality of life, and healthcare costs in an increasingly elderly population. This study aimed to examine an ultrasound (US)-based, inexpensive, simple, and reproducible alternative to magnetic resonance imaging (MRI) [...] Read more.
Background/Objectives: Sarcopenia, an underdiagnosed musculoskeletal disorder, is a serious cause of disability, poor quality of life, and healthcare costs in an increasingly elderly population. This study aimed to examine an ultrasound (US)-based, inexpensive, simple, and reproducible alternative to magnetic resonance imaging (MRI) for assessing muscle quality. A study compared Dixon MR fat fraction with US attenuation imaging (ATI) and echo intensity (EI) in the rectus femoris (RF) and biceps brachii (BB). Methods: The US images were acquired from 34 participants who had previously received a whole-body MRI. The ATI measurements were carried out using a linear array on a Canon Aplio i800 scanner. The measurements of EI were assessed by manually tracing the cross-sectional border of the right RF and BB muscles. Corresponding T1-weighted Dixon VIBE-based fat and water images were required for the MRI fat fraction percentage (MR %FF) measurements. Results: Using Pearsons correlation coefficient, a good correlation was found between MR %FF and EI measurements. The results between operators’ measurements showed a strong correlation and were highly repeatable. Attenuation imaging revealed no correlation with MR %FF or EI. Conclusions: Echo intensity offers a low-cost, non-invasive, and widely accessible US-based imaging modality for screening patients at risk for sarcopenia. No correlation was found between the ATI and MR %FF or between the ATI and EI. Further adapted protocols and software adjustments are needed so that ATI has the potential to prove itself as an additional US-based method for assessing fat infiltration in muscles. Full article
(This article belongs to the Section Medical Imaging and Theranostics)
Show Figures

Figure 1

15 pages, 901 KB  
Article
Is Crime Associated with Obesity and High Blood Pressure? Repeated Cross-Sectional Evidence from a Peruvian Study
by Rosmery Ramos-Sandoval, Janina Bazalar Palacios, Milagros Leonardo Ramos, Emily Baca Marroquín, Arelly Fernanda Vega Peche and Nicolas Ismael Alayo Arias
Obesities 2025, 5(4), 95; https://doi.org/10.3390/obesities5040095 - 17 Dec 2025
Viewed by 176
Abstract
Violence is an emerging social determinant of health in Latin America; however, empirical evidence from Peru remains limited. This study examined the association between crime rates and the prevalence of obesity and high blood pressure in Peru from 2019 to 2023. Using a [...] Read more.
Violence is an emerging social determinant of health in Latin America; however, empirical evidence from Peru remains limited. This study examined the association between crime rates and the prevalence of obesity and high blood pressure in Peru from 2019 to 2023. Using a repeated cross-sectional design with department–year aggregates, we analyzed nationally representative data from the Demographic and Family Health Survey, adjusting for sociodemographic, mental health, and geographic factors. Regional statistics on crime were incorporated into the analysis. The findings revealed a significant association between higher levels of crime and increased prevalence of self-reported high blood pressure and obesity. The association with obesity was particularly pronounced in border regions such as Tumbes, Madre de Dios, and Callao, where criminal activity is more prevalent. The findings indicate that prolonged exposure to violence may negatively impact biological stress responses, limit physical activity, and encourage the emergence of detrimental behaviors, consequently increasing the cardiometabolic risk burden in affected populations. Full article
Show Figures

Figure 1

14 pages, 891 KB  
Article
Prevalence and Predictors of Positive Screening of Body Dysmorphic Disorder in Eastern Saudi Women Seeking Cosmetic Procedures: Implications for Clinical Practice in the Social Media Era
by Anfal Mohammed Alenezi, Bandar Abdulrahman Mansour AlQahtani, Ashokkumar Thirunavukkarasu, Hatim Alrashed, Boshra Abdullrahma H. Alsardi, Tamam Abdulrahman B. Aldaham, Rahmah Mohammed D. Alsabilah and Khulud Najeh N. Alazmi
Healthcare 2025, 13(24), 3232; https://doi.org/10.3390/healthcare13243232 - 10 Dec 2025
Viewed by 280
Abstract
Background/Objectives: Social media popularity and shifting cultural standards of beauty have intensified the growing demand for cosmetic procedures in Saudi Arabia, and body dysmorphic disorder (BDD) has not previously been given due consideration in cosmetic surgery-seeking behavior. This study determined the proportion [...] Read more.
Background/Objectives: Social media popularity and shifting cultural standards of beauty have intensified the growing demand for cosmetic procedures in Saudi Arabia, and body dysmorphic disorder (BDD) has not previously been given due consideration in cosmetic surgery-seeking behavior. This study determined the proportion of females screening positive for BDD and identified its predictors. Participants and methods: The present study employed an analytical cross-sectional design and was conducted from January 2025 to July 2025 in the Dammam region (Eastern) of Saudi Arabia. A validated tool was utilized to assess sociodemographic characteristics, cosmetic surgery history and intentions, social media exposure, and BDD symptoms. We applied a multivariate analysis to identify the predictors. Results: Among the 250 participants, 72 (28.8%) screened positive for BDD. The positive screening for BDD was significantly higher among the participants with a qualification of university and above (ref: up to high school, AOR = 1.291, 95% CI = 1.016–1.667, p = 0.038), who considered cosmetic surgery during their current visit (ref: no, AOR = 3.123, 95% CI = 1.671–4.982, p = 0.001), and more than 3 h use of social media (ref: less than 1 h, AOR = 4.368, 95% CI = 3.570–5.134, p = 0.007). Conclusions: The present findings suggest that a BDD screening program and a multidisciplinary approach are required to ensure ethical practice and to decrease the repeated or unnecessary interventions. Furthermore, future multicenter and mixed-method studies should be conducted to confirm these findings and guide national psychological assessment practices in aesthetic medicine. Full article
(This article belongs to the Section Mental Health and Psychosocial Well-being)
Show Figures

Figure 1

18 pages, 294 KB  
Article
Socio-Demographic and Health Determinants of Overnutrition in Hungarian Women Aged 65 Years and Older
by Salome Zurashvili, Amr Sayed Ghanem, Battamir Ulambayar, Marianna Móré and Attila Nagy
Nutrients 2025, 17(24), 3836; https://doi.org/10.3390/nu17243836 - 8 Dec 2025
Viewed by 251
Abstract
Background/Objectives: Overnutrition, defined as the excessive intake of energy and nutrients leading to increased body mass, is a major contributor to morbidity and mortality worldwide. In Hungary, dietary and lifestyle habits, combined with rapid population aging, make older adults particularly vulnerable to excess [...] Read more.
Background/Objectives: Overnutrition, defined as the excessive intake of energy and nutrients leading to increased body mass, is a major contributor to morbidity and mortality worldwide. In Hungary, dietary and lifestyle habits, combined with rapid population aging, make older adults particularly vulnerable to excess weight. This study aimed to assess the prevalence and determinants of overnutrition among Hungarian women aged 65 years and older, focusing on socio-demographic, lifestyle, and health-related factors. Methods: A repeated cross-sectional analysis was conducted using pooled data from the 2009, 2014, and 2019 Hungarian waves of the European Health Interview Survey (2385 women aged ≥65 years). Overnutrition was defined as Body Mass Index (BMI) ≥25 kg/m2. Associations with explanatory variables were assessed using chi-square tests and multivariable logistic regression, with adjusted odds ratios (ORs) and 95% confidence intervals (CIs). Results: The prevalence of overnutrition was highest in 2014 (35.7%) and lowest in 2019 (30.9%). Significant predictors included marital status (OR = 0.77, 95% CI: 0.63–0.94), tertiary education/primary (OR = 1.62, 95% CI: 1.18–2.22), and income level (2nd /1st quintile: OR = 0.67, 95% CI: 0.51–0.88). Smoking, diabetes, arthrosis, and hypercholesterolemia were associated with lower odds. Poor self-perceived health (OR = 1.45, 95% CI: 1.15–1.82) and mental illness (OR = 1.46, 95% CI: 1.05–2.05) were independently associated with increased risk. Conclusions: The high prevalence of overnutrition in older Hungarian women highlights the importance of targeted public health strategies addressing social disparities and lifestyle behaviors. Full article
(This article belongs to the Special Issue Addressing Malnutrition in the Aging Population)
13 pages, 4942 KB  
Article
Three-Station Non-Contrast MR Angiography of the Lower Extremities Using Standard and Centric Fresh Blood Imaging
by Won C. Bae, Anya Mesa, Vadim Malis, Yoshiki Kuwatsuru, Katsumi Nakamura, Ann Gaffey and Mitsue Miyazaki
Sensors 2025, 25(24), 7429; https://doi.org/10.3390/s25247429 - 6 Dec 2025
Viewed by 425
Abstract
Background: Peripheral artery disease (PAD) is a manifestation of atherosclerosis that affects the extremities, leading to reduced perfusion and functional impairment. Non-contrast magnetic resonance angiography (NC-MRA) provides a safe and quantitative approach for early detection of PAD without the risks associated with [...] Read more.
Background: Peripheral artery disease (PAD) is a manifestation of atherosclerosis that affects the extremities, leading to reduced perfusion and functional impairment. Non-contrast magnetic resonance angiography (NC-MRA) provides a safe and quantitative approach for early detection of PAD without the risks associated with contrast agents. The purpose of this study was to demonstrate the application of standard and centric ky-kz FBI techniques for rapid three-station NC-MRA of the entire lower extremity. Methods: This prospective cross-sectional study compared standard three-station fresh blood imaging (sFBI) with centric ky-kz ordered fresh blood imaging (cFBI) sequences in 10 healthy subjects and 3 patients with PAD (age range: 23–79 years; 7 females) using a 3-Tesla magnetic resonance imaging (MRI) system. Both sequences were acquired at the iliac, femoral, and tibial stations. Image quality (0–4 scale), signal-to-noise ratio (SNR), and contrast-to-noise ratio (CNR) were evaluated. Statistical analysis was performed using repeated-measures analysis of variance (ANOVA) with significance set at α = 0.05. Results: Image quality did not differ significantly between sFBI and cFBI (p = 1.0). The iliac station exhibited lower image quality than the femoral station (p < 0.01). In a PAD patient with an iliac stent, cFBI preserved good image quality in the femoral and tibial stations, whereas sFBI was affected by N/2 aliasing artifacts. Both methods failed to visualize the stented iliac segment. Compared to sFBI, cFBI yielded significantly lower SNR (p < 0.01) and CNR (p < 0.001) but reduced total scan time by approximately 40% (468 s vs. 291 s). Conclusions: Three-station non-contrast FBI MRA of the peripheral arteries is feasible. The cFBI sequence substantially shortens scan time without compromising diagnostic image quality, offering practical advantages for clinical implementation, improved patient comfort, and reduced motion artifacts. Full article
Show Figures

Figure 1

17 pages, 2274 KB  
Article
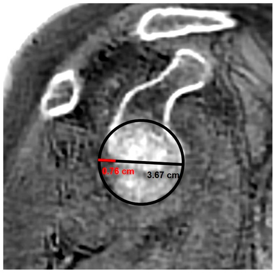
ZTE MRI for Rotator Cuff Tear Arthropathy: Integrated Bone–Muscle Analysis and Its Association with Pseudoparesis
by Engin Türkay Yılmaz, Serkan İbik, Vedat Yaman, Şeyda Betül Fındık, Üstün Aydıngöz and Gazi Huri
J. Clin. Med. 2025, 14(23), 8597; https://doi.org/10.3390/jcm14238597 - 4 Dec 2025
Viewed by 297
Abstract
Background/Objectives: Evaluating glenoid changes in rotator cuff tear arthropathy (RCTA) is crucial for preoperative planning. MRI with zero echo time (ZTE) sequence, which produces CT-like images, allows for the assessment of osseous morphology as well as factors contributing to pseudoparesis in RCTA patients. [...] Read more.
Background/Objectives: Evaluating glenoid changes in rotator cuff tear arthropathy (RCTA) is crucial for preoperative planning. MRI with zero echo time (ZTE) sequence, which produces CT-like images, allows for the assessment of osseous morphology as well as factors contributing to pseudoparesis in RCTA patients. Methods: In this retrospective study, using 3T MRI, glenoid version, glenoid vault depth, humeral subluxation index, humeral head medialization, critical shoulder angle, glenoid best-fit circle width, glenoid best-fit circle bone loss ratio (GBLR), and anterior, central, and posterior glenoid bone loss were measured on reformatted 3D ZTE images in 43 shoulders independently by three observers. The same measurements were repeated by one observer after 10 days. Muscle cross-sectional areas were measured. Patients’ active ROMs, American Shoulder and Elbow Surgeons (ASES), and Constant–Murley scores were recorded. Patients unable to perform 90° forward elevation were classified as the pseudoparesis group. Results: Interobserver agreements were good to excellent, except for glenoid vault depth, anterior bone loss, and GBLR. Intraobserver agreements were good to excellent. The pseudoparesis group showed significantly less subscapularis muscle cross-sectional area (p = 0.006). Moderate correlations were found between subscapularis cross-sectional area and forward elevation, abduction, and internal rotation ([r = 0.471, p = 0.001]; [r = 0.447, p = 0.003]; [r = 0.464, p = 0.002], respectively). Moderate negative correlations were found between anterior glenoid loss and forward elevation (r = −0.411, p = 0.006) and abduction (r = −0.475, p = 0.001). Conclusions: MRI with ZTE sequence demonstrated good reliability for assessing osseous morphology in shoulders with RCTA. Glenoid anterior bone loss and loss of subscapularis muscle are both associated with pseudoparesis. Full article
(This article belongs to the Section Orthopedics)
Show Figures

Figure 1

19 pages, 2362 KB  
Article
Experimental and Simulation Analysis of Die Gating System Design for AlSi9Cu3 Alloy Castings
by Juraj Ružbarský and Jozef Žarnovský
Appl. Sci. 2025, 15(23), 12766; https://doi.org/10.3390/app152312766 - 2 Dec 2025
Viewed by 378
Abstract
This study investigates the melt-flow behavior of the AlSi9Cu3 alloy during high-pressure die casting using a combined experimental and numerical approach. A transparent die and a high-speed camera were used to capture the transient motion of the melt front, while [...] Read more.
This study investigates the melt-flow behavior of the AlSi9Cu3 alloy during high-pressure die casting using a combined experimental and numerical approach. A transparent die and a high-speed camera were used to capture the transient motion of the melt front, while a validated computational model reproduced the filling dynamics under identical boundary conditions. The influence of the gating-system geometry—particularly the gate thickness, flow-path length, and inlet cross-section—was analyzed with respect to filling velocity, filling time, and flow stability. To quantify hydraulic losses that arise in practical die-casting conditions, an empirical correction coefficient k2 was introduced. Its value was obtained by regression analysis based on ten repeated measurements of filling time for each configuration. The deviation between the simulated and experimental velocities did not exceed 5%, demonstrating the reliability of the numerical model within the tested parameter range. The results show that the optimized gating design reduces flow instability, suppresses air entrapment zones, and yields a more uniform velocity distribution across the cavity. The empirical relations derived involving k2 provide a practical tool for preliminary design of gating systems, enabling faster optimization without extensive trial-and-error procedures. The methodology presented in this work offers a validated basis for improving gating-system performance in high-pressure die casting of aluminum alloys. Full article
(This article belongs to the Section Mechanical Engineering)
Show Figures

Figure 1

18 pages, 1478 KB  
Article
Effect of a Visual Dual-Task on Single-Leg Countermovement-Jump in Male Professional Soccer Players with Lower-Limb Injuries: A Cross-Sectional Observational Study
by Geoffrey Memain, Christopher Carling, Jean Bouvet, Paul Fourcade, Pascal Maille and Eric Yiou
Sports 2025, 13(12), 419; https://doi.org/10.3390/sports13120419 - 1 Dec 2025
Viewed by 351
Abstract
Background: Participation in soccer imposes high physical, mechanical, and cognitive demands. Recent evidence suggests that cognitive load, often overlooked in injury prevention, interacts with biomechanical factors and injury risk, resembling a dual-task paradigm where players must adapt motor responses while processing unpredictable game [...] Read more.
Background: Participation in soccer imposes high physical, mechanical, and cognitive demands. Recent evidence suggests that cognitive load, often overlooked in injury prevention, interacts with biomechanical factors and injury risk, resembling a dual-task paradigm where players must adapt motor responses while processing unpredictable game situations. This cross-sectional observational study examined how adding a dual-task during single-leg countermovement-jumps (SLCMJ) affects neuromotor control and performance in elite soccer players. Methods: Players performed SLCMJ on the injured leg while muscle activation, kinematics, and kinetics were measured, with and without a dual-task requiring color identification, via repeated-measures ANOVA; three injured groups (Chondropathy, n = 10, ACL, n = 15, Muscle Injury, n = 15) and a healthy control group (n = 22, followed the same protocol during final-rehabilitation stage. Results: Specific main outcomes were kinetics, kinematics, and EMG variables. Kinetic performances were significantly higher (p < 0.001, d > 0.6) with dual-task: eccentric rate-of-force-development, jump-height, reactive-strength-index-modified, and shorter for time-to-peak of ground-reaction-force (p < 0.05, d > 0.6). Muscle activation increased with dual-task in rectus femoris and biceps femoris during pushing (eccentric and concentric phases) (p < 0.01, d = 0.7) and for medial gastrocnemius during landing (p < 0.05, d = 0.7). Kinematic analyses showed greater pushing knee flexion, while pushing and landing trunk flexion was lower (p < 0.01, d > 0.8). Kinetic values in the three injured groups were lower than those of controls (p < 0.01, d > 0.8). Conclusions: Injured elite soccer players appeared disinhibited in dual-task conditions that improved SLCMJ performance but altered neuromotor control, underscoring the importance of a neurocognitive approach in return-to-play assessments to evaluate reinjury risk. Full article
Show Figures

Figure 1

15 pages, 317 KB  
Article
Factors Associated with the Perception of Obstetric Violence and Its Emotional Impact on Healthcare Training: A Cross-Sectional Study
by Irene Llagostera-Reverter, Víctor Ortíz-Mallasén, Marisol Mejuto-Prego and Desirée Mena-Tudela
Nurs. Rep. 2025, 15(12), 425; https://doi.org/10.3390/nursrep15120425 - 28 Nov 2025
Viewed by 507
Abstract
Background/Objectives: Obstetric violence (OV) is a violation of women’s human rights during reproductive processes. Despite being the subject of debate among healthcare professionals, increasingly recognized, and legislated against in some countries, OV continues to be reproduced and normalized during training. The objective of [...] Read more.
Background/Objectives: Obstetric violence (OV) is a violation of women’s human rights during reproductive processes. Despite being the subject of debate among healthcare professionals, increasingly recognized, and legislated against in some countries, OV continues to be reproduced and normalized during training. The objective of this study was to determine the perception of OV among health sciences students and gynaecology and obstetrics residents. Methods: A cross-sectional observational study was conducted with 304 health sciences students and gynaecology and obstetrics residents in Spain. An online questionnaire was distributed that gathered information on sociodemographic variables and clinical experience and included the validated PercOV-S instrument. Descriptive and bivariate analyses were performed to explore associations between variables. Results: The overall perception of OV was moderately high (mean 3.93/5), with higher scores for visible or protocolized forms (4.27/5) than for invisible or subtle forms (2.87/5). Being a woman, being a midwifery resident, or having had personal experiences with pregnancy or childbirth increased sensitivity to OV. Clinical exposure in obstetrics and gynaecology services increased both awareness and the likelihood of witnessing OV. Twenty-eight percent of students reported having observed OV, and twenty percent reported emotional distress, even considering dropping out. Conclusions: Despite the recognition of OV, repeated exposure during training can promote its normalization. The results of this study highlight the need for safe, reflective training environments that mainstream feminist perspectives, sexual rights, and the detection of subtle forms of OV. Full article
Show Figures

Figure 1

25 pages, 17729 KB  
Article
Integration of TLS and HLS Data for Non-Destructive Structural Damage Assessment of Building Structures: A Case Study of a Small Hydropower Plant
by Piotr Kędziorski, Jacek Katzer and Marcin Jagoda
Materials 2025, 18(23), 5352; https://doi.org/10.3390/ma18235352 - 27 Nov 2025
Viewed by 195
Abstract
This study demonstrates the effectiveness of integrating terrestrial laser scanning (TLS) and handheld laser scanning (HLS) for structural diagnostics. The research was conducted on a Small Hydropower Plant (SHP) in Koszalin, Poland. TLS was used to capture the general geometry of the object, [...] Read more.
This study demonstrates the effectiveness of integrating terrestrial laser scanning (TLS) and handheld laser scanning (HLS) for structural diagnostics. The research was conducted on a Small Hydropower Plant (SHP) in Koszalin, Poland. TLS was used to capture the general geometry of the object, while HLS operating in infrared (IR) and blue light modes enabled high-resolution documentation of local damage. Areas of interest were identified using the Surface Variation parameter, and selected zones were scanned with HLS. Both HLS modes delivered consistent results, with differences not exceeding ±0.37 mm. The IR mode proved particularly useful in constrained spaces, allowing for precise measurements without the use of reference markers. Comparative analyses of cross-sections through a major crack confirmed that both HLS modes produce repeatable results with submillimeter accuracy. Integrating TLS and HLS data resolved blind spots inherent to TLS and produced a complete point cloud preserving both global geometry and local detail. The findings confirm the applicability of this hybrid approach in assessing structural damage and highlight its relevance in civil engineering applications. The proposed workflow is effective for documenting inaccessible or complex geometries while optimizing data volume and acquisition time (R1-C10). Full article
Show Figures

Figure 1

12 pages, 346 KB  
Article
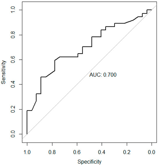
Serum Glucose-6-Phosphate Dehydrogenase Activity as a Biomarker for Gastric Cancer Stage Prediction
by Chang-Hwan Yeom, Jiewon Lee, Keun-Joo Bae, Kangseok Kim, Jongsoon Choi and Myeong-Hun Lim
Cancers 2025, 17(23), 3798; https://doi.org/10.3390/cancers17233798 - 27 Nov 2025
Viewed by 622
Abstract
Background: Gastric cancer is the fifth most prevalent cancer diagnosed worldwide, and approximately 40% of patients who experience recurrence within five years develop hematogenous metastasis. Given that early prediction of recurrence may improve overall survival, there is a need for a biomarker [...] Read more.
Background: Gastric cancer is the fifth most prevalent cancer diagnosed worldwide, and approximately 40% of patients who experience recurrence within five years develop hematogenous metastasis. Given that early prediction of recurrence may improve overall survival, there is a need for a biomarker that allows for repeated measurements and can accurately predict cancer stage. This study aimed to evaluate the potential of glucose-6-phosphate dehydrogenase activity, which is a factor associated with cancer progression, as a biomarker for predicting the stage of gastric cancer. Methods: This cross-sectional study retrospectively analyzed the medical records of patients with gastric cancer. Patients were classified into early-stage (Stage I–II) and advanced-stage (Stage III–IV) groups, and serum G6PD activity was compared between the two groups. Receiver operating characteristic (ROC) curve analysis was conducted to calculate the area under the curve (AUC), identifying the optimal cutoff value, and to determine the corresponding sensitivity and specificity. Results: Serum G6PD activity was significantly higher in the advanced-stage group compared to the early-stage group. Moreover, ROC curve analysis yielded an AUC of 0.70, indicating fair diagnostic performance. The optimal G6PD cutoff point was determined to be 12.05 U/g Hb, corresponding to a sensitivity of 0.59 and a specificity of 0.78. Conclusions: This study demonstrated the clinical utility of serum G6PD activity in predicting the stage of gastric cancer. As the test requires only a single drop of blood and provides rapid results, the test could be a practical tool for monitoring of recurrence in gastric cancer follow-up settings. Full article
(This article belongs to the Special Issue Advancements in “Cancer Biomarkers” for 2025–2026)
Show Figures

Figure 1

Back to TopTop