Sign in to use this feature.

Years

Between: -

Subjects

remove_circle_outline
remove_circle_outline
remove_circle_outline
remove_circle_outline
remove_circle_outline
remove_circle_outline
remove_circle_outline
remove_circle_outline
remove_circle_outline

Journals

remove_circle_outline
remove_circle_outline
remove_circle_outline
remove_circle_outline
remove_circle_outline
remove_circle_outline
remove_circle_outline
remove_circle_outline
remove_circle_outline
remove_circle_outline
remove_circle_outline
remove_circle_outline
remove_circle_outline
remove_circle_outline
remove_circle_outline
remove_circle_outline
remove_circle_outline
remove_circle_outline

Article Types

Countries / Regions

remove_circle_outline
remove_circle_outline
remove_circle_outline
remove_circle_outline
remove_circle_outline
remove_circle_outline
remove_circle_outline

Search Results (1,255)

Search Parameters:
Keywords = recovery strain

Order results
Result details
Results per page
Select all
Export citation of selected articles as:
16 pages, 6421 KB  
Article
Effects of Multi-Pass Butt-Upset Cold Welding on Mechanical Performance of Cu-Mg Alloys
by Yuan Yuan, Yong Pang, Zhu Xiao, Shifang Li and Zejun Wang
Materials 2025, 18(24), 5641; https://doi.org/10.3390/ma18245641 - 15 Dec 2025
Abstract
Joining high-strength, cold-drawn Cu-Mg alloy conductors is a critical challenge for ensuring the reliability of high-speed railway catenary systems. This study investigates the evolution of mechanical properties and microstructure in Cu-0.43 wt% Mg alloy wires joined by multi-pass butt-upset cold welding without special [...] Read more.
Joining high-strength, cold-drawn Cu-Mg alloy conductors is a critical challenge for ensuring the reliability of high-speed railway catenary systems. This study investigates the evolution of mechanical properties and microstructure in Cu-0.43 wt% Mg alloy wires joined by multi-pass butt-upset cold welding without special surface preparation. High-integrity joints were achieved, exhibiting a peak tensile strength of 624 MPa (~96% of the base material’s strength). After four upsetting processes, the tensile strength of the weld can reach 90% of the original strength, and the gains from subsequent upsetting processes are negligible. Microstructural analysis revealed the joining process is governed by localized severe shear deformation, which forges a distinct gradient microstructure. This includes a transition zone of fine, equiaxed-like grains formed by dynamic recrystallization/recovery, and a central zone featuring a nano-laminar structure, high dislocation density, and deformation twins. A multi-stage dynamic bonding mechanism is proposed. It progresses from initial contact via thin film theory to bond consolidation through a “mechanical self-cleaning” process, where extensive radial plastic flow effectively expels surface contaminants. This work clarifies the fundamental bonding principles for pre-strained, high-strength alloys under multi-pass cold welding, providing a scientific basis to optimize this heat-free joining technology for industrial applications. Full article
(This article belongs to the Section Metals and Alloys)
12 pages, 5211 KB  
Article
H2O2-Assisted Fabrication of Stiff and Tough Hydrogel Using Natural Cysteine-Rich Protein
by Mengting Fan, Beizhe Huang, Yuhan Li, Ting Zhang, Ranjith Kumar Kankala and Jianting Zhang
Gels 2025, 11(12), 1007; https://doi.org/10.3390/gels11121007 - 13 Dec 2025
Viewed by 36
Abstract
Protein-based hydrogels have emerged as an important class of materials for biomedical applications. However, these hydrogels often exhibit inferior mechanical properties, significantly limiting their potential applicability. Herein, a simplified yet efficient soaking method is developed to broaden the scope of constructing stiff and [...] Read more.
Protein-based hydrogels have emerged as an important class of materials for biomedical applications. However, these hydrogels often exhibit inferior mechanical properties, significantly limiting their potential applicability. Herein, a simplified yet efficient soaking method is developed to broaden the scope of constructing stiff and tough pure protein hydrogels, using natural cysteine-rich proteins, such as lactoferrin (LF). The preformed, soft and brittle, unfolded protein hydrogels transformed into highly stretchable and compressible elastomers after soaking in H2O2 due to chain entanglement and self-crosslinking via interchain disulfide bonds. As a result, the H2O2-treated LF hydrogels exhibited an extraordinary ultimate strength (compressive and tensile strains of over 90% and 400%, respectively, and stresses of 20 and 1.5 MPa). In addition, these rubber-like hydrogels exhibited exceptional self-recovery and fatigue resistance capabilities. Furthermore, the relationship between protein structure and the mechanical properties of the hydrogel was investigated. Together, these revelations could serve as a guiding principle for advancing the design of biocompatible, tough protein hydrogels without chemical modification or mechanical reinforcing fillers. Full article
(This article belongs to the Special Issue Advances in Protein Gels and Their Applications)
Show Figures

Figure 1

17 pages, 1317 KB  
Article
Development of the Efficient Electroporation Protocol for Leuconostoc mesenteroides
by Kseniya D. Bondarenko, Leonid A. Shaposhnikov, Aleksei S. Rozanov and Alexey E. Sazonov
Int. J. Mol. Sci. 2025, 26(24), 11933; https://doi.org/10.3390/ijms262411933 - 11 Dec 2025
Viewed by 85
Abstract
Leuconostoc mesenteroides is a key microorganism in food biotechnology, valued for its production of flavor-forming metabolites and exopolysaccharides, and its inclusion in starter cultures and biocatalytic systems. However, the application of advanced genetic tools to L. mesenteroides remains hindered by multiple barriers, including [...] Read more.
Leuconostoc mesenteroides is a key microorganism in food biotechnology, valued for its production of flavor-forming metabolites and exopolysaccharides, and its inclusion in starter cultures and biocatalytic systems. However, the application of advanced genetic tools to L. mesenteroides remains hindered by multiple barriers, including inefficient DNA transfer, elevated endogenous nuclease activity, and restriction–modification systems sensitive to plasmid methylation patterns. As a result, even widely accepted electroporation methodologies often yield inconsistent or irreproducible transformation results, limiting the strain’s amenability to metabolic engineering and synthetic biology applications. In this study, a reproducible electroporation protocol for the L. mesenteroides strain H32-02 Ksu is developed and experimentally validated. The protocol concept relies on the sequential optimization of key process steps: targeted weakening of the cell wall followed by osmotic protection, the development of a gentle electrical stimulus that ensures membrane permeability without critical damage, and the creation of recovery conditions that minimize loss of viability and degradation of incoming DNA. Matching plasmid methylation to the recipient’s restriction profile proved critical: choosing a source for plasmid DNA production with a compatible methylation pattern dramatically increased the likelihood of successful transformation. In our case, the selection of an E. coli strain with a more suitable methylation profile increased the yield of transformants by 3.5 times. It was also shown that reducing the pulse voltage increase transformant number by 3 times. The combined optimization resulted in an approximately 40-fold increase in transformation efficiency compared to the baseline level and, for the first time, provided consistently reproducible access to transformants of this strain. The highest transformation efficiency was achieved: 8 × 102 CFU µg−1 DNA. The presented approach highlights the strain-specificity of barriers in Leuconostoc and forms a technological basis for constructing strains with desired properties, expressing heterologous enzymes, and subsequently scaling up bioprocesses in food and related industries. The methodological principles embodied in the protocol are potentially transferable to other lactic acid bacteria with similar limitations. Full article
Show Figures

Figure 1

16 pages, 4234 KB  
Article
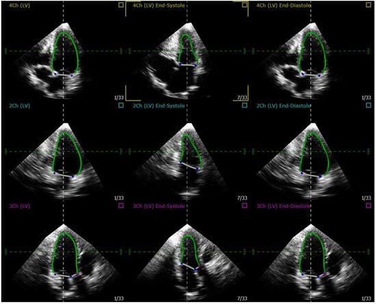
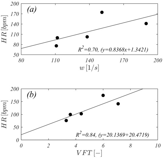
Cardiac Deformation Patterns During Exercise in Healthy Children
by Dario Collia, Ling Li, Mary Craft, Christopher C. Erickson, Zahi A. Fayad, Maria G. Trivieri, Jason Christensen and Gianni Pedrizzetti
J. Cardiovasc. Dev. Dis. 2025, 12(12), 488; https://doi.org/10.3390/jcdd12120488 - 10 Dec 2025
Viewed by 82
Abstract
In the cardiovascular system, geometric remodeling of the cardiac chambers is the main mechanism enabling increased cardiac performance during exercise in athletes, as well as underlying pathological progression toward heart failure. In this study, we investigated cardiac mechanics in healthy children across five [...] Read more.
In the cardiovascular system, geometric remodeling of the cardiac chambers is the main mechanism enabling increased cardiac performance during exercise in athletes, as well as underlying pathological progression toward heart failure. In this study, we investigated cardiac mechanics in healthy children across five phases of physical exercise, Rest, Mid, Peak, and Recovery, at 5 and 10 min, using three-dimensional echocardiography. Analyses were conducted relative to a reference cohort of healthy children to identify exercise-induced modifications that may contribute to cardiac remodeling. Ventricular performance was assessed through two complementary approaches: myocardial deformation, quantified by the principal values and directions of the strain tensor, and intraventricular flow dynamics, including assessments of ventricular filling patterns as the vorticity, vortex formation time and hemodynamic forces. This preliminary study offers promising insights into early cardiac function changes that may inform our understanding of cardiac remodeling during adaptation, healing or disease progression. Full article
Show Figures

Figure 1

18 pages, 6173 KB  
Article
Regulating the GP Zone to T′ Phase Evolution and Achieving Strength–Ductility Synergy in an Al-Mg-Zn-Cu Alloy via a Two-Step Aging (T4P-BH) Process
by Shiyang Chen, Haicun Yu, Jiazhi An, Ziqi Shang, Ziren Wang and Wanwu Ding
Metals 2025, 15(12), 1347; https://doi.org/10.3390/met15121347 - 8 Dec 2025
Viewed by 124
Abstract
To address the technical challenge of balancing formability and strength in automotive aluminum alloys, this study examined an Al-4.35Mg-3.6Zn-0.2Cu alloy subjected to a combined heat-treatment schedule consisting of a two-step solution treatment (470 °C for 24 h followed by 460 °C for 30 [...] Read more.
To address the technical challenge of balancing formability and strength in automotive aluminum alloys, this study examined an Al-4.35Mg-3.6Zn-0.2Cu alloy subjected to a combined heat-treatment schedule consisting of a two-step solution treatment (470 °C for 24 h followed by 460 °C for 30 min) and a subsequent two-step aging process (T4P: 80 °C for 12 h, followed by BH: 180 °C for 30 min). Microstructural evolution was characterized using transmission electron microscopy, and uniaxial tensile tests were performed in accordance with the GB/T 228.1-2021 standard at a strain rate of 0.2 mm/min. In the T4P condition, the matrix contained both GPI zones (~0.9 nm) and GPII zones (~1.2 nm), with no detectable T-phase precipitation. The presence of GPII zones enhanced ductility by promoting dynamic recovery after dislocation shearing, resulting in a yield strength (YS) of 178 MPa, an ultimate tensile strength (UTS) of 310 MPa, and an elongation (El) of 9%. After BH treatment, the GPII zones transformed into semi-coherent T′-Mg32(AlZnCu)49 precipitates (~2.4 nm), which strengthened the alloy through their semi-coherent interfaces. The retained GPII zones mitigated the loss of ductility, and the final mechanical properties reached a YS of 275 MPa, a UTS of 340 MPa, and an El of 8.5%, corresponding to a BH response of 97 MPa. Strengthening-mechanism calculations indicated that GP zones contributed approximately 120 MPa to the yield strength in the T4P state, whereas T′ precipitates contributed about 169.64 MPa after BH treatment. The calculated values agreed well with the experimental results, with a deviation of less than 3%. This study clarifies the precipitation sequence in the alloy—supersaturated solid solution → GPI zones → GPII zones → T′ phase—and establishes the relationship between microstructure and strength–ductility behavior. The findings provide theoretical guidance for the design and optimization of high-strength, high-formability aluminum alloys for automotive outer-panel applications. Full article
Show Figures

Graphical abstract

19 pages, 5192 KB  
Article
Hurricanes and Human Health in Louisiana: Insights from Hurricanes Laura, Delta, and Ida
by Shobha Kumari Yadav, Robert V. Rohli, M. E. Betsy Garrison, Elisabeth Ponce-Garcia, Nazla Bushra and Charleen McNeill
Sustainability 2025, 17(24), 10944; https://doi.org/10.3390/su172410944 - 7 Dec 2025
Viewed by 400
Abstract
Louisiana is one of the most disaster-prone states, with hurricanes ranking among the most destructive hazards. Hurricanes impede sustainability by straining hospital infrastructure, overwhelming emergency departments, and disrupting continuity of care. Louisiana’s healthcare system, characterized by high uninsured rates, limited rural access, and [...] Read more.
Louisiana is one of the most disaster-prone states, with hurricanes ranking among the most destructive hazards. Hurricanes impede sustainability by straining hospital infrastructure, overwhelming emergency departments, and disrupting continuity of care. Louisiana’s healthcare system, characterized by high uninsured rates, limited rural access, and notable racial and socioeconomic disparities, is particularly vulnerable during disasters. This research explores trends of mental and respiratory health in Louisiana surrounding Hurricanes Laura (2020), Delta (2020), and Ida (2021). Analysis reveals a substantial increase in admissions after landfall of all three storms, with mental health conditions showing a larger surge than respiratory ones in already-vulnerable communities. Gender disparities were evident, with female patients accounting for a higher percentage across all three hurricanes and across all age groups. The results suggest the importance of considering social determinants of health during disasters and ensuring adequate resources for older populations with complex medical needs, thereby promoting more sustainable health systems. These results underscore how critical preparedness and recovery planning are for hospitals in hurricane-prone areas. Incorporating resilience measures such as reliable power systems, clearer evacuation pathways, and better coordination of post-disaster care can help protect patients and providers in the future. Full article
Show Figures

Figure 1

30 pages, 2225 KB  
Systematic Review
Biopsychosocial and Occupational Health of Emergency Healthcare Professionals: A Systematic Review and Meta-Analysis
by Rafael Galindo-Herrera, Manuel Pabón-Carrasco, Rocío Romero-Castillo and Miguel Garrido-Bueno
Nurs. Rep. 2025, 15(12), 430; https://doi.org/10.3390/nursrep15120430 - 4 Dec 2025
Viewed by 453
Abstract
Background/Objectives: Emergency healthcare professionals are continually exposed to high clinical and organizational demands that compromise their mental, physical, and occupational health. This systematic review and meta-analysis examined the prevalence and interrelations of biopsychosocial and work-related health outcomes among emergency personnel, providing an integrated [...] Read more.
Background/Objectives: Emergency healthcare professionals are continually exposed to high clinical and organizational demands that compromise their mental, physical, and occupational health. This systematic review and meta-analysis examined the prevalence and interrelations of biopsychosocial and work-related health outcomes among emergency personnel, providing an integrated synthesis of recent empirical evidence. Methods: A systematic search of PubMed, Scopus, Web of Science, and CINAHL identified 6214 records, of which 50 studies met inclusion criteria and were analyzed (total n = 278,000 emergency professionals). Eligible studies (2020–2025) evaluated biopsychosocial outcomes (burnout, depression, stress, resilience, sleep quality) and occupational indicators (workplace violence, job satisfaction, effort-reward imbalance, engagement, turnover intention). Meta-analyses were conducted using random-effects models (DerSimonian-Laird method), producing pooled prevalence estimates for each outcome based on the number of studies that reported the corresponding variable. Risk of bias was assessed using the Joanna Briggs Institute tools, with most studies rated as moderate-to-high quality. Results: Pooled estimates showed fair self-perceived health in 44.0%, severe burnout in 10.7%, depressive symptoms in 35.1%, moderate-to-severe stress in 74.6%, and poor sleep quality in 40.1% of staff. Workplace violence affected 76.9% of professionals. Job satisfaction averaged 68.1%, turnover intention 62.1%, and effort-reward imbalance 61.9%. Resilience was predominantly moderate (33.9%). Considerable heterogeneity was observed; however, patterns were consistent across regions and professional roles. Conclusions: Emergency healthcare personnel face substantial biopsychosocial strain and occupational risks, driven by persistent structural pressures. Health systems should implement integrated organizational strategies to reduce violence, enhance psychological support, ensure safe staffing, and protect rest and recovery. Improving staff well-being is essential for maintaining a resilient and effective emergency care workforce. Full article
Show Figures

Figure 1

13 pages, 1481 KB  
Case Report
Accelerating an Olympic Decathlete’s Return to Competition Using High-Frequency Blood Flow Restriction Training: A Case Report
by Chris Gaviglio and Stephen P. Bird
Sports 2025, 13(12), 436; https://doi.org/10.3390/sports13120436 - 4 Dec 2025
Viewed by 338
Abstract
This case report describes the acceleration of an Olympic decathlete’s return to competition induced via high-frequency Blood Flow Restriction (BFR) training. BFR has gained popularity as an innovative rehabilitation method for promoting muscle repair and adaptation through anabolic and regenerative pathways when high [...] Read more.
This case report describes the acceleration of an Olympic decathlete’s return to competition induced via high-frequency Blood Flow Restriction (BFR) training. BFR has gained popularity as an innovative rehabilitation method for promoting muscle repair and adaptation through anabolic and regenerative pathways when high mechanical loading is not possible. A 26-year-old elite decathlete with nine years of international experience sustained a Grade 2b strain of the semimembranosus and semitendinosus (a 9 mm central tendon tear) during a hurdle sprint. The injury was confirmed via MRI two days post-injury. Grade 2b hamstring injuries with intramuscular tendon involvement commonly require up to 4 weeks of rehabilitation before full training can be resumed. With the athlete due to complete in an Olympic Games competition 17 days post-injury, an intensive BFR-assisted rehabilitation program was initiated. Over 12 consecutive days, the athlete completed 3–6 BFR sessions per day (20–30 min each) at 50% limb occlusion pressure, along with physiotherapy and pain-limited functional testing. BFR was applied passively for recovery, during conditioning, and in low-load strength sessions. By day 12, sprint velocity reached 95% maximum, and the athlete successfully completed the decathlon, with no adverse effects or reinjury. This case illustrates how high-frequency BFR-assisted rehabilitation may facilitate accelerated recovery from a hamstring injury, enabling an effective return to elite competition within condensed timelines. Full article
Show Figures

Figure 1

20 pages, 1165 KB  
Article
Does Distance Matter? Metabolic and Muscular Challenges of a Non-Stop Ultramarathon with Sub-Analysis Depending on Running Distance
by Lucas John, Moritz Munk, Roman Bizjak, Sebastian V. W. Schulz, Jens Witzel, Harald Engler, Christoph Siebers, Michael Siebers, Johannes Kirsten, Marijke Grau and Daniel Alexander Bizjak
Nutrients 2025, 17(23), 3801; https://doi.org/10.3390/nu17233801 - 4 Dec 2025
Viewed by 893
Abstract
Background: Ultramarathon running represents an extreme physiological and metabolic challenge. Despite its growing popularity among recreational and competitive runners, evidence-based guidance for nutrition, energy balance, and recovery remains limited. Understanding metabolic response and hormonal regulation during such events is crucial for improving athletes’ [...] Read more.
Background: Ultramarathon running represents an extreme physiological and metabolic challenge. Despite its growing popularity among recreational and competitive runners, evidence-based guidance for nutrition, energy balance, and recovery remains limited. Understanding metabolic response and hormonal regulation during such events is crucial for improving athletes’ health and performance. Methods: This prospective observational study examined participants of the 2024 TorTour de Ruhr® (100 km, 160.9 km, and 230 km). Pre- and post-race assessments included body composition, energy intake and expenditure, metabolic and hormonal biomarkers (leptin, ghrelin, insulin, glucagon, irisin, creatine kinase muscle type (CKM), lactate dehydrogenase (LDH)), and continuous glucose monitoring (CGM). Blood and saliva samples, bioimpedance analysis, and validated symptom questionnaires (General Assessment of Side Effects (GASE)) were used. Results: Of the 43 ultra runners (16 women, 27 men), 39 finished the race: 19 participants of the 100 km group, 8 of the 160.9 km group, and 16 of the 230 km group. Mean energy deficit was 6797 kcal (range: 417–18,364 kcal) with carbohydrate-dominant fueling (79%). Significant reductions in leptin and insulin and increases in ghrelin, glucagon, CKM, and LDH were observed, indicating disrupted energy homeostasis and muscle damage. The 230 km subgroup showed the greatest changes. Gastrointestinal and musculoskeletal symptoms increased post-race, aligning with biomarker patterns. Conclusions: Ultramarathon participation induces profound disturbances in metabolic and structural integrity, regardless of race distance. These findings underline the importance of developing individualized nutritional and recovery strategies and highlight the need for future research to investigate how energy deficit and macronutrient composition interact to influence metabolic strain and post-race recovery. Full article
Show Figures

Figure 1

14 pages, 2793 KB  
Article
Influence of Epichlorohydrin Concentration on the Physicochemical and Rheological Performance of Lignin/PVA Hydrogels
by Nazish Jabeen, Paula G. Garnero, Rafael Muñoz-Espí, Clara M. Gómez and Mario Culebras
Polymers 2025, 17(23), 3223; https://doi.org/10.3390/polym17233223 - 3 Dec 2025
Viewed by 264
Abstract
This study investigates the influence of epichlorohydrin (EPCH) concentration on the rheological, mechanical, and swelling properties of lignin/PVA hydrogels. Hydrogels were prepared with EPCH concentrations ranging from 2.5% to 7.5%, and their viscoelastic properties were characterized through oscillatory strain and frequency sweep rheology. [...] Read more.
This study investigates the influence of epichlorohydrin (EPCH) concentration on the rheological, mechanical, and swelling properties of lignin/PVA hydrogels. Hydrogels were prepared with EPCH concentrations ranging from 2.5% to 7.5%, and their viscoelastic properties were characterized through oscillatory strain and frequency sweep rheology. Increasing the EPCH concentration led to a substantial rise in mechanical stiffness, with the compressive modulus increasing from 21 kPa (2.5%) to 275 kPa (7.5%), accompanied by a marked reduction in swelling capacity from 460% to 190%. This behavior is attributed to the formation of a denser and more interconnected network structure with increasing cross-linking density. Furthermore, a strong correlation was observed between EPCH concentration and gelation kinetics, with higher concentrations generally leading to faster gelation times. In all formulations, gel time consistently decreased as the temperature increased from 10 to 50 °C. The optimal EPCH concentration for achieving a balance between mechanical properties and processability was determined to be 3.5%. At this concentration, the hydrogels exhibited a favorable combination of mechanical strength, shape recovery, and processability, while maintaining desirable swelling behavior. These findings provide valuable insights into the critical role of cross-linking density in determining the physicochemical properties of lignin/PVA hydrogels, paving the way for the development of these bio-based materials with tailored properties for diverse applications. Full article
(This article belongs to the Special Issue Lignin-Based Functional Materials)
Show Figures

Figure 1

20 pages, 7305 KB  
Article
Fast Electrical Activation of Shape Memory Alloy Spring Actuators: Sub-Second Response Characterization and Performance Optimization
by Stefano Rodinò, Matteo Chiodo, Antonio Corigliano, Giuseppe Rota and Carmine Maletta
Actuators 2025, 14(12), 584; https://doi.org/10.3390/act14120584 - 2 Dec 2025
Viewed by 369
Abstract
Background: Shape memory alloy spring actuators offer significant potential for advanced actuation systems in exoskeletons, medical devices, and robotics, but adoption has been limited by slow activation speeds and insufficient design guidelines for achieving rapid response times while maintaining structural integrity. Objective: This [...] Read more.
Background: Shape memory alloy spring actuators offer significant potential for advanced actuation systems in exoskeletons, medical devices, and robotics, but adoption has been limited by slow activation speeds and insufficient design guidelines for achieving rapid response times while maintaining structural integrity. Objective: This study aimed to establish comprehensive design parameters for nickel–titanium spring actuators capable of achieving sub-second activation times through systematic experimental characterization and performance optimization. Methods: Nine different nickel–titanium spring configurations with wire diameters ranging from 0.5 to 0.8 mm and spring indices from 6 to 8 were systematically evaluated using differential scanning calorimetry for thermal characterization, mechanical testing for material properties, high-current electrical activation studies spanning 5–11 A, infrared thermal distribution analysis, and laser displacement sensing for dynamic response measurement. Results: Dynamic testing achieved activation times below 1 s for currents exceeding 5 A, with maximum displacement recoveries reaching 600–800% strain recovery, while springs with intermediate spring index values of 6.5–7.5 provided optimal balance between force output and displacement range, and optimal activation involved moderate current levels of 5–7 A for thin wires and 8–11 A for thick wires. Conclusions: Systematic geometric optimization combined with controlled high-current density activation protocols enables rapid actuation response while maintaining structural integrity, providing essential design parameters for engineering applications requiring fast, reliable actuation cycles. Full article
Show Figures

Figure 1

17 pages, 1142 KB  
Article
Rifampicin/Quercetin Nanoemulsions: Co-Encapsulation and In Vitro Biological Assessment Toward Tuberculosis Therapy
by Frank do Carmo Guedes Júnior, Gabriela Hädrich, Camila de Oliveira Vian, Gustavo Richter Vaz, Virginia Campello Yurgel, Daniela Pastorim Vaiss, Gabriela Alves Felício da Costa, Marcelle Oliveira Garcia, Wanessa Maria dos Santos, Beatriz Sodré Matos, Lara Cristina dos Santos Teodoro, João Victor Villa Real, David Nascimento da Silva Teixeira, Alexandre de Paula Rogério, Sergiane Caldas Barbosa, Ednei Gilberto Primel, Pedro Eduardo Almeida da Silva, Daniela Fernandes Ramos and Cristiana Lima Dora
Pharmaceuticals 2025, 18(12), 1829; https://doi.org/10.3390/ph18121829 - 1 Dec 2025
Viewed by 249
Abstract
Background: Tuberculosis (TB) remains a leading cause of global mortality, with 1.25 million deaths reported in 2023. Extended treatment duration contributes to poor patient adherence and treatment failure. Innovative drug delivery platforms are needed to improve therapeutic outcomes. Objective: This study [...] Read more.
Background: Tuberculosis (TB) remains a leading cause of global mortality, with 1.25 million deaths reported in 2023. Extended treatment duration contributes to poor patient adherence and treatment failure. Innovative drug delivery platforms are needed to improve therapeutic outcomes. Objective: This study aimed to develop nanoemulsions co-encapsulating quercetin and rifampicin and evaluate their physicochemical properties and in vitro biological activity relevant to TB therapy. Methods: Nanoemulsions (NEs) were prepared via hot solvent diffusion and phase inversion temperature techniques. Physicochemical characterization, stability, anti-inflammatory effects in BEAS-2B cells, and antimycobacterial activity against Mycobacterium tuberculosis H37Rv and resistant strains were assessed in vitro. Results: The quercetin-rifampicin nanoemulsion (QUE-RIF-NE) showed an average size of 24 nm, zeta potential of −27 mV, and drug recovery rates of 77% (quercetin) and 75% (rifampicin). The formulation was stable and non-cytotoxic at 10−8 M, reducing IFN-γ production by half and reactive oxygen species production by almost 75% in BEAS-2B cells. It also exhibited antimycobacterial activity against both susceptible and resistant M. tuberculosis strains (MIC ≤ 0.015 µg/mL). Conclusions: QUE-RIF-NE exhibits promising physicochemical stability and dual anti-inflammatory and antimicrobial activity in vitro, demonstrating potential for optimized pulmonary or systemic TB therapy that integrates both anti-inflammatory and antimicrobial effects. Full article
(This article belongs to the Special Issue Application of Nanotechnology in Drug Delivery)
Show Figures

Graphical abstract

14 pages, 2564 KB  
Article
Linearly Responsive, Reliable, and Stretchable Strain Sensors Based on Polyaniline Composite Hydrogels
by Chubin He and Xiuru Xu
Gels 2025, 11(12), 966; https://doi.org/10.3390/gels11120966 - 29 Nov 2025
Viewed by 190
Abstract
Conductive hydrogels are ideal for flexible strain sensors, yet their practical use is often limited by water evaporation, signal hysteresis, and structural instability, which impair linearity, durability, and long-term reliability. To overcome these challenges, we developed a robust multiple-network hydrogel composed of poly(vinyl [...] Read more.
Conductive hydrogels are ideal for flexible strain sensors, yet their practical use is often limited by water evaporation, signal hysteresis, and structural instability, which impair linearity, durability, and long-term reliability. To overcome these challenges, we developed a robust multiple-network hydrogel composed of poly(vinyl alcohol) (PVA), polyacrylic acid (PAA), in situ polymerized polyaniline (PANi), and the ionic liquid [EMIM][TFSI]. The resulting composite exhibits an exceptional linear piezoresistive response across its entire working range—from rest to fracture strain of 290%—together with high conductivity (0.68 S/cm), fast response/recovery (0.34 s/0.35 s), and a maximum gauge factor of 2.78. Mechanically robust (tensile strength ≈ 3.7 MPa, modulus ≈ 1.3 MPa), the hydrogel also demonstrates outstanding cyclic durability, withstanding over 12,000 stretching–relaxation cycles, and markedly improved dehydration resistance, retaining about 60% of its mass after 3 days at room temperature. This work provides a holistic material solution for developing high-performance, reliable strain sensors suitable for wearable electronics and soft robotics. Full article
(This article belongs to the Special Issue Research on the Applications of Conductive Hydrogels)
Show Figures

Graphical abstract

14 pages, 1789 KB  
Article
One-Pot Synthesis of Mechanically Robust Eutectogels via Carboxyl-Al(III) Coordination for Reliable Flexible Strain Sensor
by Zhenkai Huang, Yutao Song, Shanzheng Zhao, Peijiang Liu and Jianping Peng
Gels 2025, 11(12), 963; https://doi.org/10.3390/gels11120963 - 28 Nov 2025
Viewed by 224
Abstract
This work presents a facile one-pot synthesis strategy for highly strong and tough eutectogels. The exceptional mechanical performance (average stress: 3.8 MPa; average strain: 920%) stems from synergistic trivalent aluminum(III)–ligand coordination crosslinking and extensive hydrogen bonding within the network. The optimized proportion has [...] Read more.
This work presents a facile one-pot synthesis strategy for highly strong and tough eutectogels. The exceptional mechanical performance (average stress: 3.8 MPa; average strain: 920%) stems from synergistic trivalent aluminum(III)–ligand coordination crosslinking and extensive hydrogen bonding within the network. The optimized proportion has achieved a balance between mechanical stress and strain. Reversible bonding enables rapid energy dissipation and elastic recovery. A flexible strain sensor fabricated from this eutectogel demonstrates high sensitivity (gauge factor > 2) and ultrafast response (200 ms), validating its potential as low-cost electronic skin. This research provides a foundational framework for developing sustainable, high-performance flexible. Full article
(This article belongs to the Section Gel Chemistry and Physics)
Show Figures

Figure 1

10 pages, 1512 KB  
Article
Impact of DsCPV-1 Passage Through Alternative Host Manduca sexta on Its Virulence, Productivity, and Transmission Potential in Lepidopteran Forest Pests
by Anna O. Subbotina, Yuriy B. Akhanaev, Elena L. Arzhanova, Irina A. Belousova, Alexey V. Kolosov, Boris S. Kondrashov, Sofia S. Melnikova and Vyacheslav V. Martemyanov
Insects 2025, 16(12), 1217; https://doi.org/10.3390/insects16121217 - 28 Nov 2025
Viewed by 396
Abstract
Lymantria dispar (L.) and Dendrolimus sibiricus Tschetv. are lepidopteran forest pest species, with a long history of outbreak dynamics. The recently isolated strain of Cypovirus—Dendrolimus sibiricus cypovirus-1 (DsCPV-1) shows potential as a bioinsecticide against these and other lepidopteran species. Manduca sexta (L.) has [...] Read more.
Lymantria dispar (L.) and Dendrolimus sibiricus Tschetv. are lepidopteran forest pest species, with a long history of outbreak dynamics. The recently isolated strain of Cypovirus—Dendrolimus sibiricus cypovirus-1 (DsCPV-1) shows potential as a bioinsecticide against these and other lepidopteran species. Manduca sexta (L.) has been identified as a promising producer of DsCPV-1. Although M. sexta offers clear advantages as an alternative host for DsCPV-1 production, the DsCPV-1 isolate passaged through M. sexta (DsCPV-Ms) produces fewer polyhedra than the original isolate. Here, we evaluated the virulence, recovery of polyhedron formation, and replication of the DsCPV-Ms in L. dispar (alternative host) and D. sibiricus (original host) larvae to assess its suitability as a biocontrol agent in these hosts. Our results demonstrate that DsCPV-Ms causes significant mortality along with efficient polyhedra synthesis in D. sibiricus larvae. In contrast, DsCPV-Ms infection of L. dispar resulted in no significant mortality despite detectable viral replication and polyhedron formation. Polyhedron formation in L. dispar was significantly lower following infection with DsCPV-Ms than with the original isolate, despite confirmed replication of DsCPV-Ms. These findings indicate that DsCPV-Ms remains effective against D. sibiricus; however, further improvements are needed before it can be applied to L. dispar. Full article
(This article belongs to the Section Insect Pest and Vector Management)
Show Figures

Graphical abstract

Back to TopTop