Sign in to use this feature.

Years

Between: -

Subjects

remove_circle_outline
remove_circle_outline
remove_circle_outline
remove_circle_outline
remove_circle_outline
remove_circle_outline
remove_circle_outline
remove_circle_outline
remove_circle_outline

Journals

Article Types

Countries / Regions

Search Results (226)

Search Parameters:
Keywords = rapidly explored random tree

Order results
Result details
Results per page
Select all
Export citation of selected articles as:
29 pages, 16603 KB  
Article
Hierarchical Neural-Guided Navigation with Vortex Artificial Potential Field for Robust Path Planning in Complex Environments
by Boyi Xiao, Lujun Wan, Jiwei Tian, Yuqin Zhou, Sibo Hou and Haowen Zhang
Drones 2026, 10(4), 240; https://doi.org/10.3390/drones10040240 - 26 Mar 2026
Viewed by 321
Abstract
Existing autonomous navigation systems for Unmanned Aerial Vehicles (UAVs) face the dual challenges of local minima entrapment and computational complexity that scales with environmental density. This paper proposes a hierarchical navigation architecture integrating deep representation learning with an improved Vortex Artificial Potential Field [...] Read more.
Existing autonomous navigation systems for Unmanned Aerial Vehicles (UAVs) face the dual challenges of local minima entrapment and computational complexity that scales with environmental density. This paper proposes a hierarchical navigation architecture integrating deep representation learning with an improved Vortex Artificial Potential Field (APF). At the decision layer, a Convolutional Neural Network (CNN) encodes the environment as a fixed-dimensional tensor and generates global waypoints with constant-time inference, independent of obstacle count. At the control layer, a Vortex APF resolves the Goal Non-Reachable with Obstacles Nearby (GNRON) problem and limit-cycle oscillations through tangential rotational potentials, achieving significant improvement in trajectory smoothness compared to traditional APF methods. A closed-loop replanning mechanism further ensures robust performance under execution drift. Experiments across varying obstacle densities demonstrate that the combined system achieves high navigation success rates in dense environments with substantially reduced computation time compared to sampling-based planners such as Rapidly exploring Random Tree star (RRT*), while maintaining superior trajectory quality. This architecture provides a computationally efficient solution for resource-constrained UAV platforms operating in GPS-denied or obstacle-rich environments such as warehouses, forests, and disaster sites. Full article
Show Figures

Figure 1

24 pages, 5162 KB  
Article
Risk-Field Visualization and Path Planning for UAV Air Refueling Considering Wake Vortex Effects
by Weijun Pan, Gaorui Xu, Chen Zhang, Leilei Deng, Yingwei Zhu, Yanqiang Jiang and Zhiyuan Dai
Drones 2026, 10(3), 197; https://doi.org/10.3390/drones10030197 - 12 Mar 2026
Viewed by 353
Abstract
Autonomous aerial refueling is a key technology for enhancing the endurance of unmanned aerial vehicles; however, the wingtip vortices generated by the tanker create a strong three-dimensional wake-vortex flow field, whose downwash and lateral airflow can impose significant rolling moments on the follower [...] Read more.
Autonomous aerial refueling is a key technology for enhancing the endurance of unmanned aerial vehicles; however, the wingtip vortices generated by the tanker create a strong three-dimensional wake-vortex flow field, whose downwash and lateral airflow can impose significant rolling moments on the follower Unmanned Aerial Vehicle (UAV), posing a serious threat to flight safety. To address this issue, this study proposes an integrated framework that combines wake-vortex risk-field modeling with optimal path planning. The classical Hallock–Burnham (HB) model is first employed to predict vortex descent and lateral transport, while a two-phase model is used to characterize the temporal decay of vortex circulation. The predicted vortex parameters are then coupled with the UAV’s aerodynamic characteristics, and the rolling-moment coefficient (RMC) is introduced as a risk metric to compute its spatiotemporal distribution in three dimensions, thereby transforming the invisible wake-vortex disturbance into a visualizable and quantifiable dynamic three-dimensional risk map. On this basis, a wake-vortex-aware path-planning algorithm based on particle swarm optimization (PSO) is developed, incorporating adaptive weighting and elitist mutation strategies. A multi-objective cost function considering path length, safety, and smoothness is further constructed to search for an optimal safe path under wake-vortex influence. Simulation results indicate that, compared with the classical A* and Rapidly-Exploring Random Tree (RRT) algorithms, the proposed method reduces cumulative risk exposure by approximately 90% and 75%, respectively, while limiting the increase in path length to about 8% (significantly lower than the increases of 40% for A* and 44% for RRT). In addition, the maximum turning angle is constrained within 10°, and the computation time remains around 0.052 s, satisfying real-time requirements. These results demonstrate that the proposed method can generate safe, efficient, and dynamically feasible paths for UAV aerial refueling and provide a valuable reference for wake-vortex avoidance in similar aerospace missions. Full article
Show Figures

Figure 1

20 pages, 3493 KB  
Article
Aerobic Composting State Identification Using an IRRTO-Optimized CNN–LSTM–Attention Model
by Jun Du, Lingqiang Kong, Liqiong Yang, Xiaofu Yao, Xuan Hu, Hongjie Yin and Xiaoyu Tang
Agriculture 2026, 16(6), 644; https://doi.org/10.3390/agriculture16060644 - 12 Mar 2026
Viewed by 357
Abstract
Aerobic composting shows state-dependent dynamics in key parameters such as temperature, moisture content, oxygen concentration, and pH, and these variables are strongly coupled over time. This coupling makes accurate state identification and process regulation challenging when relying on single-parameter thresholds or experience-based control. [...] Read more.
Aerobic composting shows state-dependent dynamics in key parameters such as temperature, moisture content, oxygen concentration, and pH, and these variables are strongly coupled over time. This coupling makes accurate state identification and process regulation challenging when relying on single-parameter thresholds or experience-based control. To enable robust recognition of composting states throughout the process, we propose an IRRTO-optimized CNN–LSTM–attention model (IRRTO–CNN–LSTM–attention). The model uses a convolutional neural network (CNN) to extract discriminative multivariate features, a long short-term memory (LSTM) network to model temporal dependencies, and an attention module to adaptively emphasize informative features. To address the hyperparameter selection challenge, the Rapidly-exploring Random Tree Optimizer (RRTO) was introduced and further enhanced via four strategies (fluctuating attenuation adaptive regulation, dual-mode guided update, dynamic dimension adaptive perturbation, and dual-mechanism adaptive perturbation regulation), forming the improved IRRTO. The proposed approach was validated using sensor data from windrow composting of pig manure and corn straw. The IRRTO–CNN–LSTM–attention model achieved an overall accuracy of 98.31% in classifying the four states (mesophilic/heating, thermophilic, cooling, and abnormal) on the independent test set, which was 3.39 percentage points higher than the RRTO-based model. These results suggest that the proposed method can accurately identify composting states and support early warning and state-specific regulation in practical aerobic composting systems. Full article
(This article belongs to the Section Artificial Intelligence and Digital Agriculture)
Show Figures

Figure 1

27 pages, 27554 KB  
Article
Structure-Aware Topological Exploration: A Semantic Seeded Voronoi Approach for Unstructured Environments
by Miao Ding, Xian Wei and Shaowen Chen
Electronics 2026, 15(5), 1033; https://doi.org/10.3390/electronics15051033 - 2 Mar 2026
Viewed by 360
Abstract
In autonomous exploration tasks in unstructured terrain, exploration efficiency and map topology quality have been a difficult problem to balance. Among the current autonomous exploration methods, geometry-based exploration methods only focus on exploration efficiency but not map quality, which not only leads to [...] Read more.
In autonomous exploration tasks in unstructured terrain, exploration efficiency and map topology quality have been a difficult problem to balance. Among the current autonomous exploration methods, geometry-based exploration methods only focus on exploration efficiency but not map quality, which not only leads to frequent backtracking by the robot, but also tends to ignore non-geometric risks such as negative obstacles. To address this pain point, we propose the Structure-Aware Topology Exploration framework. Unlike pure geometric exploration, we utilize U-Net to semantically analyze the unmanned aerial vehicle aerial images, and force the robot’s path to be anchored to the geometric axis of the safe area through the Semantic Seeded Voronoi mechanism. To avoid map redundancy leading to backtracking, we directly introduce topological sparsity constraints in the decision function to realize online structural pruning during exploration. Simulation experiments based on real-world aerial imagery demonstrate that the proposed framework effectively overcomes the late-stage exploration plateau: compared with purely geometric baselines (Rapidly exploring Random Tree and Frontier), it reduces average path length to 278.4 m (45% reduction) and improves exploration efficiency by 80%; compared with the semantic frontier-based baseline, it achieves 28.6% higher efficiency and 13% shorter path length, maximizing information gain per unit travel distance. Full article
(This article belongs to the Section Computer Science & Engineering)
Show Figures

Figure 1

27 pages, 4618 KB  
Article
Single-Target Point Navigation for Indoor Differential-Drive Vehicles: Integrating Constrained-Sampling Rapidly Exploring Random Tree and Dynamic Window Approach Algorithm
by Yu Zhao, Xiaoyu Lu, Zhiwei Guan, Zhijie Li and Weiqiang Wang
World Electr. Veh. J. 2026, 17(3), 121; https://doi.org/10.3390/wevj17030121 - 28 Feb 2026
Viewed by 281
Abstract
Path planning for indoor differential-drive vehicles in cluttered, dynamic environments is challenging, primarily due to the inherent trade-off between global path optimality and local obstacle avoidance responsiveness. To address this, we propose an integrated navigation framework that combines a constrained-sampling Rapidly Exploring Random [...] Read more.
Path planning for indoor differential-drive vehicles in cluttered, dynamic environments is challenging, primarily due to the inherent trade-off between global path optimality and local obstacle avoidance responsiveness. To address this, we propose an integrated navigation framework that combines a constrained-sampling Rapidly Exploring Random Tree (RRT*) algorithm for efficient global path generation with an enhanced Dynamic Window Approach (DWA) incorporating a global path consistency term into its trajectory evaluation function. The method is validated through extensive simulations and physical experiments on a WHEELTEC two-wheel differential-drive robot. The results demonstrate that the proposed approach achieves a 100% task success rate across diverse scenarios; significantly reduces both path length and travel time compared with baseline methods; and effectively prevents stagnation in complex obstacle configurations, such as U-shaped traps, by guiding local motion toward the global path. These improvements highlight the benefit of tightly coupling global guidance with local planning. The framework provides a robust and efficient solution for autonomous navigation in indoor differential-drive vehicles. Full article
(This article belongs to the Section Automated and Connected Vehicles)
Show Figures

Figure 1

25 pages, 22458 KB  
Article
A Safe and Efficient Navigation Framework for Ground Vehicles on Uneven Terrain Considering Kinematic Constraints and Terrain Traversability
by Jingyao Gai, Zhiyang Guo, Huimin Su, Wang Qing, Kangye Wei, Zhiqiang Cai and Mingzhang Pan
Sensors 2026, 26(5), 1481; https://doi.org/10.3390/s26051481 - 26 Feb 2026
Viewed by 448
Abstract
Ground vehicles navigating uneven terrain must simultaneously guarantee motion safety and efficiency. Safety requires that the planned waypoints lie in highly traversable terrain, while ensuring vehicle reachability to these waypoints, which must be kinematically feasible. Efficiency demands fewer detours and smoother paths that [...] Read more.
Ground vehicles navigating uneven terrain must simultaneously guarantee motion safety and efficiency. Safety requires that the planned waypoints lie in highly traversable terrain, while ensuring vehicle reachability to these waypoints, which must be kinematically feasible. Efficiency demands fewer detours and smoother paths that avoid excessive vehicle acceleration and steering. However, existing path planning research for uneven terrain fails to comprehensively integrate vehicle kinematic constraints, terrain factors, path smoothness, rollover risk, and total path length. To address this problem, this paper proposes a novel navigation framework. It first integrates terrain slope, flatness, elevation variation, and sparsity to generate a 2D global terrain traversability cost map. Subsequently, a three-phase path planning algorithm integrates A*, guided Rapidly-exploring Random Tree (RRT), and our proposed Kinematic and Terrain-Aware Probabilistic Roadmap (KT-PRM) local re-planning algorithm, which jointly considers multiple factors including ground vehicle kinematic constraints, terrain factors, path smoothness, rollover risk, and path length. This three-phase combination delivers safe, smooth, and short global paths over uneven terrain within a relatively short planning time. Finally, Nonlinear Model Predictive Control (NMPC) is employed for path tracking in the framework. Experiments were conducted in both simulated and real-world uneven terrain environments. The results demonstrated that the three-phase path planning algorithm integrated with our proposed KT-PRM algorithm achieves comprehensive performance in generating safer, smoother, and shorter paths. Our proposed navigation framework achieves safer and more efficient navigation compared with existing navigation frameworks. Full article
(This article belongs to the Section Vehicular Sensing)
Show Figures

Figure 1

33 pages, 4132 KB  
Article
Obstacle Avoidance Path Planning for Robotic Arms Using a Multi-Strategy Collaborative Bidirectional RRT* Algorithm
by Xiangchen Ku, Erzhou Zhu and Sen Li
Sensors 2026, 26(4), 1376; https://doi.org/10.3390/s26041376 - 22 Feb 2026
Viewed by 463
Abstract
In response to issues such as insufficient bias in random sampling, low convergence efficiency, inadequate path search efficiency, and lack of path smoothness encountered by the traditional RRT* algorithm during path planning, an improved algorithm is proposed. First, a dynamic ellipsoidal sampling strategy [...] Read more.
In response to issues such as insufficient bias in random sampling, low convergence efficiency, inadequate path search efficiency, and lack of path smoothness encountered by the traditional RRT* algorithm during path planning, an improved algorithm is proposed. First, a dynamic ellipsoidal sampling strategy is introduced, which accelerates the exploration of the path space by adaptively adjusting the sampling region. Additionally, a bidirectional RRT* algorithm is employed, establishing two alternately growing search trees to perform bidirectional search, thereby effectively enhancing the convergence speed of the algorithm. Second, a dynamic goal-biased strategy is adopted, which greedily guides the random tree to grow rapidly toward the goal point, thereby improving planning efficiency. A heuristic search scheme is integrated with the RRT* algorithm to further increase convergence speed. A random sampling expansion strategy is utilized to guide the tree to expand into unexplored regions, avoiding local minima while ensuring global search capability. Local reconnection optimization is applied to reduce the cumulative path cost of new nodes while balancing path length, smoothness, and safety. To reduce the number of iterations, an improved artificial potential field method is incorporated into the growth process of the bidirectional random search trees, providing directional guidance for their expansion. Finally, path pruning techniques are applied to eliminate redundant nodes from the initial path, and a cubic B-spline interpolation algorithm is used to smooth the pruned path, generating a final trajectory with continuous curvature suitable for tracking. Quantitative analysis of simulation experiments in three-dimensional space shows that in both simple and complex environments, compared with the RRT, GB-RRT, BI-RRT, APF-RRT, and BI-APF-RRT* algorithms, the improved RRT* algorithm reduces planning time by approximately 58–90%, decreases the number of path nodes by about 31–91%, and shortens path length by around 8–20%, demonstrating the superiority of the proposed algorithm. Full article
(This article belongs to the Section Sensors and Robotics)
Show Figures

Figure 1

32 pages, 6293 KB  
Article
Fast Path-Planning Algorithm for Mobile Robots via Straight Strategy
by Jihong Jeong and Jin-Woo Jung
Appl. Sci. 2026, 16(4), 1952; https://doi.org/10.3390/app16041952 - 15 Feb 2026
Viewed by 456
Abstract
RRT*, which augments the RRT with the ChooseParent and Rewire steps, is a widely used algorithm for path planning. RRT*-based algorithms are effective for improving the quality of paths in the Rewire [...] Read more.
RRT*, which augments the RRT with the ChooseParent and Rewire steps, is a widely used algorithm for path planning. RRT*-based algorithms are effective for improving the quality of paths in the Rewire step. However, as the expansion continues, there are more nodes to be inspected, which can slow down the path search. In addition, due to the parameters set in the rewire step, a trade-off issue between path quality and planning time arises. In this paper, we propose Straight-RRT to improve upon these limitations. Straight-RRT applies the Straight strategy to rapidly obtain an initial path and then returns a refined path using the MoveParent strategies. Accordingly, Straight-RRT adopts the following mechanisms. (1) The Straight strategy is applied for rapidly finding an initial path. This procedure quickly finds a feasible initial path. (2) MoveParent is a strategy inspired by parametric equations for path optimization. This complements the weaknesses of the Straight strategy and the limitations of the triangle inequality. The MoveParent strategy is applied bidirectionally. These procedures progressively refine the path and improve efficiency. We propose an algorithm that is faster than other algorithms using these strategies and minimizes the trade-off caused by parameter settings. In the experimental comparison results across most environments, our approach achieved shorter planning times than the compared baseline algorithms and produced paths of comparable quality. Full article
(This article belongs to the Section Robotics and Automation)
Show Figures

Figure 1

27 pages, 7114 KB  
Article
An Intelligent Ship Route Planning Method Based on the NRRT Algorithm
by Tie Xu, Peiqiang Qin, Tengdong Wang and Qinyou Hu
J. Mar. Sci. Eng. 2026, 14(4), 363; https://doi.org/10.3390/jmse14040363 - 14 Feb 2026
Viewed by 471
Abstract
In the context of global efforts to promote energy conservation and emission reduction, geopolitical conflicts have intensified the challenges of mitigating marine climate change, posing increasingly severe economic and climatic pressures on the shipping industry worldwide. Research on multi-objective route optimization is of [...] Read more.
In the context of global efforts to promote energy conservation and emission reduction, geopolitical conflicts have intensified the challenges of mitigating marine climate change, posing increasingly severe economic and climatic pressures on the shipping industry worldwide. Research on multi-objective route optimization is of great significance for addressing climate challenges and enhancing economic efficiencies. This field focuses on constructing multi-objective optimization models that aim to reduce voyage time, fuel consumption, navigational risks, and carbon emissions and solving them using various algorithms. However, determining the optimal route and sailing speed under complex and variable meteorological conditions remains a significant challenge owing to the presence of numerous unevenly distributed feasible solutions within a vast solution space, making it difficult for traditional intelligent algorithms to effectively explore this space. To address this issue, this study proposes a hybrid algorithm named NRRT by integrating the Rapidly exploring Random Tree (RRT) algorithm with the Non-dominated Sorting Genetic Algorithm III (NSGA-III). By improving the sampling logic of the RRT algorithm and combining the vessel’s voluntary speed loss with the sampling step size, the algorithm efficiently explored the feasible route set, enhancing the quality and diversity of the solutions. Subsequently, the NSGA-III algorithm treats sailing speed and heading as direct decision variables to perform multi-objective optimization on the explored routes and generate Pareto-optimal solutions. The optimization results demonstrate that the proposed method excels at generating route plans that effectively reduce costs, minimize emissions, and mitigate risks compared with the 3D Dijkstra algorithm and the improved NSGA-III algorithm. Full article
Show Figures

Figure 1

26 pages, 1825 KB  
Article
Safety-Oriented Motion Planning for a Wheeled Humanoid Robot Operating in Environments with Stochastically Moving Humans
by Jian Mi, Xianbo Zhang, Zhongjie Long, Jun Wang and Wei Xu
Appl. Sci. 2026, 16(3), 1500; https://doi.org/10.3390/app16031500 - 2 Feb 2026
Viewed by 369
Abstract
With the advancement of humanoid robotics, human–robot collaboration has emerged as a prominent research focus. Ensuring the safety of both humanoid robots and humans remains a critical challenge. In this paper, we address conflict resolutions at the planning level and propose a safety-oriented [...] Read more.
With the advancement of humanoid robotics, human–robot collaboration has emerged as a prominent research focus. Ensuring the safety of both humanoid robots and humans remains a critical challenge. In this paper, we address conflict resolutions at the planning level and propose a safety-oriented motion planning (SOMP) algorithm for a wheeled humanoid robot operating in environments with unknown human motions. In the proposed SOMP algorithm, we employ Monte Carlo simulations to predict trajectories of stochastically moving humans and formulate both hard and soft constraints. A dynamic-quadrant stochastic sampling policy, integrated with a rapidly exploring random tree method, is proposed to generate diverse initial paths. Building upon this, we develop a constraint-fusion mechanism that combines hard constraints for safety guarantees and soft constraints for path optimization, thereby effectively resolving potential conflicts between wheeled humanoid robots and stochastically moving humans. We evaluate the proposed algorithm under different configurations of conflict numbers, task success rates, and path rewards. The proposed method outperforms A*, RRT, and MDP in terms of conflict numbers (−77.8%, −76.6%, and −71.4%) and task success rates (+168.0%, +109.4%, and +91.4%). Our simulation results prove the efficiency and robustness of our algorithm in safe motion planning with stochastically moving humans. Full article
Show Figures

Figure 1

20 pages, 3216 KB  
Article
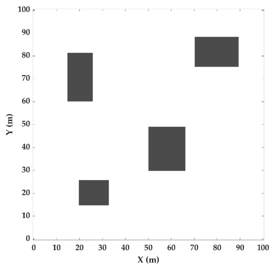
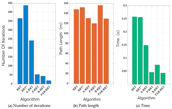
Optimized PAB-RRT Algorithm for Autonomous Vehicle Path Planning in Complex Scenarios
by Jinbo Wang, Weihai Zhang, Jinming Zhang, Wei Liao and Tingwei Du
Electronics 2026, 15(3), 651; https://doi.org/10.3390/electronics15030651 - 2 Feb 2026
Viewed by 346
Abstract
Path planning is a pivotal technology for autonomous vehicles, directly influencing driving safety and comfort. Developing algorithms adaptable to diverse scenarios is critical for ensuring the safe operation of autonomous driving systems and advancing their engineering applications. The existing Rapidly exploring Random Tree [...] Read more.
Path planning is a pivotal technology for autonomous vehicles, directly influencing driving safety and comfort. Developing algorithms adaptable to diverse scenarios is critical for ensuring the safe operation of autonomous driving systems and advancing their engineering applications. The existing Rapidly exploring Random Tree (RRT) algorithm has limitations such as low efficiency and tortuous, lengthy paths. To address these issues, this study proposes the PAB-RRT algorithm, which integrates probabilistic goal bias, adaptive step size, and bidirectional exploration into RRT. Comparative simulations were conducted to evaluate PAB-RRT against traditional RRT, RRT*, and single-strategy improved variants (A-RRT, P-RRT, B-RRT). Results show that in static multi-obstacle scenarios, PAB-RRT completes planning with 30 iterations (6.99% of traditional RRT), 0.1255 s computation time (21.9% of traditional RRT), and a 130.83 m path length (7.2% shorter than traditional RRT). In dynamic obstacle scenarios, it requires 19 iterations (0.0434 s) at the initial stage and 37 iterations (0.0861 s) after obstacle movement, with path length stably around 130 m. Overall, PAB-RRT outperforms traditional algorithms in exploration efficiency, path performance, and robustness in complex settings, better meeting the efficiency and reliability requirements of autonomous vehicle path planning under complex scenarios and providing a feasible reference for related technology. Full article
(This article belongs to the Special Issue Advances in Electric Vehicles and Energy Storage Systems)
Show Figures

Figure 1

28 pages, 11626 KB  
Article
A Dynamic Illumination-Constrained Spatio-Temporal A* Algorithm for Path Planning in Lunar South Pole Exploration
by Qingliang Miao and Guangfei Wei
Remote Sens. 2026, 18(2), 310; https://doi.org/10.3390/rs18020310 - 16 Jan 2026
Viewed by 509
Abstract
Future lunar south pole missions face dual challenges of highly variable illumination and rugged terrain that directly constrain rover mobility and energy sustainability. To address these issues, this study proposes a dynamic illumination-constrained spatio-temporal A* (DIC3D-A*) path-planning algorithm that jointly optimizes terrain safety [...] Read more.
Future lunar south pole missions face dual challenges of highly variable illumination and rugged terrain that directly constrain rover mobility and energy sustainability. To address these issues, this study proposes a dynamic illumination-constrained spatio-temporal A* (DIC3D-A*) path-planning algorithm that jointly optimizes terrain safety and illumination continuity in polar environments. Using high-resolution digital elevation model data from the Lunar Reconnaissance Orbiter Laser Altimeter, a 1300 m × 1300 m terrain model with 5 m/pixel spatial resolution was constructed. Hourly solar visibility for November–December 2026 was computed based on planetary ephemerides to generate a dynamic illumination dataset. The algorithm integrates slope, distance, and illumination into a unified heuristic cost function, performing a time-dependent search in a 3D spatiotemporal state space. Simulation results show that, compared with conventional A* algorithms considering only terrain or distance, the DIC3D-A* algorithm improves CSDV by 106.1% and 115.1%, respectively. Moreover, relative to illumination-based A* algorithms, it reduces the average terrain roughness index by 17.2%, while achieving shorter path length and faster computation than both the Rapidly-exploring Random Tree Star and Deep Q-Network baselines. These results demonstrate that dynamic illumination is the dominant environmental factor affecting lunar polar rover traversal and that DIC3D-A* provides an efficient, energy-aware framework for illumination-adaptive navigation in upcoming missions such as Chang’E-7. Full article
(This article belongs to the Special Issue Remote Sensing and Photogrammetry Applied to Deep Space Exploration)
Show Figures

Graphical abstract

22 pages, 3305 KB  
Article
Digital Twin and Path Planning for Intelligent Port Inspection Robots
by Hao Jiang, Zijian Guo and Zhongyi Zhang
J. Mar. Sci. Eng. 2026, 14(2), 186; https://doi.org/10.3390/jmse14020186 - 16 Jan 2026
Viewed by 542
Abstract
In the context of the digital twin engineering of large smart hub seaports, port path planning faces more complex challenges, such as efficient logistics scheduling, unmanned transportation, coordination of port automation facilities, and rapid response to complex dynamic environments. Particularly in applications like [...] Read more.
In the context of the digital twin engineering of large smart hub seaports, port path planning faces more complex challenges, such as efficient logistics scheduling, unmanned transportation, coordination of port automation facilities, and rapid response to complex dynamic environments. Particularly in applications like robotic inspection, how to effectively plan paths, improve inspection efficiency, and ensure that robots complete tasks within their limited energy capacity has become a key issue in the design and realization of digital and intelligent seaport systems. To address these challenges, a path planning algorithm based on an improved Rapidly-exploring Random Tree (RRT) is proposed, considering the complexity and dynamics of the port’s digital twin environment. First, by optimizing the search strategy of the algorithm, the flexibility and adaptability of path planning can be enhanced, allowing it to better accommodate changes in the environment within the digital twin model. Secondly, an appropriate heuristic function is constructed for the digital twin seaport environment, which can effectively accelerate the convergence speed of the algorithm and improve path planning efficiency. Finally, trajectory smoothing techniques are applied to generate executable paths that comply with the robot’s motion constraints, enabling more efficient path planning in practical operations. To validate the feasibility of the proposed method, a combination of virtual and real digital twin environments is used, comparing the path planning results of the improved RRT algorithm with those of the traditional RRT algorithm. Experimental results show that the proposed improved algorithm outperforms the traditional RRT algorithm in terms of sampling frequency, planning time, path length, and smoothness, further validating the feasibility and advantages of this algorithm in the application of intelligent seaport digital twin engineering. Full article
(This article belongs to the Section Ocean Engineering)
Show Figures

Figure 1

25 pages, 4540 KB  
Article
Vision-Guided Grasp Planning for Prosthetic Hands with AABB-Based Object Representation
by Shifa Sulaiman, Akash Bachhar, Ming Shen and Simon Bøgh
Robotics 2026, 15(1), 22; https://doi.org/10.3390/robotics15010022 - 14 Jan 2026
Viewed by 879
Abstract
Recent advancements in prosthetic technology have increasingly focused on enhancing dexterity and autonomy through intelligent control systems. Vision-based approaches offer promising results for enabling prosthetic hands to interact more naturally with diverse objects in dynamic environments. Building on this foundation, the paper presents [...] Read more.
Recent advancements in prosthetic technology have increasingly focused on enhancing dexterity and autonomy through intelligent control systems. Vision-based approaches offer promising results for enabling prosthetic hands to interact more naturally with diverse objects in dynamic environments. Building on this foundation, the paper presents a vision-guided grasping algorithm for a prosthetic hand, integrating perception, planning, and control for dexterous manipulation. A camera mounted on the set up captures the scene, and a Bounding Volume Hierarchy (BVH)-based vision algorithm is employed to segment an object for grasping and define its bounding box. Grasp contact points are then computed by generating candidate trajectories using Rapidly-exploring Random Tree Star (RRT*) algorithm, and selecting fingertip end poses based on the minimum Euclidean distance between these trajectories and the object’s point cloud. Each finger’s grasp pose is determined independently, enabling adaptive, object-specific configurations. Damped Least Square (DLS) based Inverse kinematics solver is used to compute the corresponding joint angles, which are subsequently transmitted to the finger actuators for execution. Our intention in this work was to present a proof-of-concept pipeline demonstrating that fingertip poses derived from a simple, computationally lightweight geometric representation, specifically an AABB-based segmentation can be successfully propagated through per-finger planning and executed in real time on the Linker Hand O7 platform. The proposed method is validated in simulation, and experimental integration on a Linker Hand O7 platform. Full article
(This article belongs to the Section Sensors and Control in Robotics)
Show Figures

Figure 1

18 pages, 11774 KB  
Article
Retrieval Augment: Robust Path Planning for Fruit-Picking Robot Based on Real-Time Policy Reconstruction
by Binhao Chen, Shuo Zhang, Zichuan He and Liang Gong
Sustainability 2026, 18(2), 829; https://doi.org/10.3390/su18020829 - 14 Jan 2026
Viewed by 515
Abstract
The working environment of fruit-picking robots is highly complex, involving numerous obstacles such as branches. Sampling-based algorithms like Rapidly Exploring Random Trees (RRTs) are faster but suffer from low success rates and poor path quality. Deep reinforcement learning (DRL) has excelled in high-degree-of-freedom [...] Read more.
The working environment of fruit-picking robots is highly complex, involving numerous obstacles such as branches. Sampling-based algorithms like Rapidly Exploring Random Trees (RRTs) are faster but suffer from low success rates and poor path quality. Deep reinforcement learning (DRL) has excelled in high-degree-of-freedom (DOF) robot path planning, but typically requires substantial computational resources and long training cycles, which limits its applicability in resource-constrained and large-scale agricultural deployments. However, picking robot agents trained by DRL underperform because of the complexity and dynamics of the picking scenes. We propose a real-time policy reconstruction method based on experience retrieval to augment an agent trained by DRL. The key idea is to optimize the agent’s policy during inference rather than retraining, thereby reducing training cost, energy consumption, and data requirements, which are critical factors for sustainable agricultural robotics. We first use Soft Actor–Critic (SAC) to train the agent with simple picking tasks and less episodes. When faced with complex picking tasks, instead of retraining the agent, we reconstruct its policy by retrieving experience from similar tasks and revising action in real time, which is implemented specifically by real-time action evaluation and rejection sampling. Overall, the agent evolves into an augment agent through policy reconstruction, enabling it to perform much better in complex tasks with narrow passages and dense obstacles than the original agent. We test our method both in simulation and in the real world. Results show that the augment agent outperforms the original agent and sampling-based algorithms such as BIT* and AIT* in terms of success rate (+133.3%) and path quality (+60.4%), demonstrating its potential to support reliable, scalable, and sustainable fruit-picking automation. Full article
(This article belongs to the Section Sustainable Agriculture)
Show Figures

Figure 1

Back to TopTop