Sign in to use this feature.

Years

Between: -

Subjects

remove_circle_outline
remove_circle_outline
remove_circle_outline
remove_circle_outline
remove_circle_outline
remove_circle_outline
remove_circle_outline
remove_circle_outline
remove_circle_outline

Journals

remove_circle_outline
remove_circle_outline
remove_circle_outline
remove_circle_outline
remove_circle_outline
remove_circle_outline
remove_circle_outline
remove_circle_outline
remove_circle_outline
remove_circle_outline
remove_circle_outline

Article Types

Countries / Regions

remove_circle_outline
remove_circle_outline
remove_circle_outline
remove_circle_outline
remove_circle_outline
remove_circle_outline

Search Results (958)

Search Parameters:
Keywords = rapid propagation

Order results
Result details
Results per page
Select all
Export citation of selected articles as:
28 pages, 8539 KB  
Article
Cost-Integrated AI Meta-Models for Mine-to-Mill Optimisation: Linking Fragmentation, Throughput, and Operating Costs Across the Value Chain
by Pouya Nobahar, Chaoshui Xu and Peter Dowd
Minerals 2026, 16(1), 73; https://doi.org/10.3390/min16010073 (registering DOI) - 13 Jan 2026
Abstract
This study presents an integrated, cost-aware artificial intelligence (AI) meta-modelling framework for mine-to-mill optimisation that couples high-fidelity simulation with data-driven predictive modelling. Using over three million scenarios generated in the Integrated Extraction Simulator (IES), the framework quantifies how upstream design parameters such as [...] Read more.
This study presents an integrated, cost-aware artificial intelligence (AI) meta-modelling framework for mine-to-mill optimisation that couples high-fidelity simulation with data-driven predictive modelling. Using over three million scenarios generated in the Integrated Extraction Simulator (IES), the framework quantifies how upstream design parameters such as burden, spacing, hole diameter, and explosive density propagate through screening, crushing, stockpiling, and grinding to affect downstream costs and throughput. Random Forest-based meta-models achieved predictive accuracies above 90%, enabling the rapid evaluation of technical and financial trade-offs across the mining value chain. Stage-wise cost models were formulated for drilling, blasting, comminution, and material handling to link process variables to costs per tonne. The results reveal clear non-linear cost responses: finer fragmentation reduces the total comminution cost despite higher explosive expenditure, while SAG mill load and speed exhibit U-shaped cost relationships with distinct optimal operating windows. By combining physics-based simulations, machine learning, and cost integration, the framework transforms traditional stage-wise optimisation into a holistic, financially informed decision-support system. The proposed methodology supports real-time, AI-enabled digital twins capable of adaptive mine-to-mill optimisation, paving the way for more efficient and sustainable resource extraction. Full article
(This article belongs to the Section Mineral Processing and Extractive Metallurgy)
Show Figures

Figure 1

16 pages, 6492 KB  
Article
Data-Driven Downstream Discharge Forecasting for Flood Disaster Mitigation in a Small Mountainous Basin of Southwest China
by Leilei Guo, Haidong Li, Rongwen Yao, Qiang Li, Yangshuang Wang, Renjuan Wei and Xianchun Ma
Water 2026, 18(2), 204; https://doi.org/10.3390/w18020204 - 13 Jan 2026
Abstract
Accurate short-lead river discharge forecasting is critical for effective flood risk mitigation in small mountainous basins, where rapid hydrological responses pose significant challenges. In this study, we focus on the Fuhu Stream in Emeishan City, China, and utilize high-resolution 5-min time series of [...] Read more.
Accurate short-lead river discharge forecasting is critical for effective flood risk mitigation in small mountainous basins, where rapid hydrological responses pose significant challenges. In this study, we focus on the Fuhu Stream in Emeishan City, China, and utilize high-resolution 5-min time series of upstream precipitation, stage, and discharge to predict downstream flow. We benchmark three data-driven models—SARIMAX, XGBoost, and LSTM—using a dataset spanning from 7 June 2024 to 25 October 2024. The data were split chronologically, with observations from October 2024 reserved exclusively for testing to ensure rigorous out-of-sample evaluation. Lagged correlation analysis was employed to estimate travel times from upstream to the basin outlet and to inform the selection of time-lagged input features for model training. Results during the test period demonstrate that the LSTM model significantly outperformed both XGBoost and SARIMAX across all regression metrics: it achieved the highest coefficient of determination (R2 = 0.994) and the lowest prediction errors (RMSE = 0.016, MAE = 0.011). XGBoost exhibited moderate performance, while SARIMAX showed a tendency toward mean reversion and failed to capture low-flow variability. Accuracy evaluation reveals that LSTM accurately reproduced both baseflow conditions and multiple flood peaks, whereas XGBoost and SARIMAX failed. These results highlight the advantage of sequence-learning architectures in modeling nonlinear hydrological propagation and memory effects in short-term discharge dynamics. Feature importance analysis indicates that the LSTM model was highly effective for real-time forecasting and that the WSQ/LY sites served as critical monitoring nodes for achieving reliable predictions. This research contributes to the operationalization of early warning systems and provides support for decision-making regarding downstream flood disaster prevention. Full article
(This article belongs to the Topic Water-Soil Pollution Control and Environmental Management)
Show Figures

Figure 1

21 pages, 7900 KB  
Article
Mechanisms and Multi-Field-Coupled Responses of CO2-Enhanced Coalbed Methane Recovery in the Yanchuannan and Jinzhong Blocks Toward Improved Sustainability and Low-Carbon Reservoir Management
by Hequn Gao, Yuchen Tian, Helong Zhang, Yanzhi Liu, Yinan Cui, Xin Li, Yue Gong, Chao Li and Chuncan He
Sustainability 2026, 18(2), 765; https://doi.org/10.3390/su18020765 - 12 Jan 2026
Abstract
Supercritical CO2 modifies deep coal reservoirs through the coupled effects of adsorption-induced deformation and geochemical dissolution. CO2 adsorption causes coal matrix swelling and facilitates micro-fracture propagation, while CO2–water reactions generate weakly acidic fluids that dissolve minerals such as calcite [...] Read more.
Supercritical CO2 modifies deep coal reservoirs through the coupled effects of adsorption-induced deformation and geochemical dissolution. CO2 adsorption causes coal matrix swelling and facilitates micro-fracture propagation, while CO2–water reactions generate weakly acidic fluids that dissolve minerals such as calcite and kaolinite. These synergistic processes remove pore fillings, enlarge flow channels, and generate new dissolution pores, thereby increasing the total pore volume while making the pore–fracture network more heterogeneous and structurally complex. Such reservoir restructuring provides the intrinsic basis for CO2 injectivity and subsequent CH4 displacement. Both adsorption capacity and volumetric strain exhibit Langmuir-type growth characteristics, and permeability evolution follows a three-stage pattern—rapid decline, slow attenuation, and gradual rebound. A negative exponential relationship between permeability and volumetric strain reveals the competing roles of adsorption swelling, mineral dissolution, and stress redistribution. Swelling dominates early permeability reduction at low pressures, whereas fracture reactivation and dissolution progressively alleviate flow blockage at higher pressures, enabling partial permeability recovery. Injection pressure is identified as the key parameter governing CO2 migration, permeability evolution, sweep efficiency, and the CO2-ECBM enhancement effect. Higher pressures accelerate CO2 adsorption, diffusion, and sweep expansion, strengthening competitive adsorption and improving methane recovery and CO2 storage. However, excessively high pressures enlarge the permeability-reduction zone and may induce formation instability, while insufficient pressures restrict the effective sweep volume. An optimal injection-pressure window is therefore essential to balance injectivity, sweep performance, and long-term storage integrity. Importantly, the enhanced methane production and permanent CO2 storage achieved in this study contribute directly to greenhouse gas reduction and improved sustainability of subsurface energy systems. The multi-field coupling insights also support the development of low-carbon, environmentally responsible CO2-ECBM strategies aligned with global sustainable energy and climate-mitigation goals. The integrated experimental–numerical framework provides quantitative insight into the coupled adsorption–deformation–flow–geochemistry processes in deep coal seams. These findings form a scientific basis for designing safe and efficient CO2-ECBM injection strategies and support future demonstration projects in heterogeneous deep coal reservoirs. Full article
Show Figures

Figure 1

16 pages, 2349 KB  
Article
Machine Learning Prediction and Interpretability Analysis of Coal and Gas Outbursts
by Long Xu, Xiaofeng Ren and Hao Sun
Sustainability 2026, 18(2), 740; https://doi.org/10.3390/su18020740 - 11 Jan 2026
Viewed by 57
Abstract
Coal and gas outbursts constitute a major hazard for mining safety, which is critical for the sustainable development of China’s energy industry. Rapid, accurate, and reliable pre-diction is pivotal for preventing and controlling outburst incidents. Nevertheless, the mechanisms driving coal and gas outbursts [...] Read more.
Coal and gas outbursts constitute a major hazard for mining safety, which is critical for the sustainable development of China’s energy industry. Rapid, accurate, and reliable pre-diction is pivotal for preventing and controlling outburst incidents. Nevertheless, the mechanisms driving coal and gas outbursts involve highly complex influencing factors. Four main geological indicators were identified by examining the attributes of these factors and their association to outburst intensity. This study developed a machine learning-based prediction model for outburst risk. Five algorithms were evaluated: K Nearest Neighbors (KNN), Back Propagation (BP), Random Forest (RF), Support Vector Machine (SVM), and eXtreme Gradient Boosting (XGBoost). Model optimization was performed via Bayesian hyperparameter (BO) tuning. Model performance was assessed by the Receiver Operating Characteristic (ROC) curve; the optimized XGBoost model demonstrated strong predictive performance. To enhance model transparency and interpretability, the SHapley Additive exPlanations (SHAP) method was implemented. The SHAP analysis identified geological structure was the most important predictive feature, providing a practical decision support tool for mine executives to prevent and control outburst incidents. Full article
(This article belongs to the Section Hazards and Sustainability)
15 pages, 2954 KB  
Article
Experimental Investigation of Liquid Nitrogen Fire Suppression in Lithium-Ion Battery Fires: Effects of Nozzle Diameter and Injection Strategy
by Boyan Jia, Ziwen Cai, Peng Zhang, Bingyu Li and Hongyu Wang
Batteries 2026, 12(1), 24; https://doi.org/10.3390/batteries12010024 - 10 Jan 2026
Viewed by 95
Abstract
A growing number of fires and explosions in energy storage plants have been triggered by the thermal runaway of lithium-ion batteries. Owing to the complex physicochemical properties of these batteries, their fire safety issues remain unresolved and constitute a major obstacle to the [...] Read more.
A growing number of fires and explosions in energy storage plants have been triggered by the thermal runaway of lithium-ion batteries. Owing to the complex physicochemical properties of these batteries, their fire safety issues remain unresolved and constitute a major obstacle to the large-scale deployment of energy storage systems. Compared with conventional extinguishing media, liquid nitrogen (LN2) offers a dual suppression mechanism, i.e., rapid endothermic vaporization and oxygen displacement by inert nitrogen gas, making it highly suitable for lithium-ion battery fire control. However, the key operational parameters governing its suppression efficiency remain unclear, leading to excessive or insufficient LN2 use in practice. This study established a dedicated experimental platform and designed 10 experimental conditions, each repeated three times, to investigate the propagation of thermal runaway between adjacent batteries and to quantify the suppression performance of LN2 under varying nozzle diameters and injection strategies. Results demonstrate that under identical injection pressures, larger nozzle diameters significantly outperform smaller ones in cooling and suppression efficiency. The optimal nozzle diameter was found to be 14 mm, achieving a cooling efficiency of 40%. Furthermore, intermittent LN2 injection of equal total mass outperformed continuous injection, with a 45 s intermittent duration achieving a cooling efficiency of 63%, 23% higher than continuous injection. These findings provide quantitative guidance for the design of LN2-based suppression systems in large-scale lithium-ion battery energy storage modules. Full article
Show Figures

Figure 1

8 pages, 2392 KB  
Proceeding Paper
Guided Wave-Based Damage Detection Using Integrated PZT Sensors in Composite Plates
by Lenka Šedková, Ondřej Vích and Michal Král
Eng. Proc. 2025, 119(1), 49; https://doi.org/10.3390/engproc2025119049 - 7 Jan 2026
Viewed by 60
Abstract
The ultrasonic guided wave method is successfully used for structural health monitoring (SHM) of aircraft structures utilizing PZT (Pb-Zr-Ti based piezoceramic material) sensors for guided wave generation and detection. To increase the mechanical durability of the sensors in operational conditions, this paper demonstrates [...] Read more.
The ultrasonic guided wave method is successfully used for structural health monitoring (SHM) of aircraft structures utilizing PZT (Pb-Zr-Ti based piezoceramic material) sensors for guided wave generation and detection. To increase the mechanical durability of the sensors in operational conditions, this paper demonstrates the feasibility of the integration of PZTs into the Glass fiber/Polymethyl methacrylate (G/PMMA) composite plate and evaluates the possibility of impact damage detection using generated guided waves. Two types of PZT sensors were embedded into different layers during the manufacturing process. Generally, radial mode disc sensors are used for Lamb wave generation, and thickness-shear square-shaped sensors are used for both Lamb and shear wave generation. First, the wave propagation was analyzed considering the sensor type and sensor placement within the layup. The main objective was to propose the optimal sensor network with embedded sensors for successful impact damage detection. Lamb wave frequency tuning of disk sensors and unique vibrational characteristics of integrated shear sensors were exploited to selectively actuate only one guided wave mode. Finally, the Reconstruction Algorithm for the Probabilistic Inspection of Damage (RAPID) was utilized for damage localization and visualization. Full article
Show Figures

Figure 1

25 pages, 4082 KB  
Article
Statistical CSI-Based Downlink Precoding for Multi-Beam LEO Satellite Communications
by Feng Zhu, Yunfei Wang, Ziyu Xiang and Xiqi Gao
Aerospace 2026, 13(1), 60; https://doi.org/10.3390/aerospace13010060 - 7 Jan 2026
Viewed by 106
Abstract
With the rapid development of low-Earth-orbit (LEO) satellite communications, multi-beam precoding has emerged as a key technology for improving spectrum efficiency. However, the long propagation delay and large Doppler frequency offset pose significant challenges to existing precoding techniques. To address this issue, this [...] Read more.
With the rapid development of low-Earth-orbit (LEO) satellite communications, multi-beam precoding has emerged as a key technology for improving spectrum efficiency. However, the long propagation delay and large Doppler frequency offset pose significant challenges to existing precoding techniques. To address this issue, this paper investigates downlink precoding design for multi-beam LEO satellite communications. First, the downlink channel and signal models are established. Then, we reveal that traditional zero-forcing (ZF), regularized zero-forcing (RZF), and minimum mean square error (MMSE) precoding schemes all require the satellite transmitter to acquire the instantaneous channel state information (iCSI) of all users, which is challenging to obtain in satellite communication systems. Subsequently, we propose a downlink precoding design based on statistical channel state information (sCSI) and derive closed-form solutions for statistical-ZF, statistical-RZF, and statistical-MMSE precoding. Furthermore, we propose that sCSI can be computed using the positions of the satellite and users, which reduces the system overhead and complexity of sCSI acquisition. Monte Carlo simulations under the 3GPP non-terrestrial network (NTN) channel model are employed to verify the performance of the proposed method. The simulation results show that the proposed method achieves sum-rate performance comparable to that of iCSI-based schemes and the optimal transmission performance based on sum-rate maximization. In addition, the proposed method significantly reduces the computational complexity of the satellite payload and the system feedback overhead. Full article
(This article belongs to the Section Astronautics & Space Science)
Show Figures

Figure 1

20 pages, 27157 KB  
Article
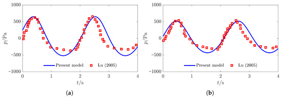
Integrated Physical and Numerical Simulation of Normal Buried Ground Fissures in Sand–Clay Interlayers: A Case in Longyao, China
by Quanzhong Lu, Xinyu Mao, Feilong Chen, Cong Li, Xiao Chen, Weiguang Yang, Yuefei Wang and Jianbing Peng
Appl. Sci. 2026, 16(2), 591; https://doi.org/10.3390/app16020591 - 6 Jan 2026
Viewed by 194
Abstract
Ground fissures are widespread around the world and are particularly severe in the North China Plain. In order to investigate the crack propagation path and propagation mode of buried ground fissures from deep strata to the surface, physical simulation experiments and numerical simulation [...] Read more.
Ground fissures are widespread around the world and are particularly severe in the North China Plain. In order to investigate the crack propagation path and propagation mode of buried ground fissures from deep strata to the surface, physical simulation experiments and numerical simulation experiments were conducted based on the sand–clay interlayer strata in the Longyao area. The results show that during the settlement of the hanging wall strata, the propagation path of the cracks changes due to differences in soil properties. The crack propagation is interrupted in the sand layer and slowed down in the clay layer. The surface displacement is characterized by an alternating sequence of gradual and rapid growth phases. The process of crack propagation from depth to surface is divided into five stages, forming tensile cracks and causing the differential settlement of the surface. The strata are mainly under tensile stress, with the stress range of the hanging wall being 2.1 to 3.0 times that of the footwall. Under identical experimental conditions, buried ground fissures in the strata of sand–clay interlayers exhibit anti-dip crack propagation angles and surface deformation zone widths that are between those of homogeneous silty clay and sand. Based on the experimental results, an analytical formula for the hanging wall deformation zone was further proposed. The research results can provide an important reference and theoretical basis for the investigation and disaster prevention of buried ground fissures in the Longyao area of Hebei Province. Full article
Show Figures

Figure 1

38 pages, 5718 KB  
Review
Genetic Insights into the Economic Toll of Cell Line Misidentification: A Comprehensive Review
by Ralf Weiskirchen
Med. Sci. 2026, 14(1), 25; https://doi.org/10.3390/medsci14010025 - 5 Jan 2026
Viewed by 248
Abstract
Cell line misidentification, first exposed when HeLa cells were shown to contaminate dozens of “unique” cultures, now compromises roughly one in five lines and renders thousands of papers potentially unreliable, propagating unreliable data through hundreds of thousands of citations. The financial fallout is [...] Read more.
Cell line misidentification, first exposed when HeLa cells were shown to contaminate dozens of “unique” cultures, now compromises roughly one in five lines and renders thousands of papers potentially unreliable, propagating unreliable data through hundreds of thousands of citations. The financial fallout is vast with irreproducible research linked to faulty cell stocks costing the United States an estimated $28 billion each year. Today, authentication is rapid, cheap and highly accurate. Modern 24-plex short tandem repeat (STR) kits, analyzed by six-dye capillary electrophoresis and benchmarked against public databases, verify a culture in half a day for less than €40, lowering the probability of mistaken identity to less than 10–15. Complementary SNP panels, low-pass genome sequencing, digital PCR and nascent methylation “age clocks” close remaining blind spots such as aneuploidy or mixed-species co-cultures. Monte-Carlo modeling shows that even at a contamination risk of 0.07% routine STR testing yields a five-year return on investment above 3000% for a mid-size lab. Reflecting this evidence, ANSI/ATCC standards, NIH and Horizon Europe grants, major journals and FDA/EMA guidelines now encourage, recommend, or make authentication mandatory. This review discusses the historical roots and economic losses resulting from cell misidentification and contamination and offers a pragmatic roadmap to prevent working with falsified cell lines. It is further discussed that FAIR-compliant data archiving and integration of STR workflows into laboratory data management systems will allow laboratories to shift from sporadic testing of cell quality to continuous, artificial intelligence-supported assessments. Full article
Show Figures

Figure 1

19 pages, 778 KB  
Article
GALR: Graph-Based Root Cause Localization and LLM-Assisted Recovery for Microservice Systems
by Wenya Zhang, Zhi Yang, Fang Peng, Le Zhang, Yiting Chen and Ruibo Chen
Electronics 2026, 15(1), 243; https://doi.org/10.3390/electronics15010243 - 5 Jan 2026
Viewed by 200
Abstract
With the rapid evolution of cloud-native platforms, microservice-based systems have become increasingly large-scale and complex, making fast and accurate root cause localization and recovery a critical challenge. Runtime signals in such systems are inherently multimodal—combining metrics, logs, and traces—and are intertwined through deep, [...] Read more.
With the rapid evolution of cloud-native platforms, microservice-based systems have become increasingly large-scale and complex, making fast and accurate root cause localization and recovery a critical challenge. Runtime signals in such systems are inherently multimodal—combining metrics, logs, and traces—and are intertwined through deep, dynamic service dependencies, which often leads to noisy alerts, ambiguous fault propagation paths, and brittle, manually curated recovery playbooks. To address these issues, we propose GALR, a graph- and LLM-based framework for root cause localization and recovery in microservice-based business middle platforms. GALR first constructs a multimodal service call graph by fusing time-series metrics, structured logs, and trace-derived topology, and employs a GAT-based root cause analysis module with temporal-aware edge attention to model failure propagation. On top of this, an LLM-based node enhancement mechanism infers anomaly, normal, and uncertainty scores from log contexts and injects them into node representations and attention bias terms, improving robustness under noisy or incomplete signals. Finally, GALR integrates a retrieval-augmented LLM agent that retrieves similar historical cases and generates executable recovery strategies, with consistency checking against expert-standard playbooks to ensure safety and reproducibility. Extensive experiments on three representative microservice datasets demonstrate that GALR consistently achieves superior Top-k accuracy and mean reciprocal rank for root cause localization, while the retrieval-augmented agent yields substantially more accurate and actionable recovery plans compared with graph-only and LLM-only baselines, providing a practical closed-loop solution from anomaly perception to recovery execution. Full article
(This article belongs to the Special Issue Advanced Techniques for Multi-Agent Systems)
Show Figures

Figure 1

15 pages, 3153 KB  
Article
Decentralized Q-Learning for Multi-UAV Post-Disaster Communication: A Robotarium-Based Evaluation Across Urban Environments
by Udhaya Mugil Damodarin, Cristian Valenti, Sergio Spanò, Riccardo La Cesa, Luca Di Nunzio and Gian Carlo Cardarilli
Electronics 2026, 15(1), 242; https://doi.org/10.3390/electronics15010242 - 5 Jan 2026
Viewed by 150
Abstract
Large-scale disasters such as earthquakes and floods often cause the collapse of terrestrial communication networks, isolating affected communities and disrupting rescue coordination. Unmanned aerial vehicles (UAVs) can serve as rapid-deployment aerial relays to restore connectivity in such emergencies. This work presents a decentralized [...] Read more.
Large-scale disasters such as earthquakes and floods often cause the collapse of terrestrial communication networks, isolating affected communities and disrupting rescue coordination. Unmanned aerial vehicles (UAVs) can serve as rapid-deployment aerial relays to restore connectivity in such emergencies. This work presents a decentralized Q-learning framework in which each UAV operates as an independent agent that learns to maintain reliable two-hop links between mobile ground users. The framework integrates user mobility, UAV–user assignment, multi-UAV coordination, and failure tracking to enhance adaptability under dynamic conditions. The system is implemented and evaluated on the Robotarium platform, with propagation modeled using the Al-Hourani air-to-ground path loss formulation. Experiments conducted across Suburban, Dense Urban, and Highrise Urban environments show throughput gains of up to 20% compared with random placement baselines while maintaining failure rates below 5%. These results demonstrate that decentralized learning offers a scalable and resilient foundation for UAV-assisted emergency communication in environments where conventional infrastructure is unavailable. Full article
Show Figures

Figure 1

18 pages, 20589 KB  
Article
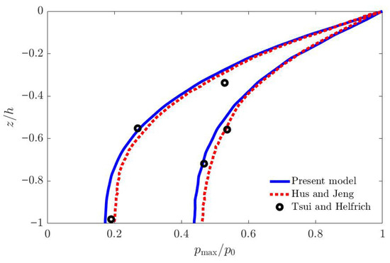
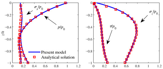
Parametrization of Seabed Liquefaction for Nonlinear Waves
by Mantang Zeng, Titi Sui, Musheng Yang and Li Peng
J. Mar. Sci. Eng. 2026, 14(1), 94; https://doi.org/10.3390/jmse14010094 - 3 Jan 2026
Viewed by 125
Abstract
In actual marine environments, significant nonlinear changes occur during wave propagation toward the nearshore, resulting in noticeable wave asymmetry. This leads to substantial differences in seabed response and liquefaction compared to conditions under linear waves. This study employs numerical simulations to investigate the [...] Read more.
In actual marine environments, significant nonlinear changes occur during wave propagation toward the nearshore, resulting in noticeable wave asymmetry. This leads to substantial differences in seabed response and liquefaction compared to conditions under linear waves. This study employs numerical simulations to investigate the liquefaction depth of the seabed under nonlinear wave loading. Building upon existing liquefaction prediction formulas, a more widely applicable seabed liquefaction prediction formula is derived through dimensional analysis and the least squares method. The proposed formula provides a better fit to the numerically simulated values and significantly reduces prediction errors. Based on waveform analysis, a parametric method is established. By integrating the liquefaction prediction formula, this method allows rapid estimation of the maximum seabed liquefaction depth on a sloped beach under random wave action. The calculated results show that the prediction formula closely matches the numerical simulation results. Full article
(This article belongs to the Section Coastal Engineering)
Show Figures

Figure 1

18 pages, 3419 KB  
Article
A Phosphorus–Nitrogen Synergistic Flame Retardant for Enhanced Fire Safety of Polybutadiene
by Hongwu Zhang, Huafeng Wei, Heng Yue and Mingdong Yu
Polymers 2026, 18(1), 127; https://doi.org/10.3390/polym18010127 - 31 Dec 2025
Viewed by 350
Abstract
Polybutadiene has excellent mechanical properties and flexibility. It is widely used in elastomers and industrial fields. However, it has the characteristic of high flammability. The low LOI and rapid heat release upon ignition pose significant fire hazards. This results in a significant fire [...] Read more.
Polybutadiene has excellent mechanical properties and flexibility. It is widely used in elastomers and industrial fields. However, it has the characteristic of high flammability. The low LOI and rapid heat release upon ignition pose significant fire hazards. This results in a significant fire safety risk during service. Therefore, its application in some key fields has been restricted. In this study, polybutadiene with high-performance flame-retardant properties was developed by adding phosphorus–nitrogen synergistic flame retardants to address this challenge. This flame retardant mainly enhances its flame retardancy through the synergistic gas-phase and condensed-phase mechanisms. Dense and continuous carbon layers could be promoted by flame retardants during combustion. It provides an effective thermal barrier and oxygen barrier. In addition, phosphorus-containing volatiles can function by suppressing flame propagation via radical quenching in the gas phase. The modified polybutadiene reached UL-94 V-1 grade at the optimal load of 1.0 wt%. Meanwhile, its LOI increased to 27%. The cone calorimeter test further confirms a high reduction in peak heat release rate (pHRR). This work provides a feasible strategy for developing advanced polybutadiene materials. It can effectively enhance its fire safety. At the same time, it maintains a balance between flame retardancy and the overall material performance. Full article
(This article belongs to the Special Issue Flame-Retardant Polymer Composites, 3rd Edition)
Show Figures

Graphical abstract

19 pages, 1760 KB  
Article
Adaptive Rolling-Horizon Optimization for Low-Carbon Operation of Coupled Transportation–Power Systems
by Zhe Zhang, Shiyan Luan, Yingli Wei, Fan Tang, Haosen Li, Pengkun Sun and Chao Yang
Energies 2026, 19(1), 227; https://doi.org/10.3390/en19010227 - 31 Dec 2025
Viewed by 288
Abstract
The rapid growth of electric vehicles (EVs) has created new challenges for the coordinated low-carbon operation of transportation and power systems. To address this issue, this paper proposes an adaptive rolling-horizon dynamic user equilibrium (DUE) optimization framework for the low-carbon operation of coupled [...] Read more.
The rapid growth of electric vehicles (EVs) has created new challenges for the coordinated low-carbon operation of transportation and power systems. To address this issue, this paper proposes an adaptive rolling-horizon dynamic user equilibrium (DUE) optimization framework for the low-carbon operation of coupled transportation–power systems. The framework integrates transportation, power, and environmental dimensions into a unified objective. On the transportation side, a DUE-based traffic assignment formulation captures both road travel times and station-level queuing dynamics, providing a realistic representation of EV user behavior. This DUE-based traffic assignment model is coupled with an optimal AC power flow formulation to ensure grid feasibility and quantify network losses. To internalize environmental costs, a carbon emission flow module propagates generator-specific carbon intensities to charging stations, aligning charging decisions with their true emission sources. These components are coordinated within a rolling-horizon method in which the prediction window adapts its length to the variability of demand and renewable forecasts. The proposed method allows longer horizons to improve foresight in stable conditions and shorter ones to maintain robustness under volatility. Numerical case studies demonstrate the effectiveness and robustness of the proposed framework and its potential to support low-carbon, high-efficiency operation of coupled transportation–power systems. Full article
Show Figures

Figure 1

21 pages, 1568 KB  
Review
Conceptual Clarity in Fire Science: A Systematic Review Linking Climatic Factors to Wildfire Occurrence and Spread
by Octavio Toy-Opazo, Andrés Fuentes-Ramírez, Melisa Blackhall, Virginia Fernández, Anne Ganteaume, Adison Altamirano and Álvaro González-Flores
Fire 2026, 9(1), 23; https://doi.org/10.3390/fire9010023 - 30 Dec 2025
Viewed by 513
Abstract
Climate change is widely recognized as a significant contributor to both wildfire initiation and spread, conditions such as high temperatures and prolonged droughts facilitating the rapid ignition and propagation of fires. As a result, extreme weather events can trigger fires through lightning strikes [...] Read more.
Climate change is widely recognized as a significant contributor to both wildfire initiation and spread, conditions such as high temperatures and prolonged droughts facilitating the rapid ignition and propagation of fires. As a result, extreme weather events can trigger fires through lightning strikes with increases in frequency and severity. Despite this, we argue that it is important to distinguish and clarify the concepts of fire occurrence and fire spread, as these phenomena are not directly synonymous in the field of fire ecology. This review examined the published literature to determine if climate factors contribute to fire occurrence and/or spread, and evaluated how well the concepts are used when drawing connections between fire occurrence and fire spread related to climate variables. Using the PRISMA bibliographic analysis methodology, 70 scientific articles were analyzed, including reviews and research papers in the last 5 years. According to the analysis, most publications dealing with fire occurrence, fire spread, and climate change come from the northern hemisphere, specifically from the United States, China, Europe, and Oceania with South America appearing to be significantly underrepresented (less than 10% of published articles). Additionally, despite climatic variables being the most prevalent factors in predictive models, only 38% of the studies analyzed simultaneously integrated climatic, topographic, vegetational, and anthropogenic factors when assessing wildfires. Furthermore, of the 47 studies that explicitly addressed occurrence and spread, 66 percent used the term “occurrence” in line with its definition cited by the authors, that is, referring specifically to ignition. In contrast, 27 percent employed the term in a broader sense that did not explicitly denote the moment a fire starts, often incorporating aspects such as the predisposition of fuels to burn. The remaining 73 percent focused exclusively on “spread.” Hence, caution is advised when making generalizations as climate impact on wildfires can be overestimated in predictive models when conceptual ambiguity is present. Our results showed that, although climate change can amplify conditions for fire spread and contribute to the occurrence of fire, anthropogenic factors remain the most significant factor related to the onset of fires on a global scale, above climatic factors. Full article
(This article belongs to the Special Issue Effects of Climate Change on Fire Danger)
Show Figures

Figure 1

Back to TopTop