Sign in to use this feature.

Years

Between: -

Subjects

remove_circle_outline
remove_circle_outline
remove_circle_outline
remove_circle_outline
remove_circle_outline
remove_circle_outline
remove_circle_outline

Journals

Article Types

Countries / Regions

Search Results (40)

Search Parameters:
Keywords = random nonlinear oscillator

Order results
Result details
Results per page
Select all
Export citation of selected articles as:
26 pages, 13483 KB  
Article
Analog Circuit Simplification of a Chaotic Hopfield Neural Network Based on the Shil’nikov’s Theorem
by Diego S. de la Vega, Lizbeth Vargas-Cabrera, Olga G. Félix-Beltrán and Jesus M. Munoz-Pacheco
Dynamics 2026, 6(1), 1; https://doi.org/10.3390/dynamics6010001 - 1 Jan 2026
Viewed by 193
Abstract
Circuit implementation is a widely accepted method for validating theoretical insights observed in chaotic systems. It also serves as a basis for numerous chaos-based engineering applications, including data encryption, random number generation, secure communication, neuromorphic computing, and so forth. To get feasible, compact, [...] Read more.
Circuit implementation is a widely accepted method for validating theoretical insights observed in chaotic systems. It also serves as a basis for numerous chaos-based engineering applications, including data encryption, random number generation, secure communication, neuromorphic computing, and so forth. To get feasible, compact, and cost-effective circuit implementations of chaotic systems, the underlying mathematical model may be simplified while preserving all rich nonlinear behaviors. In this framework, this manuscript presents a simplified Hopfield Neural Network (HNN) capable of generating a broad spectrum of complex behaviors using a minimal number of electronic elements. Based on Shil’nikov’s theorem for heteroclinic orbits, the number of non-zero synaptic connections in the matrix weights is reduced, while simultaneously using only one nonlinear activation function. As a result of these simplifications, we obtain the most compact electronic implementation of a tri-neuron HNN with the lowest component count but retaining complex dynamics. Comprehensive theoretical and numerical analyses by equilibrium points, density-colored continuation diagrams, basin of attraction, and Lyapunov exponents, confirm the presence of periodic oscillations, spiking, bursting, and chaos. Such chaotic dynamics range from single-scroll chaotic attractors to double-scroll chaotic attractors, as well as coexisting attractors to transient chaos. A brief security application of an S-Box utilizing the presented HNN is also given. Finally, a physical implementation of the HNN is given to confirm the proposed approach. Experimental observations are in good agreement with numerical results, demonstrating the usefulness of the proposed approach. Full article
Show Figures

Figure 1

16 pages, 9419 KB  
Article
Initial-Offset-Control and Amplitude Regulation in Memristive Neural Network
by Hua Liu, Haijun Wang, Wenhui Zhang and Suling Zhang
Symmetry 2025, 17(10), 1682; https://doi.org/10.3390/sym17101682 - 8 Oct 2025
Viewed by 593
Abstract
Traditional Hopfield neural networks (HNNs) suffer from limitations in generating controllable chaotic dynamics, which are essential for applications in neuromorphic computing and secure communications. Memristors, with their memory-dependent nonlinear characteristics, provide a promising approach to regulate neuronal activities, yet systematic studies on attractor [...] Read more.
Traditional Hopfield neural networks (HNNs) suffer from limitations in generating controllable chaotic dynamics, which are essential for applications in neuromorphic computing and secure communications. Memristors, with their memory-dependent nonlinear characteristics, provide a promising approach to regulate neuronal activities, yet systematic studies on attractor offset behaviors remain scarce. In this study, we propose a fully memristive electromagnetic radiation neural network by incorporating three distinct memristors as external electromagnetic stimuli into an HNN. The parameters of the memristors were tuned to modulate chaotic oscillations, while variations in initial conditions were employed to explore multistability through bifurcation and basin stability analyses. The results demonstrate that the system enables large-scale amplitude control of chaotic signals via memristor parameter adjustments, allowing arbitrary scaling of attractor amplitudes. Various offset behaviors emerge, including parameter-driven symmetric double-scroll relocations in phase space and initial-condition-induced offset boosting that leads to extreme multistability. These dynamics were experimentally validated using an STM32-based electronic circuit, confirming precise amplitude and offset control. Furthermore, a multi-channel pseudo-random number generator (PRNG) was implemented, leveraging the initial-boosted offset to enhance security entropy. This offers a hardware-efficient chaotic solution for encrypted communication systems, demonstrating strong application potential. Full article
(This article belongs to the Topic A Real-World Application of Chaos Theory)
Show Figures

Figure 1

15 pages, 1821 KB  
Article
Nonlinear Dynamics of MEG and EMG: Stability and Similarity Analysis
by Armin Hakkak Moghadam Torbati, Christian Georgiev, Daria Digileva, Nicolas Yanguma Muñoz, Pierre Cabaraux, Narges Davoudi, Harri Piitulainen, Veikko Jousmäki and Mathieu Bourguignon
Brain Sci. 2025, 15(7), 681; https://doi.org/10.3390/brainsci15070681 - 25 Jun 2025
Cited by 1 | Viewed by 1368
Abstract
Background: Sensorimotor beta oscillations are critical for motor control and become synchronized with muscle activity during sustained contractions, forming corticomuscular coherence (CMC). Although beta activity manifests in transient bursts, suggesting nonlinear behavior, most studies rely on linear analyses, leaving the underlying dynamic structure [...] Read more.
Background: Sensorimotor beta oscillations are critical for motor control and become synchronized with muscle activity during sustained contractions, forming corticomuscular coherence (CMC). Although beta activity manifests in transient bursts, suggesting nonlinear behavior, most studies rely on linear analyses, leaving the underlying dynamic structure of brain–muscle interactions underexplored. Objectives: To investigate the nonlinear dynamics underlying beta oscillations during isometric contraction. Methods: MEG and EMG were recorded from 17 right-handed healthy adults performing a 10 min isometric pinch task. Lyapunov exponent (LE), fractal dimension (FD), and correlation dimension (CD) were computed in 10 s windows to assess temporal stability. Signal similarity was assessed using Pearson correlation of amplitude envelopes and the nonlinear features. Burstiness was estimated using the coefficient of variation (CV) of the beta envelope to examine how transient fluctuations in signal amplitude relate to underlying nonlinear dynamics. Phase-randomized surrogate signals were used to validate the nonlinearity of the original data. Results: In contrast to FD, LE and CD revealed consistent, structured dynamics over time and significantly differed from surrogate signals, indicating sensitivity to non-random patterns. Both MEG and EMG signals demonstrated temporal stability in nonlinear features. However, MEG–EMG similarity was captured only by linear envelope correlation, not by nonlinear features. CD was strongly associated with beta burstiness in MEG, suggesting it reflects information similar to that captured by the amplitude envelope. In contrast, LE showed a weaker, inverse relationship, and FD was not significantly associated with burstiness. Conclusions: Nonlinear features capture intrinsic, stable dynamics in cortical and muscular beta activity, but do not reflect cross-modal similarity, highlighting a distinction from conventional linear analyses. Full article
(This article belongs to the Section Developmental Neuroscience)
Show Figures

Figure 1

16 pages, 6912 KB  
Article
The Interannual Cyclicity of Precipitation in Xinjiang During the Past 70 Years and Its Contributing Factors
by Wenjie Ma, Xiaokang Liu, Shasha Shang, Zhen Wang, Yuyang Sun, Jian Huang, Mengfei Ma, Meihong Ma and Liangcheng Tan
Atmosphere 2025, 16(5), 629; https://doi.org/10.3390/atmos16050629 - 21 May 2025
Viewed by 1119
Abstract
Precipitation cyclicity plays a crucial role in regional water supply and climate predictions. In this study, we used observational data from 34 representative meteorological stations in the Xinjiang region, a major part of inland arid China, to characterize the interannual cyclicity of regional [...] Read more.
Precipitation cyclicity plays a crucial role in regional water supply and climate predictions. In this study, we used observational data from 34 representative meteorological stations in the Xinjiang region, a major part of inland arid China, to characterize the interannual cyclicity of regional precipitation from 1951 to 2021 and analyze its contributing factors. The results indicated that the mean annual precipitation in Xinjiang (MAP_XJ) was dominated by a remarkably increasing trend over the past 70 years, which was superimposed by two bands of interannual cycles of approximately 3 years with explanatory variance of 56.57% (Band I) and 6–7 years with explanatory variance of 23.38% (Band II). This is generally consistent with previous studies on the cyclicity of precipitation in Xinjiang for both seasonal and annual precipitation. We analyzed the North Tropical Atlantic sea-surface temperature (NTASST), El Niño-Southern Oscillation (ENSO), North Atlantic Oscillation (NAO), Arctic Oscillation (AO), and Indian Summer Monsoon (ISM) as potential forcing factors that show similar interannual cycles and may contribute to the identified precipitation variability. Two approaches, multivariate linear regression and the Random Forest model, were employed to ascertain the relative significance of each factor influencing Bands I and II, respectively. The multivariate linear regression analysis revealed that the AO index contributed the most to Band I, with a significance score of −0.656, whereas the ENSO index with a one-year lead (ENSO−1yr) played a dominant role in Band II (significance score = 0.457). The Random Forest model also suggested that the AO index exhibited the highest significance score (0.859) for Band I, whereas the AO index with a one-year lead (AO−1yr) had the highest significance score (0.876) for Band II. Overall, our findings highlight the necessity of employing different methods that consider both the linear and non-linear response of climate variability to driving factors crucial for future climate prediction. Full article
(This article belongs to the Special Issue Desert Climate and Environmental Change: From Past to Present)
Show Figures

Figure 1

27 pages, 9311 KB  
Article
Learning and Characterizing Chaotic Attractors of a Lean Premixed Combustor
by Sara Navarro-Arredondo and Jim B. W. Kok
Energies 2025, 18(7), 1852; https://doi.org/10.3390/en18071852 - 7 Apr 2025
Viewed by 606
Abstract
This paper is about the characteristics of and a method to recognize the onset of limit cycle thermoacoustic oscillations in a gas turbine-like combustor with a premixed turbulent methane/air flame. Information on the measured time series data of the pressure and the OH* [...] Read more.
This paper is about the characteristics of and a method to recognize the onset of limit cycle thermoacoustic oscillations in a gas turbine-like combustor with a premixed turbulent methane/air flame. Information on the measured time series data of the pressure and the OH* chemiluminescence is acquired and postprocessed. This is performed for a combustor with variation in two parameters: fuel/air equivalence ratio and combustor length. It is of prime importance to acknowledge the nonlinear dynamic nature of these instabilities. A method is studied to interpret thermoacoustic instability phenomena and assess quantitatively the transition of the combustor from a stable to an unstable regime. In this method, three-phase portraits are created on the basis of data retrieved from the measured acoustics and flame intensity in the laboratory-scale test combustor. In the path to limit cycle oscillation, the random distribution in the three-phase portrait contracts to an attractor. The phase portraits obtained when changing operating conditions, moving from the stable to the unstable regime and back, are analyzed. Subsequently, the attractor dimension is determined for quantitative analysis. On the basis of the trajectories from the stable to unstable and back in one run, a study is performed of the hysteresis dynamics in bifurcation diagrams. Finally, the onset of the instability is demonstrated to be recognized by the 0-1 criterion for chaos. The method was developed and demonstrated on a low-power atmospheric methane combustor with the aim to apply it subsequently on a high-power pressurized diesel combustor. Full article
(This article belongs to the Section I2: Energy and Combustion Science)
Show Figures

Figure 1

24 pages, 2621 KB  
Article
Nonlinear Robust Control for Missile Unsupported Random Launch Based on Dynamic Surface and Time Delay Estimation
by Xiaochuan Yu, Hui Sun, Haoyang Liu, Xianglong Liang, Xiaowei Yang and Jianyong Yao
Actuators 2025, 14(3), 142; https://doi.org/10.3390/act14030142 - 13 Mar 2025
Viewed by 821
Abstract
Due to the difficulty in ensuring launch safety under unfavorable launch site conditions, restrictions regarding the selection of launch sites significantly weaken the maneuverability of the unsupported random vertical launch (URVL) mode. In this paper, a nonlinear robust control strategy is proposed to [...] Read more.
Due to the difficulty in ensuring launch safety under unfavorable launch site conditions, restrictions regarding the selection of launch sites significantly weaken the maneuverability of the unsupported random vertical launch (URVL) mode. In this paper, a nonlinear robust control strategy is proposed to control the missile attitude by actively adjusting the oscillation of the launcher through the hydraulic actuator, enhancing the launching safety and the adaptability of the VMLS to the launching site. Firstly, considering the interaction among the launch canister, adapters, and missile, a 6-DOF dynamic model of the launch system is established, in combination with the dynamics of the hydraulic actuator. Then, in order to facilitate the nonlinear controller design, the seventh-order state-space equation is constructed, according to the dynamic model of the launch system. Subsequently, in view of the problem of “differential explosion” in the backstepping controller design of the seventh-order nonlinear system, a nonlinear dynamic surface control (DSC) framework is proposed. Meanwhile, the time delay estimation (TDE) technique is introduced to suppress the influence of the complex nonlinearities of the launch system on the missile attitude control, and a nonlinear robust control (NRC) is introduced to attenuate the TDE error. Both of these are integrated into the DSC framework, which can achieve asymptotic output tracking. Finally, numerical simulations are conducted to validate the superiority of the proposed control strategy in regards to missile launch response control. Full article
(This article belongs to the Special Issue Motion Planning, Trajectory Prediction, and Control for Robotics)
Show Figures

Figure 1

30 pages, 27551 KB  
Article
Effects of Central Cut Width on the Dynamical Characteristics of Box Assembly Structure
by Christopher Padilla, Antonio Flores, Ezekiel Granillo, Jonah Madrid and Abdessattar Abdelkefi
Appl. Sci. 2025, 15(1), 417; https://doi.org/10.3390/app15010417 - 4 Jan 2025
Cited by 1 | Viewed by 1410
Abstract
An investigation into the Box Assembly with Removable Component (BARC) structure is conducted by utilizing computational simulations and experimental structural testing in order to determine the complex dynamical responses instigated by the central cut of the system. Because the dynamics of the BARC [...] Read more.
An investigation into the Box Assembly with Removable Component (BARC) structure is conducted by utilizing computational simulations and experimental structural testing in order to determine the complex dynamical responses instigated by the central cut of the system. Because the dynamics of the BARC system is complex, this study focuses primarily on analyzing the behavior of the box assembly (BA) system. The investigation explores the dynamics of the BA system by varying the central cut widths, ranging from a cut as wide as 0.5” cut to a 0.25” cut system, as well as a 0.1” cut and a system with no cut at all. Experimental testing is performed on each system including a free vibration test using an impact hammer to excite and identify the dominant frequencies of each structure. This testing is followed by pseudo-random vibration tests and swept sinusoidal excitation tests to determine the nonlinear aspects of these systems, such as the possible existence of nonlinear softening, hardening, and/or damping. The results show that nonlinear softening and nonlinear damping are present in each system. The no-cut system demonstrated the highest peak frequencies throughout all the tests, being the most rigid structure. The 0.25” cut system was shown to have the highest peak frequencies among all the cut systems in both the finite elemenet analysis (FEA) and impact testing. This trend did not continue, though, in the random and harmonic testing, possibly due to the added stiffness of the test setup with the slip table and stinger. The results show the importance of accurately measuring the central cut width and how possible geometric uncertainties change the overall dynamical behaviors of complex systems, such as natural characteristics, nonlinear responses, coupling of modes, and oscillating amplitudes. Full article
Show Figures

Figure 1

12 pages, 2645 KB  
Article
Dynamic Survivability Centrality in Nonlinear Oscillator Systems
by Yuexin Wang, Zhongkui Sun, Sijun Ye, Tao Zhao, Xinshuai Zhang and Wei Xu
Symmetry 2024, 16(12), 1661; https://doi.org/10.3390/sym16121661 - 16 Dec 2024
Viewed by 949
Abstract
In light of the fact that existing centrality indexes disregard the influence of dynamic characteristics and lack generalizability due to standard diversification, this study investigates dynamic survivability centrality, which enables quantification of oscillators’ capacity to impact the dynamic survivability of nonlinear oscillator systems. [...] Read more.
In light of the fact that existing centrality indexes disregard the influence of dynamic characteristics and lack generalizability due to standard diversification, this study investigates dynamic survivability centrality, which enables quantification of oscillators’ capacity to impact the dynamic survivability of nonlinear oscillator systems. Taking an Erdős–Rényi random graph system consisting of Stuart–Landau oscillators as an illustrative example, the typical symmetry synchronization is considered as the key mission to be accomplished in light of the study and the dynamic survivability centrality value is found to be dependent on both the system size and connection density. Starting with a small scale system, the correctness of the theoretical results and the superiority in comparison to traditional indexes are verified. Further, we present the quantitative results by means of error analysis, distribution comparison of various indexes and relationship with system structure exploration, and give the position of the key oscillator. The results demonstrate a negligible error between the theoretical and numerical outcomes, and highlighting that the distribution of dynamic survivability centrality closely resembles the distribution of system state changes. The conclusions serve as evidence for the accuracy and validity of the proposed index. The findings provide an effective approach to protect systems to improve dynamic survivability. Full article
Show Figures

Figure 1

19 pages, 21456 KB  
Article
Investigation of the Effect of Diverse Dictionaries and Sparse Decomposition Techniques for Power Quality Disturbances
by Vivek Anjali and Preetha Parakkatu Kesava Panikker
Energies 2024, 17(23), 6152; https://doi.org/10.3390/en17236152 - 6 Dec 2024
Cited by 1 | Viewed by 845
Abstract
The quality of power signals is strongly influenced by nonlinear loads in Electrical Power systems. Representation of electrical signals using different Sparse techniques is an interesting area of research as it moderates the volume of data to be stored. The storage of signals [...] Read more.
The quality of power signals is strongly influenced by nonlinear loads in Electrical Power systems. Representation of electrical signals using different Sparse techniques is an interesting area of research as it moderates the volume of data to be stored. The storage of signals in Sparse form will make data storage easier and more efficient. Earlier studies concentrated on blindly choosing Overcomplete Hybrid Dictionaries (OHDs) for Sparse representation. The effect of different dictionaries in representing electrical signals has also not been reviewed in them. This paper presents an investigation of the effect of various dictionaries and the sparsity constant on the representation of electrical signals. The validation for statements presented in this paper is carried out by representing power signals with diverse power line disturbances like Swell, DC offset, and random oscillation, with the help of various dictionaries in the simulation platform. The Sparse representation of the power signals was generated using the Orthogonal Matching Pursuit algorithm. The resultant Sparse representation was then compared with the original signal. The difference between them was found to be negligible with the help of different metrics. The ratio of the obtained signal from Sparse representation, the original signal (A/R ratio), and the Mean Squared Error were taken as the metrics. The MATLAB platform was used for performing the simulation study. Full article
(This article belongs to the Section F: Electrical Engineering)
Show Figures

Figure 1

27 pages, 1868 KB  
Article
A New Stochastic Controller for Efficient Power Extraction from Small-Scale Wind Energy Conversion Systems under Random Load Consumption
by Abdelhakim Tighirt, Mohamed Aatabe, Fatima El Guezar, Hassane Bouzahir, Alessandro N. Vargas and Gabriele Neretti
Energies 2024, 17(19), 4927; https://doi.org/10.3390/en17194927 - 1 Oct 2024
Cited by 4 | Viewed by 2228
Abstract
This paper presents an innovative scheme to enhance the efficiency of power extraction from wind energy conversion systems (WECSs) under random loads. The study investigates how stochastic load consumption, modeled and predicted using a Markov chain process, impacts WECS efficiency. The suggested approach [...] Read more.
This paper presents an innovative scheme to enhance the efficiency of power extraction from wind energy conversion systems (WECSs) under random loads. The study investigates how stochastic load consumption, modeled and predicted using a Markov chain process, impacts WECS efficiency. The suggested approach regulates the rectifier voltage rather than the rotor speed, making it a sensorless and reliable method for small-scale WECSs. Nonlinear WECS dynamics are represented using Takagi–Sugeno (TS) fuzzy modeling. Furthermore, the closed-loop system’s stochastic stability and recursive feasibility are guaranteed regardless of random load changes. The performance of the suggested controller is compared with the traditional perturb-and-observe (P&O) algorithm under varying wind speeds and random load variations. Simulation results show that the proposed approach outperforms the traditional P&O algorithm, demonstrating higher tracking efficiency, rapid convergence to the maximum power point (MPP), reduced steady-state oscillations, and lower error indices. Enhancing WECS efficiency under unpredictable load conditions is the primary contribution, with simulation results indicating that the tracking efficiency increases to 99.93%. Full article
Show Figures

Figure 1

16 pages, 8270 KB  
Article
Numerical Analysis of Dynamic Characteristics of an Asymmetric Tri-Stable Piezoelectric Energy Harvester under Random Vibrations in Building Structures
by Dawei Man, Qingnan Hu, Qinghu Xu, Liping Tang, Dong Chen, Ziqing Yuan and Tingting Han
Buildings 2024, 14(7), 2210; https://doi.org/10.3390/buildings14072210 - 18 Jul 2024
Cited by 1 | Viewed by 1393
Abstract
This study presents a novel design for a tri-stable piezoelectric vibration energy harvester with an asymmetric structure, which is enhanced with an elastic base (TPVEH + EB), meticulously designed to enhance energy extraction from irregular vibrations in architectural structures. The cornerstone of this [...] Read more.
This study presents a novel design for a tri-stable piezoelectric vibration energy harvester with an asymmetric structure, which is enhanced with an elastic base (TPVEH + EB), meticulously designed to enhance energy extraction from irregular vibrations in architectural structures. The cornerstone of this design is the asymmetric tri-stable piezoelectric cantilever beam, distinctively arranged within a U-shaped block and fortified with an elastic foundation. A carefully positioned spring (kf)-mass (Mf) system between the U-shaped block and the beam’s fixed end significantly boosts the vertical displacement of the beam during oscillations. Utilizing Lagrange’s equations, we formulated a dynamic model for the asymmetric TPVEH + EB, examining the effects of potential well asymmetry, the stiffness of the elastic base and spring-mass system, the mass of the spring-mass system, and the tip magnet mass on the system’s nonlinear dynamic responses. Our results demonstrate that the asymmetric TPVEH + EB significantly enhances energy harvesting from low-amplitude random vibrations (1.5 g), with the output voltage of the asymmetric TPVEH + EB increasing by 30% and the output power by 25%. Extensive numerical and theoretical analyses verify that the asymmetric TPVEH + EB provides a highly efficient solution for scenarios typically hindered by low energy conversion rates. Its reliable performance under varied and unpredictable excitation conditions highlights its excellence in advanced energy harvesting applications. The improvements detailed in this research underscore the potential of the asymmetric TPVEH + EB to boost energy harvesting efficiency, particularly in powering wireless sensor nodes for structural health monitoring in buildings. By overcoming the limitations of traditional harvesters, the asymmetric TPVEH + EB ensures enhanced efficiency and reliability, making it an ideal solution for a wide range of practical applications in diverse environmental conditions within buildings. Full article
(This article belongs to the Special Issue Advanced Research on Intelligent Building Construction and Management)
Show Figures

Figure 1

17 pages, 2059 KB  
Article
Lump, Breather, Ma-Breather, Kuznetsov–Ma-Breather, Periodic Cross-Kink and Multi-Waves Soliton Solutions for Benney–Luke Equation
by Miguel Vivas-Cortez, Sajawal Abbas Baloch, Muhammad Abbas, Moataz Alosaimi and Guo Wei
Symmetry 2024, 16(6), 747; https://doi.org/10.3390/sym16060747 - 15 Jun 2024
Cited by 3 | Viewed by 1843
Abstract
The goal of this research is to utilize some ansatz forms of solutions to obtain novel forms of soliton solutions for the Benney–Luke equation. It is a mathematically valid approximation that describes the propagation of two-way water waves in the presence of surface [...] Read more.
The goal of this research is to utilize some ansatz forms of solutions to obtain novel forms of soliton solutions for the Benney–Luke equation. It is a mathematically valid approximation that describes the propagation of two-way water waves in the presence of surface tension. By using ansatz forms of solutions, with an appropriate set of parameters, the lump soliton, periodic cross-kink waves, multi-waves, breather waves, Ma-breather, Kuznetsov–Ma-breather, periodic waves and rogue waves solutions can be obtained. Breather waves are confined, periodic, nonlinear wave solutions that preserve their amplitude and shape despite alternating between compression and expansion. For some integrable nonlinear partial differential equations, a lump soliton is a confined, stable solitary wave solution. Rogue waves are unusually powerful and sharp ocean surface waves that deviate significantly from the surrounding wave pattern. They pose a threat to maritime safety. They typically show up in solitary, seemingly random circumstances. Periodic cross-kink waves are a particular type of wave pattern that has frequent bends or oscillations that cross at right angles. These waves provide insights into complicated wave dynamics and arise spontaneously in a variety of settings. In order to predict the wave dynamics, certain 2D, 3D and contour profiles are also analyzed. Since these recently discovered solutions contain certain arbitrary constants, they can be used to describe the variation in the qualitative characteristics of wave phenomena. Full article
(This article belongs to the Special Issue Symmetry in Nonlinear Partial Differential Equations and Rogue Waves)
Show Figures

Figure 1

22 pages, 3024 KB  
Article
Numerical Investigation of the Fractional Oscillation Equations under the Context of Variable Order Caputo Fractional Derivative via Fractional Order Bernstein Wavelets
by Ashish Rayal, Bhagawati Prasad Joshi, Mukesh Pandey and Delfim F. M. Torres
Mathematics 2023, 11(11), 2503; https://doi.org/10.3390/math11112503 - 29 May 2023
Cited by 13 | Viewed by 2252
Abstract
This article describes an approximation technique based on fractional order Bernstein wavelets for the numerical simulations of fractional oscillation equations under variable order, and the fractional order Bernstein wavelets are derived by means of fractional Bernstein polynomials. The oscillation equation describes electrical circuits [...] Read more.
This article describes an approximation technique based on fractional order Bernstein wavelets for the numerical simulations of fractional oscillation equations under variable order, and the fractional order Bernstein wavelets are derived by means of fractional Bernstein polynomials. The oscillation equation describes electrical circuits and exhibits a wide range of nonlinear dynamical behaviors. The proposed variable order model is of current interest in a lot of application areas in engineering and applied sciences. The purpose of this study is to analyze the behavior of the fractional force-free and forced oscillation equations under the variable-order fractional operator. The basic idea behind using the approximation technique is that it converts the proposed model into non-linear algebraic equations with the help of collocation nodes for easy computation. Different cases of the proposed model are examined under the selected variable order parameters for the first time in order to show the precision and performance of the mentioned scheme. The dynamic behavior and results are presented via tables and graphs to ensure the validity of the mentioned scheme. Further, the behavior of the obtained solutions for the variable order is also depicted. From the calculated results, it is observed that the mentioned scheme is extremely simple and efficient for examining the behavior of nonlinear random (constant or variable) order fractional models occurring in engineering and science. Full article
(This article belongs to the Special Issue Fractional Calculus and Mathematical Applications)
Show Figures

Figure 1

19 pages, 3213 KB  
Article
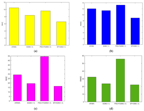
A Novel Grey Seasonal Model for Natural Gas Production Forecasting
by Yuzhen Chen, Hui Wang, Suzhen Li and Rui Dong
Fractal Fract. 2023, 7(6), 422; https://doi.org/10.3390/fractalfract7060422 - 24 May 2023
Cited by 9 | Viewed by 2552
Abstract
To accurately predict the time series of energy data, an optimized Hausdorff fractional grey seasonal model was proposed based on the complex characteristics of seasonal fluctuations and local random oscillations of seasonal energy data. This paper used a new seasonal index to eliminate [...] Read more.
To accurately predict the time series of energy data, an optimized Hausdorff fractional grey seasonal model was proposed based on the complex characteristics of seasonal fluctuations and local random oscillations of seasonal energy data. This paper used a new seasonal index to eliminate the seasonal variation of the data and weaken the local random fluctuations. Furthermore, the Hausdorff fractional accumulation operator was introduced into the traditional grey prediction model to improve the weight of new information, and the particle swarm optimization algorithm was used to find the nonlinear parameters of the model. In order to verify the reliability of the new model in energy forecasting, the new model was applied to two different energy types, hydropower and wind power. The experimental results indicated that the model can effectively predict quarterly time series of energy data. Based on this, we used China’s quarterly natural gas production data from 2015 to 2021 as samples to forecast those for 2022–2024. In addition, we also compared the proposed model with the traditional statistical models and the grey seasonal models. The comparison results showed that the new model had obvious advantages in predicting quarterly data of natural gas production, and the accurate prediction results can provide a reference for natural gas resource allocation. Full article
Show Figures

Figure 1

9 pages, 4541 KB  
Article
Canards Oscillations, Noise-Induced Splitting of Cycles and Transition to Chaos in Thermochemical Kinetics
by Irina Bashkirtseva, Grigoriy Ivanenko, Dmitrii Mordovskikh and Lev Ryashko
Mathematics 2023, 11(8), 1918; https://doi.org/10.3390/math11081918 - 19 Apr 2023
Cited by 3 | Viewed by 1444
Abstract
We study how noise generates complex oscillatory regimes in the nonlinear thermochemical kinetics. In this study, the basic mathematical Zeldovich–Semenov model is used as a deterministic skeleton. We investigate the stochastic version of this model that takes into account multiplicative random fluctuations of [...] Read more.
We study how noise generates complex oscillatory regimes in the nonlinear thermochemical kinetics. In this study, the basic mathematical Zeldovich–Semenov model is used as a deterministic skeleton. We investigate the stochastic version of this model that takes into account multiplicative random fluctuations of temperature. In our study, we use direct numerical simulation of stochastic solutions with the subsequent statistical analysis of probability densities and Lyapunov exponents. In the parametric zone of Canard cycles, qualitative effects caused by random noise are identified and investigated. Stochastic P-bifurcations corresponding to noise-induced splitting of Canard oscillations are parametrically described. It is shown that such P-bifurcations are associated with splitting of both amplitudes and frequencies. Studying stochastic D-bifurcations, we localized the rather narrow parameter zone where transitions from order to chaos occur. Full article
(This article belongs to the Special Issue Mathematical Modeling and Simulation of Oscillatory Phenomena)
Show Figures

Figure 1

Back to TopTop