Abstract
In light of the fact that existing centrality indexes disregard the influence of dynamic characteristics and lack generalizability due to standard diversification, this study investigates dynamic survivability centrality, which enables quantification of oscillators’ capacity to impact the dynamic survivability of nonlinear oscillator systems. Taking an Erdős–Rényi random graph system consisting of Stuart–Landau oscillators as an illustrative example, the typical symmetry synchronization is considered as the key mission to be accomplished in light of the study and the dynamic survivability centrality value is found to be dependent on both the system size and connection density. Starting with a small scale system, the correctness of the theoretical results and the superiority in comparison to traditional indexes are verified. Further, we present the quantitative results by means of error analysis, distribution comparison of various indexes and relationship with system structure exploration, and give the position of the key oscillator. The results demonstrate a negligible error between the theoretical and numerical outcomes, and highlighting that the distribution of dynamic survivability centrality closely resembles the distribution of system state changes. The conclusions serve as evidence for the accuracy and validity of the proposed index. The findings provide an effective approach to protect systems to improve dynamic survivability.
1. Introduction
The advancement of network science has played a pivotal role in enhancing our comprehension of the physical world [1,2], with diverse topological structures revealing an abundance of phenomena that have garnered significant attention [3,4]. However, the occurrence of element damage leads to substantial losses, prompting scholars to conduct extensive research on this matter [5]. Currently, one of the most prominent areas of investigation pertains to the security aspects associated with dynamic systems [6,7].
Dynamic survivability, an important concept for dynamic network systems, describes a system’s ability to complete its key mission when attacks, failures or accidents occur [8,9,10,11,12]. A system with low dynamic survivability fails to mitigate substantial losses resulting from its collapse, so this topic has garnered increasing attention. Researchers have explored it under different dynamic behaviors, including single-layer and two-layer network topologies [8,13,14,15].
The findings of these studies suggest a strong correlation between dynamic survivability and the oscillators (nodes), i.e., the failure of oscillators leads to a reduction in dynamic survivability. Nevertheless, it is evidently impossible to protect all oscillators to enhance the dynamic survivability of dynamic system. As widely acknowledged, the functionality of various system mechanisms, including cascade failure, diffusion propagation, and synchronization, will be affected by the action of a small number of nodes [16,17,18,19,20,21]. It follows naturally that the same is true of dynamic survivability. Identifying these nodes with significant effects both theoretical significance and practical value. In fact, this is what is known today as centrality, which reflects the nodes occupying key positions in the entire network system, and the definition of centrality is well understood. In real life, centrality is always associated with excellent leadership, popularity or reputation [22,23]. Moreover, the greater the centrality attributed to individuals, the higher their access to convenience and influence within social networks [24,25].
Up to now, researchers have introduced various centrality indexes of a node in the network system to quantify the importance of the nodes in different situations, among which degree centrality [26,27], closeness centrality [28,29], betweenness centrality [30], eccentricity centrality [31], eigenvector centrality [32,33,34], and so on are widely used. It is a pity that these indexes have various standards and are put forward according to specific application scenarios, so they cannot be generalized. In addition, the current studies on node centrality are mainly based on the structural information of the systems, but neglect the dynamic properties of the systems. In view of this, Zhang et al. [35] proposed the concept of resilience centrality to quantify the ability of a single node to affect the resilience of the corresponding system. Theoretically, the resilience centrality was derived from the dynamic equation of the corresponding complex system, and its effectiveness was verified by comparison with other traditional indexes. However, all those centrality indexes cannot capture the contribution of an oscillator in dynamic survivability of the dynamic system, prompting us to propose a new centrality index.
Motivated by these facts, our objective in this paper is to offer a concept of dynamic survivability centrality to identify the ability of an oscillator to affect dynamic survivability of the dynamic system, thereby addressing the limitations inherent in conventional centrality indices.The definition of dynamic survivability centrality is first reported in Section 2, and the expression is derived from the coupled Stuart–Landau oscillator systems when the key mission to complete is synchronization. In Section 3, the dynamic survivability centrality analysis and the comparison with classic indexes to test the performance of our index are illustrated. The results demonstrate that the proposed index is more effective in assessing the significance of elements within dynamic systems, while also providing insights into the factors influencing this index. And Section 4 summarizes the conclusions. The diagram block for methodology is depicted in Figure 1.
Figure 1.
The diagram block for methodology.
2. Dynamic Survivability Centrality of Dynamic Systems
2.1. Dynamic Survivability of Dynamic Systems
The definition of dynamic survivability for nonlinear oscillator system is introduced by Sun et al. in [8]: The dynamic survivability is the capability that a dynamic system can complete its key mission in the event of attack, failure, or accident. Additionally, the mission completion probability S is considered by authors to quantify the dynamic survivability, which characterizes the probability that a dynamic system can complete key mission under attack as follows:
where represents critical attack cost at which system loses its capacity to complete the key mission, which can serve as a criterion for distinguishing between favorable and adverse dynamic survivability. C is a broad definition called attack cost describing any attack, failure or accident. The mission function U is obtained from the key mission selected to completed, which is generally defined as the ratio of the initial value of the indicator that reflects the state of the system to complete the key mission to the value of the indicator at the time of the attack. Considering a nonlinear oscillator system composed of N Stuart–Landau oscillators whose topology structure is determined by the Erdős–Rényi random graph (hereafter abbreviated as ER), which plays an important role and is widely used to study the dynamic behavior,
Therein, the complex state variable of jth oscillator . Setting bifurcation parameter and natural frequency . denotes the coupling strength and H indicates the internal coupling function between the state variables of each oscillator, which is selected as the unit matrix. The adjacency matrix describes interaction between oscillators, where if oscillator j and oscillator k have a connection and if there is not a link from oscillator j to oscillator k. Additionally, one can obtain the degree of oscillator j according to .
Furthermore, let , if there is a link from the jth and the kth oscillators, and otherwise. Then, Equation (2) can be mapped the original dynamic system into an equivalent model as
where is called the coupling matrix, which is a negative Laplace matrix actually.
As demonstrated by dynamic survivability, it is necessary to determine the key mission and attack cost subsequently. Since the fact that the collective dynamical behaviors of the dynamic system changes when it is disturbed echoes the loss caused by the change in the damaged performance of the system in real world, the key mission for the dynamic system is to maintain the state of its collective dynamical behaviors. Admittedly, dynamic systems perform a wealth of collective dynamical behaviors, such as synchronization [3,4,36,37,38], explosive phenomena [39,40,41,42], and aging phase transition [43], etc., while the meaning of survivability only requires the most crucial one. The phenomenon of synchronization, being a prototypical manifestation of symmetry in physics, has been unequivocally established as profoundly significant, which is the first of the collective behavior of the oscillator system to receive attention and receive in-depth research. Based on the above truth, in this paper, we choose synchronization as the key mission to complete, and attack the system by removing the oscillators.
As the classical method to analyze synchronization, the master stability function (MSF) method [4,44] gives the condition needed to be satisfied, where l is the maximum Lyapunov index of an isolated oscillator and is the second-largest eigenvalue of the corresponding coupling matrix of Equation (3). When oscillators in the system are attacked, the decreases and becomes zero. In other words, is the parameter that can directly reflect the key mission completion state of the coupled nonlinear oscillator system. Then, we write the mission completion probability S as
where is the initial second-largest eigenvalue of the coupling matrix B when the system is not attacked and is the second-largest eigenvalue of the coupling matrix B when the proportion of removing oscillators is C. The decrease of S from 1 to 0, resulting by an increase in C, implies that no matter how the network topology of the system is changed due to the cause of removing oscillators, the impact on the dynamic survivability of the system can be expressed by the corresponding change in the second-largest eigenvalue of the coupling matrix B, so that the impact of arbitrary attack on the system can be described quantitatively.
2.2. Dynamic Survivability Centrality of Dynamic Systems
As previously mentioned, the majority of real-world systems evolve accompanied with time [45], while traditional centrality indexes solely consider static network topology changes. The capacity of individual nodes in a dynamic system to influence dynamic phenomena is thus inadequately reflected. Consequently, this section presents the definition and measurement of dynamic survivability centrality.
The dynamic survivability centrality reflects the important position of oscillators in the whole system by exploring the change extent of dynamic survivability after removing different oscillators. In this regard, we have already stated that the second-largest eigenvalue change in the coupling matrix after the removal of oscillators can be used to fully capture and quantify the change in dynamic survivability of the system. In summary, we define the change in the second-largest eigenvalue of the coupling matrix after the oscillator is removed as dynamic survivability centrality to quantify the importance of the oscillator in the system and provide solutions for protecting the dynamic survivability of the system. Specifically, the dynamic survivability centrality of oscillator i is
where is the second-largest eigenvalue of coupling matrix of the original system, and corresponds to the second-largest eigenvalue of coupling matrix of the system after oscillator i is removed. Certainly, when considering other dynamic phenomena, system parameters, and network topology, it suffices to modify the second-largest eigenvalue of the coupling matrix to account for the corresponding factor influencing changes in dynamic survivability, which is a general framework.
Next, the index (5) will be normalized in order to compare the importance of oscillators in different coupled nonlinear oscillator systems with different . The normalized dynamic survivability centrality is denoted as ,
Taking into account the homogeneity of the ER system with total number of oscillators N, d signifies the connectivity density, and its expression is for large N, where is the average degree of oscillators. As per the information cited in [46,47,48], the eigenvalue spectrum converges to the following semicircle rate:
This indicates that the second-largest eigenvalue of the adjacency matrix corresponding to the coupled nonlinear oscillator system is approximated as follows:
Introducing the condition , where represents the average degree of oscillators of the original system, then an approximation of the second-largest eigenvalue of the coupling matrix can be obtained,
Finally, the dynamic survivability centrality index and the normalized dynamic oscillator centrality index are, respectively, written as follows:
and
The significance of the oscillator can be ascertained by computing the dynamic survivability centrality index subsequent to its removal. The greater the value of this index indicates a greater impact on the system’s dynamic survivability due to the attacked oscillator, thereby highlighting its importance.
3. Analysis and Results
3.1. Dynamic Survivability Centrality Analysis of ER System with
In order to illustrate the correctness and necessity of the constructing index, the dynamic survivability centrality analysis of an ER system with ten oscillators is firstly carried out. As shown in Figure 2a, the mission completion probability is when the oscillator is not attacked, which depicts the probability of the system completing the key mission of synchronization is 1, i.e., the system is highly survivable. Then, each oscillator is removed separately. It can be seen that the value of the normalized dynamic survivability centrality index is different when different oscillators are removed. The larger the is, the smaller the corresponding mission completion probability S is, which means that the dynamic survivability of the coupled nonlinear oscillator system is changed more. From the perspective of system dynamic survivability, the corresponding oscillator needs more attention in the system. The black solid line represents the result of theoretical derivation, which is in good agreement with the numerical result, verifying its correctness.
Figure 2.
Dynamic survivability centrality of nonlinear oscillator system with ER structures (, ), which display the excellent agreement of theoretical and numerical results. (a) The normalized dynamic survivability centrality index and the corresponding mission completion probability S when each oscillator is removed. (b) Schematic of the system.
A schematic diagram of the ten-oscillator ER system is illustrated in Figure 2b according to the calculated importance of each oscillator of Figure 2a. Each dot represents an oscillator, and the larger the shape of the dot, the more important the oscillator. The diagram provides a more intuitive representation of the relative importance ranking among each oscillator, i.e., the oscillator 9 holds a pivotal position within this system due to its removal resulting in the most rapid decline in survivability, while the sixth oscillator exhibits the least impact on the dynamic survivability of the system. The rationale can be found in [8], where it has been demonstrated that removal of edges with minimal degree exhibit the most significant impact on dynamic survivability. As depicted in Figure 2b, the elimination of oscillator 6 corresponds to removing the edge with the minimum degree, while removing oscillator 9 conversely, which supports our conclusion regarding oscillator’s importance.
For comparison, three classic centrality indexes: degree centrality, closeness centrality, and betweenness centrality are used to describe the influence ability of each oscillator in our dynamic survivability scenario. Figure 3 displays the corresponding value calculated by each index definition when each oscillator is removed, respectively. As shown in Figure 3b, the most important oscillators are 1, 8, and 10, and the least important oscillator is oscillator 2. The closeness centrality in Figure 3c determines that oscillators 1, 8, and 10 are the most important and oscillator 2 is the least important, which is the same as the conclusion of degree centrality. And in Figure 3d, oscillator 1 is the most critical and oscillator 2 is the least important. These conclusions are different from what is observed in Figure 3a, and oscillators with the same centrality value can be generated without being able to further capture which oscillator has the greatest influence, indicating that dynamic survivability centrality can more accurately describe the oscillator importance ranking. In summary, the dynamic survivability centrality proposed in this paper accurately quantifies the ability of oscillators to affect dynamic survivability in coupled nonlinear oscillator systems, and provides better performance than other existing centrality indexes, which addresses the limitation of conventional centrality indices that solely consider static network topology.
Figure 3.
Comparison of dynamic survivability centrality with other centrality indexes (, ), which prove the superiority of dynamic survivability centrality. (a) Dynamic survivability centrality. (b) Degree centrality. (c) Closeness centrality. (d) Betweennesss centrality.
In fact, although the demonstration is given with a primary focus on synchronization, for other key missions, it suffices to substitute the second-largest eigenvalue of the coupling matrix with other influence factors. In essence, this implies that the dynamic survivability centrality can be extended to encompass any complex system, thereby ensuring its universality.
3.2. Dynamic Survivability Centrality Analysis of ER System with
To validate the generalizability of our research and provide a credible framework to maintain the dynamic survivability of system, the dynamic survivability centrality of nonlinear oscillator system coupled with ER network, whose total number of oscillators N is 100, will be discussed, and more phenomena will be explored in this section.
The results presented in Figure 4 demonstrate the normalized dynamic survivability centrality index obtained by removing each oscillator under increasing connection density , and . It is observed that when the connection density is relatively small, the red and blue lines calculated according to Equation (6) change obviously, which means the importance of each oscillator is relatively different. And the value of dynamic survivability centrality will become closer accompanied by the increase in the connection density, which is shown in green curve. That elucidates that the reduction in connection density of the system diminishes the significant disparities among oscillators. The reason behind this phenomenon is that as the connection density of the ER network increases, it approaches a globally coupled network, resulting in a more uniform distribution of oscillator degrees and closer proximity of oscillators within the system.
Figure 4.
The dynamic survivability centrality of the coupled nonlinear oscillator system with ER structures under different connection densities (), which reflects the influence of connection density. (a) . (b) . (c) .
Subsequently, to visually demonstrate the crucial significance of each oscillator within the system, we plotted the importance ranking of oscillators by color in Figure 5 when the connection density is according to the normalized dynamic survivability centrality in Figure 4. The colors in Figure 5a change gradually from dark blue, to blue, green, brown, yellow, then light yellow, indicating that oscillators play an increasingly important role. The system diagram in Figure 5b shows that the more important oscillator is, the darker the color is.
Figure 5.
Visualizing the importance ranking of oscillators in the ER system with and according to the dynamic survivability centrality. (a) Order of importance of each oscillator. (b) Schematic of the system.
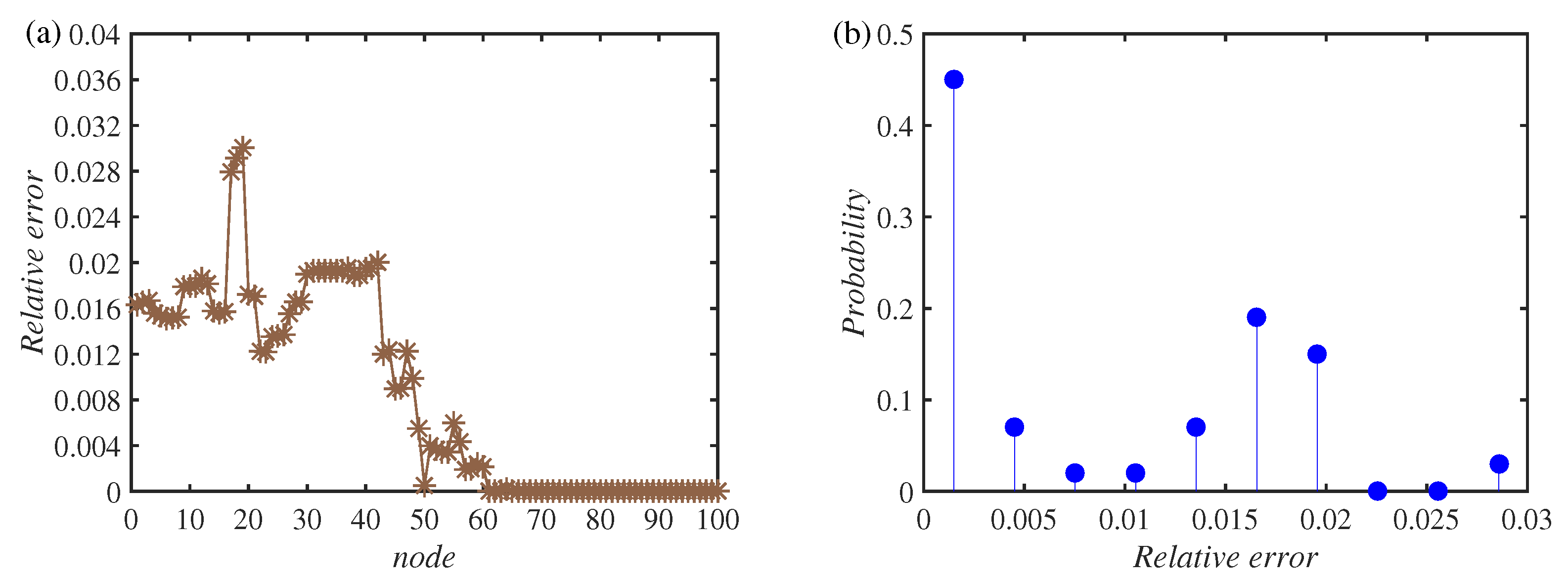
In Section 2, based on the change in the second-largest eigenvalue of the coupling matrix, the importance of oscillators in the dynamic survivability of the coupled nonlinear oscillator system is quantified, i.e., Equations (5) and (6). The approximate forms (10) and (11) are obtained by simplified derivation of the elements in the equation, which are used to calculate the dynamic survivability centrality theoretically, and also show the dependence on the topology of the system. Since the approximation process will inevitably bring errors, we consider the error value obtained by the difference between (6) and (11). And the error distribution of dynamic survivability centrality derived from the theory and the results obtained from the real numerical simulation is analyzed in Figure 6. The results show that the error values of all oscillators are less than 0.03, and most error values are even less than 0.015, showing the reliability of the results.
Figure 6.
Error analysis of dynamic survivability centrality (, ), embodying the correctness of theoretical derivation. (a) Relative error value corresponding to each oscillator. (b) Distribution of errors.
Using the variance of second-largest eigenvalue of the coupling matrix , we test the performance of dynamic survivability centrality. However, the synchronization performance of the dynamic system can be directly reflected by judging whether the following formula is equal to 0 from the system state point of view,
Condition (12) equals 0, which implies that the state of all oscillators is equal to the first oscillator, i.e., the system is in a synchronous state. Therefore, the correlation between the change in Z when each oscillator is removed and its centrality value can be compared, thereby reaffirming the validity of the proposed index in quantifying an oscillator’s influence on dynamic survivability. The results shown in Figure 7 compare the distribution of the change in Z when each oscillator is removed with the distributions of several types of centrality indexes. It is observed that the dynamic survivability centrality distribution is most similar to that of , demonstrating the accuracy of the proposed dynamic survivability centrality in describing the critical significance of system oscillators. Numerical integrations in this work were performed for random initial conditions by means of the fourth order Runge–Kutta method with time step 0.1.
Figure 7.
The distribution diagrams of state of system and centrality indexes (, ), which prove the superiority of dynamic survivability centrality. (a) Normalized distribution of . (b) Normalized distribution of dynamic survivability centrality. (c) Normalized distribution of degree centrality. (d) Normalized distribution of closeness centrality. (e) Normalized distribution of betweenness centrality.
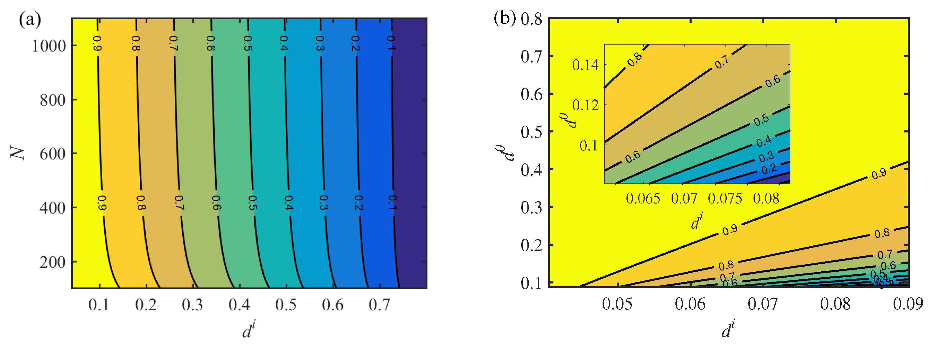
At the end of this section, the impact mechanism of system topology parameters on the dynamic survivability centrality is investigated. We visualize Equation (11) by contour plots in Figure 8. An increase in connection density calculated after attacking each oscillator leads to a smaller value of normalized dynamic survivability centrality with fixed initial connection density . It tells us that connection density has a weakening effect on dynamic survivability centrality. The reason is that the larger the is, the closer it approaches , indicating a minimal change in system connection density upon removal of oscillator i. This implies that the effect on the dynamic survivability is weak, so the oscillator is of little importance, thereby causing a small value of . Additionally, the increase in system size will promote the dynamic survivability centrality, albeit the magnitude of this beneficial impact is relatively small exhibited by flat growth curve. While the impact of initial connection density on dynamic survivability centrality depends on the value of . Specifically, enhances the dynamic survivability centrality when is high, while remains unchanged when is low.
Figure 8.
The influence of system topology parameters on the dynamic survivability centrality. (a) parameter plane contour plot (). (b) parameter plane contour plot ().
4. Conclusions
In this paper, the ability of each oscillator in the coupled Stuart–Landau oscillator system with Erdős–Rényi random graph network topology to affect the dynamic survivability is analyzed, and the maintenance of symmetry phenomenon synchronization is considered as the key mission to be completed. Inspired by the study of dynamic survivability, a new centrality index called dynamic survivability centrality is constructed, which is determined by the degree of oscillator and the size of system. The proposed index compensates for the limitation of traditional indices that solely consider network structure, thereby enabling a more accurate assessment of node influence on the normal operation of dynamic systems.
In the case of a ten-oscillator ER system, the impact of each oscillator on the centrality of dynamic survivability is demonstrated. It is found that the theoretical results agree well with the numerical results, and the performance of the proposed dynamic survivability centrality is better than other classical centrality indexes, which proves the effectiveness of our method. Further study on the system with shows that the value of dynamic survivability centrality will become closer when the connection density continues to increase. And the results of error distribution indicate that both the numerical value and theoretical value have errors below 0.03, thereby verifying the reliability and correctness of the constructed index. Moreover, the distribution of dynamic survivability centrality is the most similar with the distribution of change in system state caused by removing each oscillator in contrast to other centrality indexes. This finding further proves that the dynamic survivability centrality index has a good performance in measuring the influence of oscillators on dynamic survivability research.
Finally, our results indicate that the size of system and initial degree of oscillator have positive effects on dynamic survivability centrality, while the degree of oscillator after removing the oscillator has opposite effects.
These studies could provide a theoretical basis for protecting the key oscillators of the system to design a survivable system to complete missions, which assumes paramount significance in preserving the normal dynamic behaviors for uninterrupted service provision even under adverse conditions, thus constituting an indispensable determinant within the realm of complex network system security. Subsequent research will investigate different dynamic phenomena as key missions, exploring diverse network topologies and providing targeted protection without the need to identify key oscillators (nodes).
Author Contributions
Conceptualization, Y.W.; methodology, Y.W. and Z.S.; validation, Y.W., S.Y. and T.Z.; formal analysis, Y.W. and X.Z.; resources, Z.S. and T.Z.; data curation, Y.W.; writing—original draft preparation, Y.W.; writing—review and editing, Y.W., Z.S. and W.X.; visualization, Y.W.; supervision, Z.S., S.Y. and T.Z.; project administration, Z.S.; funding acquisition, Z.S. All authors have read and agreed to the published version of the manuscript.
Funding
This research was funded by the National Natural Science Foundation of China (Grant Nos. 12472032, 12272295).
Data Availability Statement
The original contributions presented in this study are included in the article. Further inquiries can be directed to the corresponding authors.
Conflicts of Interest
The authors declare no conflicts of interest.
References
- Leiner, B.M.; Cerf, V.G.; Clark, D.D.; Kahn, R.E.; Kleinrock, L.; Lynch, D.C.; Postel, J.; Roberts, L.G.; Wolff, S. A brief history of the Internet. Comput. Commun. Rev. 2009, 39, 22–31. [Google Scholar] [CrossRef]
- Sun, K. Complex networks theory: A new method of research in power grid. In Proceedings of the 2005 IEEE/PES Transmission & Distribution Conference & Exposition: Asia and Pacific, Dalian, China, 18 August 2005; pp. 1–6. [Google Scholar]
- Wang, X.F.; Chen, G.R. Synchronization in scale-free dynamical networks: Robustness and fragility. IEEE Trans. Circuits Syst. 2002, 49, 54–62. [Google Scholar] [CrossRef]
- Wang, X.F.; Chen, G.R. Synchronization in small-world dynamical networks. Int. J. Bifurcat. Chaos 2002, 12, 187–192. [Google Scholar] [CrossRef]
- Mikaberidze, G.; Chowdhury, S.N.; Hastings, A.; D’Souza, R.M. Consensus formation among mobile agents in networks of heterogeneous interaction venues. Chaos Solitons Fractals 2024, 178, 114298. [Google Scholar] [CrossRef]
- Albert, R.; Jeong, H.; Barabási, A. Error and attack tolerance of complex networks. Nature 2000, 406, 378–382. [Google Scholar] [CrossRef] [PubMed]
- Gao, J.X.; Barzel, B.; Barabási, A. Universal resilience patterns in complex networks. Nature 2016, 530, 307–312. [Google Scholar] [CrossRef] [PubMed]
- Sun, Z.K.; Wang, Y.X. Dynamic survivability in oscillator systems. Phys. Scr. 2023, 98, 095208. [Google Scholar] [CrossRef]
- Ellison, R.J.; Linger, R.C.; Longstaff, T.; Mead, N.R. Survivable network system analysis: A case study. IEEE Softw. 1999, 16, 70–77. [Google Scholar] [CrossRef][Green Version]
- Holme, P.; Kim, B.J.; Yoon, C.N.; Han, S.K. Attack vulnerability of complex networks. Phys. Rev. E 2002, 65, 056109. [Google Scholar] [CrossRef] [PubMed]
- Yin, Y.; Liu, Q.; Zhang, C.Y.; Zhou, J. Survivability analysis of weighted-edge attacks on complex networks with incomplete information. Phys. A 2019, 531, 120957. [Google Scholar] [CrossRef]
- Ingale, M.; Shekatkar, S.M. Resource dependency and survivability in complex networks. Phys. Rev. E 2020, 102, 062304. [Google Scholar] [CrossRef]
- Wang, Y.X.; Sun, Z.K.; Liu, S.T.; Zhou, Y.N.; Xu, W. Dynamic Survivability in Nonlinear Oscillation Systems with Attractive–Repulsive Interaction. Int. J. Bifurc. Chaos 2023, 33, 2350049. [Google Scholar] [CrossRef]
- Wang, Y.X.; Sun, Z.K.; Zhang, H.Q.; Liu, S.T.; Xu, W. Dynamic survivability of two-layer networks with different topologies. Eur. Phys. J. Plus 2024, 139, 94. [Google Scholar] [CrossRef]
- Wang, Y.X.; Sun, Z.K.; Zhang, H.Q.; Zhou, Y.N.; Liu, S.T.; Xu, W. Dynamic survivability of two-layer networks: The role of interlayer coupling. Chaos Solitons Fractals 2024, 180, 114571. [Google Scholar] [CrossRef]
- Motter, A.E. Cascade control and defense in complex networks. Phys. Rev. Lett. 2004, 93, 098701. [Google Scholar] [CrossRef] [PubMed]
- Zhou, T.; Wang, B.H. Catastrophes in scale-free networks. Chin. Phys. Lett. 2005, 22, 1072. [Google Scholar]
- Pastor, S.R.; Vespignani, A. Immunization of complex networks. Phys. Rev. E 2002, 65, 036104. [Google Scholar] [CrossRef] [PubMed]
- Zhao, M.; Zhou, T.; Wang, B.H.; Wang, W.X. Enhanced synchronizability by structural perturbations. Phys. Rev. E 2005, 72, 057102. [Google Scholar] [CrossRef]
- Zemanová, L.; Zhou, C.S.; Kurths, J. Structural and functional clusters of complex brain networks. Phys. D 2006, 224, 202–212. [Google Scholar] [CrossRef]
- Zamora, L.; Zhou, C.S.; Kurths, J. Cortical hubs form a module for multisensory integration on top of the hierarchy of cortical networks. Front. Neuroinform. 2010, 4, 613. [Google Scholar]
- Knoke, D.; Yang, S. Social Network Analysis; Sage: Thousand Oaks, CA, USA, 2008; Number 154. [Google Scholar]
- David, K.; BDaniel J, B. Intraorganizational networks. In Advances in Social Network Analysis; Sage Publishing: Thousand Oaks, CA, USA, 1994; pp. 207–229. [Google Scholar]
- Sparrowe, R.T.; Liden, R.C.; Wayne, S.J.; Kraimer, M.L. Social networks and the performance of individuals and groups. Acad. Manag. J. 2001, 44, 316–325. [Google Scholar] [CrossRef]
- Hochberg, Y.V.; Ljungqvist, A.; Lu, Y. Whom you know matters: Venture capital networks and investment performance. J. Financ. 2007, 62, 251–301. [Google Scholar] [CrossRef]
- Bolland, J.M. Sorting out centrality: An analysis of the performance of four centrality models in real and simulated networks. Soc. Netw. 1988, 10, 233–253. [Google Scholar] [CrossRef]
- Lü, L.Y.; Chen, D.B.; Ren, X.L.; Zhang, Q.M.; Zhang, Y.C.; Zhou, T. Vital nodes identification in complex networks. Phys. Rep. 2016, 650, 1–63. [Google Scholar] [CrossRef]
- Beauchamp, M.A. An improved index of centrality. Behav. Sci. 1965, 10, 161–163. [Google Scholar] [CrossRef] [PubMed]
- Sabidussi, G. The centrality index of a graph. Psychometrika 1966, 31, 581–603. [Google Scholar] [CrossRef]
- Freeman, L.C. A set of measures of centrality based on betweenness. Sociometry 1977, 40, 35–41. [Google Scholar] [CrossRef]
- Hage, P.; Harary, F. Eccentricity and centrality in networks. Soc. Netw. 1995, 17, 57–63. [Google Scholar] [CrossRef]
- Bonacich, P. Power and centrality: A family of measures. Am. J. Sociol. 1987, 92, 1170–1182. [Google Scholar] [CrossRef]
- Bonacich, P.; Lloyd, P. Eigenvector-like measures of centrality for asymmetric relations. Soc. Netw. 2001, 23, 191–201. [Google Scholar] [CrossRef]
- Martin, T.; Zhang, X.; Newman, M.E.J. Localization and centrality in networks. Phys. Rev. E 2014, 90, 052808. [Google Scholar] [CrossRef] [PubMed]
- Zhang, Y.T.; Shao, C.Q.; He, S.B.; Gao, J.X. Resilience centrality in complex networks. Phys. Rev. E 2020, 101, 022304. [Google Scholar] [CrossRef]
- Alzabut, J.; Dhineshbabu, R.; Selvam, A.G.M.; Gómez-Aguilar, J.F.; Khan, H. Existence, uniqueness and synchronization of a fractional tumor growth model in discrete time with numerical results. Results Phys. 2023, 54, 107030. [Google Scholar] [CrossRef]
- Nag Chowdhury, S.; Rakshit, S.; Hens, C.; Ghosh, D. Interlayer antisynchronization in degree-biased duplex networks. Phys. Rev. E 2023, 107, 034313. [Google Scholar] [CrossRef]
- Pikovsky, A.; Rosenblum, M.; Kurths, J. Synchronization; Camb. Univ. Press: Cambridge, UK, 2001; Volume 12. [Google Scholar]
- Vlasov, V.; Zou, Y.; Pereira, T. Explosive synchronization is discontinuous. Phys. Rev. E 2015, 92, 012904. [Google Scholar] [CrossRef] [PubMed]
- Liu, S.T.; Sun, Z.K.; Zhao, N.N.; Xu, W. Explosive transition in coupled oscillators through mixed attractive-repulsive interactions. Int. J. Bifurcat. Chaos 2022, 32, 2250018. [Google Scholar] [CrossRef]
- Liu, S.T.; Sun, Z.K.; Yan, L.Y.; Zhao, N.N.; Xu, W. Explosive behaviors on coupled fractional-order system. Nonlinear Dyn. 2022, 110, 2741–2751. [Google Scholar] [CrossRef]
- Boccaletti, S.; Almendral, J.A.; Guan, S.; Leyva, I.; Liu, Z.; Sendiña-Nadal, I.; Wang, Z.; Zou, Y. Explosive transitions in complex networks’ structure and dynamics: Percolation and synchronization. Phys. Rep. 2016, 660, 1–94. [Google Scholar] [CrossRef]
- Liu, Y.Y.; Sun, Z.K.; Yang, X.L.; Xu, W. Dynamical robustness and firing modes in multilayer memristive neural networks of nonidentical neurons. Appl. Math. Comput. 2021, 409, 126384. [Google Scholar] [CrossRef]
- Pecora, L.M.; Carroll, T.L. Master stability functions for synchronized coupled systems. Phys. Rev. Lett. 1998, 80, 2109. [Google Scholar] [CrossRef]
- Dhineshbabu, R.; Alzabut, J.; Selvam, A.G.M.; Etemad, S.; Rezapour, S. Modeling and Qualitative Dynamics of the Effects of Internal and External Storage device in a Discrete Fractional Computer Virus. Qual. Theor. Dyn. Syst. 2024, 23, 182. [Google Scholar] [CrossRef]
- Wigner, E.P. On the distribution of the roots of certain symmetric matrices. Ann. Math. 1958, 67, 325–327. [Google Scholar] [CrossRef]
- Wigner, E.P. Characteristic vectors of bordered matrices with infinite dimensions II. In The Collected Works of Eugene Paul Wigner: Part A: The Scientific Papers; Springer: Berlin/Heidelberg, Germany, 1993; pp. 541–545. [Google Scholar]
- Wigner, E.P. Characteristic vectors of bordered matrices with infinite dimensions i. In The Collected Works of Eugene Paul Wigner: Part A: The Scientific Papers; Springer: Berlin/Heidelberg, Germany, 1993; pp. 524–540. [Google Scholar]
Disclaimer/Publisher’s Note: The statements, opinions and data contained in all publications are solely those of the individual author(s) and contributor(s) and not of MDPI and/or the editor(s). MDPI and/or the editor(s) disclaim responsibility for any injury to people or property resulting from any ideas, methods, instructions or products referred to in the content. |
© 2024 by the authors. Licensee MDPI, Basel, Switzerland. This article is an open access article distributed under the terms and conditions of the Creative Commons Attribution (CC BY) license (https://creativecommons.org/licenses/by/4.0/).







