Sign in to use this feature.

Years

Between: -

Subjects

remove_circle_outline
remove_circle_outline
remove_circle_outline
remove_circle_outline
remove_circle_outline
remove_circle_outline
remove_circle_outline
remove_circle_outline
remove_circle_outline

Journals

remove_circle_outline
remove_circle_outline
remove_circle_outline
remove_circle_outline
remove_circle_outline
remove_circle_outline
remove_circle_outline
remove_circle_outline
remove_circle_outline
remove_circle_outline
remove_circle_outline
remove_circle_outline
remove_circle_outline
remove_circle_outline
remove_circle_outline

Article Types

Countries / Regions

remove_circle_outline
remove_circle_outline
remove_circle_outline
remove_circle_outline
remove_circle_outline

Search Results (1,191)

Search Parameters:
Keywords = pulsed flow

Order results
Result details
Results per page
Select all
Export citation of selected articles as:
18 pages, 1109 KB  
Article
Renal Safety of Distal Renal Denervation on Kidney Function in Diabetic Patients with Resistant Hypertension
by Musheg Manukyan, Victor Mordovin, Stanislav Pekarskiy, Irina Zyubanova, Valeria Lichikaki, Ekaterina Solonskaya, Simzhit Khunkhinova, Anna Gusakova and Alla Falkovskaya
Medicina 2026, 62(2), 274; https://doi.org/10.3390/medicina62020274 - 28 Jan 2026
Abstract
Background and Objectives: The combination of resistant hypertension (RHTN) and type 2 diabetes mellitus (T2DM) accelerates the development of chronic kidney disease (CKD), which may be largely associated with sympathetic hyperactivity. Distal renal denervation (dRDN) effectively reduces sympathetic flow to the kidneys, causing [...] Read more.
Background and Objectives: The combination of resistant hypertension (RHTN) and type 2 diabetes mellitus (T2DM) accelerates the development of chronic kidney disease (CKD), which may be largely associated with sympathetic hyperactivity. Distal renal denervation (dRDN) effectively reduces sympathetic flow to the kidneys, causing renal vasodilation and increased renal perfusion. However, this effect may be limited by nephrotoxicity due to the multiple increase in the number of contrast injections, as well as a significant blood pressure (BP) reduction, which naturally worsens renal perfusion. This study aimed to test the hypothesis that dRDN prevents the progressive decline in kidney function in patients with RHTN and T2DM. Materials and Methods: The prospective interventional study (REFRAIN, NCT04948918) included men and women > 20 y.o. with true RHTN. Eligible patients underwent dRDN. The primary endpoint was a change in eGFR from baseline to 12 months. Secondary endpoints were changes in 24 h BP, serum lipocalin-2, cystatin C, 24 h urinary albumin excretion, renal blood flow, and kidney volumes (by MRI). Multiple regression analysis was used to find independent predictors of individual estimated glomerular filtration rate (eGFR) change. Results: A total of 29 patients with RHTN and T2DM were included in the study (61.6 ± 7.2 y.o., 10 males, mean 24 h ambulatory BP: 158.1 ± 21.4/81.8 ± 12.4 mmHg (systolic/diastolic, respectively)), HbA1c: 7.8 ± 1.4%, and eGFR 56.7 ± 19.9 mL/min/1.73 m2, 23 (79%) patients with CKD, and 2 patients with albuminuria only. There were no perioperative complications. Twenty-seven (93%) participants completed 12 month follow-up. eGFR did not change from baseline: +1.3 mL/min/1.73 m2 [95% CI: −9.6, 12.1], despite the expected decrease due to a significant decrease in 24 h systolic BP (−18.2 mmHg [95% CI: −28.6, −7.8]). No changes in other secondary endpoints were observed. Independent predictors of individual eGFR change were baseline 24 h pulse pressure (p = 0.030) and HbA1c (p = 0.010). Conclusions: Distal RDN demonstrates a substantial nephroprotective effect in patients with RHTN and T2DM, which may be partly mediated by a reduction in arterial stiffness and is negatively dependent on baseline hyperglycemia. Full article
Show Figures

Figure 1

24 pages, 5259 KB  
Article
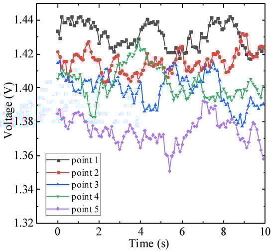
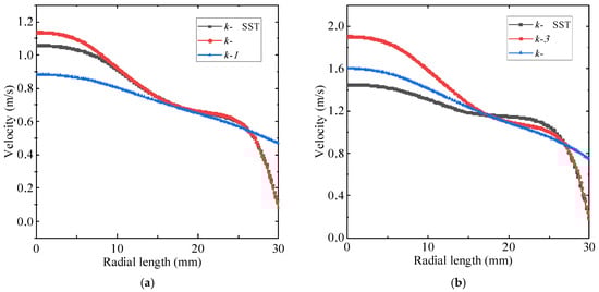
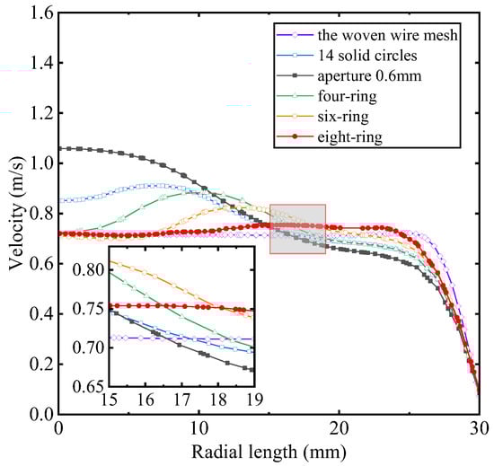
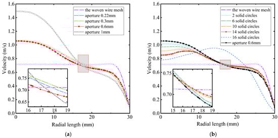
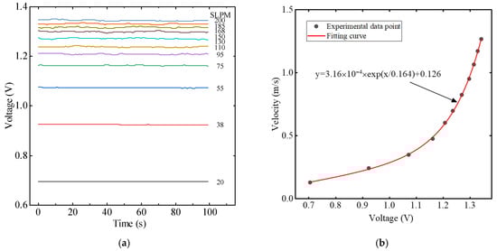
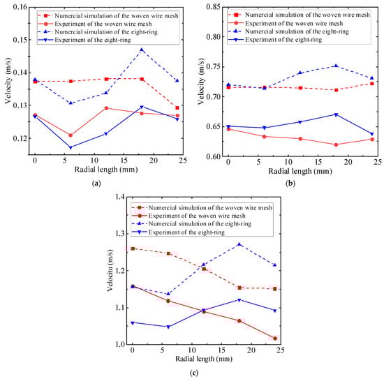
Design Methodology and Experimental Verification of a Novel Orifice Plate Rectifier
by Zhe Li, Guixiang Lu, Yan Li, Yanhua Lai, Zhen Dong and Mingxin Lyu
Fluids 2026, 11(2), 35; https://doi.org/10.3390/fluids11020035 - 28 Jan 2026
Abstract
Optimizing the rectification and pressure loss controlled by the aperture structure is challenging, with particular attention paid to the problem of precisely modeling the rectification process of multilayer wire mesh in pulse tube cryocoolers. This work offers a rectifier design method based on [...] Read more.
Optimizing the rectification and pressure loss controlled by the aperture structure is challenging, with particular attention paid to the problem of precisely modeling the rectification process of multilayer wire mesh in pulse tube cryocoolers. This work offers a rectifier design method based on the regularized orifice plate. A novel rectifier that reduces flow resistance and shows rectification performance comparable to a woven wire mesh is created by analyzing its effects on the flow using numerical simulation. Flow uniformity and pressure loss are selected as evaluation metrics. Point flow velocity calibration is performed under fully developed flow conditions to derive a quantitative equation relating voltage to flow velocity. A multi-cross-section radial flow velocity distribution test platform is set up. The experimental results show that the uniformity of woven wire mesh reaches 0.9670 under low-flow conditions and 0.9629 for the novel eight-ring rectifier, but the pressure drop reduction reaches 57.64%; the uniformity of the novel eight-ring rectifier is improved by 0.91~1.94% compared to that of woven wire mesh under high-flow conditions, and the pressure drop is reduced by 87.74~89.09%. The rectifier features uniformly distributed apertures, facilitating modeling and machining. Full article
(This article belongs to the Section Heat and Mass Transfer)
Show Figures

Figure 1

19 pages, 1894 KB  
Article
Modeling the Characteristics of an Alkaline Electrolyzer When Powered by a Rectangular Pulse Train
by Krzysztof Górecki, Michał Lewandowski and Przemysław Ptak
Energies 2026, 19(3), 622; https://doi.org/10.3390/en19030622 - 25 Jan 2026
Viewed by 113
Abstract
This paper presents the results of modeling the DC and dynamic characteristics of an alkaline electrolyzer. A model of such an electrolyzer is proposed as a subcircuit for the SPICE software. This model describes DC and dynamic current–voltage characteristics of the electrolyzer, taking [...] Read more.
This paper presents the results of modeling the DC and dynamic characteristics of an alkaline electrolyzer. A model of such an electrolyzer is proposed as a subcircuit for the SPICE software. This model describes DC and dynamic current–voltage characteristics of the electrolyzer, taking into account the effect of solution concentration on the electrolyzer internal resistance and electrolyte capacitance, as well as the resistance and inductance of the leads. Using this model, one can calculate the voltage and current waveforms across the electrolyzer, as well as the gas flow rate produced by the electrolyzer. The correctness of the developed model was experimentally verified by powering the electrolyzer using a DC source and by powering the device using a voltage source, generating a rectangular pulse train with an adjustable frequency and duty cycle. The measurement system is described, and the obtained calculation and measurement results are presented and discussed. It was shown that the obtained calculation results differed minimally from the measurement results across a wide range of frequencies (from 0 to 50 kHz), duty cycles (from 0.3 to 0.7) of the supply voltage, and concentrations of the electrolyte (from 0.1 to 10%). The mean square error, normalized to peak measured values of each considered quantity, does not exceed 4%. Full article
(This article belongs to the Section A5: Hydrogen Energy)
30 pages, 25744 KB  
Article
Long-Term Dynamics and Transitions of Surface Water Extent in the Dryland Wetlands of Central Asia Using a Hybrid Ensemble–Occurrence Approach
by Kanchan Mishra, Hervé Piégay, Kathryn E. Fitzsimmons and Philip Weber
Remote Sens. 2026, 18(3), 383; https://doi.org/10.3390/rs18030383 - 23 Jan 2026
Viewed by 244
Abstract
Wetlands in dryland regions are rapidly degrading under the combined effects of climate change and human regulation, yet long-term, seasonally resolved assessments of surface water extent (SWE) and its dynamics remain scarce. Here, we map and analyze seasonal surface water extent (SWE) over [...] Read more.
Wetlands in dryland regions are rapidly degrading under the combined effects of climate change and human regulation, yet long-term, seasonally resolved assessments of surface water extent (SWE) and its dynamics remain scarce. Here, we map and analyze seasonal surface water extent (SWE) over the period 2000–2024 in the Ile River Delta (IRD), south-eastern Kazakhstan, using Landsat TM/ETM+/OLI data within the Google Earth Engine (GEE) framework. We integrate multiple indices using the modified Normalized Difference Water Index (mNDWI), Automated Water Extraction Index (AWEI) variants, Water Index 2015 (WI2015), and Multi-Band Water Index (MBWI) with dynamic Otsu thresholding. The resulting index-wise binary water maps are merged via ensemble agreement (intersection, majority, union) to delineate three SWE regimes: stable (persists most of the time), periodic (appears regularly but not in every season), and ephemeral (appears only occasionally). Validation against Sentinel-2 imagery showed high accuracy F1-Score/Overall accuracy (F1/OA ≈ 0.85/85%), confirming our workflow to be robust. Hydroclimatic drivers were evaluated through modified Mann–Kendall (MMK) and Spearman’s (r) correlations between SWE, discharge (D), water level (WL), precipitation (P), and air temperature (AT), while a hybrid ensemble–occurrence framework was applied to identify degradation and transition patterns. Trend analysis revealed significant long–term declines, most pronounced during summer and fall. Discharge is predominantly controlled by stable spring SWE, while discharge and temperature jointly influence periodic SWE in summer–fall, with warming reducing the delta surface water. Ephemeral SWE responds episodically to flow pulses, whereas precipitation played a limited role in this semi–arid region. Spatially, area(s) of interest (AOI)-II/III (the main distributary system) support the most extensive yet dynamic wetlands. In contrast, AOI-I and AOI-IV host smaller, more constrained wetland mosaics. AOI-I shows persistence under steady low flows, while AOI-IV reflects a stressed system with sporadic high-water levels. Overall, the results highlight the dominant influence of flow regulation and distributary allocation on IRD hydrology and the need for ecologically timed releases, targeted restoration, and transboundary cooperation to sustain delta resilience. Full article
(This article belongs to the Section Remote Sensing in Geology, Geomorphology and Hydrology)
Show Figures

Figure 1

14 pages, 1626 KB  
Article
Experimental Evaluation of Pulse Width Effects Under Equal-Dose Pulsed Electric Field Treatment on A375 Cells
by Hongyu Kou, Feiyu Wu, Kai Chen, Shupeng Wang, Runze Liang and Chenguo Yao
Appl. Sci. 2026, 16(2), 1086; https://doi.org/10.3390/app16021086 - 21 Jan 2026
Viewed by 95
Abstract
Pulsed electric fields (PEFs) are widely recognized as a non-thermal, selective physical therapy with wide clinical application in tumor ablation. The pulse width determines how electrical energy is distributed across plasma membrane to intracellular organelles. However, under an engineering-defined equal-dose condition (N·E2 [...] Read more.
Pulsed electric fields (PEFs) are widely recognized as a non-thermal, selective physical therapy with wide clinical application in tumor ablation. The pulse width determines how electrical energy is distributed across plasma membrane to intracellular organelles. However, under an engineering-defined equal-dose condition (N·E2·tp), which serves as a practical control parameter rather than a measure of true cellular energy absorption, systematic and comparable experimental characterization of cellular and subcellular responses across pulse widths from the microsecond to nanosecond range remains limited. In this study, PEFs with pulse widths ranging from 100 μs to 50 ns were applied under equal-dose constraints, and cellular responses were evaluated using transmission electron microscopy (TEM), multi-organelle fluorescence imaging, and flow cytometry. The results indicate that pulse-width-dependent effects were observed under a fixed pulse-number, dose-equalized framework in which electric field strength varied across conditions. Structural and functional changes were observed in multiple organelles, including the nucleus, mitochondria, endoplasmic reticulum, and Golgi apparatus. Notably, nanosecond pulses were more effective in inducing mitochondrial membrane potential loss and increasing the proportion of apoptotic or non-viable cells. These findings demonstrate that, under equal-dose conditions, pulse width is a key temporal parameter governing PEF-induced biological effects, indicating that identical dose constraints do not necessarily result in equivalent biological responses. This work provides experimental foundation for parameter selection and optimization in PEF-based biomedical applications. Full article
Show Figures

Figure 1

16 pages, 2714 KB  
Review
Excimer Laser Coronary Atherectomy: Current Evidence, Clinical Applications, and Future Directions
by Mohsen Mohandes, Alberto Pernigotti, Mauricio Torres, Cristina Moreno Ambroj, Francisco Fernández, Roberto Bejarano-Arosemena, Pablo Moreno, Anna Vidal-Romero, Jordi Guarinos and Jose Luis Ferreiro
J. Clin. Med. 2026, 15(2), 766; https://doi.org/10.3390/jcm15020766 - 17 Jan 2026
Viewed by 195
Abstract
Excimer Laser Coronary Atherectomy (ELCA) has re-emerged as a valuable adjunctive modality in percutaneous coronary intervention (PCI), particularly in the context of increasingly complex coronary anatomy and rising procedural expectations. By delivering pulsed ultraviolet energy at 308 nm through flexible fiber-optic catheters, ELCA [...] Read more.
Excimer Laser Coronary Atherectomy (ELCA) has re-emerged as a valuable adjunctive modality in percutaneous coronary intervention (PCI), particularly in the context of increasingly complex coronary anatomy and rising procedural expectations. By delivering pulsed ultraviolet energy at 308 nm through flexible fiber-optic catheters, ELCA enables precise photochemical, photothermal, and photomechanical ablation of atherosclerotic, fibrotic, calcified, and thrombotic tissue while minimizing thermal injury to surrounding structures. Recent technical refinements, simplified catheter designs, and improved safety profiles have enhanced its feasibility and utility across a range of challenging lesion subsets. This review summarizes the fundamental principles underlying excimer laser–tissue interaction, discusses available equipment and key procedural considerations, and examines the expanding clinical evidence supporting ELCA in contemporary practice. Data from observational studies and multicenter registries suggest that ELCA may enhance device crossability, restore coronary flow, and reduce distal embolization in thrombus-rich lesions, particularly during primary PCI. In device-uncrossable lesions, ELCA facilitates plaque modification and improves procedural success, including in chronic total occlusions. Furthermore, ELCA—especially when performed with simultaneous contrast injection—has demonstrated efficacy in treating stent underexpansion refractory to high-pressure balloon dilation, improving minimal stent area and enabling optimal post-dilatation. As lesion complexity continues to increase, ELCA is gaining recognition as an important tool within the interventional armamentarium. While generally safe in experienced hands, ELCA carries a risk of procedural complications that must be carefully considered. Ongoing investigations are expected to further define its optimal use and reinforce its relevance in modern interventional cardiology. Full article
Show Figures

Figure 1

17 pages, 977 KB  
Article
Effects of Pulsed Electric Field Technology on Whey Protein Concentrate
by Elizabeth L. Ryan and Owen M. McDougal
Molecules 2026, 31(2), 237; https://doi.org/10.3390/molecules31020237 - 10 Jan 2026
Viewed by 239
Abstract
Whey protein concentrate (WPC-80) was reconstituted to 10% (m/v) and pumped through a pulsed electric field (PEF) system using three treatment conditions. The PEF-treated whey solution was assessed for viscosity, whereas dried whey was resolubilized and tested for protein [...] Read more.
Whey protein concentrate (WPC-80) was reconstituted to 10% (m/v) and pumped through a pulsed electric field (PEF) system using three treatment conditions. The PEF-treated whey solution was assessed for viscosity, whereas dried whey was resolubilized and tested for protein structure integrity by circular dichroism (CD), fluorescence, and differential scanning calorimetry (DSC), and functionality was assessed by measuring solubility, foamability, emulsification, and particle size. PEF treatment resulted in a reduction in apparent viscosity (from 2.74 cP down to 2.57 cP) and particle size (from 325.9 nm down to 297.6 nm), and increased solubility (from 90.41% up to 92.34%) and emulsification stability (from 1727 min up to 4821 min), while emulsification stability decreased initially (from 1.645 m2/g to 1.283 m2/g) then increased at the high treatment level (1.915 m2/g). The foamability and molecular weight profile did not change with PEF treatment. Exposure to PEF resulted in no statistically significant changes to protein structure based on data obtained from CD, fluorescence, or DSC. This study represents the first instance of a WPC-80 being treated with a commercially available, scalable, continuous flow PEF system at a higher concentration (10% m/v), resulting in favorable changes to the physical and functional properties of the whey solution and dried powder. Full article
Show Figures

Graphical abstract

23 pages, 6977 KB  
Article
Ti2AlNb Sheet Pulse Current-Assisted Flexible Granular Medium Forming of Box-Shaped Components
by Shengwei Su, Yan Xu, Cheng Jiang, Mingyu Ding, Yifeng Dai, Xinhuan Lou and Shaosong Jiang
Metals 2026, 16(1), 77; https://doi.org/10.3390/met16010077 - 9 Jan 2026
Viewed by 222
Abstract
Pulse current-assisted flexible granular medium forming is a promising approach for manufacturing complex thin-walled components from difficult-to-deform Ti2AlNb-based alloys. In this study, the electro-thermo-mechanical deformation behavior of Ti2AlNb sheets is investigated through pulse current-assisted uniaxial tensile tests, microstructural characterization, [...] Read more.
Pulse current-assisted flexible granular medium forming is a promising approach for manufacturing complex thin-walled components from difficult-to-deform Ti2AlNb-based alloys. In this study, the electro-thermo-mechanical deformation behavior of Ti2AlNb sheets is investigated through pulse current-assisted uniaxial tensile tests, microstructural characterization, and finite element simulations. The influences of pulse current intensity and strain rate on flow behavior, fracture characteristics, and phase evolution are clarified, and an effective forming window is identified. Numerical simulations are employed to analyze the role of granular medium friction in material flow and wall thickness distribution, providing guidance for forming box-shaped components. The results demonstrate that forming at approximately 950 °C with a strain rate of 0.001 s−1 reduces deformation resistance, while enhanced tangential interaction between the granular medium and the sheet improves wall thickness uniformity. This study provides a feasible processing route and practical guidelines for the fabrication of complex Ti2AlNb sheet components. Full article
(This article belongs to the Section Metal Casting, Forming and Heat Treatment)
Show Figures

Figure 1

27 pages, 3479 KB  
Article
The Water Lifting Performance of a Photovoltaic Sprinkler Irrigation System Regulated by Solar-Coupled Compressed-Air Energy Storage
by Xiaoqing Zhong, Maosheng Ge, Zhengwen Tang, Pute Wu, Xin Hui, Qianwen Zhang, Qingyan Zhang and Khusen Sh. Gafforov
Agriculture 2026, 16(2), 154; https://doi.org/10.3390/agriculture16020154 - 8 Jan 2026
Viewed by 262
Abstract
Solar-driven irrigation, a promising clean technology for agricultural water conservation, is constrained by mismatched photovoltaic (PV) pump outflow and irrigation demand, alongside unstable PV output. While compressed-air energy storage (CAES) shows mitigation potential, existing studies lack systematic explorations of pump water-lifting characteristics and [...] Read more.
Solar-driven irrigation, a promising clean technology for agricultural water conservation, is constrained by mismatched photovoltaic (PV) pump outflow and irrigation demand, alongside unstable PV output. While compressed-air energy storage (CAES) shows mitigation potential, existing studies lack systematic explorations of pump water-lifting characteristics and supply capacity under coupled meteorological and air pressure effects, limiting its practical promotion. This study focuses on a solar-coupled compressed-air energy storage regulated sprinkler irrigation system (CAES-SPSI). Integrating experimental and theoretical methods, it establishes dynamic flow models for three DC diaphragm pumps considering combined PV output and outlet back pressure, introduces pressure loss and drop coefficients to construct a nozzle pressure dynamic model via calibration and iteration, and conducts a 1-hectare corn field case study. The results indicate the following: pump flow increases with PV power and decreases with outlet pressure (model deviation < 9.24%); nozzle pressure in pulse spraying shows logarithmic decline; CAES-SPSI operates 10 h/d, with hourly water-lifting capacity of 0.317–1.01 m3/h and daily cumulation of 6.71 m3; and the low-intensity and long-duration mode extends irrigation time, maintaining total volume and optimal soil moisture. This study innovatively incorporates dynamic air pressure potential energy into meteorological-PV coupling analysis, providing a universal method for quantifying pump flow changes, clarifying CAES-SPSI’s water–energy coupling mechanism, and offering a design basis for its agricultural application feasibility. Full article
(This article belongs to the Section Agricultural Water Management)
Show Figures

Figure 1

11 pages, 241 KB  
Article
The Role of High-Flow Nasal Cannula (HFNC) During Flexible Bronchoscopy in Adult Patients with Moderate Respiratory Dysfunctions: An Observational Study
by Francesco Coppolino, Pasquale Sansone, Gianluigi Cosenza, Simona Brunetti, Francesca Piccialli, Marco Fiore, Clelia Esposito, Maria Caterina Pace and Vincenzo Pota
J. Clin. Med. 2026, 15(2), 459; https://doi.org/10.3390/jcm15020459 - 7 Jan 2026
Viewed by 244
Abstract
Background/Objectives: Flexible bronchoscopy (FB) enables airway exploration and diagnosis of various respiratory pathologies, but the sedation and instrumentation required during the procedure raise oxygen demand while reducing ventilation, which can lead to hypoxemia. Conventional oxygen therapy (COT) may not adequately prevent desaturations [...] Read more.
Background/Objectives: Flexible bronchoscopy (FB) enables airway exploration and diagnosis of various respiratory pathologies, but the sedation and instrumentation required during the procedure raise oxygen demand while reducing ventilation, which can lead to hypoxemia. Conventional oxygen therapy (COT) may not adequately prevent desaturations in high-risk groups, as patients with moderate respiratory deficiency. High-flow nasal cannula (HFNC) can deliver heated, humidified oxygen at high flow rates, generating low-level positive airway pressure, improving oxygenation, reducing dead-space, and enhancing procedure tolerance. Prior studies have shown that HFNC can improve gas exchange and reduce desaturations during bronchoscopy. However, evidence remains limited for patients with moderate respiratory deficiency, who are particularly vulnerable. Evaluating the feasibility and safety of HFNC in this population is essential to guide safe procedural practice. Methods: A retrospective observational study including patients undergoing FB with HFNC support between January and May 2025. Inclusion criteria were BMI between 18 and 30; age > 18 years old; moderate respiratory dysfunction, defined by pulse oximetry, Pulmonary Functional Tests (PFTs) and Arterial Blood Gas (ABG) analysis. Exclusion criteria were intolerance/contraindication to HFNC. Procedures were performed under basic monitoring. Primary outcome was occurrence of severe hypoxemia (SpO2 < 90%). Secondary outcomes were needed for rescue maneuvers, interruption for conversion to other ventilatory strategies, and hemodynamic instability. Results: No severe desaturations were recorded, all procedures were completed without rescue maneuvers or other ventilatory strategies, and no hypoxemia occurred. Mean duration of the procedure was 9 min. Vital parameters were maintained within the normal ranges, with a mean SpO2 during bronchoscopy of 98%. Conclusions: HFNC enables oxygenation and ventilation without adverse events in sedations for FB in patients with moderate respiratory deficiency. Full article
21 pages, 3767 KB  
Article
Multiscale Stochastic Characterisation of Residential Water Demand for Sustainable Network Design
by Roberto Magini, Maria Antonietta Boniforti and Roberto Guercio
Sustainability 2026, 18(2), 571; https://doi.org/10.3390/su18020571 - 6 Jan 2026
Viewed by 157
Abstract
Residential water demand exhibits marked variability over time and across users, with direct implications for the sustainable and robust design of water distribution networks. In this study, a high-resolution experimental dataset is analysed to characterise the statistical structure of hourly consumption, deriving mean [...] Read more.
Residential water demand exhibits marked variability over time and across users, with direct implications for the sustainable and robust design of water distribution networks. In this study, a high-resolution experimental dataset is analysed to characterise the statistical structure of hourly consumption, deriving mean and variance scaling laws, cross-correlations between user groups, and probability density functions (PDFs) of aggregated demand. The results show that demand does not behave as an independent process. During the morning peak (07:00–08:00), the distribution does not converge to a unimodal shape as aggregation increases, but exhibits a clear bimodality for aggregation levels larger than approximately N ≈ 400 users. This behaviour indicates the presence of two synchronised consumption regimes and a non-negligible average correlation. In contrast, during the evening and night slots, unimodal distributions (Gamma or Lognormal) emerge, consistent with largely independent contributions and limited synchronisation. For comparison, a simplified Poisson Rectangular Pulse (PRP) model is evaluated. While this model reproduces the mean flow rate, it does not capture the observed variance, underscoring the need for models that account for heterogeneity and user correlations. The scaling laws, correlations, and empirical PDFs derived in this study provide a quantitative basis for generating probabilistic demand scenarios, supporting the sustainable, resilient, and robust design of water distribution networks. Full article
(This article belongs to the Section Sustainable Water Management)
Show Figures

Figure 1

14 pages, 682 KB  
Article
New Indices of Arterial Stiffness Measured with an Upper-Arm Oscillometric Device in Long-Term Japanese Shigin Practitioners: A Cross-Sectional Exploratory Study
by Ryota Kobayashi, Shotaro Seki, Kun Niu and Hideyuki Negoro
Physiologia 2026, 6(1), 3; https://doi.org/10.3390/physiologia6010003 - 4 Jan 2026
Viewed by 308
Abstract
Background/Objectives: Arterial stiffness is an independent cardiovascular risk factor, and arterial velocity pulse index (AVI) and arterial pressure–volume index (API) are practical oscillometric markers. Shigin, a traditional Japanese vocal recitation practice characterised by abdominal breathing, has limited physiological evidence. This cross-sectional exploratory study [...] Read more.
Background/Objectives: Arterial stiffness is an independent cardiovascular risk factor, and arterial velocity pulse index (AVI) and arterial pressure–volume index (API) are practical oscillometric markers. Shigin, a traditional Japanese vocal recitation practice characterised by abdominal breathing, has limited physiological evidence. This cross-sectional exploratory study examined the association between long-term shigin practice and arterial stiffness in older adults. Methods: Community-dwelling adults aged ≥60 years were classified into shigin practitioners (≥10 years), physically active non-practitioners, and inactive non-practitioners. AVI and API were measured using an upper-arm oscillometric device. Blood pressure, heart rate, salivary α-amylase (morning, standardised conditions), and peak expiratory flow were assessed. Results: Both shigin practitioners and active non-practitioners showed lower AVI and API, lower blood pressure, higher peak expiratory flow, and lower salivary α-amylase than inactive non-practitioners (p < 0.01). These associations remained significant after adjustment for blood pressure, heart rate, and sex. Conclusions: Long-term shigin practice was associated with arterial stiffness indices comparable to those of physically active older adults, without implying causality. Full article
Show Figures

Figure 1

45 pages, 1345 KB  
Review
Mathematical Modeling and Computational Approaches for Pulsed Electric Field Processing in Food Preservation: A Comprehensive Review
by Giovanni Luzi, Khawaja Muhammad Imran Bashir, Wenjing Lyu, Man-Gi Cho and Jae-Suk Choi
Foods 2026, 15(1), 164; https://doi.org/10.3390/foods15010164 - 3 Jan 2026
Viewed by 347
Abstract
Pulsed electric field technology possesses a high potential and a bright future in food processing to inactivate microorganisms and reduce enzymatic activity. Processed food shows a higher retention of health-related compounds and an extension of the shelf-life compared to conventional pasteurization methods. This [...] Read more.
Pulsed electric field technology possesses a high potential and a bright future in food processing to inactivate microorganisms and reduce enzymatic activity. Processed food shows a higher retention of health-related compounds and an extension of the shelf-life compared to conventional pasteurization methods. This technology is gradually moving from the laboratory and pilot-plant scale to the commercial scale. In the current review, we focus on the way existing knowledge on mathematical modeling and computational approaches is structured, connected, and interpreted across scales. We start with the electroporation models, progressing from those that are derived from simple physical and chemical considerations to those that are based on more complex probabilistic approaches. They attempt to predict how electric pulses create pores in cell membranes and form the basis of kinetic inactivation models. Subsequently, we examine the most common kinetic models of microorganism inactivation, from first-order models to models based on random and probabilistic considerations. We then review the works carried out on the numerical simulations of the electric field in a continuous PEF chamber and the works related to coupled simulations of the electric, fluid flow, temperature, and inactivation kinetic field. Finally, we conclude the manuscript with a section dedicated to the current applications of the PEF process to demonstrate its effectiveness. Full article
(This article belongs to the Special Issue Impact of Processing Technology on Food Quality and Safety)
Show Figures

Graphical abstract

21 pages, 4489 KB  
Article
Development of a Leak Detection System Based on Fiber Optic DTS Monitoring and Validation on a Full-Scale Model
by Diego Antolín-Cañada, Pedro Luis Lopez-Julian, Javier Pérez, Óscar Muñoz, Alejandro Acero-Oliete and Beniamino Russo
Appl. Sci. 2026, 16(1), 465; https://doi.org/10.3390/app16010465 - 1 Jan 2026
Viewed by 483
Abstract
Leaks in ponds are a problem due to the loss of water resources, although the problem is greater when the ponds store livestock or agricultural waste (slurry or wastewater), in which case there is a risk of hydrogeological contamination of the environment. The [...] Read more.
Leaks in ponds are a problem due to the loss of water resources, although the problem is greater when the ponds store livestock or agricultural waste (slurry or wastewater), in which case there is a risk of hydrogeological contamination of the environment. The proposed leak detection system is based on distributed temperature sensing (DTS) with hybrid fiber optics using the Raman effect. Using active detection techniques, i.e., applying a specific amount of electrical power to the copper wires that form part of the hybrid cable, it is possible to increase the temperature along the fiber and measure the thermal increments along it, detecting and locating the point of leakage. To validate the system, a full-scale prototype reservoir (25 m × 10 m × 3.5 m) was built, equipped with mechanisms to simulate leaks under the impermeable sheet that retains the reservoir’s contents. For environmental reasons, the tests were carried out with clean water. The results of the leak simulation showed significant differences in temperature increases due to the electrical pulse in the areas affected by the simulated leak (1 °C increase) and the areas not affected (5 °C increase). This technology, which uses hybrid fiber optics and a low-cost sensor, can be applied not only to ponds, but also to other types of infrastructure that store or retain liquids, such as dams, where it has already been tested, to measure groundwater flow, etc. Full article
(This article belongs to the Special Issue Advanced Structural Health Monitoring in Civil Engineering)
Show Figures

Figure 1

19 pages, 3147 KB  
Article
Interactive Influence of Recycled Concrete Aggregate and Recycled Steel Fibers on the Fresh and Hardened Performance of Eco-Efficient Fiber-Reinforced Self-Compacting Concrete
by Ahmed Redha Abdul-Rahman, Khaleel Hasan Younis and Bahman Omar Taha
J. Compos. Sci. 2026, 10(1), 9; https://doi.org/10.3390/jcs10010009 - 1 Jan 2026
Viewed by 208
Abstract
This study investigates the synergistic influence of recycled concrete aggregate (RCA) and recycled steel fibers (RSF) on the fresh and hardened performance of eco-efficient fiber-reinforced self-compacting concrete (SCC). Twelve C30/37.5 mixtures were produced using demolition waste as coarse RCA at replacement levels of [...] Read more.
This study investigates the synergistic influence of recycled concrete aggregate (RCA) and recycled steel fibers (RSF) on the fresh and hardened performance of eco-efficient fiber-reinforced self-compacting concrete (SCC). Twelve C30/37.5 mixtures were produced using demolition waste as coarse RCA at replacement levels of 25, 50, 75, and 100% by mass, combined with RSF recovered from scrap tires at volume fractions of 0.25, 0.50, and 0.75%. Fresh properties were assessed in accordance with EFNARC guidelines using slump-flow (T500), V-funnel, L-box, and J-ring tests, while hardened performance was evaluated through compressive, splitting tensile, and flexural strengths at 28 days, together with density and ultrasonic pulse velocity (UPV). Increasing RCA and RSF contents reduced workability, reflected in lower slump-flow diameters and higher T500 and V-funnel times, although most mixtures maintained satisfactory self-compacting behaviour. Compressive strength decreased with RCA content and, to a lesser extent, with higher RSF, with a maximum reduction of about 39% at 100% RCA relative to the control mix, yet values remained structurally acceptable. In contrast, RSF markedly enhanced tensile and flexural responses: at 25% RCA, 0.75% RSF increased splitting tensile and flexural strengths by approximately 41% and 29%, respectively, compared with the corresponding fiber-free mix. RCA reduced density and UPV by about 10–14%, but these reductions were partially mitigated by RSF addition. Overall, the results demonstrate that SCC with moderate RCA (25–50%) and RSF (0.50–0.75%) can achieve a favourable balance between rheological performance and enhanced tensile and flexural behaviour, offering a viable composite solution for sustainable structural applications. Full article
(This article belongs to the Section Composites Applications)
Show Figures

Figure 1

Back to TopTop