Ti2AlNb Sheet Pulse Current-Assisted Flexible Granular Medium Forming of Box-Shaped Components
Abstract
1. Introduction
2. Materials and Methods
2.1. Material and Experimental Studies
2.2. Finite Element Analysis
3. Results and Discussions
3.1. High-Temperature Deformation Behavior
3.2. Microstructure Evolution
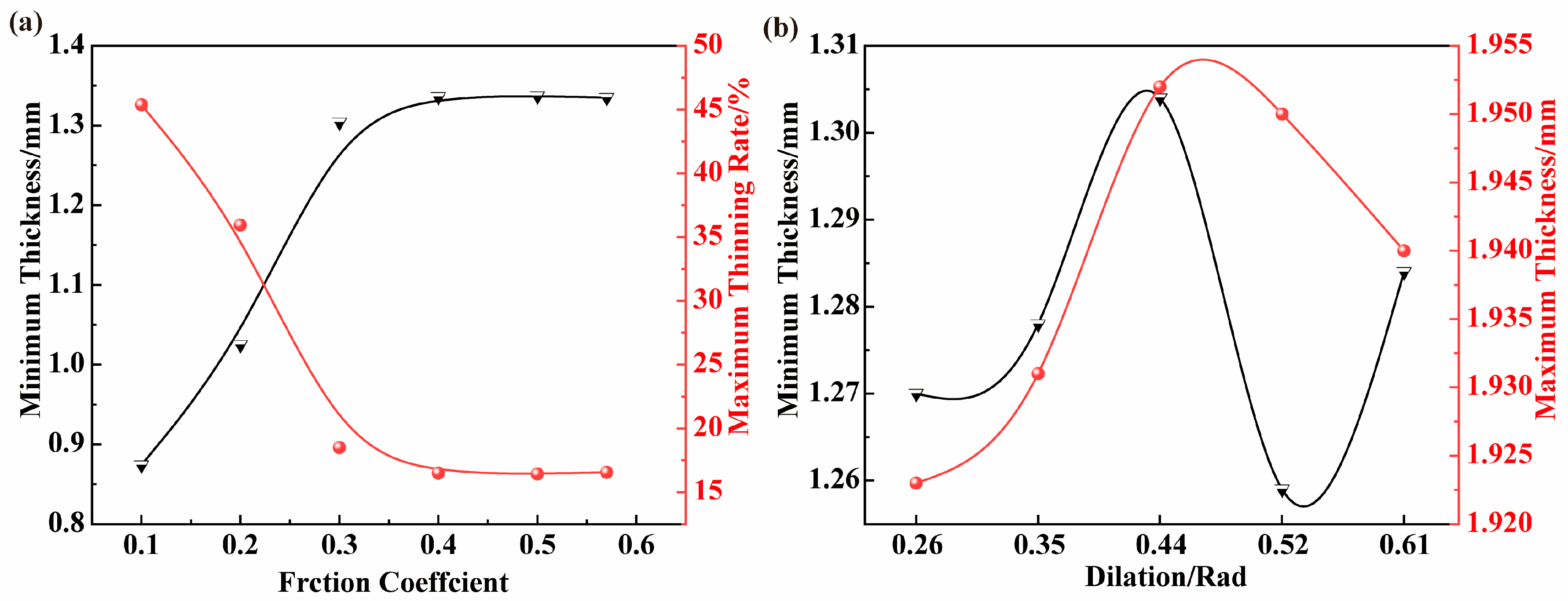
3.3. FEM Simulation Results of Flexible Granular Medium Forming
3.4. Processing of Ti2AlNb-Based Alloy Box Structures
4. Conclusions
- (1)
- The optimal forming window (900–1000 °C, 0.001 s−1) effectively reduces the alloy’s deformation resistance, enabling low-force forming of complex thin-walled structures. This window balances formability and processing efficiency, providing a practical reference for industrial applications.
- (2)
- Pulse current regulates phase evolution via thermal effects: increasing current (50–60 A) and decreasing strain rate (0.1–0.001 s−1) reduce α2/O phase content and promote B2/β phase growth, which weakens the alloy’s deformation resistance and improves plastic flow capacity.
- (3)
- A friction coefficient of 0.4 for the granular medium minimizes the maximum thinning rate to 16.5%, as the tangential forces between the granular medium and the sheet enhance material feeding, significantly optimizing the wall thickness uniformity of formed components.
- (4)
- The four-stage forming process (initial contact → free inflation → die contact → final forming) exhibits a force surge at 24 mm displacement, which is critical for controlling fillet forming quality. Compared with conventional hot forming, the proposed technology shortens heating time and reduces forming force, contributing to improved production efficiency and cost reduction.
Author Contributions
Funding
Data Availability Statement
Conflicts of Interest
Nomenclature
| Symbol/Abbreviation | Definition | Unit |
| Ti2AlNb | Titanium–aluminum–niobium alloy | — |
| α2 phase | Hexagonal close-packed intermetallic phase (Ti3Al) | — |
| B2/β phase | Body-centered cubic solid solution phase | — |
| O phase | Orthorhombic intermetallic phase (Ti2AlNb) | — |
| μ | Friction coefficient | — |
| Strain rate | s−1 | |
| σ | Flow stress | MPa |
| σs | Yield strength | MPa |
| E | Elastic modulus | GPa |
| β | Friction angle (Drucker–Prager model) | ° |
| d | Cohesion (Drucker–Prager model) | MPa |
| K | Ratio of triaxial tensile to compressive yield stress | — |
| SEM | Scanning electron microscope | — |
| SD | Standard Deviation | — |
References
- Lu, Z.-G.; Xu, L.; Wu, J.; Lu, B.; Cui, X.; Yang, R. Engineering Forming Technology of Ti2AlNb Alloy. J. Precis. Eng. 2022, 14, 55–63. [Google Scholar]
- Li, Z.; Zhang, Y.; Yan, X.; Xia, G.; Yu, Q.; Li, X.; Cai, Q. Effect of Sn Addition on Microstructure and Mechanical Properties of Sintered Ti2AlNb-Based Alloys. Materials 2025, 18, 715. [Google Scholar] [CrossRef] [PubMed]
- Shao, B.; Shan, D.B.; Guo, B.; Zong, Y. Plastic deformation mechanism and interaction of B2, α2, and O phases in Ti22Al25Nb alloy at room temperature. Int. J. Plast. 2019, 113, 18–34. [Google Scholar] [CrossRef]
- Wang, W.; Zeng, W.; Liu, Y.; Xie, G.; Liang, X. Microstructural Evolution and Mechanical Properties of Ti-22Al-25Nb (At.%) Orthorhombic Alloy with Three Typical Microstructures. J. Mater. Eng. Perform. 2018, 27, 293–303. [Google Scholar] [CrossRef]
- Cheng, J.-W.; Rao, Q.-L.; Li, J.-F.; Yao, T.-T. Research Progress on Microstructure Transformation and Its Kinetics in Ti2AlNb-Based Alloys. J. Aeronaut. Mater. 2022, 42, 1–8. [Google Scholar]
- Wu, Y. Microstructure-Deformation Coupling Modeling and Simulation of Ti-22Al-24.5Nb-0.5Mo Alloy Sheet in Gas Blow Forming. Ph.D. Thesis, Harbin Institute of Technology, Harbin, China, 2017. [Google Scholar]
- Bu, Z.Q.; Zhang, Y.G.; Yang, L.; Kang, J.; Li, J. Effect of cooling rate on phase transformation in Ti2AlNb alloy. J. Alloys Compd. 2022, 893, 162364. [Google Scholar] [CrossRef]
- Zhang, J.; Zhang, X.-W.; Wang, H.; Wu, M.; Ma, X.; Liang, X.; Zhang, J.; Liu, R.; Zhao, H.; Sun, Z. Effect of Trace Boron on Microstructure and Mechanical Properties of Cast Ti2AlNb Alloy. J. Precis. Eng. 2022, 14, 210–218. [Google Scholar]
- Xing, P.-C.; Shi, J.-D.; Ma, X.; Zhang, X.-W.; Liang, X.-B.; Zhang, J.-W. Effect of Heat Treatment Process on Microstructure and Tensile Properties of Ti2AlNb Alloy Forgings. Hot Work. Technol. 2022, 51, 119–124. [Google Scholar]
- Zhang, X.L.; Yan, S.L.; Meng, M.; Li, P. Macro-micro behaviors of Ti–22Al–26Nb alloy during warm tension. Mater. Sci. Eng. A 2022, 850, 143580. [Google Scholar] [CrossRef]
- Li, H.; Zhang, W.C.; Jiao, X.Y.; Pan, J.; Zhan, L.; Xie, W.; Wang, G.; Yang, J. Effect of electric current on microstructure and texture evolution of the Ti2AlNb alloy during hot deformation. J. Mate. Res. Technol. 2024, 30, 1368–1379. [Google Scholar] [CrossRef]
- Jia, J.B.; Zhang, K.F.; Lu, Z. Dynamic recrystallization kinetics of a powder metallurgy Ti–22Al–25Nb alloy during hot compression. Mater. Sci. Eng. A 2014, 607, 630–639. [Google Scholar] [CrossRef]
- Jia, J.B.; Zhang, K.F.; Liu, L.M.; Wu, F. Hot deformation behavior and processing map of a powder metallurgy Ti–22Al–25Nb alloy. J. Alloys Compd. 2014, 600, 215–221. [Google Scholar] [CrossRef]
- Zhou, X.-J.; Wu, Y.; Qin, Z.-H.; Li, B.-Y.; CEHN, M.-H. Microstructure and Deformation of TA15/Ti2AlNb Diffusion Bonding Interface. J. Plast. Eng. 2022, 29, 120–126. [Google Scholar]
- Xue, K.-M.; Zhou, J.-C.; Guo, S.-H.; Yan, Z.-Y.; Zhang, Y.-Q.; Li, P. Numerical Simulation and Experimental Study on Gradient Extrusion Process of Hard-to-Deform Ti2AlNb-Based Alloy. J. Plast. Eng. 2022, 29, 1–10. [Google Scholar]
- Du, Z.H.; Jiang, S.S.; Zhang, K.F.; Lu, Z.; Li, B.; Zhang, D. The structural design and superplastic forming/diffusion bonding of Ti2AlNb based alloy for four-layer structure. Mater. Des. 2016, 104, 242–250. [Google Scholar] [CrossRef]
- Xie, L.Y.; Jiao, X.Y. Study on Arrhenius Constitutive Model of Ti-22Al-24Nb-0.5Mo Alloy Based on Strain Compensation. Acad. J. Mater. Chem. 2025, 6, 71–78. [Google Scholar]
- Jiao, X.Y.; Liu, Z.Q.; Wu, Y.; Liu, G. Investigation on precision and performance for hot gas forming of thin-walled components of Ti2AlNb-based alloy. MATEC Web Conf. 2018, 190, 07001. [Google Scholar] [CrossRef]
- Illarionov, A.G.; Stepanov, S.I.; Naschetnikova, I.A.; Popov, A.A.; Soundappan, P.; Thulasi Raman, K.H.; Suwas, S. A Review—Additive Manufacturing of Intermetallic Alloys Based on Orthorhombic Titanium Aluminide Ti2AlNb. Materials 2023, 16, 991. [Google Scholar] [CrossRef] [PubMed]
- Hu, Z. Research on Ultrasonic-Assisted Multi-Point Stretch Bending Process of Aluminum Profiles. Ph.D. Thesis, Jilin University, Changchun, China, 2022. [Google Scholar]
- Zhao, H. Research on Forming Process and Microstructure/Properties of Aluminum Alloy by Magnetic Field-Assisted TOPTIG Additive Manufacturing. Master’s Thesis, Shenyang University of Technology, Shenyang, China, 2022. [Google Scholar]
- Huang, Y. Research on Pulsed Electric Current-Assisted Gas Bulging Forming Process of Titanium Alloy. Ph.D. Thesis, Nanjing University of Aeronautics and Astronautics, Nanjing, China, 2021. [Google Scholar]
- Men, X.; Yan, D.; Lang, L.; Zhang, C.-Y.; Guo, Q.-L.; Li, L. Influence of Rigid-die and Flexible-medium Deep Drawing Processes on Forming Limit and Wall-thickness Distribution of GLARE Laminate Cylindrical Components. Forg. Stamp. Technol. 2022, 47, 53–59. [Google Scholar]
- Li, H. Research on Pulsed Electric Current-Assisted Hot Deformation and Microstructure Evolution of Ti2AlNb Alloy. Ph.D. Thesis, Harbin Institute of Technology, Harbin, China, 2021. [Google Scholar]
- Wang, G.F.; Li, X.; Liu, S.Y.; Gu, Y. Improved superplasticity and microstructural evolution of Ti2AlNb alloy sheet during electrically assisted superplastic gas bulging. Int. J. Adv. Manuf. Technol. 2018, 99, 773–783. [Google Scholar] [CrossRef]
- Chen, Z. Research on Pulsed Current-Assisted Deformation Behavior and Roll Forming Process of Ti2AlNb Alloy Foil. Ph.D. Thesis, Harbin Institute of Technology, Harbin, China, 2023. [Google Scholar]


















| Forming Method | Core Technology | Key Parameters | Core Advantages | Limitations | Maximum Thinning Rate |
|---|---|---|---|---|---|
| Conventional hot forming | Furnace heating + plastic deformation | Temp: 900–1050 °C; Strain rate: 0.001–0.01 s−1 | Mature; Low cost | Poor wall thickness uniformity | 30% |
| Gas bulging | Gas pressure + furnace heating | Temp: 900–970 °C; Pressure: 2–5 MPa | High precision; Less mold wear | Unsuitable for box-shaped components | 25% |
| Rigid die forming | Rigid mold + hot stamping | Temp: 850–950 °C; Friction coeff.: 0.2–0.3 | High production efficiency | Severe material flow restriction | 35% |
| Pulse current-assisted flexible granular medium forming | Pulse current heating + granular medium force transmission | Temp: 900–1000 °C; Friction coeff.: 0.4; Strain rate: 0.001 s−1 | Uniform wall thickness; Suitable for complex components | Requires precise parameter matching | 16.5% |
| Current/A | Strain Rate/s−1 | Tensile Strength/MPa (Mean ± SD) | Elongation/% (Mean ± SD) |
|---|---|---|---|
| 50 | 0.001 | 580 ± 12 | 18.5 ± 1.2 |
| 50 | 0.01 | 620 ± 15 | 16.3 ± 1.0 |
| 50 | 0.1 | 680 ± 18 | 12.7 ± 0.8 |
| 53 | 0.001 | 510 ± 10 | 20.2 ± 1.3 |
| 53 | 0.01 | 550 ± 13 | 17.8 ± 1.1 |
| 53 | 0.1 | 610 ± 16 | 14.2 ± 0.9 |
| 57 | 0.001 | 420 ± 8 | 22.3 ± 1.5 |
| 57 | 0.01 | 460 ± 11 | 19.5 ± 1.2 |
| 57 | 0.1 | 520 ± 14 | 15.6 ± 1.0 |
| 60 | 0.001 | 380 ± 7 | 23.5 ± 1.4 |
| 60 | 0.01 | 410 ± 9 | 21.1 ± 1.3 |
| 60 | 0.1 | 480 ± 12 | 17.3 ± 1.1 |
| Current/A | Strain Rate/s−1 | α2 Phase Volume Fraction/% (Mean ± SD) | O Phase Volume Fraction/% (Mean ± SD) | B2/β Phase Grain Size/μm (Mean ± SD) |
|---|---|---|---|---|
| 50 | 0.001 | 18.2 ± 1.1 | 25.3 ± 1.5 | 28.5 ± 3.2 |
| 53 | 0.001 | 12.5 ± 0.9 | 18.7 ± 1.2 | 35.7 ± 3.8 |
| 57 | 0.001 | 6.8 ± 0.6 | 8.3 ± 0.7 | 42.3 ± 4.1 |
| 60 | 0.001 | 2.1 ± 0.3 | 0.0 ± 0.0 | 52.8 ± 4.5 |
| 50 | 0.01 | 20.5 ± 1.3 | 28.6 ± 1.7 | 25.2 ± 2.9 |
| 50 | 0.1 | 23.7 ± 1.5 | 32.1 ± 1.9 | 22.8 ± 2.6 |
| Friction Coefficient of Flexible Granular Medium | 0.1 | 0.2 | 0.3 | 0.4 | 0.5 | 0.57 |
|---|---|---|---|---|---|---|
| Maximum thinning rate/% | 45.37 | 35.94 | 18.50 | 16.50 | 16.43 | 16.56 |
Disclaimer/Publisher’s Note: The statements, opinions and data contained in all publications are solely those of the individual author(s) and contributor(s) and not of MDPI and/or the editor(s). MDPI and/or the editor(s) disclaim responsibility for any injury to people or property resulting from any ideas, methods, instructions or products referred to in the content. |
© 2026 by the authors. Licensee MDPI, Basel, Switzerland. This article is an open access article distributed under the terms and conditions of the Creative Commons Attribution (CC BY) license.
Share and Cite
Su, S.; Xu, Y.; Jiang, C.; Ding, M.; Dai, Y.; Lou, X.; Jiang, S. Ti2AlNb Sheet Pulse Current-Assisted Flexible Granular Medium Forming of Box-Shaped Components. Metals 2026, 16, 77. https://doi.org/10.3390/met16010077
Su S, Xu Y, Jiang C, Ding M, Dai Y, Lou X, Jiang S. Ti2AlNb Sheet Pulse Current-Assisted Flexible Granular Medium Forming of Box-Shaped Components. Metals. 2026; 16(1):77. https://doi.org/10.3390/met16010077
Chicago/Turabian StyleSu, Shengwei, Yan Xu, Cheng Jiang, Mingyu Ding, Yifeng Dai, Xinhuan Lou, and Shaosong Jiang. 2026. "Ti2AlNb Sheet Pulse Current-Assisted Flexible Granular Medium Forming of Box-Shaped Components" Metals 16, no. 1: 77. https://doi.org/10.3390/met16010077
APA StyleSu, S., Xu, Y., Jiang, C., Ding, M., Dai, Y., Lou, X., & Jiang, S. (2026). Ti2AlNb Sheet Pulse Current-Assisted Flexible Granular Medium Forming of Box-Shaped Components. Metals, 16(1), 77. https://doi.org/10.3390/met16010077
