Sign in to use this feature.

Years

Between: -

Subjects

remove_circle_outline
remove_circle_outline
remove_circle_outline
remove_circle_outline
remove_circle_outline
remove_circle_outline
remove_circle_outline
remove_circle_outline
remove_circle_outline

Journals

remove_circle_outline
remove_circle_outline
remove_circle_outline
remove_circle_outline
remove_circle_outline
remove_circle_outline
remove_circle_outline
remove_circle_outline
remove_circle_outline
remove_circle_outline
remove_circle_outline
remove_circle_outline

Article Types

Countries / Regions

remove_circle_outline
remove_circle_outline
remove_circle_outline
remove_circle_outline
remove_circle_outline

Search Results (575)

Search Parameters:
Keywords = pulp characteristics

Order results
Result details
Results per page
Select all
Export citation of selected articles as:
20 pages, 7201 KB  
Article
PsAAT3 Drives Ester Accumulation and Fruity Aroma Formation During Ripening in Chinese Plum (Prunus salicina) Through Integrated Volatile Profiling and Transcriptomics
by Wenqian Zhao, Sujuan Liu, Siyu Li, Gaigai Du, Longji Li, Danfeng Bai, Gaopu Zhu, Shaobin Yang, Fangdong Li, Taishan Li and Haifang Hu
Plants 2026, 15(8), 1144; https://doi.org/10.3390/plants15081144 - 8 Apr 2026
Abstract
Fruit volatile organic compounds (VOCs) are key determinants of plum flavor quality, and esters contribute strongly to the fruity aroma of ripe fruit. However, the molecular basis of cultivar differences in ester formation during ripening has not been systematically clarified. Here, we characterized [...] Read more.
Fruit volatile organic compounds (VOCs) are key determinants of plum flavor quality, and esters contribute strongly to the fruity aroma of ripe fruit. However, the molecular basis of cultivar differences in ester formation during ripening has not been systematically clarified. Here, we characterized pulp VOC profiles across ripening in three Chinese plum (Prunus salicina) cultivars (‘WeiWang’ (WW), ‘WeiDi’ (WD), and ‘KongLongDan’ (KLD)) and integrated transcriptome analysis with weighted gene co-expression network analysis (WGCNA) to identify genes associated with ester accumulation. HS-SPME-GC-MS identified 38 VOCs, mainly esters, aldehydes, and alcohols, with ‘WW’ showing the highest total VOC abundance. During ripening, esters became the predominant volatile class in ‘WW’ and ‘WD’, in agreement with their fruity sensory characteristics, whereas ‘KLD’ maintained a more balanced composition of fruity and green-related volatiles. Transcriptomic analyses highlighted Prunus salicina alcohol acyltransferase 3 (PsAAT3) as the most abundant AAT transcript in pulp and strongly induced in ‘WW’. Transient overexpression of PsAAT3 in the low-ester background increased butyl acetate and hexyl acetate by 4.8- and 2.2-fold, respectively. WGCNA further identified ester-associated modules and candidate transcription factors co-expressed with PsAAT3 (JA2L, HY5, NAC073, and PHL13). As a result, this study identifies PsAAT3 as a key determinant of high-ester aroma in Chinese plum and provide candidate targets for aroma improvement and flavor-oriented breeding. Full article
Show Figures

Figure 1

18 pages, 2072 KB  
Article
Threshold-Dependent Synergy and Kinetics in the Co-Pyrolysis of Soma Lignite and Sugar Beet Pulp
by Kazım Eşber Özbaş
Processes 2026, 14(7), 1184; https://doi.org/10.3390/pr14071184 - 7 Apr 2026
Abstract
Within a waste biorefinery framework, integrating agro-industrial by-products into the circular economy requires a detailed understanding of the thermochemical conversion behaviour of low-grade carbonaceous materials. This study evaluates the co-pyrolysis characteristics of Soma lignite (SL) and pectin-rich sugar beet pulp (SBP) as a [...] Read more.
Within a waste biorefinery framework, integrating agro-industrial by-products into the circular economy requires a detailed understanding of the thermochemical conversion behaviour of low-grade carbonaceous materials. This study evaluates the co-pyrolysis characteristics of Soma lignite (SL) and pectin-rich sugar beet pulp (SBP) as a sustainable route for upgrading these resources into clean energy carriers. Interactions between the two feedstocks were analysed by thermogravimetric measurements, triple-region kinetic modelling, and quantitative synergy indices at six mixing ratios, including the pure samples (100:0, 80:20, 60:40, 40:60, 20:80, and 0:100 wt% SL:SBP). The Reactivity Index (Rm) increased from 0.97 × 10−4 s−1K−1 for pure SL to 8.65 × 10−4 s−1K−1 for the 20:80 blend, showing that SBP acts as a highly reactive biomass component that accelerates devolatilisation in the main pyrolysis region. Synergy analysis indicated a shift from inhibitory behaviour in coal-rich blends to slightly positive synergy in SBP-rich mixtures, with the onset of positive ΔTC around 60 wt% SBP under the present single-heating-rate, non-replicated TGA conditions. This tentative threshold-like behaviour suggests that a critical level of literature-supported, hypothesised hydrogen-donating biomass radicals may be required to overcome the structural resistance of the coal matrix. Within these experimental limitations, the apparent macro-kinetic deviations and first-order Arrhenius parameters suggest that SL/SBP co-pyrolysis follows a complex, non-additive pathway that should be further validated by multi-heating-rate and product characterisation studies in future work. The primary contribution of this work lies in proposing this distinct threshold-like biomass fraction at the macro-kinetic level that governs the transition from heat-transfer-limited antagonism to radical-influenced synergy in low-rank coal and pectin-rich biomass blends. Overall, the combined ΔTC, ΔE and Rm descriptors provide useful macro-kinetic benchmarks for guiding the optimisation of thermochemical processes for low-grade carbonaceous resources. Full article
(This article belongs to the Section Sustainable Processes)
Show Figures

Figure 1

27 pages, 4347 KB  
Review
Collagen Scaffolds in Regenerative Endodontic Procedures: Current Evidence, Limitations, and Future Perspectives
by Qiong-Ling Shi, Xiao Zhu, Chen Chen, Jing-Yi Chen, Dan-Yang Lu, Ying Shi, Yan-Qi Chen and Zhi-Fang Wu
Polymers 2026, 18(7), 894; https://doi.org/10.3390/polym18070894 - 7 Apr 2026
Viewed by 26
Abstract
Predictable pulp-dentin regeneration continues to represent a major challenge in regenerative endodontic procedures (REPs). Although collagen-based scaffolds are widely investigated for their excellent biocompatibility, their ability to deliver consistent clinical and histological outcomes requires critical evaluation. This review summarizes recent advances in the [...] Read more.
Predictable pulp-dentin regeneration continues to represent a major challenge in regenerative endodontic procedures (REPs). Although collagen-based scaffolds are widely investigated for their excellent biocompatibility, their ability to deliver consistent clinical and histological outcomes requires critical evaluation. This review summarizes recent advances in the application of collagen scaffolds for REPs. Clinical studies demonstrate that these scaffolds support high tooth survival rates and promote vitality recovery, root wall thickening, and apical closure. However, consistent root lengthening remains elusive. Histologically, the newly formed mineralized tissue from collagen scaffolds within REPs tends to be cementum-like or bone-like rather than reparative dentin, a pattern closely associated with the physicochemical properties of collagen, including pore size, porosity, concentration, stiffness, viscosity, and viscoelasticity. We conclude that while collagen scaffolds represent a “promising platform” for REPs due to their biocompatibility and clinical performance, current evidence indicates that they do not consistently achieve true pulp-dentin regeneration. We therefore propose targeted modification and advanced tissue engineering strategies to direct genuine regeneration. This review offers a framework for the rational design of next-generation collagen constructs toward more predictable regenerative outcomes. Full article
(This article belongs to the Section Polymer Applications)
Show Figures

Graphical abstract

18 pages, 9025 KB  
Article
Effects of Different Packaging Materials on Egg Translucency, Quality, and Shell Surface Microbiota
by Yihan Wang, Quanzhong Wei, Zeyao Zhang, Lin Xuan, Jiajie Yang, Mimi Lei, Tingting Liang and Xuefeng Shi
Foods 2026, 15(7), 1255; https://doi.org/10.3390/foods15071255 - 7 Apr 2026
Viewed by 153
Abstract
Egg quality during storage is a critical factor influencing consumer acceptance and food safety. However, the effects of storage methods on eggshell translucency and surface microbiota remain insufficiently understood. In this study, three common packaging methods, paper pulp trays (PPT), expanded polyethylene foam [...] Read more.
Egg quality during storage is a critical factor influencing consumer acceptance and food safety. However, the effects of storage methods on eggshell translucency and surface microbiota remain insufficiently understood. In this study, three common packaging methods, paper pulp trays (PPT), expanded polyethylene foam trays (EPE), and transparent plastic boxes (TPB), were evaluated to assess their impact on egg translucency, internal quality, and microbial communities. Egg quality traits were measured, and microstructural and elemental characteristics were examined using scanning electron microscopy and compositional analysis. In addition, 16S rRNA sequencing was performed to characterize the eggshell surface microbiota. The packaging method significantly influenced translucency development, with EPE mitigating mottling better than PPT and TPB. Storage duration was the predominant driver of internal quality deterioration, particularly affecting the albumen height and Haugh units. Translucency was not associated with shell thickness or mineral content but was likely associated with moisture dynamics. Distinct microbial communities are shaped by different packaging materials. These findings provide new insights into the mechanisms underlying translucency and microbial ecology during egg storage. This highlights the practical implications of optimizing packaging strategies to maintain egg quality, extend the shelf life, and ensure microbial safety. Full article
Show Figures

Graphical abstract

20 pages, 2543 KB  
Article
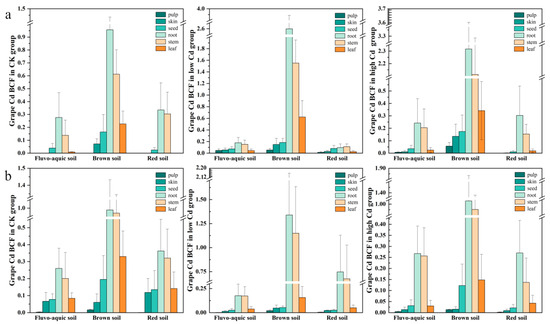
Bioaccumulation of Cd in Grapes and Assessment of Human Health Risk
by Ajigul Mamut, Zeyu Wang, Xingwang Ma, Hongbin Liu, Shenghai Pu and Zhaojun Li
Plants 2026, 15(7), 1097; https://doi.org/10.3390/plants15071097 - 2 Apr 2026
Viewed by 381
Abstract
In the present study, we conducted three treatments with different cadmium concentrations and three different soil types selected for grape cultivation to assess the accumulation and migration characteristics of Cadmium (Cd) in the soil–grape system in different years. The change in Cd fractions [...] Read more.
In the present study, we conducted three treatments with different cadmium concentrations and three different soil types selected for grape cultivation to assess the accumulation and migration characteristics of Cadmium (Cd) in the soil–grape system in different years. The change in Cd fractions in soil and the transfer and accumulation of Cd in different soil–grape systems were analyzed to evaluate the health risks of pulp cadmium accumulation to grape consumers. The results showed that after the planting of the grape, the active Cd fraction increased by 1~3 times and the stable fraction decreased by 1~3 times compared to before planting grapes. It gradually began to stabilize as the cultivation period progressed. The bioaccumulation factor (BCF) of Cd in different parts of grape was ranked as: root (0.094~2.590) > stem (0.117~2.112) > leaf (0.008~0.621) > seed (0.010~0.195) > skin (0.000~0.148) > pulp (0.000~0.156). High Cd concentration inhibited the transfer of Cd from the soil and root to the aboveground part of the grape. The Cd of grape pulp has no health risks. Cd pollution significantly altered the soil microbial community, suppressing Actinobacteria while enriching Acidobacteria. The results of this study will help to clarify migration patterns between different soil–grape systems and providing effective data and theoretical support for the management of Cd pollution in vineyard soils. Full article
(This article belongs to the Section Plant–Soil Interactions)
Show Figures

Figure 1

18 pages, 689 KB  
Article
Effect of Addition Levels of By-Product Mixture (Apple Pomace: Red Potato Pulp: Sugar Beet Pulp) on Phytochemical Profile, Antioxidant Activity and Physical Properties of Extruded Corn Snacks
by Rafał Ziobro, Dorota Gumul, Renata Sabat, Anna Wywrocka-Gurgul and Tomasz Zięba
Molecules 2026, 31(6), 1037; https://doi.org/10.3390/molecules31061037 - 20 Mar 2026
Viewed by 289
Abstract
Plant by-products such as apple pomace, potato pulp, and sugar beet pulp can be an excellent source of polyphenols, other phytochemicals and fiber, which is why they can be an excellent addition to snacks. Snacks, on the other hand, contain a lot of [...] Read more.
Plant by-products such as apple pomace, potato pulp, and sugar beet pulp can be an excellent source of polyphenols, other phytochemicals and fiber, which is why they can be an excellent addition to snacks. Snacks, on the other hand, contain a lot of sugar and starch, which increases the risk of metabolic diseases and is unfavorable for diabetics, but after adding the above-mentioned by-products, their nutritional and health-promoting value increases. The aim of the study was to examine the effect of different addition levels of a mixture of by-products on the nutritional composition, phytochemical content, antioxidant activity, and quality of corn snacks. It was found that mixtures of by-products are an excellent addition to corn snacks in order to increase the health benefits of the product, as this additive increases the content of polyphenols, phenolic acids, anthocyanins, dietary fiber, tocopherols, especially α- and γ-tocopherol, as well as phytosterols, including β-sitosterol, stigmasterol, and campesterol. Furthermore, it increases the antioxidant potential of the snacks and the nutritional value of the final product, especially protein and ash content, reducing the starch content. Snacks containing a 20% by-product mixture may be recommended due to their improved nutritional and health-promoting properties and acceptable physical characteristics. Full article
(This article belongs to the Special Issue Bioactive Compounds in Foods and Their By-Products)
Show Figures

Graphical abstract

15 pages, 889 KB  
Systematic Review
Parental Acceptance of Passive Protective Stabilization During Pulp Therapy in Primary and Young Permanent Dentition: A Systematic Review and Meta-Analysis
by Carolina Caleza-Jiménez, Cira Suárez-Marchena, Lucy Chandler-Gutiérrez, Juan J. Segura-Egea and Carmen Machuca-Portillo
J. Clin. Med. 2026, 15(6), 2200; https://doi.org/10.3390/jcm15062200 - 13 Mar 2026
Viewed by 235
Abstract
Background: Passive protective stabilization (PPS) remains controversial in pediatric dentistry, particularly in invasive procedures such as pulp therapy. This systematic review and meta-analysis aimed to evaluate current parental acceptance of PPS. Methods: A systematic search of PubMed/MEDLINE, Cochrane Library, Scopus, and Embase was [...] Read more.
Background: Passive protective stabilization (PPS) remains controversial in pediatric dentistry, particularly in invasive procedures such as pulp therapy. This systematic review and meta-analysis aimed to evaluate current parental acceptance of PPS. Methods: A systematic search of PubMed/MEDLINE, Cochrane Library, Scopus, and Embase was conducted up to 25 November 2025. Cross-sectional studies assessing parental acceptance of PPS in children aged 2–10 years were included. Studies published in English within the last 10 years and including at least 100 participants were eligible. Case reports, reviews, editorials, and studies not aligned with the objectives were excluded. Risk of bias was assessed using the Joanna Briggs Institute checklist. A random-effects meta-analysis with logit transformation was performed. Heterogeneity was quantified using I2 statistics. Certainty of evidence was evaluated using GRADE. Results: Five cross-sectional studies, including 1005 parents, were included. The pooled parental acceptance of PPS was 48.9% (95% CI: 29.0–69.2%), with substantial heterogeneity (I2 = 97%). Acceptance was consistently higher in emergency situations and among parents of children with special health care needs. Three studies showed low risk of bias and two moderate risk. The overall certainty of evidence was rated as very low due to inconsistency and imprecision. Conclusions: Parental acceptance of PPS is context-dependent and influenced by treatment urgency and patient characteristics. Given the high heterogeneity and low certainty of evidence, results should be interpreted cautiously. Further high-quality research is required. Full article
(This article belongs to the Special Issue Novel Research in Pediatric Dentistry: 2nd Edition)
Show Figures

Figure 1

41 pages, 3705 KB  
Review
Bio-CO2 as Feedstock for Renewable Methanol in Maritime Applications
by Michael Bampaou, Vasileios Mitrousis, Evangelia Koliamitra, Paraskevas Stratigousis, Henrik Schloesser, Ismael Matino, Valentina Colla and Kyriakos D. Panopoulos
Energies 2026, 19(5), 1364; https://doi.org/10.3390/en19051364 - 7 Mar 2026
Cited by 1 | Viewed by 513
Abstract
Bio-CO2 is part of the natural carbon cycle and represents a sustainable carbon source for the production of Renewable Fuels of Non-Biological Origin (RFNBOs), such as synthetic methanol. This study addresses the critical knowledge gap in aligning diverse biogenic CO2 sources [...] Read more.
Bio-CO2 is part of the natural carbon cycle and represents a sustainable carbon source for the production of Renewable Fuels of Non-Biological Origin (RFNBOs), such as synthetic methanol. This study addresses the critical knowledge gap in aligning diverse biogenic CO2 sources with e-methanol requirements in the EU by providing harmonized mapping, based on datasets, literature sources, and reported industrial statistics at the sectoral and country level. Bio-CO2 streams from biogas and biogas upgrading, biomass combustion, pulp and paper, bioethanol production, and the food and beverage sector are evaluated for total emissions, CO2 concentrations and purity, the geographical distribution, seasonality, and impurity profiles. Results show that approximately 350 Mtpa of bio-CO2 are emitted across the EU, with highly heterogeneous characteristics. Biogas upgrading and fermentation-based processes generate highly pure CO2 streams (>98–99%), yet their small and dispersed nature complicates logistics. In contrast, biomass-combustion and pulp and paper sectors provide large volumes (around 214.6–298.2 Mtpa and 73.9 Mtpa CO2, respectively), but in diluted streams (typically 3–15% and 10–20%). Replacing just 10% of the EU maritime fuel demand with e-methanol would require 53.6 Mtpa of bio-CO2 and 58 GW of electrolyzer capacity, a stark contrast to the current operational 385 MW. The findings highlight the need for infrastructure planning and aggregation hubs to enable the large-scale deployment of RFNBO methanol in the maritime sector. Full article
(This article belongs to the Special Issue Renewable Hydrogen and Hydrogen Carriers for the Maritime Sector)
Show Figures

Figure 1

15 pages, 2677 KB  
Case Report
22q11.2 Deletion Syndrome, Oral-Maxillo-Facial Manifestations and Cognitive Functioning: Three Illustrative Case Reports
by Dario Sardella, Andrea De Giacomo, Andrea Ricci, Luisa Limongelli and Massimo Corsalini
Children 2026, 13(3), 355; https://doi.org/10.3390/children13030355 - 28 Feb 2026
Viewed by 970
Abstract
Background: 22q11.2 deletion syndrome (22q11.2 DS) is a rare genetic syndrome characterized by high phenotypic variability, with an incidence of approximately 1:4000 live births. Most of the existing literature consists of case reports or case series, making it challenging to obtain large cohorts [...] Read more.
Background: 22q11.2 deletion syndrome (22q11.2 DS) is a rare genetic syndrome characterized by high phenotypic variability, with an incidence of approximately 1:4000 live births. Most of the existing literature consists of case reports or case series, making it challenging to obtain large cohorts for data comparison and drawing generalizable conclusions. Aim: The aim of this article is to share the clinical experience of patients with 22q11.2 DS who were previously evaluated by Child Neuropsychiatry and underwent odontoiatric procedures at the Dental Unit of the Policlinico di Bari. Methods: We report three clinical cases of pediatric patients with 22q11.2 DS who were managed at the University Dental Unit of the Policlinico di Bari for dental procedures, including pre/post-treatment images and child neuropsychiatric characteristics. Results: Cleft lip and cleft palate are the most commonly encountered facial malformations. Enamel hypoplasia and hypomineralizations, caries, dental agenesis, and hypodontia are reported with variable frequency in almost all studies considering the oral health of these patients. Our experience is coherent with the data present at the moment. The clinical examinations showed diffuse hypomineralization and several caries, concordant with the literature. One patient received moderate sedation and another received general anesthesia; oral prophylaxis, fluoride application, pulp therapy, extractions of hopeless teeth and restorations of carious and hypomineralized teeth were performed. Conclusions: 22q11.2 DS is a genetic condition with a variable prognosis, but current trends show that patients often reach adulthood, primarily due to advancements in cardiology, which was previously the leading cause of mortality in these patients. From this perspective, collaboration among various medical specialties is crucial to implement holistic patient management programs and early interventions. Full article
(This article belongs to the Collection Advance in Pediatric Dentistry)
Show Figures

Figure 1

11 pages, 1463 KB  
Article
Effect of Autologous Bioactive Concentrated Growth Factor and Residual Dental Pulp on Dentin–Pulp Complex Regeneration
by Abeer Ezat Wahba, Safwat Elwaseef, Huda Ibrahim Mostafa, Weal B. Abdelhameed, Ahmed Mostafa Abbas and Ashraf Mohamad Emran
Biomedicines 2026, 14(3), 537; https://doi.org/10.3390/biomedicines14030537 - 27 Feb 2026
Viewed by 362
Abstract
Background/Objectives: This study aimed to evaluate the regenerative potential of autologous concentrated growth factor (CGF) combined with residual pulp tissue in immature dog teeth using a histological and histomorphometric analysis. Materials and Methods: Thirty immature anterior and premolar teeth, harvested from four dogs, [...] Read more.
Background/Objectives: This study aimed to evaluate the regenerative potential of autologous concentrated growth factor (CGF) combined with residual pulp tissue in immature dog teeth using a histological and histomorphometric analysis. Materials and Methods: Thirty immature anterior and premolar teeth, harvested from four dogs, were randomly assigned to three groups (n = 10 each): group I (negative control, untreated teeth), group II (positive control, complete pulp removal with blood clot in the canal), and group III (experimental, partial pulp removal with 1–4 mm residual pulp and placement of autologous CGF). After 1 and 3 months, animals were euthanized, and samples were processed for histological and histomorphometric assessments. Results: The CGF-treated group exhibited newly formed tissue with morphological characteristics comparable to the negative control group after partial pulp removal. Conclusions: The combination of CGF with 1–4 mm of residual pulp was associated with enhanced tissue organization, representing a promising approach for dentin–pulp complex (DPC) regeneration within this experimental context. Full article
Show Figures

Graphical abstract

25 pages, 6110 KB  
Article
Evaluation Methods for Aeration Parameters in Flotation Separation Modelling with Neural Network Applications
by Tatiana Aleksandrova, Bulat Gatiatullin, Valentin Kuznetsov and Shlykov Nikita
Processes 2026, 14(4), 728; https://doi.org/10.3390/pr14040728 - 23 Feb 2026
Viewed by 415
Abstract
This study is dedicated to the application of neural network technologies for determining aeration parameters in order to predict the efficiency of flotation separation. Within the framework of the research, digital technology solutions were actively employed, including a neural network for segmentation at [...] Read more.
This study is dedicated to the application of neural network technologies for determining aeration parameters in order to predict the efficiency of flotation separation. Within the framework of the research, digital technology solutions were actively employed, including a neural network for segmentation at the stage of determining the granulometric characteristics of bubbles and a convolutional neural network module for determining the froth layer height. An analysis was conducted to examine the variation in the statistical parameter d32, which characterizes the bubble size distribution, as a function of flotation time and measurement height. The analysis revealed that the d32 values determined by neural network processing remained within the range of acceptable dispersion and are therefore suitable for subsequent analytical procedures. Furthermore, a comparative evaluation of the obtained size distributions indicated the absence of statistically significant differences between the neural network measurements and manually labelled data with a p-value equal to 0.64. A neural network for object detection was used to record the height of the froth layer during the experiment to obtain a time series, that were subsequently processed with data processing approaches including Savitzky–Golay and Singular Spectra Analysis. Based on the analysis of the sum of the obtained dependences, a criterion is proposed and modeled for evaluating the selectivity of frother by connecting the diameter of bubble in pulp and bubble in froth. Based on the modeling results, it was determined that the optimal range of bubble sizes and froth size ratios for MIBC is constrained to d32 values ranging from 1.058 to 1.089 mm, with the ratio of froth bubble radius to d32 ranging from 1.302 to 2.098, depending on the floatability ratios of the respective fractions. When employing OPF, the values for d32 fall within the interval of 0.868 to 1.113 mm, while the Dₓ parameter ranges from 0.559 to 0.931. Full article
(This article belongs to the Special Issue Mineral Processing Equipments and Cross-Disciplinary Approaches)
Show Figures

Figure 1

20 pages, 1633 KB  
Article
Targeted Separation of Ziziphus jujuba Pulp Polyphenols: Adsorption Kinetics Characteristics of AB-8 Resin and Product Structure Analysis
by Dan Zhao, Fuzhi Xie, Qing Zhang, Beizhi Zhang, Shujing Xuan, Nannan Chen, Wenjie Li, Bei Fan, Fengzhong Wang and Liang Zhang
Foods 2026, 15(4), 792; https://doi.org/10.3390/foods15040792 - 23 Feb 2026
Viewed by 426
Abstract
To address the challenge of purifying bioactive polyphenols from the complex matrix of Ziziphus jujuba Mill. var. spinosa pulp, this study established an integrated purification protocol combining Deep Eutectic Solvent (DES) extraction with macroporous adsorption resin (MAR) enrichment. Among five screened resins, AB-8 [...] Read more.
To address the challenge of purifying bioactive polyphenols from the complex matrix of Ziziphus jujuba Mill. var. spinosa pulp, this study established an integrated purification protocol combining Deep Eutectic Solvent (DES) extraction with macroporous adsorption resin (MAR) enrichment. Among five screened resins, AB-8 exhibited superior selectivity, achieving a maximum adsorption capacity of 62.48 mg polyphenols/g dry resin and a desorption ratio of 83.40%. Kinetic analysis revealed that the adsorption process strictly followed a pseudo-second-order model (R2 = 0.999), indicating a mechanism dominated by chemisorption. Through dynamic optimization, optimal column parameters were determined as a loading concentration of 2.4 mg/mL, a flow rate of 1.0 mL/min, and elution with 70% (v/v) ethanol. Structural characterization via UV-Vis and FT-IR confirmed the effective removal of polysaccharide and protein impurities, while High-Performance Gel Permeation Chromatography (HPGPC) indicated a low-molecular-weight distribution (Mw approx. 1073 Da). Furthermore, HPLC-MS profiling definitively identified eight key constituents, including chlorogenic acid, catechin, rutin, and quercetin. Collectively, this work elucidates the adsorption mechanism and provides a scalable, efficient technical foundation for the high-purity preparation of jujube polyphenols. Full article
Show Figures

Figure 1

13 pages, 2522 KB  
Article
Prevalence of Pre-Eruptive Intracoronal Resorption (PEIR) and Proposal of a Novel Classification: Retrospective Study with the Aid of Cone Beam Computed Tomography (CBCT)
by Emmanuel Mazinis, Konstantinos Ioannidis, Shanon Patel, Vassilis Karagiannis and Christos Gogos
Dent. J. 2026, 14(2), 118; https://doi.org/10.3390/dj14020118 - 17 Feb 2026
Viewed by 401
Abstract
Background/Objectives: Pre-eruptive intracoronal resorption (PEIR) in impacted or unerupted teeth often remains undiagnosed. The aim of this study was to investigate the prevalence of PEIR with the aid of cone beam computed tomography (CBCT) and propose a new three-dimensional (3D) classification for [...] Read more.
Background/Objectives: Pre-eruptive intracoronal resorption (PEIR) in impacted or unerupted teeth often remains undiagnosed. The aim of this study was to investigate the prevalence of PEIR with the aid of cone beam computed tomography (CBCT) and propose a new three-dimensional (3D) classification for the analysis of the lesions. Methods: A total of 164 unerupted teeth diagnosed in CBCT scans, derived from an equivalent number of patients, were examined for the presence of PEIR, tooth type, angulation and position. A novel 3D classification system was proposed and all PEIR lesions were further classified. The classification system was used to stage PEIR lesions according to their extend from the enamel level apically, the circumferential spread and their proximity to the pulp chamber. Descriptive statistics were used to assess the prevalence and type of resorption. The association between PEIR, demographics, tooth type, position and angulation were studied. The estimation of the multivariate relationship between PEIR, patient’s demographics and tooth characteristics was conducted with the multiple binary logistic regression model. Results: The prevalence of PEIR was 33.5%, affecting mostly maxillary canines, and maxillary and mandibular molars. The prevalence of PEIR in ages over 45 years was significantly higher (p < 0.001). The presence of PEIR was significantly associated with buccal position (p = 0.002) and buccal angulation (p = 0.016) of the tooth. Conclusions: Due to the high prevalence of PEIR, CBCT may improve detection and 3D characterization when imaging is already clinically indicated, and influence treatment planning in selected cases. Full article
(This article belongs to the Special Issue Present Status and Future Directions in Endodontics)
Show Figures

Figure 1

12 pages, 1351 KB  
Article
Rheological Evaluation of Acerola Pulp In Natura and Reconstituted Powders Obtained by Foam-Mat Drying
by Leandro Fagundes Mançano and Gabriel Henrique Horta de Oliveira
AgriEngineering 2026, 8(2), 44; https://doi.org/10.3390/agriengineering8020044 - 2 Feb 2026
Viewed by 303
Abstract
Acerola is a fruit rich in vitamin C and antioxidants, but it has a short shelf life. Foam-mat dehydration is a promising method for extending the shelf life, but it can change the rheological properties of the powder. Therefore, the present study aimed [...] Read more.
Acerola is a fruit rich in vitamin C and antioxidants, but it has a short shelf life. Foam-mat dehydration is a promising method for extending the shelf life, but it can change the rheological properties of the powder. Therefore, the present study aimed to evaluate the rheology of acerola fresh pulp and the reconstituted powder, obtained by drying at 60 °C using the foam-mat method with the additive Emustab (4%), to indicate which powder concentration possesses similar rheological properties to the fresh pulp. The experiment was performed with different concentrations of reconstituted powder in deionized water (2, 4, 6, 8 and 10%, w/v). The Herschel–Bulkley model was the one that adequately adjusted to the experimental rheological data, showing that the reconstituted powder and fresh pulp are non-Newtonian fluids with pseudoplastic behavior and initial shear stress. Shear stress rose and apparent viscosity decreased with increasing shear rate, regardless of the concentration. Emustab did not modify the rheological characteristics of the acerola pulp, which maintained the non-Newtonian fluid characteristic. The 2% concentration provides a reconstituted product more like the fresh pulp. Full article
(This article belongs to the Section Pre and Post-Harvest Engineering in Agriculture)
Show Figures

Graphical abstract

19 pages, 1028 KB  
Article
Changes in Bioactive Characteristics of Nance (Byrsonima crassifolia) Pulp and Liqueur During Storage
by Diana Maylet Hernández-Martínez, Jose Irving Valdez-Miranda, Patricia Rosales-Martínez, Hugo Necoechea-Mondragón, Gustavo F. Gutiérrez-López and Maribel Cornejo-Mazón
Beverages 2026, 12(1), 17; https://doi.org/10.3390/beverages12010017 - 22 Jan 2026
Viewed by 623
Abstract
Nance fruit is considered an important source of antioxidants and is used as a raw material to produce various edible products including liqueur. This fruit is grown in various locations worldwide, and its use to prepare different products needs to be further developed. [...] Read more.
Nance fruit is considered an important source of antioxidants and is used as a raw material to produce various edible products including liqueur. This fruit is grown in various locations worldwide, and its use to prepare different products needs to be further developed. Nance pulp and liqueur were analyzed by evaluating their physicochemical characteristics, bioactive compounds, and antioxidant capacities during 90 days of storage. Ascorbic acid and antioxidant capacities decreased at higher rates than pulp as per their kinetic constants and half-life times (t1/2 was shorter for liqueur than for pulp). Fourier Transform Infrared Spectroscopy (FTIR) allowed us to register the characteristic fingerprints from bonds from diverse functional groups and demonstrated that liqueur preserved, at a higher extent, the bioactive compounds of pulp. Phenolic compounds in both samples decayed over time, suggesting that, during storage, they release due to the breakage of cell walls. Infrared spectra showed considerable overlapping, presenting characteristic alcohol and functional group peaks distinctive of bioactive compounds and polysaccharides. At the end of their storage, both samples presented peaks of less intensity than those for the initial samples, which was in agreement with the bioactive compound content and antioxidant capacity kinetics. Bioactive profiles and kinetic parameters would be useful for establishing the processing and storage conditions of nance liqueur and could support the development of local communities. Full article
(This article belongs to the Special Issue New Insights into Artisanal and Traditional Beverages)
Show Figures

Graphical abstract

Back to TopTop