Sign in to use this feature.

Years

Between: -

Subjects

remove_circle_outline
remove_circle_outline
remove_circle_outline
remove_circle_outline
remove_circle_outline
remove_circle_outline
remove_circle_outline
remove_circle_outline
remove_circle_outline

Journals

Article Types

Countries / Regions

Search Results (48)

Search Parameters:
Keywords = pseudo-wavelets

Order results
Result details
Results per page
Select all
Export citation of selected articles as:
16 pages, 9643 KB  
Article
Synergistically Enhanced Ta2O5/AgNPs SERS Substrate Coupled with Deep Learning for Ultra-Sensitive Microplastic Detection
by Chenlong Zhao, Yaoyang Wang, Shuo Cheng, Yuhang You, Yi Li and Xianwu Xiu
Materials 2026, 19(1), 90; https://doi.org/10.3390/ma19010090 - 25 Dec 2025
Viewed by 426
Abstract
Herein, a high-performance Ta2O5/AgNPs composite Surface-Enhanced Raman Scattering (SERS) substrate is engineered for highly sensitive detection of microplastics. Through morphology modulation and band-gap engineering, the semiconductor Ta2O5 is structured into spheres and composited with silver nanoparticles [...] Read more.
Herein, a high-performance Ta2O5/AgNPs composite Surface-Enhanced Raman Scattering (SERS) substrate is engineered for highly sensitive detection of microplastics. Through morphology modulation and band-gap engineering, the semiconductor Ta2O5 is structured into spheres and composited with silver nanoparticles (AgNPs), facilitating efficient charge transfer and localized surface plasmon resonance (LSPR). This architecture integrates electromagnetic (EM) and chemical (CM) enhancement mechanisms, achieving an ultra-low detection limit of 10−13 M for rhodamine 6G (R6G) with excellent linearity. Furthermore, the three-dimensional “pseudo-Neuston” network structure exhibits superior capture capability for microplastics (PS, PET, PMMA). To address spectral interference in simulated complex environments, a multi-scale deep-learning model combining wavelet transform, Convolutional Neural Networks (CNN), and Transformers is proposed. This model achieves a classification accuracy of 98.7% under high-noise conditions, significantly outperforming traditional machine learning methods. This work presents a robust strategy for environmental monitoring, offering a novel solution for precise risk assessment of microplastic pollution. Full article
Show Figures

Graphical abstract

16 pages, 3775 KB  
Article
Adaptive Layer-Dependent Threshold Function for Wavelet Denoising of ECG and Multimode Fiber Cardiorespiratory Signals
by Yuanfang Zhang, Kaimin Yu, Chufeng Huang, Ruiting Qu, Zhichun Fan, Peibin Zhu, Wen Chen and Jianzhong Hao
Sensors 2025, 25(24), 7644; https://doi.org/10.3390/s25247644 - 17 Dec 2025
Viewed by 378
Abstract
This paper proposes an adaptive layer-dependent threshold function (ALDTF) for denoising electrocardiogram (ECG) and multimode optical fiber-based cardiopulmonary signals. Based on wavelet transform, the method employs a layer-dependent threshold function strategy that utilizes the non-zero periodic peak (NZOPP) of the signal’s normalized autocorrelation [...] Read more.
This paper proposes an adaptive layer-dependent threshold function (ALDTF) for denoising electrocardiogram (ECG) and multimode optical fiber-based cardiopulmonary signals. Based on wavelet transform, the method employs a layer-dependent threshold function strategy that utilizes the non-zero periodic peak (NZOPP) of the signal’s normalized autocorrelation function to adaptively determine the optimal threshold for each decomposition layer. The core idea applies soft thresholding at lower layers (high-frequency noise) to suppress pseudo-Gibbs oscillations, and hard thresholding at higher layers (low-frequency noise) to preserve signal amplitude and morphology. The experimental results show that for ECG signals contaminated with baseline wander (BW), electrode motion (EM) artifacts, muscle artifacts (MA), and mixed (MIX) noise, ALDTF outperforms existing methods—including SWT, DTCWT, and hybrid approaches—across multiple metrics. It achieves a ΔSNR improvement of 1.68–10.00 dB, ΔSINAD improvement of 1.68–9.98 dB, RMSE reduction of 0.02–0.56, and PRD reduction of 2.88–183.29%. The method also demonstrates excellent performance on real ECG and optical fiber cardiopulmonary signals, preserving key diagnostic features like QRS complexes and ST segments while effectively suppressing artifacts. ALDTF provides an efficient, versatile solution for physiological signal denoising with strong potential in wearable real-time monitoring systems. Full article
Show Figures

Figure 1

50 pages, 16753 KB  
Article
Spectral Energy of High-Speed Over-Expanded Nozzle Flows at Different Pressure Ratios
by Manish Tripathi, Sławomir Dykas, Mirosław Majkut, Krystian Smołka, Kamil Skoczylas and Andrzej Boguslawski
Energies 2025, 18(21), 5813; https://doi.org/10.3390/en18215813 - 4 Nov 2025
Viewed by 651
Abstract
This paper addresses the long-standing question of understanding the origin and evolution of low-frequency unsteadiness interactions associated with shock waves impinging on a turbulent boundary layer in transonic flow (Mach: 1.1 to 1.3). To that end, high-speed experiments in a blowdown open-channel [...] Read more.
This paper addresses the long-standing question of understanding the origin and evolution of low-frequency unsteadiness interactions associated with shock waves impinging on a turbulent boundary layer in transonic flow (Mach: 1.1 to 1.3). To that end, high-speed experiments in a blowdown open-channel wind tunnel have been performed across a convergent–divergent nozzle for different expansion ratios (PR = 1.44, 1.6, and 1.81). Quantitative evaluation of the underlying spectral energy content has been obtained by processing time-resolved pressure transducer data and Schlieren images using the following spectral analysis methods: Fast Fourier Transform (FFT), Continuous Wavelet Transform (CWT), as well as coherence and time-lag evaluations. The images demonstrated the presence of increased normal shock-wave impact for PR = 1.44, whereas the latter were linked with increased oblique λ-foot impact. Hence, significant disparities associated with the overall stability, location, and amplitude of the shock waves, as well as quantitative assertions related to spectral energy segregation, have been inferred. A subsequent detailed spectral analysis revealed the presence of multiple discrete frequency peaks (magnitude and frequency of the peaks increasing with PR), with the lower peaks linked with large-scale shock-wave interactions and higher peaks associated with shear-layer instabilities and turbulence. Wavelet transform using the Morlet function illustrates the presence of varying intermittency, modulation in the temporal and frequency scales for different spectral events, and a pseudo-periodic spectral energy pulsation alternating between two frequency-specific events. Spectral analysis of the pixel densities related to different regions, called spatial FFT, highlights the increased influence of the feedback mechanism and coupled turbulence interactions for higher PR. Collation of the subsequent coherence analysis with the previous results underscores that lower PR is linked with shock-separation dynamics being tightly coupled, whereas at higher PR values, global instabilities, vortex shedding, and high-frequency shear-layer effects govern the overall interactions, redistributing the spectral energy across a wider spectral range. Complementing these experiments, time-resolved numerical simulations based on a transient 3D RANS framework were performed. The simulations successfully reproduced the main features of the shock motion, including the downstream migration of the mean position, the reduction in oscillation amplitude with increasing PR, and the division of the spectra into distinct frequency regions. This confirms that the adopted 3D RANS approach provides a suitable predictive framework for capturing the essential unsteady dynamics of shock–boundary layer interactions across both temporal and spatial scales. This novel combination of synchronized Schlieren imaging with pressure transducer data, followed by application of advanced spectral analysis techniques, FFT, CWT, spatial FFT, coherence analysis, and numerical evaluations, linked image-derived propagation and coherence results directly to wall pressure dynamics, providing critical insights into how PR variation governs the spectral energy content and shock-wave oscillation behavior for nozzles. Thus, for low PR flows dominated by normal shock structure, global instability of the separation zone governs the overall oscillations, whereas higher PR, linked with dominant λ-foot structure, demonstrates increased feedback from the shear-layer oscillations, separation region breathing, as well as global instabilities. It is envisaged that epistemic understanding related to the spectral dynamics of low-frequency oscillations at different PR values derived from this study could be useful for future nozzle design modifications aimed at achieving optimal nozzle performance. The study could further assist the implementation of appropriate flow control strategies to alleviate these instabilities and improve thrust performance. Full article
Show Figures

Figure 1

26 pages, 540 KB  
Article
Enhance Graph-Based Intrusion Detection in Optical Networks via Pseudo-Metapaths
by Gang Qu, Haochun Jin, Liang Zhang, Minhui Ge, Xin Wu, Haoran Li and Jian Xu
Mathematics 2025, 13(21), 3432; https://doi.org/10.3390/math13213432 - 28 Oct 2025
Cited by 1 | Viewed by 726
Abstract
Deep learning on graphs has emerged as a leading paradigm for intrusion detection, yet its performance in optical networks is often hindered by sparse labeled data and severe class imbalance, leading to an “under-reaching” issue where supervision signals fail to propagate effectively. To [...] Read more.
Deep learning on graphs has emerged as a leading paradigm for intrusion detection, yet its performance in optical networks is often hindered by sparse labeled data and severe class imbalance, leading to an “under-reaching” issue where supervision signals fail to propagate effectively. To address this, we introduce Pseudo-Metapaths: dynamic, semantically aware propagation routes discovered on-the-fly. Our framework first leverages Beta-Wavelet spectral filters for robust, frequency-aware node representations. It then transforms the graph into a dynamic heterogeneous structure using the model’s own pseudo-labels to define transient ‘normal’ or ‘anomaly’ node types. This enables an attention mechanism to learn the importance of different Pseudo-Metapaths (e.g., Anomaly–Normal–Anomaly), guiding supervision signals along the most informative routes. Extensive experiments on four benchmark datasets demonstrate quantitative superiority. Our model achieves state-of-the-art F1-scores, outperforming a strong spectral GNN backbone by up to 3.15%. Ablation studies further confirm that our Pseudo-Metapath module is critical, as its removal causes F1-scores to drop by as much as 7.12%, directly validating its effectiveness against the under-reaching problem. Full article
(This article belongs to the Special Issue Advances in Computational Methods for Network Security)
Show Figures

Figure 1

22 pages, 6803 KB  
Article
Unsupervised Change Detection Approach via Pseudo-Labeling, Machine Learning, and Spectral Index Time Series
by Fellipe Mira Chaves, Rogério Galante Negri, Larissa Mioni Vieira Alves, Adriano Bressane, Aliihsan Sekertekin, Erivaldo Antônio da Silva, Guilherme Pina Cardim and Wallace Casaca
Sustainability 2025, 17(21), 9536; https://doi.org/10.3390/su17219536 - 27 Oct 2025
Viewed by 733
Abstract
Land-use and land-cover change detection is critical for monitoring deforestation and urban expansion. In this study, we propose an unsupervised change detection approach that leverages multi-temporal satellite imagery combined with a classic machine learning algorithm trained on automatically generated pseudo-labels. Four distinct study [...] Read more.
Land-use and land-cover change detection is critical for monitoring deforestation and urban expansion. In this study, we propose an unsupervised change detection approach that leverages multi-temporal satellite imagery combined with a classic machine learning algorithm trained on automatically generated pseudo-labels. Four distinct study areas were analyzed: a tropical forest region in the Brazilian Amazon, an agricultural frontier in the Amazon, a Brazilian Savanna area undergoing transformation, and a rapidly expanding urban zone around the new Istanbul Airport, in Türkiye. The performance of the proposed approach was evaluated and compared with modern unsupervised change detection methods, including the Wavelet Energy Correlation Screening and the Temporal Convolutional Autoencoder methods. The results demonstrate that the proposed framework achieved consistently high accuracy across all four study areas, with F1-scores of approximately 0.92 in dense forest, 0.87 in an agricultural frontier, 0.91 in the savanna area, and 0.89 in an urban expansion zone. Overall, the model outperformed or matched the performance of the baseline methods, attesting to its adaptability and generalization capability in diverse environmental contexts worldwide. Full article
Show Figures

Figure 1

35 pages, 70837 KB  
Article
CAM3D: Cross-Domain 3D Adversarial Attacks from a Single-View Image via Mamba-Enhanced Reconstruction
by Ziqi Liu, Wei Luo, Sixu Guo, Jingnan Zhang and Zhipan Wang
Electronics 2025, 14(19), 3868; https://doi.org/10.3390/electronics14193868 - 29 Sep 2025
Viewed by 965
Abstract
With the widespread deployment of deep neural networks in real-world physical environments, assessing their robustness against adversarial attacks has become a central issue in AI safety. However, the existing two-dimensional adversarial methods often lack robustness in the physical world, while three-dimensional adversarial camouflage [...] Read more.
With the widespread deployment of deep neural networks in real-world physical environments, assessing their robustness against adversarial attacks has become a central issue in AI safety. However, the existing two-dimensional adversarial methods often lack robustness in the physical world, while three-dimensional adversarial camouflage generation typically relies on high-fidelity 3D models, limiting practicality. To address these limitations, we propose CAM3D, a cross-domain 3D adversarial camouflage generation framework based on single-view image input. The framework establishes an inverse graphics network based on the Mamba architecture, integrating a hybrid non-causal state-space-duality module and a wavelet-enhanced dual-branch local perception module. This design preserves global dependency modeling while strengthening high-frequency detail representation, enabling high-precision recovery of 3D geometry and texture from a single image and providing a high-quality structural prior for subsequent adversarial camouflage optimization. On this basis, CAM3D employs a progressive three-stage optimization strategy that sequentially performs multi-view pseudo-supervised reconstruction, real-image detail refinement, and cross-domain adversarial camouflage generation, thereby systematically improving the attack effectiveness of adversarial camouflage in both the digital and physical domains. The experimental results demonstrate that CAM3D substantially reduces the detection performance of mainstream object detectors, and comparative as well as ablation studies further confirm its advantages in geometric consistency, texture fidelity, and physical transferability. Overall, CAM3D offers an effective paradigm for adversarial attack research in real-world physical settings, characterized by low data dependency and strong physical generalization. Full article
(This article belongs to the Special Issue Adversarial Attacks and Defenses in AI Safety/Reliability)
Show Figures

Figure 1

19 pages, 20856 KB  
Article
A Wavelet-Recalibrated Semi-Supervised Network for Infrared Small Target Detection Under Data Scarcity
by Cheng Jiang, Jingwen Ma, Xinpeng Zhang, Chiming Tong, Zhongqi Ma and Yongshi Jie
Sensors 2025, 25(18), 5677; https://doi.org/10.3390/s25185677 - 11 Sep 2025
Cited by 1 | Viewed by 810
Abstract
Infrared small target detection has long faced significant challenges due to the extremely small size of targets, low contrast, and the scarcity of annotated data. To tackle these issues, we propose a wavelet-recalibrated semi-supervised network (WRSSNet) that integrates synthetic data augmentation, feature reconstruction, [...] Read more.
Infrared small target detection has long faced significant challenges due to the extremely small size of targets, low contrast, and the scarcity of annotated data. To tackle these issues, we propose a wavelet-recalibrated semi-supervised network (WRSSNet) that integrates synthetic data augmentation, feature reconstruction, and semi-supervised learning, aiming to fully exploit the potential of unlabeled infrared images under limited supervision. We construct a dataset containing 843 visible-light small target images and employ an improved CycleGAN model to convert them into high-quality pseudo-infrared images, effectively expanding the scale of training data for infrared small target detection. In addition, we design a lightweight wavelet-enhanced channel recalibration and fusion (WECRF) module, which integrates wavelet decomposition with both channel and spatial attention mechanisms. This module enables adaptive reweighting and efficient fusion of multi-scale features, highlighting high-frequency details and weak target responses. Extensive experiments on two public infrared small target datasets, NUAA-SIRST and IRSTD-1K, demonstrate that WRSSNet achieves superior detection accuracy and lower false alarm rates compared to several state-of-the-art methods, while maintaining low computational complexity. Full article
Show Figures

Figure 1

19 pages, 2102 KB  
Article
Multi-Modal Time-Frequency Image Fusion for Weak Target Detection on Sea Surface
by Han Wu, Hongyan Xing, Mengjie Li and Chenyu Hang
J. Mar. Sci. Eng. 2025, 13(9), 1625; https://doi.org/10.3390/jmse13091625 - 26 Aug 2025
Viewed by 976
Abstract
Aiming at the problem of harrowing target feature extraction for one-dimensional radar signals in the strong sea clutter background, this paper proposes a weak target detection method based on the combination of multi-modal time-frequency map fusion and deep learning in the sea clutter [...] Read more.
Aiming at the problem of harrowing target feature extraction for one-dimensional radar signals in the strong sea clutter background, this paper proposes a weak target detection method based on the combination of multi-modal time-frequency map fusion and deep learning in the sea clutter background. The one-dimensional signal is converted into three gray-scale maps with complementary characteristics by three signal processing methods: normalized continuous wavelet transform, Normalized Smooth Pseudo Wigner-Ville Distribution, and recurrence plot; the resulting two-dimensional grayscale maps are adaptively mapped to the R, G, and B channels through an adaptive weighting matrix for feature fusion, ultimately generating a fused color image. Subsequently, an improved multi-modal EfficientNetV2s classification framework was constructed, wherein the decision threshold of the Softmax layer was optimized to achieve controllable false alarm rates for weak signal detection. Experiments are carried out on the IPIX dataset and the China Yantai dataset, and the proposed method achieves certain improvement in detection performance compared with existing detection methods. Full article
(This article belongs to the Section Ocean Engineering)
Show Figures

Figure 1

26 pages, 12108 KB  
Article
Image Encryption Algorithm Based on an Improved Tent Map and Dynamic DNA Coding
by Wei Zhou, Xianwei Li and Zhenghua Xin
Entropy 2025, 27(8), 796; https://doi.org/10.3390/e27080796 - 26 Jul 2025
Viewed by 1154
Abstract
As multimedia technologies evolve, digital images have become increasingly prevalent across various fields, highlighting an urgent demand for robust image privacy and security mechanisms. However, existing image encryption algorithms (IEAs) still face limitations in balancing strong security, real-time performance, and computational efficiency. Therefore, [...] Read more.
As multimedia technologies evolve, digital images have become increasingly prevalent across various fields, highlighting an urgent demand for robust image privacy and security mechanisms. However, existing image encryption algorithms (IEAs) still face limitations in balancing strong security, real-time performance, and computational efficiency. Therefore, we proposes a new IEA that integrates an improved chaotic map (Tent map), an improved Zigzag transform, and dynamic DNA coding. Firstly, a pseudo-wavelet transform (PWT) is applied to plain images to produce four sub-images I1, I2, I3, and I4. Secondly, the improved Zigzag transform and its three variants are used to rearrange the sub-image I1, and then the scrambled sub-image is diffused using XOR operation. Thirdly, an inverse pseudo-wavelet transform (IPWT) is employed on the four sub-images to reconstruct the image, and then the reconstructed image is encoded into a DNA sequence utilizing dynamic DNA encoding. Finally, the DNA sequence is scrambled and diffused employing DNA-level index scrambling and dynamic DNA operations. The experimental results and performance evaluations, including chaotic performance evaluation and comprehensive security analysis, demonstrate that our IEA achieves high key sensitivity, low correlation, excellent entropy, and strong resistance to common attacks. This highlights its potential for deployment in real-time, high-security image cryptosystems, especially in fields such as medical image security and social media privacy. Full article
(This article belongs to the Section Multidisciplinary Applications)
Show Figures

Figure 1

17 pages, 2768 KB  
Article
An Accelerated Editing Method for Stress Signal on Combine Harvester Chassis Using Wavelet Transform
by Shengcao Huang, Zihan Yang, Zhenghe Song, Zhiwei Yu, Xiaobo Guo and Du Chen
Sensors 2025, 25(13), 4100; https://doi.org/10.3390/s25134100 - 30 Jun 2025
Viewed by 710
Abstract
This paper presents a load spectrum acceleration editing method based on wavelet transform. The principle of the method is to decompose the target signal using wavelet transform to obtain high-frequency wavelet components, which are classified and combined based on their frequency components for [...] Read more.
This paper presents a load spectrum acceleration editing method based on wavelet transform. The principle of the method is to decompose the target signal using wavelet transform to obtain high-frequency wavelet components, which are classified and combined based on their frequency components for accelerated editing. During the damage segment identification stage, a threshold selection method based on the pseudo-damage gradient of the segment identification results is proposed. An envelope-based damage identification method is used to extract high-damage segments from the original signal, which are then concatenated to form an accelerated signal. Using the stress signal on the chassis of a combine harvester as a case study, the effectiveness of various accelerated editing methods is compared, with a discussion on the selection of wavelet function parameters. The results indicate that, compared to the time-domain damage retention method and the traditional wavelet transform accelerated editing method, the proposed improvement enhances the acceleration effect of the time-domain signal by 7.76% and 15.92%, respectively. The accelerated signal is consistent with the original signal in terms of statistical parameters and power spectral density. Additionally, we also found that an appropriate selection of the wavelet function’s vanishing moment can further reduce the time-domain signal length of the accelerated result by 4.8%. This study can provide beneficial experiential references for load spectrum development in the accelerated durability testing of agricultural machinery. Full article
(This article belongs to the Section Smart Agriculture)
Show Figures

Figure 1

24 pages, 37475 KB  
Article
Synergistic WSET-CNN and Confidence-Driven Pseudo-Labeling for Few-Shot Aero-Engine Bearing Fault Diagnosis
by Shiqian Wu, Lifei Yang and Liangliang Tao
Processes 2025, 13(7), 1970; https://doi.org/10.3390/pr13071970 - 22 Jun 2025
Cited by 2 | Viewed by 687
Abstract
Reliable fault diagnosis in aero-engine bearing systems is essential for maintaining process stability and safety. However, acquiring fault samples in aerospace applications is costly and difficult, resulting in severely limited data for model training. Traditional methods often perform poorly under such constraints, lacking [...] Read more.
Reliable fault diagnosis in aero-engine bearing systems is essential for maintaining process stability and safety. However, acquiring fault samples in aerospace applications is costly and difficult, resulting in severely limited data for model training. Traditional methods often perform poorly under such constraints, lacking the ability to extract discriminative features or effectively correlate observed signal changes with underlying process faults. To address this challenge, this study presents a process-oriented framework—WSET-CNN-OOA-LSSVM—designed for effective fault recognition in small-sample scenarios. The framework begins with Wavelet Synchroextracting Transform (WSET), enhancing time–frequency resolution and capturing energy-concentrated fault signatures that reflect degradation along the process timeline. A tailored CNN with asymmetric pooling and progressive dropout preserves temporal dynamics while preventing overfitting. To compensate for limited labels, confidence-based pseudo-labeling is employed, guided by Mahalanobis distance and adaptive thresholds to ensure reliability. Classification is finalized using an Osprey Optimization Algorithm (OOA)-enhanced Least Squares SVM, which adapts decision boundaries to reflect subtle process state transitions. Validated on both test bench and real aero-engine data, the framework achieves 93.4% accuracy with only five fault samples per class and 100% in full-scale scenarios, outperforming eight existing methods. Therefore, the experimental results confirm that the proposed framework can effectively overcome the data scarcity challenge in aerospace bearing fault diagnosis, demonstrating its practical viability for few-shot learning applications in industrial condition monitoring. Full article
(This article belongs to the Section Process Control and Monitoring)
Show Figures

Figure 1

14 pages, 1609 KB  
Article
Wavelet-Based P-Wave Detection in High-Rate GNSS Data: A Novel Approach for Rapid Earthquake Monitoring in Tsunamigenic Settings
by Ajat Sudrajat, Irwan Meilano, Hasanuddin Z. Abidin, Susilo Susilo, Thomas Hardy, Brilian Tatag Samapta, Muhammad Al Kautsar and Retno Agung P. Kambali
Sensors 2025, 25(13), 3860; https://doi.org/10.3390/s25133860 - 21 Jun 2025
Viewed by 2409
Abstract
Rapid and accurate detection of primary waves (P-waves) using high-rate Global Navigation Satellite System (GNSS) data is essential for earthquake monitoring and tsunami early warning systems, where traditional seismic methods are less effective in noisy environments. We applied a wavelet-based method using a [...] Read more.
Rapid and accurate detection of primary waves (P-waves) using high-rate Global Navigation Satellite System (GNSS) data is essential for earthquake monitoring and tsunami early warning systems, where traditional seismic methods are less effective in noisy environments. We applied a wavelet-based method using a Mexican hat wavelet and dynamic threshold to thoroughly analyze the three-component displacement waveforms of the 2009 Padang, 2012 Simeulue, and 2018 Palu Indonesian earthquakes. Data from the Sumatran GPS Array and Indonesian Continuously Operating Reference Stations were analyzed to determine accurate displacements and P-waves. Validation with Indonesian geophysical agency seismic records indicated reliable detection of the horizontal component, with a time delay of less than 90 s, whereas the vertical component detection was inconsistent, owing to noise. Spectrogram analysis revealed P-wave energy in the pseudo-frequency range of 0.02–0.5 Hz and confirmed the method’s sensitivity to low-frequency signals. This approach illustrates the utility of GNSS data as a complement to seismic networks for the rapid characterization of earthquakes in complex tectonic regions. Improving the vertical component noise suppression might further help secure their utility in real-time early warning systems. Full article
(This article belongs to the Special Issue Advances in GNSS Signal Processing and Navigation)
Show Figures

Figure 1

26 pages, 6854 KB  
Article
An Improved Wavelet Soft-Threshold Function Integrated with SVMD Dual-Parameter Joint Denoising for Ancient Building Deformation Monitoring
by Jiaxing Zhao, Houzeng Han, Yang Deng, Youqiang Dong, Jian Wang and Wenjin Chen
Remote Sens. 2025, 17(12), 2057; https://doi.org/10.3390/rs17122057 - 14 Jun 2025
Cited by 2 | Viewed by 975
Abstract
In deformation monitoring, complex environments, such as seismic excitation, often lead to noise during signal acquisition and transmission processing. This study integrates sequential variational mode decomposition (SVMD), a dual-parameter (DP) model, and an improved wavelet threshold function (IWT), presenting a denoising method termed [...] Read more.
In deformation monitoring, complex environments, such as seismic excitation, often lead to noise during signal acquisition and transmission processing. This study integrates sequential variational mode decomposition (SVMD), a dual-parameter (DP) model, and an improved wavelet threshold function (IWT), presenting a denoising method termed SVMD-DP-IWT. Initially, SVMD decomposes the signal to obtain intrinsic mode functions (IMFs). Subsequently, the DP parameters are determined using fuzzy entropy. Finally, the noisy IMFs denoised by IWT and the signal IMFs are used for signal reconstruction. Both simulated and engineering measurements validate the performance of the proposed method in mitigating noise. In simulation experiments, compared to wavelet soft-threshold function (WST) with the sqtwolog threshold, the root-mean-square error (RMSE) of SVMD-Dual-CC-WST (sqtwolog threshold), SVMD-DP-IWT (sqtwolog threshold), and SVMD-DP-IWT (minimaxi threshold) improved by 51.44%, 52.13%, and 52.49%, respectively. Global navigation satellite system (GNSS) vibration monitoring was conducted outdoors, and the accelerometer vibration monitoring experiment was performed on a pseudo-classical building in a multi-functional shaking table laboratory. GNSS displacement data and acceleration data were collected, and analyses of the acceleration signal characteristics were performed. SVMD-DP-IWT (sqtwolog) and SVMD-DP-IWT (minimaxi) effectively retain key vibration signal features during the denoising process. The proposed method significantly preserves vibration features during noise reduction of an ancient building in deformation monitoring, which is crucial for damage assessment. Full article
Show Figures

Figure 1

32 pages, 419 KB  
Article
A New Wavelet Transform and Its Localization Operators
by Saifallah Ghobber and Hatem Mejjaoli
Mathematics 2025, 13(11), 1771; https://doi.org/10.3390/math13111771 - 26 May 2025
Cited by 5 | Viewed by 1125
Abstract
In the present paper we define and study a new wavelet transformation associated to the linear canonical Dunkl transform (LCDT), which has been widely used in signal processing and other related fields. Then we define and study a class of pseudo-differential operators known [...] Read more.
In the present paper we define and study a new wavelet transformation associated to the linear canonical Dunkl transform (LCDT), which has been widely used in signal processing and other related fields. Then we define and study a class of pseudo-differential operators known as time-frequency (or localization) operators and we give criteria for its boundedness and Schatten class properties. Full article
(This article belongs to the Section C: Mathematical Analysis)
13 pages, 1342 KB  
Article
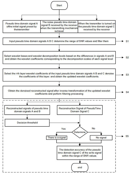
Detection of Weak Radar Return Signals Based on Pseudo-Time Domain Algorithm
by Kaili Wang, Kai Yuan, Bo Bai and Rongxin Tang
Appl. Sci. 2025, 15(9), 5173; https://doi.org/10.3390/app15095173 - 6 May 2025
Viewed by 1124
Abstract
When the signal-to-noise ratio (SNR) falls below −10 dB, signals are considered weak. Radar systems, particularly those on small platforms like drones and satellites, often face this challenge due to limited power, resulting in low transmit power and weak signals. Additionally, ambient noises [...] Read more.
When the signal-to-noise ratio (SNR) falls below −10 dB, signals are considered weak. Radar systems, particularly those on small platforms like drones and satellites, often face this challenge due to limited power, resulting in low transmit power and weak signals. Additionally, ambient noises in the detection environment can further obscure the echo signal, leading to low SNR. Satellite-based radar systems are further constrained by processing capabilities and limitations in data transmission bandwidth and communication time windows. As a result, received radar signals are often transformed into a frequency spectrum and relayed to ground stations for offline processing. To address these challenges, this study proposes a novel method that treats the frequency spectrum of the echo signal as an impulse signal and interprets the frequency domain as a “pseudo-time domain”. By applying conventional time-domain waveform detection methods, such as wavelet analysis, in this “pseudo-time domain”, we can significantly enhance the success rate and accuracy of offline detection for weak echo signals. Numerical simulations show that this approach can handle SNR as low as −34 dB or even lower, which achieves notable denoising effects and improves signal quality. In cases where the SNR reaches −40 dB, the detection success rate exceeds 95% in most instances. Outdoor experiments also maintain a 90% accuracy rate even at −34 dB SNR. Full article
(This article belongs to the Section Applied Physics General)
Show Figures

Figure 1

Back to TopTop