Sign in to use this feature.

Years

Between: -

Subjects

remove_circle_outline
remove_circle_outline
remove_circle_outline
remove_circle_outline
remove_circle_outline
remove_circle_outline

Journals

Article Types

Countries / Regions

Search Results (21)

Search Parameters:
Keywords = pseudo-random pulsing signal

Order results
Result details
Results per page
Select all
Export citation of selected articles as:
14 pages, 1376 KB  
Article
Ultra-Wideband Analog Radio-over-Fiber Communication System Employing Pulse-Position Modulation
by Sandis Migla, Kristaps Rubuls, Nikolajs Tihomorskis, Toms Salgals, Oskars Ozolins, Vjaceslavs Bobrovs, Sandis Spolitis and Arturs Aboltins
Appl. Sci. 2025, 15(8), 4222; https://doi.org/10.3390/app15084222 - 11 Apr 2025
Viewed by 1130
Abstract
This research presents a novel approach to 28 GHz impulse radio ultra-wideband (IR-UWB) transmission using pulse position modulation (PPM) over an analog radio-over-fiber (ARoF) link, investigating the impact of fiber-based fronthaul on the overall performance of the communication system. In this setup, an [...] Read more.
This research presents a novel approach to 28 GHz impulse radio ultra-wideband (IR-UWB) transmission using pulse position modulation (PPM) over an analog radio-over-fiber (ARoF) link, investigating the impact of fiber-based fronthaul on the overall performance of the communication system. In this setup, an arbitrary waveform generator (AWG) is employed for PPM signal generation, while demodulation is performed with a commercial time-to-digital converter (TDC) based on an event timer. To enhance the reliability of transmitted reference PPM (TR-PPM) signals, the transmission system integrates Gray coding and Consultative Committee for Space Data Systems (CCSDS)-standard-compliant Reed-Solomon (RS) error correcting code (ECC). System performance was evaluated by transmitting pseudorandom binary sequences (PRBSs) and measuring the bit error ratio (BER) across a 5-m wireless link between two 20 dBi gain horn (Ka-band) antennas, with and without a 20 km single-mode optical fiber (SMF) link in transmitter side and ECC at the receiver side. The system achieved a BER of less than 8.17 × 10−7, using a time bin duration of 200 ps and a pulse duration of 100 ps, demonstrating robust performance and significant potential for space-to-ground telecommunication applications. Full article
(This article belongs to the Special Issue Recent Advances in Microwave Devices and Intelligent Systems)
Show Figures

Figure 1

17 pages, 4611 KB  
Article
Analysis of Deep-Sea Acoustic Ranging Features for Enhancing Measurement Capabilities in the Study of the Marine Environment
by Grigory Dolgikh, Yuri Morgunov, Aleksandr Golov, Aleksandr Burenin and Sergey Shkramada
J. Mar. Sci. Eng. 2024, 12(12), 2365; https://doi.org/10.3390/jmse12122365 - 23 Dec 2024
Viewed by 1192
Abstract
This article explores the features of using hydroacoustic methods to measure and monitor climate-induced temperature variations along acoustic paths in the Sea of Japan. It delves into effective techniques for controlling and positioning of deep-sea autonomous measuring systems (DSAMS) for diverse applications. Theoretical [...] Read more.
This article explores the features of using hydroacoustic methods to measure and monitor climate-induced temperature variations along acoustic paths in the Sea of Japan. It delves into effective techniques for controlling and positioning of deep-sea autonomous measuring systems (DSAMS) for diverse applications. Theoretical and experimental findings from research conducted in the Sea of Japan in August 2023 along a 144.4 km acoustic route under summer–autumn hydrological conditions, including the aftermath of the powerful typhoon “Khanun”, are presented. The main hydrological regime characteristics for this period are compared with data obtained in 2022. This study explores the transmission of pulsed pseudorandom signals from a broad shelf into the deep area of the sea, with receptions occurring at depths of 69, 126, 680, and 914 m. An experiment was conducted to receive broadband pulse signals centered at a frequency of 400 Hz, located 144.4 km from the source of navigation signals (SNS), which is positioned on the shelf at a depth of 30 m in waters that are 45 m deep. A system of hydrophones, deployed to depths of up to 1000 m, was utilized to capture signal data, allowing for prolonged recording at fixed depths or during descent. An analysis of the experimentally acquired impulse characteristics revealed a series of ray arrivals lasting approximately 0.5 s, with a peak consistently observed across all depths. Findings from both full-scale and numerical experiments enabled the assessment of impulse characteristics within an acoustic waveguide, the calculation of effective signal propagation speeds at varying depths, and the development of conclusions regarding the viability of tackling control and positioning challenges for DSAMS at depths reaching up to 1000 m and distances spanning hundreds of kilometers from control stations. Full article
(This article belongs to the Section Physical Oceanography)
Show Figures

Figure 1

25 pages, 5533 KB  
Article
Pulsed Orthogonal Time Frequency Space: A Fast Acquisition and High-Precision Measurement Signal for Low Earth Orbit Position, Navigation, and Timing
by Dong Fu, Honglei Lin, Ming Ma, Muzi Yuan and Gang Ou
Remote Sens. 2024, 16(23), 4432; https://doi.org/10.3390/rs16234432 - 27 Nov 2024
Cited by 3 | Viewed by 1236
Abstract
The recent rapid development of low Earth orbit (LEO) constellation-based navigation techniques has enhanced the ability of position, navigation, and timing (PNT) services in deep attenuation and interference environments. However, existing navigation modulations face the challenges of high acquisition complexity and do not [...] Read more.
The recent rapid development of low Earth orbit (LEO) constellation-based navigation techniques has enhanced the ability of position, navigation, and timing (PNT) services in deep attenuation and interference environments. However, existing navigation modulations face the challenges of high acquisition complexity and do not improve measurement precision at the same signal strength. We propose a pulsed orthogonal time frequency space (Pulse-OTFS) signal, which naturally converts continuous signals into pulses through a special delay-Doppler domain pseudorandom noise (PRN) code sequence arrangement. The performance evaluation indicates that the proposed signal reduces at least 89.4% of the acquisition complexity. The delay measurement accuracy is about 8 dB better than that of the traditional binary phase shift keying (BPSK) signals with the same bandwidth. It also provides superior compatibility and anti-multipath performance. The advantages of fast acquisition and high-precision measurement are verified by processing the real signal in the developed software receiver. As Pulse-OTFS occupies only one time slot of a signal period, it can be easily integrated with OTFS-modulated communication signals and used as a navigation signal from broadband LEO satellites as an effective complement to the global navigation satellite system (GNSS). Full article
(This article belongs to the Special Issue LEO-Augmented PNT Service)
Show Figures

Graphical abstract

21 pages, 6180 KB  
Article
Adaptive Measurement and Parameter Estimation for Low-SNR PRBC-PAM Signal Based on Adjusting Zero Value and Chaotic State Ratio
by Minghui Lv, Xiaopeng Yan, Ke Wang, Xinhong Hao and Jian Dai
Mathematics 2024, 12(20), 3203; https://doi.org/10.3390/math12203203 - 12 Oct 2024
Viewed by 1293
Abstract
Accurately estimating the modulation parameters of pseudorandom binary code–pulse amplitude modulation (PRBC–PAM) signals damaged by strong noise poses a significant challenge in emitter identification and countermeasure. Traditionally, weak signal detection methods based on chaos theory can handle situations with low signal-to-noise ratio, but [...] Read more.
Accurately estimating the modulation parameters of pseudorandom binary code–pulse amplitude modulation (PRBC–PAM) signals damaged by strong noise poses a significant challenge in emitter identification and countermeasure. Traditionally, weak signal detection methods based on chaos theory can handle situations with low signal-to-noise ratio, but most of them are developed for simple sin/cos waveform and cannot face PRBC–PAM signals commonly used in ultra-low altitude performance equipment. To address the issue, this article proposes a novel adaptive detection and estimation method utilizing the in-depth analysis of the Duffing oscillator’s behaviour and output characteristics. Firstly, the short-time Fourier transform (STFT) is used for chaotic state identification and ternary processing. Then, two novel approaches are proposed, including the adjusting zero value (AZV) method and the chaotic state ratio (CSR) method. The proposed weak signal detection system exhibits unique capability to adaptively modify its internal periodic driving force frequency, thus altering the difference frequency to estimate the signal parameters effectively. Furthermore, the accuracy of the proposed method is substantiated in carrier frequency estimation under varying SNR conditions through extensive experiments, demonstrating that the method maintains high precision in carrier frequency estimation and a low bit error rate in both the pseudorandom sequence and carrier frequency, even at an SNR of −30 dB. Full article
Show Figures

Figure 1

10 pages, 3327 KB  
Article
A Theoretical and Experimental Analysis of the Time-Domain Characteristics of a PRBS Phase-Modulated Laser System
by Yun Zhu, Ying Li, Dong Li, Lin Dong, Xuesheng Liu, Anru Yan, Youqiang Liu and Zhiyong Wang
Appl. Sci. 2024, 14(20), 9198; https://doi.org/10.3390/app14209198 - 10 Oct 2024
Cited by 1 | Viewed by 1552
Abstract
Pseudo-Random Binary Sequence (PRBS) phase modulation is an effective method for suppressing the stimulated Brillouin scattering (SBS) effect generated by narrow-linewidth fiber lasers during amplification. We noticed that backward time-domain pulses were generated when using PRBS modulation signals in fiber amplification. In this [...] Read more.
Pseudo-Random Binary Sequence (PRBS) phase modulation is an effective method for suppressing the stimulated Brillouin scattering (SBS) effect generated by narrow-linewidth fiber lasers during amplification. We noticed that backward time-domain pulses were generated when using PRBS modulation signals in fiber amplification. In this paper, the time-domain dynamic characteristics of the forward output laser and the backward Stokes light after PRBS phase modulation were studied theoretically. Through analyzing the transient SBS three-wave coupling theory and combining it with the SBS accumulation time constant, we knew that the forward and backward high-intensity pulses were caused by the long dwell time of the PRBS. For this purpose, we provided a new method for suppressing high-intensity pulses caused by a long dwell time; namely, we modified the maximum length sequence (MLS) of PRBS signals to eliminate the long dwell time, took the PRBS-9 signal at 1 GHz as an example, and then used MLS1 modulation and MLS2 modulation to compare them with unoptimized PRBS modulation. The output laser peaks of the MLS1 and MLS2 signals were reduced from ±55% to ±25% and ±10% relative to the original PRBSs, respectively, and the peaks of Stokes light were reduced from 39% to 19% and 11%, respectively. Additionally, we experimentally verified that the rational optimization of the sequence did not reduce the SBS threshold. The results provided a new method for suppressing high-intensity pulses during the amplification of a PRBS phase-modulated laser, which played an important role in the output stability of high-power narrow-linewidth fiber amplifiers. Full article
(This article belongs to the Special Issue Smart Fiber Lasers)
Show Figures

Figure 1

16 pages, 4149 KB  
Article
AK-MADDPG-Based Antijamming Strategy Design Method for Frequency Agile Radar
by Zhidong Zhu, Xiaoying Deng, Jian Dong, Cheng Feng and Xiongjun Fu
Sensors 2024, 24(11), 3445; https://doi.org/10.3390/s24113445 - 27 May 2024
Cited by 3 | Viewed by 1729
Abstract
Frequency agility refers to the rapid variation of the carrier frequency of adjacent pulses, which is an effective radar active antijamming method against frequency spot jamming. Variation patterns of traditional pseudo-random frequency hopping methods are susceptible to analysis and decryption, rendering them ineffective [...] Read more.
Frequency agility refers to the rapid variation of the carrier frequency of adjacent pulses, which is an effective radar active antijamming method against frequency spot jamming. Variation patterns of traditional pseudo-random frequency hopping methods are susceptible to analysis and decryption, rendering them ineffective against increasingly sophisticated jamming strategies. Although existing reinforcement learning-based methods can adaptively optimize frequency hopping strategies, they are limited in adapting to the diversity and dynamics of jamming strategies, resulting in poor performance in the face of complex unknown jamming strategies. This paper proposes an AK-MADDPG (Adaptive K-th order history-based Multi-Agent Deep Deterministic Policy Gradient) method for designing frequency hopping strategies in frequency agile radar. Signal pulses within a coherent processing interval are treated as agents, learning to optimize their hopping strategies in the case of unknown jamming strategies. Agents dynamically adjust their carrier frequencies to evade jamming and collaborate with others to enhance antijamming efficacy. This approach exploits cooperative relationships among the pulses, providing additional information for optimized frequency hopping strategies. In addition, an adaptive K-th order history method has been introduced into the algorithm to capture long-term dependencies in sequential data. Simulation results demonstrate the superior performance of the proposed method. Full article
Show Figures

Figure 1

20 pages, 10289 KB  
Article
Design of a New Neuro-Generator with a Neuronal Module to Produce Pseudorandom and Perfectly Pseudorandom Sequences
by María de Lourdes Rivas Becerra, Juan José Raygoza Panduro, Susana Ortega Cisneros, Edwin Christian Becerra Álvarez and Jaime David Rios Arrañaga
Electronics 2024, 13(10), 1955; https://doi.org/10.3390/electronics13101955 - 16 May 2024
Cited by 1 | Viewed by 1440
Abstract
This paper presents the design of a new neuro-generator of pseudorandom number type PRNG Pseudorandom Number Generator, which produces complex sequences with an adequate bit distribution. The circuit is connected to a neuronal module with six impulse neurons with different behaviors: spike [...] Read more.
This paper presents the design of a new neuro-generator of pseudorandom number type PRNG Pseudorandom Number Generator, which produces complex sequences with an adequate bit distribution. The circuit is connected to a neuronal module with six impulse neurons with different behaviors: spike frequency adaptation, phasic spiking, mixed mode, phasic bursting, tonic bursting and tonic spiking. This module aims to generate a non-periodic signal that becomes the clock signal for one of the LFSRs Linear Feedback Shift Register that the neuro-generator has. To verify its correct operation, the neuro-generator was subjected to a series of tests where the frequencies of the impulse neurons were modified. This modification allows the generation of a greater number of pulses at the output of the neuronal module, to obtain sequences with different characteristics that pass different NIST statistical tests (National Institute of Standards and Technology of U.S.). The results show that the new neuro-generator maintains pseudo-randomness in the sequences obtained with different frequencies and it can be implemented on a reconfigurable FPGA Field Programmable Gate Array Virtex 7 xc7vx485t-2ffg1761 device. Therefore, it can be used for applications such as biological systems. Full article
Show Figures

Figure 1

18 pages, 17976 KB  
Article
Studies on High-Resolution Airborne Synthetic Aperture Radar Image Formation with Pseudo-Random Agility of Interpulse Waveform Parameters
by Zheng Ye, Daiyin Zhu, Shilin Niu and Jiming Lv
Remote Sens. 2024, 16(1), 164; https://doi.org/10.3390/rs16010164 - 30 Dec 2023
Cited by 3 | Viewed by 2438
Abstract
By means of alteration of the transmitted linear frequency modulation (LFM) signal waveform parameters, such as pulse width or chirp rate, initial phase, pulse repetition interval (PRI), and chirp rate polarity at every position of synthetic apertures, the pseudo-random agility technology of interpulse [...] Read more.
By means of alteration of the transmitted linear frequency modulation (LFM) signal waveform parameters, such as pulse width or chirp rate, initial phase, pulse repetition interval (PRI), and chirp rate polarity at every position of synthetic apertures, the pseudo-random agility technology of interpulse waveform parameters in airborne Synthetic Aperture Radar (SAR) actively increases the complexity and uncertainty of radar waveforms. This technology confuses jamming interception receivers, thus improving its anti-interference ability for active coherent jamming, which is one of the main research interests of airborne SAR technology. But the pseudo-random agility technology for interpulse waveform parameters faces certain challenges of large computation and complex system design, which need to be further studied and solved. To address these issues, a processing scheme of high-resolution SAR image formation which is appropriate for agile interpulse waveform parameters is proposed in this paper. This method can deal with multiple agile parameters, not only single ones as in most existing literature. Its computation load is nearly comparable to that of traditional SAR image formation with constant waveform parameters. The high-resolution SAR imaging results obtained by processing SAR raw data with agile interpulse waveform parameters demonstrate the effectiveness of the proposed method. In addition, real SAR images with resolutions of 0.5 m and 0.15 m, which are rarely found in the public literature, are shown under the circumstance of randomly changing the transmitted wideband LFM signal pulse parameters one by one. Full article
(This article belongs to the Special Issue Advances in Synthetic Aperture Radar Data Processing and Application)
Show Figures

Figure 1

17 pages, 4036 KB  
Article
A Novel Non-Coherent Q-Ary TH-PPM Transceiver
by Peng Wang, Jie Tian, Duoye Li, Peng Fei and Xianhua Shi
Sensors 2024, 24(1), 105; https://doi.org/10.3390/s24010105 - 25 Dec 2023
Viewed by 1301
Abstract
Time-hopping pulse position modulation (TH-PPM) stands out as a secure communication due to the pseudo-random characteristics of its time-hopping sequence. However, the conventional TH-PPM transceiver encounters challenges in implementation, particularly in achieving the requisite high precision for synchronization. This paper introduces a novel [...] Read more.
Time-hopping pulse position modulation (TH-PPM) stands out as a secure communication due to the pseudo-random characteristics of its time-hopping sequence. However, the conventional TH-PPM transceiver encounters challenges in implementation, particularly in achieving the requisite high precision for synchronization. This paper introduces a novel non-coherent Q-ary TH-PPM transceiver, designed to surpass the Bit error rate (BER) performance of conventional TH-PPM transceivers in scenarios under non-ideal synchronization conditions, which also being straightforward to implement. Firstly, we provide an overview of the conventional TH-PPM transceiver. Secondly, the novel TH-PPM transceiver is introduced. In this context, a novel method for generating the TH-PPM signal is proposed for the transmitter, and a parallel matched-filter algorithm, adapted to the new TH-PPM signal, is presented for the receiver. Subsequently, the investigation delves into an in-depth analysis of BER performance, considering both ideal synchronization conditions and non-ideal synchronization conditions, for both the conventional and the new TH-PPM transceiver. Furthermore, the paper proposes a numerical simulation to validate the theoretical findings. The results demonstrate that the new TH-PPM transceiver outperforms the conventional counterpart by showing better BER performance in scenarios with non-ideal synchronization conditions. Full article
(This article belongs to the Special Issue Secure Communication for Next-Generation Wireless Networks)
Show Figures

Figure 1

21 pages, 5758 KB  
Article
CMOS Wireless Hybrid Transceiver Powered by Integrated Photodiodes for Ultra-Low-Power IoT Applications
by Sasan Nikseresht, Daniel Fernández, Jordi Cosp-Vilella, Irina Selin-Lorenzo and Jordi Madrenas
Electronics 2024, 13(1), 28; https://doi.org/10.3390/electronics13010028 - 20 Dec 2023
Cited by 2 | Viewed by 2016
Abstract
In this article, a communication platform for a self-powered integrated light energy harvester based on a wireless hybrid transceiver is proposed. It consists of an optical receiver and a reconfigurable radio frequency (RF) transmitter. The hybrid optical/RF communication approach improves load balancing, energy [...] Read more.
In this article, a communication platform for a self-powered integrated light energy harvester based on a wireless hybrid transceiver is proposed. It consists of an optical receiver and a reconfigurable radio frequency (RF) transmitter. The hybrid optical/RF communication approach improves load balancing, energy efficiency, security, and interference reduction. A light beam for communication in the downlink, coupled with a 1 MHz radio frequency signal for the uplink, offers a small area and ultra-low-power consumption design for Smart Dust/IoT applications. The optical receiver employs a new charge-pump-based technique for the automatic acquisition of a reference voltage, enabling compensation for comparator offset errors and variations in DC-level illumination. On the uplink side, the reconfigurable transmitter supports OOK/FSK/BPSK data modulation. Electronic components and the energy harvester, including integrated photodiodes, have been designed, fabricated, and experimentally tested in a 0.18 µm triple-well CMOS technology in a 1.5 × 1.3 mm2 chip area. Experiments show the correct system behavior for general and pseudo-random stream input data, with a minimum pulse width of 50 µs and a data transmission rate of 20 kb/s for the optical receiver and 1 MHz carrier frequency. The maximum measured power of the signal received from the transmitter is approximately −18.65 dBm when using a light-harvested power supply. Full article
Show Figures

Figure 1

12 pages, 3069 KB  
Article
Kalman Filter Based Pseudo-Code Ranging and Carrier Phase Measurement for Fiber Optical Time Transfer Method
by Hongyan Sun, Hang Gong and Jing Peng
Photonics 2023, 10(9), 981; https://doi.org/10.3390/photonics10090981 - 28 Aug 2023
Cited by 1 | Viewed by 1696
Abstract
In the optical fiber time transfer system, fiber optic time transfer is limited by the pulse signal time delay measurement precision, and cannot benefit from a higher precision of the carrier phase information. Its transfer precision compared to the frequency transfer exists in [...] Read more.
In the optical fiber time transfer system, fiber optic time transfer is limited by the pulse signal time delay measurement precision, and cannot benefit from a higher precision of the carrier phase information. Its transfer precision compared to the frequency transfer exists in a larger gap transfer. This paper proposes a time delay measurement method based on carrier phase and pseudo-code ranging for optical time transfer. The time signal is modulated with pseudo-random code and carrier at the transmitter, and the time delay is measured at the receiver by the methods of pseudo-code ranging and carrier phase measurement. The time transfer is achieved by eliminating the transmission link delay through a two-way method. The first-order difference value of the carrier phase measurement and the pseudo-code ranging measurement are used as the observation quantities, and they are fused through a Kalman filtering method to finally obtain the high-precision time difference measurement. We validate the theory on the common-clock experimental platform over a 50 km fiber link, The time transfer stabilities of the systems are 5.2254×1014/s and 2.146×1016/104 s (modified Allan deviation), 3.0169×1014/s and 1.2392×1012/104 s (time deviation). The standard deviation of the time transfer system after fusion can reach 2.4255 ps. Full article
(This article belongs to the Special Issue Optical Communication, Sensing and Network)
Show Figures

Figure 1

17 pages, 19423 KB  
Article
Blind Separation of the Measured Mixed Cyclostationary Waveforms in Transmission Lines of the PCB
by Yury V. Kuznetsov, Andrey B. Baev, Maxim A. Konovalyuk and Anastasia A. Gorbunova
Electronics 2023, 12(15), 3272; https://doi.org/10.3390/electronics12153272 - 30 Jul 2023
Cited by 5 | Viewed by 1426
Abstract
Crosstalk is an undesirable factor that degrades the quality of data transmission in printed circuit boards (PCBs). The signal integrity (SI) in multiconductor transmission lines is controlled by using a large number of multiport tests and measurements, which require a lot of time [...] Read more.
Crosstalk is an undesirable factor that degrades the quality of data transmission in printed circuit boards (PCBs). The signal integrity (SI) in multiconductor transmission lines is controlled by using a large number of multiport tests and measurements, which require a lot of time and expensive laboratory equipment. Proposed signal processing methods based on blind identification allow a reduction in the measurement burden. Contrary to the traditional approach requiring knowledge of sampling time offset, input pseudorandom bit sequence (PRBS), and time delay between received data and transmitted PRBS, the proposed alternative method performs blind separation of measured data for the linear fit pulse response (LFPR) procedure. The waveform identification of the partial pulse responses is evaluated for additively mixed cyclostationary sources of the data, intersymbol interference, and crosstalk. A mixed matrix model of composed random vectors is considered. The proposed estimation procedure is based on preprocessing of measured data using principal component analysis (PCA) and following independent component analysis (ICA). It is shown that the proposed component analysis allows diagnostics of signal integrity using eye-diagram patterns and the channel operating margin (COM). Full article
(This article belongs to the Section Computer Science & Engineering)
Show Figures

Figure 1

25 pages, 5937 KB  
Article
Design Principle of RF Stealth Anti-Sorting Signal Based on Multi-Dimensional Compound Modulation with Pseudo-Center Width Agility
by Jinwei Jia, Zhuangzhi Han, Limin Liu, Hui Xie and Meng Lv
Electronics 2022, 11(23), 4027; https://doi.org/10.3390/electronics11234027 - 5 Dec 2022
Cited by 3 | Viewed by 1927
Abstract
Anti-sorting signal design is an important direction of radio frequency (RF) stealth signal design. The RF stealth signal design is based on the anti-sorting signal design principle, which is essentially the failure principle of the radar signal sorting algorithm. Cluster pre-sorting, the key [...] Read more.
Anti-sorting signal design is an important direction of radio frequency (RF) stealth signal design. The RF stealth signal design is based on the anti-sorting signal design principle, which is essentially the failure principle of the radar signal sorting algorithm. Cluster pre-sorting, the key to radar signal sorting, has the advantages of fast sorting, simultaneous sorting of multiple sources, and greatly reduced computational pressure of the main sorting. However, a unified and widely applicable cluster-sorting failure principle guiding the anti-sorting signal design has not been formally reported in RF stealth anti-sorting signal design. In this paper, the principles of the data field-based K-means clustering algorithm and the fuzzy C-means clustering algorithm are first studied. Aiming at the key step of data similarity measurement in the clustering algorithm, the failure principle of cluster sorting based on pseudo-center wide-agile multi-dimensional compound modulation is proposed. This principle can correctly guide the design of the anti-clustering sorting signal, so it is also called the design principle of the RF stealth anti-sorting signal based on pseudo-center wide-agile multi-dimensional compound modulation. The correctness of the principle is proved by formula derivation, signal simulation, and a sorting experiment. Through a signal comparison simulation with random interference pulse anti-sorting signals, it is strongly proved that the anti-sorting performance of signals designed under the guidance of the anti-clustering signal design principle proposed in this paper is stronger than that of random interference pulse signals. This study provides theoretical support for designing RF stealth anti-sorting signals. Using the signal design principle proposed in this paper, the anti-sorting performance of the RF stealth signal is improved by 10%. The principle of signal design helps to improve design efficiency. Full article
(This article belongs to the Section Microwave and Wireless Communications)
Show Figures

Figure 1

10 pages, 4472 KB  
Article
A Track-and-Hold Circuit with Tunable Non-Linearity and a Calibration Loop for PAM-8 SerDes Receivers
by Alessio Di Pasquo, Enrico Monaco, Nicola Ghittori, Claudio Nani and Luca Fanucci
Electronics 2022, 11(14), 2199; https://doi.org/10.3390/electronics11142199 - 13 Jul 2022
Cited by 3 | Viewed by 2484
Abstract
In this brief, we propose a 60 GS/s high-linearity two-stage 8 × 8 time-interleaved track-and-hold circuit where it is possible to tune the static non-linearities of the second-stage buffer by applying a proper bias voltage. This allows us to maximize the static linearity [...] Read more.
In this brief, we propose a 60 GS/s high-linearity two-stage 8 × 8 time-interleaved track-and-hold circuit where it is possible to tune the static non-linearities of the second-stage buffer by applying a proper bias voltage. This allows us to maximize the static linearity of the buffer or introduce effects that counterbalance the non-linearities of other blocks of the analog front-end. To validate the proposed circuit, a prototype in TSMC 5 nm technology is designed and a linearity calibration loop is proposed for a Pulse Amplitude Modulation SerDes receiver. For the analog buffer, circuit-level simulations are performed in Cadence Virtuoso, while the calibration loop is simulated in MATLAB. The optimal bias voltage value can be found by modeling the track-and-hold linearity using a Taylor series and implementing the linearity calibration loop in MATLAB. By applying this result to the circuit-level simulation, we obtain a total harmonic distortion of over 50 dB, which matches with the maximum value achievable across the complete bias voltage control range. Lastly, the linearity of the system is also verified using a PAM-8 pseudorandom stream signal. Full article
(This article belongs to the Special Issue Design and Applications of Nonlinear Circuits and Systems)
Show Figures

Figure 1

20 pages, 3276 KB  
Article
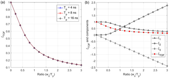
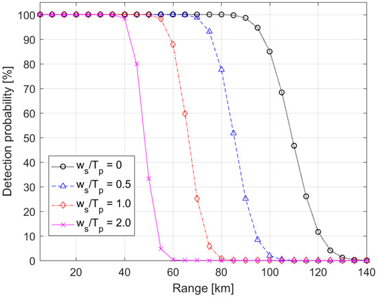
Pulse Broadening Effects on Ranging Performance of a Laser Altimeter with Return-to-Zero Pseudorandom Noise Code Modulation
by Hyung-Chul Lim, Jong Uk Park, Mansoo Choi, Eunseo Park, Ki-Pyoung Sung and Jung Hyun Jo
Sensors 2022, 22(9), 3293; https://doi.org/10.3390/s22093293 - 25 Apr 2022
Cited by 1 | Viewed by 2078
Abstract
A laser altimeter using code modulation techniques receives a backscattered pulse wider than the transmitted rectangular pulse when scanning a rough or sloped target surface. This leads to degrading the ranging performance in terms of signal-to-noise ratio (SNR) and detection probability. Unlike the [...] Read more.
A laser altimeter using code modulation techniques receives a backscattered pulse wider than the transmitted rectangular pulse when scanning a rough or sloped target surface. This leads to degrading the ranging performance in terms of signal-to-noise ratio (SNR) and detection probability. Unlike the pulsed techniques, little work has focused on the pulse broadening effect of the code modulation techniques. In this study, mathematical models were derived to investigate the pulse broadening effect on the ranging performance of a return-to-zero pseudorandom noise (RZPN) laser altimeter. Considering that the impulse response can be approximated by a Gaussian function, the analytical waveform was derived using a new flat-topped multi-Gaussian beam (FMGB) model. The closed-form expressions were also analytically derived for a peak cross-correlation, SNR, and detection probability in terms of the pulse broadening effect. With the use of a three-dimensional model of asteroid Itokawa for practical surface profiles, the analytical expressions were validated by comparing to the results obtained from numerical simulations. It was also demonstrated that the pulse broadening effect dropped down the peak cross-correlation and then deteriorated the ranging performance. These analytical expressions will play an important role in not only designing a laser altimeter using the RZPN code modulation technique but also analyzing its ranging performance. Full article
(This article belongs to the Section Optical Sensors)
Show Figures

Figure 1

Back to TopTop