Sign in to use this feature.

Years

Between: -

Subjects

remove_circle_outline
remove_circle_outline
remove_circle_outline
remove_circle_outline
remove_circle_outline
remove_circle_outline
remove_circle_outline
remove_circle_outline
remove_circle_outline

Journals

Article Types

Countries / Regions

remove_circle_outline
remove_circle_outline
remove_circle_outline
remove_circle_outline
remove_circle_outline

Search Results (356)

Search Parameters:
Keywords = protein kinase CK2

Order results
Result details
Results per page
Select all
Export citation of selected articles as:
55 pages, 9068 KB  
Article
Rationally Designed Dual Kinase Inhibitors for Management of Obstructive Sleep Apnea—A Computational Study
by Kosi Gramatikoff, Miroslav Stoykov and Mario Milkov
Biomedicines 2026, 14(1), 181; https://doi.org/10.3390/biomedicines14010181 - 14 Jan 2026
Abstract
Background/Objectives: Obstructive sleep apnea (OSA) affects approximately 1 billion adults worldwide with extensive comorbidities, including cardiovascular disease, metabolic disorders, and cognitive decline, yet pharmacological therapies remain limited. Conventional bottom-up omics approaches identify numerous genes overlapping with other diseases, hindering therapeutic translation. This study [...] Read more.
Background/Objectives: Obstructive sleep apnea (OSA) affects approximately 1 billion adults worldwide with extensive comorbidities, including cardiovascular disease, metabolic disorders, and cognitive decline, yet pharmacological therapies remain limited. Conventional bottom-up omics approaches identify numerous genes overlapping with other diseases, hindering therapeutic translation. This study introduces a top-down, comorbidity-driven approach to identify actionable molecular targets and develop rational dual kinase inhibitors for OSA management. Methods: We implemented a five-tier modeling workflow: (1) comorbidity network analysis, (2) disease module identification through NetworkAnalyst, (3) mechanistic pathway reconstruction of the CK1δ-(HIF1A)-PINK1 signaling cascade, (4) molecular docking analysis of Nigella sativa alkaloids and reference inhibitors (IC261, PF-670462) against CK1δ (PDB: 3UYS) and PINK1 (PDB: 5OAT) using AutoDock Vina, and (5) rational design and computational validation of novel dual inhibitors (ICL, PFL) integrating pharmacophoric features from natural alkaloids and established kinase inhibitors. Results: Extensive network analysis revealed a discrete OSA disease module centered on two interconnected protein kinases—CK1δ and PINK1—that mechanistically bridge circadian disruption and neurodegeneration. Among natural alkaloids, Nigellidine showed strongest CK1δ binding (−8.0 kcal/mol) and Nigellicine strongest PINK1 binding (−8.6 kcal/mol). Rationally designed dual inhibitors demonstrated superior binding: ICL (−7.2 kcal/mol PINK1, −8.9 kcal/mol CK1δ) and PFL (−10.8 kcal/mol CK1δ, −11.2 kcal/mol PINK1), representing −2.6–2.8 kcal/mol improvements over reference compounds. Conclusions: This study establishes a comorbidity-driven translational framework identifying the CK1δ-PINK1 axis as a therapeutic target in OSA. The rationally designed dual inhibitors represent third-generation precision therapeutics addressing OSA’s multi-dimensional pathophysiology, while the five-tier workflow provides a generalizable template for drug discovery in complex multimorbid diseases. Full article
Show Figures

Graphical abstract

22 pages, 5084 KB  
Article
Crystallographic Fragment Screening with CK2α’, an Isoform of Human Protein Kinase CK2 Catalytic Subunit, and Its Use to Obtain a CK2α’/Heparin Complex Structure
by Christian Werner, Tatjana Barthel, Hugo Harasimowicz, Christelle Marminon, Manfred S. Weiss, Marc Le Borgne and Karsten Niefind
Kinases Phosphatases 2026, 4(1), 1; https://doi.org/10.3390/kinasesphosphatases4010001 - 4 Jan 2026
Viewed by 179
Abstract
CK2α and CK2α’, two paralogous members of the human kinome, are catalytic subunits of protein kinase CK2. Together with the regulatory subunit CK2β, they form heterotetrameric holoenzymes. CK2 is the subject of efforts to develop effective and selective inhibitors. For this, secondary binding [...] Read more.
CK2α and CK2α’, two paralogous members of the human kinome, are catalytic subunits of protein kinase CK2. Together with the regulatory subunit CK2β, they form heterotetrameric holoenzymes. CK2 is the subject of efforts to develop effective and selective inhibitors. For this, secondary binding sites remote from the canonical ATP/GTP cavity are critical. A crystallographic fragment screening with CK2α’ crystals and an established molecular fragment collection was performed to identify new ligands at known or novel sites. It resulted in fourteen CK2α’/fragment structures. Five fragments were found at the CK2β interface of CK2α’ and three fragments at the established αD pocket, which exhibits subtle differences between CK2α and CK2α’; comparative co-crystallisations with CK2α showed that one of them binds to the αD pocket of CK2α’ exclusively. No fragments bound at the substrate-binding region of CK2α’, but a CK2α’ structure with dp10, a decameric section of the substrate-competitive inhibitor heparin, and the indenoindole-type ATP-competitive inhibitor 4w was determined. A comparison with a published CK2α/dp10 structure revealed features consistent with reports about substrate specificity differences between the isoenzymes: dp10 binds to CK2α’ and CK2α with opposite strand orientations, and the local conformations of the isoenzymes in the helix αD region are significantly different. Full article
(This article belongs to the Special Issue Past, Present and Future of Protein Kinase CK2 Research—2nd Edition)
Show Figures

Graphical abstract

14 pages, 1188 KB  
Article
α-Klotho Supplementation Mitigates Cumulative Exercise-Induced Fatigue via Coordinated NRF2-Mediated Antioxidant Defense and AKT/GS-Driven Hepatic Glycogen Supercompensation in Mice
by Lifang Zheng, Yinian Wang, Zirui Xiao, Zhijian Rao and Rengfei Shi
Int. J. Mol. Sci. 2026, 27(1), 412; https://doi.org/10.3390/ijms27010412 - 30 Dec 2025
Viewed by 186
Abstract
Exercise-induced fatigue involves oxidative stress and metabolic dysregulation. While the anti-aging protein α-Klotho regulates metabolism and oxidative stress, its role in exercise fatigue is unexplored. This study investigated whether α-Klotho supplementation mitigates cumulative exercise-induced fatigue and elucidated the underlying tissue-specific mechanisms. Male C57BL/6J [...] Read more.
Exercise-induced fatigue involves oxidative stress and metabolic dysregulation. While the anti-aging protein α-Klotho regulates metabolism and oxidative stress, its role in exercise fatigue is unexplored. This study investigated whether α-Klotho supplementation mitigates cumulative exercise-induced fatigue and elucidated the underlying tissue-specific mechanisms. Male C57BL/6J mice were divided into three groups (n = 10 per group), the control group, fatigue treated with saline, or α-Klotho (0.2 mg/kg, i.p. daily) group. Fatigue was induced by a 6-day exhaustive swimming protocol (5% body weight load). Tissues were collected 24h post-final exercise. Assessments included daily exhaustion time, grip strength, serum creatine kinase (CK), urea nitrogen (BUN), oxidative stress markers (H2O2, MDA, SOD, GSH/GSSG), tissue glycogen, and pathway protein expression (Western blot). α-Klotho supplementation prevented exercise-induced weight loss and restored grip strength. While exhaustive exercise markedly increased serum CK and BUN levels, α-Klotho selectively normalized CK without effecting serum BUN. α-Klotho attenuated oxidative damage by reducing hydrogen peroxide levels while enhancing antioxidant capacity, accompanied by activation of the NRF2/HO-1 pathway and further upregulation of PGC-1α. Notably, α-Klotho induced striking hepatic glycogen supercompensation through activation of the AKT/GS signaling pathway and upregulation of GLUT4, whereas muscle glycogen levels remained unchanged. In conclusion, α-Klotho ameliorates cumulative exercise-induced fatigue through dual recovery-phase mechanisms: NRF2/HO-1-mediated antioxidant protection in skeletal muscle and AKT/GS-triggered hepatic glycogen supercompensation, thereby facilitating oxidative stress resolution and enhancing energy reserve restoration. Full article
(This article belongs to the Section Molecular Biology)
Show Figures

Figure 1

17 pages, 2799 KB  
Article
Inhibition of TRPC3-Nox2 Complex Formation Ameliorates Skeletal Muscle Atrophy
by Yuri Kato, Di Wu, Tomoya Ito, Yara Atef, Koichi Ayukawa, Xinya Mi, Kazuhiro Nishiyama, Akiyuki Nishimura and Motohiro Nishida
Antioxidants 2026, 15(1), 38; https://doi.org/10.3390/antiox15010038 - 26 Dec 2025
Viewed by 390
Abstract
Skeletal muscle atrophy underlies sarcopenia, frailty, and muscular dystrophies, but the molecular mechanisms linking oxidative stress to muscle degeneration remain incompletely understood. We previously identified protein complex formation between transient receptor potential canonical 3 (TRPC3) and NADPH oxidase 2 (Nox2) as a key [...] Read more.
Skeletal muscle atrophy underlies sarcopenia, frailty, and muscular dystrophies, but the molecular mechanisms linking oxidative stress to muscle degeneration remain incompletely understood. We previously identified protein complex formation between transient receptor potential canonical 3 (TRPC3) and NADPH oxidase 2 (Nox2) as a key driver of anthracycline-induced myocardial atrophy. Here, we investigated whether this complex also contributes to skeletal muscle wasting. In skeletal muscle from sciatic nerve transection model mice and Duchenne muscular dystrophy (mdx) mice, TRPC3-Nox2 complex formation was enhanced. TRPC3 deletion significantly attenuated denervation-induced soleus atrophy and reduced reactive oxygen species (ROS) production. TRPC3-Nox2 complex formation was upregulated in the soleus muscle (SM) of mdx mice. Pharmacological disruption of the TRPC3-Nox2 interaction improved muscle size and strength and reduced plasma creatine kinase in mdx mice. A recombinant adeno-associated virus (AAV) encoding a TRPC3 C-terminal peptide was used to suppress TRPC3-Nox2 complex formation in vivo. AAV-mediated expression of TRPC3 C-terminal peptide mitigated muscle wasting (CSA) in mdx mice, while muscle strength and plasma CK were not significantly improved. Thus, TRPC3-Nox2 complex formation may be a pivotal driver of oxidative stress-mediated skeletal muscle atrophy. Targeting this protein–protein interaction represents a promising therapeutic strategy for Duchenne muscular dystrophy (DMD) and other intractable muscle-wasting disorders. Full article
Show Figures

Figure 1

21 pages, 3420 KB  
Article
Sustaining Edible Grass (Rumex patientia L. × Rumex tianschanicus Losinsk.) Through Summer Lethal Stress: Multi-Omics Reveals Shading-Mediated Mitigation of High Light-Aggravated Heat Damage
by Zengyang He, Qinzhuo Zhong, Xinyao Li, Miaofen Chen, Wei Liu, Tao Jiang and Jianfeng Zou
Antioxidants 2026, 15(1), 33; https://doi.org/10.3390/antiox15010033 - 25 Dec 2025
Viewed by 388
Abstract
Edible Grass (EG) is a hybrid vegetable variety valued for its high biomass and protein content, garnering significant interest in recent years for its potential in food, feed, and health product applications. However, in subtropical climates, intense light and high temperatures severely affect [...] Read more.
Edible Grass (EG) is a hybrid vegetable variety valued for its high biomass and protein content, garnering significant interest in recent years for its potential in food, feed, and health product applications. However, in subtropical climates, intense light and high temperatures severely affect the growth and development of Edible Grass (EG), leading to substantial reductions in yield and quality. This study was conducted in the subtropical humid monsoon climate zone of Changsha, Hunan, China, comparing two growth conditions: natural light (CK) and shading treatment (ST). High light-aggravated heat damage under CK significantly reduced EG yield and quality (p < 0.05), with severe cases leading to plant death. and could even lead to plant death in severe cases. Specifically, maximum air and leaf temperatures under CK reached 38.85 °C and 38.14 °C, respectively, well exceeding the plant’s optimal growth range. Shading treatment (ST) effectively alleviated this damage, significantly increasing the net photosynthetic rate, stomatal conductance, and intercellular CO2 concentration, while decreasing leaf temperature and transpiration rate (p < 0.001). The analysis of physiological and biochemical indicators indicates that after ST, the activities of SOD, CAT, and POD in the leaves decreased, while the contents of MDA and H2O2 were significantly lower compared to the CK group (p < 0.001). The transcriptome sequencing results indicate that a total of 8004 DEGs were identified under shading treatment (ST) relative to natural light (CK), with 3197 genes upregulated and 4807 genes downregulated. Significantly enriched Gene Ontology (GO) terms include ‘cell membrane’, ‘extracellular region’, and ‘protein kinase activity’, while significantly enriched KEGG metabolic pathways include ‘plant hormone signal transduction’, ‘photosynthesis–antenna proteins’, and ‘glutathione metabolism’. Compared to CK, the expression of genes associated with oxidative stress (e.g., CAT1, OXR1, APX, GPX) was significantly downregulated in ST, indicating a relief from light-aggravated heat stress. This transcriptional reprogramming was corroborated by metabolomic data, which showed reduced accumulation of key flavonoid compounds, aligning with the downregulation of their biosynthetic genes as well as genes encoding heat shock proteins (e.g., Hsp40, Hsp70, Hsp90). It indicated that plants switch from a ‘ROS stress–high energy defense’ mode to a ‘low oxidative pressure–resource-saving’ mode. Collectively, ST significantly alleviated the physiological damage of forage grasses under heat stress by modulating the processing of endoplasmic reticulum heat stress proteins, plant hormones, and related genes and metabolic pathways, thereby improving photosynthetic efficiency and yield. The findings provide a theoretical basis for optimizing the cultivation management of EG, particularly in subtropical regions, where shade treatment serves as an effective agronomic strategy to significantly enhance the stress resistance and yield of EG. Full article
(This article belongs to the Special Issue Antioxidant Systems in Plants)
Show Figures

Figure 1

23 pages, 1680 KB  
Article
Comprehensive Insights into Obesity and Type 2 Diabetes from Protein Network, Canonical Pathway, Phosphorylation and Antimicrobial Peptide Signatures of Human Serum
by Petra Magdolna Bertalan, Erdenetsetseg Nokhoijav, Ádám Pap, George C. Neagu, Miklós Káplár, Zsuzsanna Darula, Gergő Kalló, Laszlo Prokai and Éva Csősz
Proteomes 2025, 13(4), 67; https://doi.org/10.3390/proteomes13040067 - 17 Dec 2025
Viewed by 572
Abstract
Background: Obesity is a major risk factor for type 2 diabetes (T2D); however, the molecular links between these conditions are not fully understood. Methods: We performed an integrative serum proteomics study on samples from 134 individuals (healthy controls, patients with obesity and/or T2D) [...] Read more.
Background: Obesity is a major risk factor for type 2 diabetes (T2D); however, the molecular links between these conditions are not fully understood. Methods: We performed an integrative serum proteomics study on samples from 134 individuals (healthy controls, patients with obesity and/or T2D) using both data-independent (DIA) and data-dependent (DDA) liquid chromatography-mass spectrometry approaches, complemented by phosphopeptide enrichment, kinase activity prediction, network and pathway analyses to get more information on the different proteoforms involved in the pathophysiology of the diseases. Results: We identified 235 serum proteins, including 13 differentially abundant proteins (DAPs) between groups. Both obesity and T2D were characterized by activation of complement and coagulation cascades, as well as alterations in lipid metabolism. Ingenuity Pathway Analysis® (IPA) revealed shared canonical pathways, while phosphorylation-based regulation differentiated the two conditions. Elevated hemopexin (HPX), vitronectin (VTN), kininogen-1 (KNG1) and pigment epithelium-derived factor (SERPINF1), along with decreased adiponectin (ADIPOQ) and apolipoprotein D (APOD), indicated a pro-inflammatory, pro-coagulant serum profile. Network analyses of antimicrobial and immunomodulatory peptides (AMPs) revealed strong overlaps between immune regulation and lipid metabolism. Phosphoproteomics and kinase prediction highlighted altered CK2 and AGC kinase activities in obesity, suggesting signaling-level modulation. Conclusions: Our comprehensive proteomic and phosphoproteomic profiling reveals overlapping yet distinct molecular signatures in obesity and T2D, emphasizing inflammation, complement activation and phosphorylation-driven signaling as central mechanisms that potentially contribute to disease progression and therapeutic targeting. Full article
(This article belongs to the Special Issue Proteomics in Diabetes: From Mechanisms to Biomarkers)
Show Figures

Figure 1

16 pages, 6841 KB  
Article
Phenotypic Evaluation and Genome-Wide Association Analysis of Cold Tolerance at Seedling Stage in Maize
by Yishan Cheng, Pedro García-Caparros, Xiaohong Yin, Dongxian Sun, Yunhua Su, Han Sun, Yanye Ruan, Shuisen Chen, Jun Liu and Zhifu Guo
Agronomy 2025, 15(12), 2842; https://doi.org/10.3390/agronomy15122842 - 11 Dec 2025
Viewed by 395
Abstract
Low temperature exerts severe adverse effects on maize growth, particularly during the seedling stage. Screening for cold-tolerant maize genotypes is highly significant for identifying genes associated with cold tolerance and enhancing maize performance under low, suboptimal temperature conditions. The identification of representative cold [...] Read more.
Low temperature exerts severe adverse effects on maize growth, particularly during the seedling stage. Screening for cold-tolerant maize genotypes is highly significant for identifying genes associated with cold tolerance and enhancing maize performance under low, suboptimal temperature conditions. The identification of representative cold tolerance-related genes is of great significance for the breeding of cold-resistant maize varieties. In this study, a diversity panel of 205 materials was evaluated and classified for cold tolerance at the seedling stage. The coefficients of variation of all materials ranged from 14.53% to 35.71%, reflecting considerable genetic diversity within the panel. The correlation coefficients for each phenotypic trait between the cold-treated (CT) and control (CK) maize materials ranged from 0.60 to 0.90, further indicating that all traits displayed varying degrees of sensitivity to cold stress. A comprehensive evaluation of cold tolerance using the D value was conducted. The D values of all materials ranged from 0.355 to 0.863, with a mean value of 0.64. A hierarchical clustering analysis was performed to classify all materials into five categories based on their cold tolerance. Further, 17 SNPs were identified using GWAS analysis, and 12 candidate genes were located within the regions related to the SNPs. Some candidate genes were closely associated with cold tolerance, such as genes encoding MYB and GRAS transcription factors, leucine-rich repeat (LRR) proteins, and protein kinases. Validation by qRT-PCR confirmed that the expression of some genes was induced under cold stress conditions. These findings lay a crucial foundation for breeding cold-tolerant maize varieties and for further exploration of genes associated with cold tolerance. Full article
(This article belongs to the Special Issue Cold Stress Physiology and Adaptation Strategies in Crop Species)
Show Figures

Figure 1

27 pages, 2922 KB  
Article
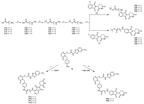
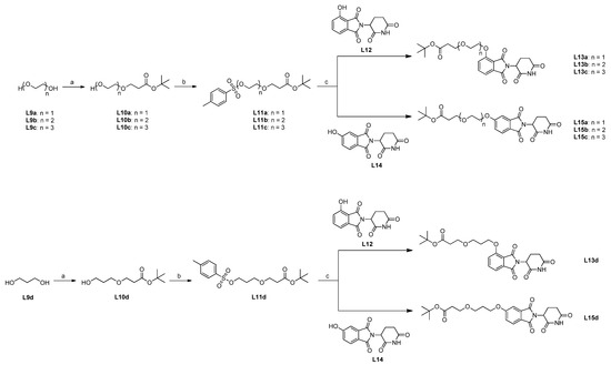
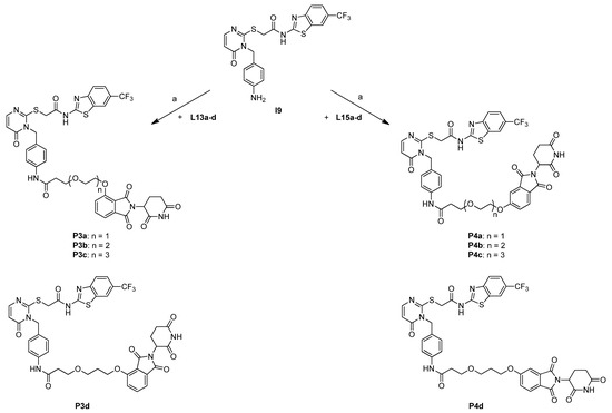
Design and Synthesis of Novel Candidate CK1δ Proteolysis Targeting Chimeras (PROTACs)
by Malte Arnold, Temi Thompson, Lorraine Glennie, Mattes Hollnagel, Gopal Sapkota and Christian Peifer
Molecules 2025, 30(22), 4452; https://doi.org/10.3390/molecules30224452 - 18 Nov 2025
Viewed by 964
Abstract
The dysregulation of CK1 isoforms is linked to various types of diseases, including neurodegeneration and different types of neoplasia such as colon, pancreatic, breast, and ovarian cancer. For CK1 isoforms, a plethora of effective small molecule inhibitors are available. However, only a few [...] Read more.
The dysregulation of CK1 isoforms is linked to various types of diseases, including neurodegeneration and different types of neoplasia such as colon, pancreatic, breast, and ovarian cancer. For CK1 isoforms, a plethora of effective small molecule inhibitors are available. However, only a few degraders of CK1α and, more recently, proteolysis targeting chimeras (PROTACs) for CK1δ/CK1ε have been reported. In this study, we applied the PROTAC concept by harnessing molecular modelling to design and synthesize a series of candidate CK1δ-targeting PROTACs based on a highly specific and potent benzothiazole-based CK1δ inhibitor that we previously developed in our lab. In the present study, we established a modular synthetic platform to systematically generate a set of PROTAC degrader candidates consisting of the CK1δ-specific inhibitor scaffold, alkyl and PEG linker motifs with various lengths, and Cereblon (CRBN)-engaging pomalidomide and thalidomide derivatives as E3 ligase binders. We demonstrate that several PROTACs degrade CK1δ/ε in various cells. The most potent PROTAC P1d inhibits the phosphorylation of downstream substrates through CK1δ/ε degradation. We establish the requirement of CUL4ACRBN and the proteasome for the P1d-mediated degradation of CK1δ/ε. Full article
Show Figures

Graphical abstract

21 pages, 3084 KB  
Article
Targeting SIRT-1/AMPK/Nrf2 Signaling Pathway by Tenofovir Protected Against Cyclophosphamide-Induced Nephrotoxicity and Cardiotoxicity in Rats
by Yousef S. Alresheedi, Omnia A. Nour, Manar A. Nader and Marwa S. Zaghloul
Pharmaceutics 2025, 17(11), 1467; https://doi.org/10.3390/pharmaceutics17111467 - 13 Nov 2025
Cited by 1 | Viewed by 620
Abstract
Background/Objectives: Cyclophosphamide (CYC) is a commonly used alkylating agent for treating various cancers and autoimmune disorders. However, its use is often hampered by serious side effects, affecting multiple organs. This study aimed to explore whether tenofovir (TFV), a nucleotide reverse transcriptase inhibitor, [...] Read more.
Background/Objectives: Cyclophosphamide (CYC) is a commonly used alkylating agent for treating various cancers and autoimmune disorders. However, its use is often hampered by serious side effects, affecting multiple organs. This study aimed to explore whether tenofovir (TFV), a nucleotide reverse transcriptase inhibitor, could offer protective benefits against CYC-induced organ toxicity in rats. Methods: Two different TFV doses (25 and 50 mg/kg) were tested. The researchers evaluated the effects of TFV on kidney and heart function biomarkers, oxidative stress, autophagy, apoptosis, and inflammatory markers. Results: The results showed that pre-treatment with TFV significantly reduced the harmful effects of CYC, as evidenced by decreasing the activity of serum lactate dehydrogenase (LDH) and creatine kinase-myocardial band (CK-MB), and the levels of serum creatinine (Cr.), blood urea nitrogen (BUN), and malondialdehyde (MDA). TFV also boosted antioxidant defenses by increasing the expression of key proteins such as Nrf2/HO-1, AMPK, and SIRT1. Also, TFV regulated inflammatory and apoptotic pathways (revealed by reducing IL-1β level and increasing Bcl-2 level) and improved autophagy (showed by reducing LC3 expression). Conclusions: Overall, these findings suggested that TFV has strong protective effects against CYC-induced organ toxicity, likely through its anti-inflammatory, antioxidant, and anti-apoptotic mechanisms. This points to TFV as a potential therapeutic agent to help mitigate the organ damage caused by CYC. Full article
(This article belongs to the Section Drug Targeting and Design)
Show Figures

Graphical abstract

30 pages, 7311 KB  
Article
Bioinformatic Investigation of Regulatory Elements in the Core Promoters of CK2 Genes and Pseudogene
by Nicholas G. Wilson, Jesse S. Basra and Isabel Dominguez
Kinases Phosphatases 2025, 3(4), 22; https://doi.org/10.3390/kinasesphosphatases3040022 - 4 Nov 2025
Viewed by 686
Abstract
Protein kinase CK2 is an important regulator of cell, embryo, and organism function whose transcript levels are often dysregulated in disease. Previous studies have primarily focused on the regulation of CK2 gene expression via the proximal promoter. Here, we analyzed the core promoter [...] Read more.
Protein kinase CK2 is an important regulator of cell, embryo, and organism function whose transcript levels are often dysregulated in disease. Previous studies have primarily focused on the regulation of CK2 gene expression via the proximal promoter. Here, we analyzed the core promoter of the CK2 genes and pseudogene to assess the structure and potential regulatory elements. Our analysis showed that CSNK2A1 contained 14 exons, rather than 13 exons as previously reported. Using FANTOM5 and DBTTS data, we found that transcription start sites were broadly distributed across a 100-nucleotide region in the CK2 gene core promoters, consistent with “broad” class promoter architecture. Using these databases, we found a dissimilar transcription start site usage between adult and cancer tissues compared to fetal tissues for each of the CK2 gene promoters. A further analysis of the CK2 gene core promoter subregions showed instances of core promoter subregion switching. All CK2 gene core promoters contained canonical and non-canonical initiator motifs, suggesting their potential as dual-initiator core promoters, while CSNK2A3 only had canonical initiator motifs. Additionally, all CK2 gene core promoters contain DCE motifs and pause buttons. In contrast, Wnt/β-catenin target genes c-MYC and CCND1 had DPEs, which can be regulated by protein kinase CK2. Collectively, our data provides new insights into the transcriptional regulation of CK2 genes and opens new avenues for research. Full article
(This article belongs to the Special Issue Past, Present and Future of Protein Kinase CK2 Research—2nd Edition)
Show Figures

Graphical abstract

21 pages, 2633 KB  
Article
Melatonin at Crossroads with Phytohormones: Interactions Under High Light Stress
by Ivan A. Bychkov, Natalia V. Kudryakova, Victoria V. Shitikova and Victor V. Kusnetsov
Int. J. Mol. Sci. 2025, 26(21), 10531; https://doi.org/10.3390/ijms262110531 - 29 Oct 2025
Viewed by 620
Abstract
Melatonin (MT), an antioxidant and growth regulator, interacts with almost all phytohormones, but the molecular mechanisms of these interactions are poorly understood. Using mRNA sequencing (mRNA-seq) technology, we analysed the global regulation of MT-induced expression of genes involved in metabolism, signalling and responses [...] Read more.
Melatonin (MT), an antioxidant and growth regulator, interacts with almost all phytohormones, but the molecular mechanisms of these interactions are poorly understood. Using mRNA sequencing (mRNA-seq) technology, we analysed the global regulation of MT-induced expression of genes involved in metabolism, signalling and responses to major phytohormones under prolonged high-intensity light (HL) stress. Plants respond to MT through the activation of auxin and brassinosteroid (BS) response genes, which were identified among the enriched categories of differentially expressed genes (DEGs) with increased expression, and the suppression of abscisic acid and ethylene signalling and response genes, which were among the enriched downregulated categories. MT also suppressed growth-inhibiting genes involved in jasmonic acid (JA) and salicylic acid (SA) signalling and response and activated genes encoding the growth-promoting hormones gibberellins and cytokinins (CKs), which is consistent with the role of MT in stress alleviation. However, the expression of some unique genes, which are positively or negatively modulated by stress, was reinforced by MT treatment, illustrating the extraordinary type of regulation that enhances the action of specific hormone-mediated mechanisms. The study of signal integration between MT and hormones with the involvement of signalling mutants revealed that some interactions are regulated at the transcriptional level and require the activity of relevant signalling pathways. Disruption of CAND2 completely abolished melatonin-dependent activation of the mitogen-activated protein kinases MAP3K17 and MKK7, suggesting that the MAP3K17-MKK7 module is an important player in the MT-triggered MAPK pathway, acting downstream of CAND2. Full article
(This article belongs to the Special Issue Emerging Insights into Phytohormone Signaling in Plants)
Show Figures

Figure 1

26 pages, 4441 KB  
Article
Rapid Biochemical Analysis of Postmortem Serum and Myocardial Homogenates—An Exploratory Study
by Niki Sarri, Henrik Druid, Ali-Reza Rezaie, Klaske Osinga, Nargis Sultana and Kanar Alkass
Biomolecules 2025, 15(10), 1483; https://doi.org/10.3390/biom15101483 - 21 Oct 2025
Viewed by 870
Abstract
Postmortem diagnosis of sudden cardiac death (SCD) may escape detection due to the absence of thrombi and slow development of structural and immunohistochemical changes. Therefore, this study explores the possibility of analyzing relevant clinical chemistry biomarkers in myocardial homogenates and serum. Following an [...] Read more.
Postmortem diagnosis of sudden cardiac death (SCD) may escape detection due to the absence of thrombi and slow development of structural and immunohistochemical changes. Therefore, this study explores the possibility of analyzing relevant clinical chemistry biomarkers in myocardial homogenates and serum. Following an initial pilot study, myocardial samples from 113 autopsy cases were homogenized with distilled water, T-PER or 2 M urea. Aspartate aminotransferase (AST), alanine aminotransferase (ALT), creatine kinase (CK-MB), lactate dehydrogenase (LDH), orosomucoid and total protein were analyzed with an IndikoPlus and a subset was also analyzed with a Roche Cobas 8000 c701 analyzer, which also provided results for cardiac Troponin T, myoglobin and NT-proBNP. Although the yields varied with different extraction buffers depending on the analyte, distilled water was often as effective as T-PER and 2 M urea extraction for most analytes. Biomarker levels were consistently higher in the myocardial homogenates than in serum. Proteomic profiling on a subset confirmed higher concentrations of the cardiac markers in the tissue samples than in serum. Finally, we investigated whether selected markers could support the diagnosis of acute cardiac disease by classifying cases as sudden cardiac death (SCD) or controls. There was no significant difference in serum concentrations of the selected biomarkers between SCD cases and controls, whereas a significant loss of several markers was observed in SCD myocardial samples as compared to controls. Hence, our results suggest that analysis of tissue homogenates is likely better for detecting early ischemia, and we show that an in-house benchtop multi-analyzer can provide rapid results to assist the pathologist’s decision-making during autopsy. Full article
(This article belongs to the Special Issue Molecular Biomarkers in Cardiology 2026)
Show Figures

Figure 1

30 pages, 76082 KB  
Article
Inhibition of Casein Kinase 1δ as a Novel Therapeutic Strategy for Amyotrophic Lateral Sclerosis: A Theoretical Study
by Albert Gabriel Turpo-Peqqueña, Renato Javier Valencia-Arce, Fabio Leonardo Del-Carpio-Carrazco, David Jonatan Quispe-Ppacco, Pierina Fernanda Carbajal-Llerena, Harlly Romed Loza-Chipa, Antonella Sofia Vásquez-Macedo and Badhin Gómez
Int. J. Mol. Sci. 2025, 26(20), 10188; https://doi.org/10.3390/ijms262010188 - 20 Oct 2025
Viewed by 791
Abstract
Amyotrophic Lateral Sclerosis is a progressive neurodegenerative disease characterized by the degeneration of motor neurons and the pathological accumulation of phosphorylated TDP-43. Casein kinase one delta (CK1δ) has been identified as a key regulator of this aberrant phosphorylation, making it a [...] Read more.
Amyotrophic Lateral Sclerosis is a progressive neurodegenerative disease characterized by the degeneration of motor neurons and the pathological accumulation of phosphorylated TDP-43. Casein kinase one delta (CK1δ) has been identified as a key regulator of this aberrant phosphorylation, making it a promising therapeutic target. In this theoretical study, 26 structurally diverse compounds were evaluated against CK1δ using molecular docking, molecular dynamics simulations, and binding free energy calculations. Among them, BZH exhibited the most stable interaction with CK1δ (46.53±1.94 kcal/mol). An inverse correlation was observed between theoretical affinity and experimental IC50 values, supporting the predictive validity of the computational approach. Pharmacokinetic analysis indicated that IMF and BIP show good oral absorption and the ability to cross the blood–brain barrier. At the same time, the toxicological profile classified all compounds in toxicity Class IV (moderate risk). Additionally, dynamic migration toward an alternative pocket was observed during simulation, highlighting the importance of considering protein flexibility in drug design. This study proposes BZH, IMF, and BIP as promising CK1δ inhibitors for future experimental validation in the treatment of ALS. Full article
(This article belongs to the Section Biochemistry)
Show Figures

Figure 1

13 pages, 3540 KB  
Communication
Comparative Efficacy of CK2 Inhibitors CX-4945 and SGC-CK2-2 on CK2 Signaling
by Francesca Noventa, Rina Venerando, Valentina Bosello Travain and Mauro Salvi
Int. J. Mol. Sci. 2025, 26(20), 10006; https://doi.org/10.3390/ijms262010006 - 14 Oct 2025
Viewed by 1007
Abstract
The pleiotropic kinase CK2 plays a crucial role in numerous cellular processes and is frequently deregulated in human diseases. Specifically, elevated CK2 expression and/or activity have been observed in human cancers, thus rendering its inhibition a promising pharmacological strategy for treating malignancies. The [...] Read more.
The pleiotropic kinase CK2 plays a crucial role in numerous cellular processes and is frequently deregulated in human diseases. Specifically, elevated CK2 expression and/or activity have been observed in human cancers, thus rendering its inhibition a promising pharmacological strategy for treating malignancies. The most widely used CK2 inhibitor, CX-4945 (Silmitarsetib), was developed by Cylene Pharmaceuticals in 2010. It has been tested in clinical trials for various cancers and, more recently, as a potential therapy for COVID-19 patients. However, it has been demonstrated that CX-4945’s specificity is limited, as CX-4945 also inhibits other kinases beyond CK2. A recently developed derivative of CX-4945, SGC-CK2-2, has demonstrated enhanced specificity compared with CX-4945, albeit with reduced potency. In this study, we conducted a detailed analysis of the effects of SGC-CK2-2 in two cancer cell lines, comparing its efficacy with CX-4945 in inhibiting CK2 signaling and in cell death induction. The findings of this study demonstrate the differential sensitivity of CK2 phospho-substrates to these inhibitors, thus indicating that complete inhibition of a single phosphosite, such as S129 Akt, is insufficient to fully suppress CK2 signaling. Furthermore, the results suggest that partial CK2 inhibition with the suppression of the most sensitive phosphosites does not significantly impact cell viability, while a near-complete suppression of CK2 signaling affects cell viability and leads to cell death induction. Full article
Show Figures

Figure 1

16 pages, 534 KB  
Review
The Diagnostic Potential of Urinary Titin Fragment in Neuromuscular Diseases
by Andrea Sipos, Dávid Varga and Endre Pál
Int. J. Mol. Sci. 2025, 26(19), 9652; https://doi.org/10.3390/ijms26199652 - 3 Oct 2025
Viewed by 1020
Abstract
Biomarkers are important for the diagnosis and follow-up of neuromuscular diseases. Creatine kinase (CK) is a widely used marker of active muscle damage; however, it is not suitable for assessing muscle mass loss. Therefore, additional biomarkers are required to monitor skeletal muscle damage [...] Read more.
Biomarkers are important for the diagnosis and follow-up of neuromuscular diseases. Creatine kinase (CK) is a widely used marker of active muscle damage; however, it is not suitable for assessing muscle mass loss. Therefore, additional biomarkers are required to monitor skeletal muscle damage and loss. Titin plays an essential role in the structure and function of muscle fibers. It provides stability and elasticity to the sarcomeres. During sarcomere damage, fragments of titin and other proteins are released from muscle fibers and can be detected in blood and urine. Urinary titin-N fragment (UTN) detection is a noninvasive method for assessing and monitoring the extent of muscle damage. In addition to muscular dystrophies, elevated UTN levels have been observed in patients with sarcopenia. The UTN level increased significantly during eccentric muscle strain, indicating muscle damage, whereas the concentric load was associated with only a minimal increase in UTN. As titin is also present in the heart muscle, UTN can help diagnose cardiomyopathies and predict disease prognosis. In summary, the detection of urinary titin fragments is a promising tool for diagnosing and monitoring neuromuscular and cardiac diseases. While both CK and UTN rise and are related in acute conditions, their relationship is less clear in chronic diseases where muscle tissue damage and muscle mass loss are combined. Full article
(This article belongs to the Section Molecular Neurobiology)
Show Figures

Figure 1

Back to TopTop